Study of Mineral Composition and Quality of Fruit Using Vascular Restrictions in Branches of Sweet Cherry
Abstract
1. Introduction
2. Results
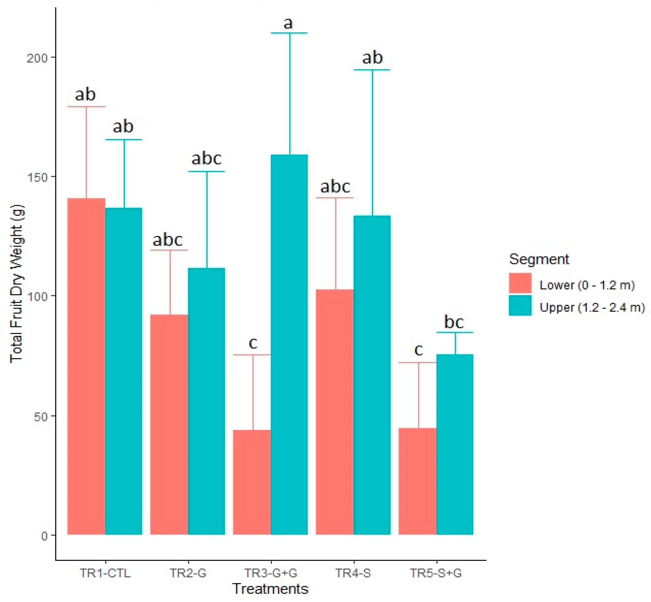
2.1. Harvest Date and Yield
2.2. Leaf Area and LA to F Ratios
2.3. Fruit Quality at Harvest
2.4. Water Relations
2.5. Fruit Mineral Composition and Ca Relationships
3. Discussion
4. Materials and Methods
4.1. Plant Material
4.2. Experimental Design and Treatments
4.3. Field Measurements
4.4. Environmental and Physiological Measurements
4.5. Fruit Quality at Harvest
4.6. Fruit Mineral Analysis
4.7. Statistical Analyses
5. Conclusions
Author Contributions
Funding
Data Availability Statement
Acknowledgments
Conflicts of Interest
References
- Winkler, A.; Knoche, M. Calcium and the Physiology of Sweet Cherries: A Review. Sci. Hortic. 2019, 245, 107–115. [Google Scholar] [CrossRef]
- Dodd, A.N.; Kudla, J.; Sanders, D. The Language of Calcium Signaling. Annu. Rev. Plant Biol. 2010, 61, 593–620. [Google Scholar] [CrossRef]
- Demarty, M.; Morvan, C.; Thellier, M. Calcium and the Cell Wall. Plant. Cell Environ. 1984, 7, 441–448. [Google Scholar] [CrossRef]
- Aghdam, M.S.; Hassanpouraghdam, M.B.; Paliyath, G.; Farmani, B. The Language of Calcium in Postharvest Life of Fruits, Vegetables and Flowers. Sci. Hortic. 2012, 144, 102–115. [Google Scholar] [CrossRef]
- Hepler, P.K. Calcium: A Central Regulator of Plant Growth and Development. Plant Cell 2005, 17, 2142–2155. [Google Scholar] [CrossRef] [PubMed]
- Correia, S.; Queirós, F.; Ferreira, H.; Morais, M.C.; Afonso, S.; Silva, A.P.; Gonçalves, B. Foliar Application of Calcium and Growth Regulators Modulate Sweet Cherry (Prunus Avium L.) Tree Performance. Plants 2020, 9, 410. [Google Scholar] [CrossRef] [PubMed]
- González-Fontes, A.; Navarro-Gochicoa, M.T.; Ceacero, C.J.; Herrera-Rodríguez, M.; Camacho-Cristóbal, J.J.; Rexach, J. Understanding Calcium Transport and Signaling, and Its Use Efficiency in Vascular Plants. In Plant Macronutrient Use Efficiency; Elsevier Inc.: Amsterdam, The Netherlands, 2017; pp. 165–180. ISBN 9780128113080. [Google Scholar]
- Lambers, H.; Chapin, F.S.; Pons, T. Long-Distance Transport of Assimilates. In Plant Physiological and Ecology; Springer: New York, NY, USA, 2008; pp. 151–161. ISBN 9780387783406. [Google Scholar]
- Tang, R.; Luan, S. Regulation of Calcium and Magnesium Homeostasis in Plants: From Transporters to Signaling Network. Curr. Opin. Plant Biol. 2017, 39, 97–105. [Google Scholar] [CrossRef] [PubMed]
- White, P.J. Long-Distance Transport in the Xylem and Phloem. In Marschner’s Mineral Nutrition of Higher Plants; Elsevier Ltd.: Amsterdam, The Netherlands, 2012; pp. 49–70. ISBN 9780123849052. [Google Scholar]
- Zheng, T.; Haider, M.S.; Zhang, K.; Jia, H.; Fang, J. Biological and Functional Properties of Xylem Sap Extracted from Grapevine (Cv. Rosario Bianco). Sci. Hortic. 2020, 272, 109563. [Google Scholar] [CrossRef]
- Montanaro, G.; Dichio, B.; Xiloyannis, C. Significance of Fruit Transpiration on Calcium Nutrition in Developing Apricot Fruit. J. Plant Nutr. Soil Sci. 2010, 173, 618–622. [Google Scholar] [CrossRef]
- White, P.J. The Pathways of Calcium Movement to the Xylem. J. Exp. Bot. 2001, 52, 891–899. [Google Scholar] [CrossRef]
- Volz, R.K.; Ferguson, I.B.; Hewett, E.W.; Woolley, D.J. Wood Age and Leaf Area Influence Fruit Size and Mineral Composition of Apple Fruit. J. Hortic. Sci. 1994, 69, 385–395. [Google Scholar] [CrossRef]
- Dietrich, L.; Hoch, G.; Kahmen, A.; Körner, C. Losing Half the Conductive Area Hardly Impacts the Water Status of Mature Trees. Sci. Rep. 2018, 8, 5006. [Google Scholar] [CrossRef] [PubMed]
- Barker, A.V.; Stratton, M.L. Nutrient Density of Fruit Crops as a Function of Soil Fertility; Elsevier Inc.: Amsterdam, The Netherlands, 2020; ISBN 9780128187326. [Google Scholar]
- Michailidis, M.; Karagiannis, E.; Tanou, G.; Karamanoli, K.; Lazaridou, A.; Matsi, T.; Molassiotis, A. Metabolomic and Physico-Chemical Approach Unravel Dynamic Regulation of Calcium in Sweet Cherry Fruit Physiology. Plant Physiol. Biochem. 2017, 116, 68–79. [Google Scholar] [CrossRef]
- Wang, Y.; Zhang, X.; Wang, Y.; Yang, S.; Qu, H. The Changes of Intracellular Calcium Concentration and Distribution in the Hard End Pear (Pyrus Pyrifolia Cv. ‘Whangkeumbae’) Fruit. Cell Calcium 2018, 71, 15–23. [Google Scholar] [CrossRef]
- de Freitas, S.T.; Padda, M.; Wu, Q.; Park, S.; Mitcham, E.J. Dynamic Alternations in Cellular and Molecular Components during Blossom-End Rot Development in Tomatoes Expressing SCAX1, a Constitutively Active Ca2+/H+ Antiporter from Arabidopsis. Plant Physiol. 2011, 156, 844–855. [Google Scholar] [CrossRef] [PubMed]
- Kalcsits, L.; Lotze, E.; Tagliavini, M.; Hannam, K.D.; Mimmo, T.; Neilsen, D.; Neilsen, G.; Atkinson, D.; Biasuz, E.C.; Borruso, L.; et al. Recent Achievements and New Research Opportunities for Optimizing Macronutrient Availability, Acquisition, and Distribution for Perennial Fruit Crops. Agronomy 2020, 10, 1738. [Google Scholar] [CrossRef]
- Hocking, B.; Tyerman, S.D.; Burton, R.A.; Gilliham, M. Fruit Calcium: Transport and Physiology. Front. Plant Sci. 2016, 7, 1–17. [Google Scholar] [CrossRef]
- Kalcsits, L.; van der Heijden, G.; Reid, M.; Mullin, K. Calcium Absorption during Fruit Development in ‘Honeycrisp’ Apple Measured Using 44Ca as a Stable Isotope Tracer. HortScience 2017, 52, 1804–1809. [Google Scholar] [CrossRef]
- Knipfer, T.; Fei, J.; Gambetta, G.A.; Mcelrone, A.J.; Shackel, K.A.; Matthews, M.A. Water Transport Properties of the Grape Pedicel during Fruit Development: Insights into Xylem Anatomy and Function Using Microtomography. Plant Physiol. 2015, 168, 1590–1602. [Google Scholar] [CrossRef]
- Mazzeo, M.; Dichio, B.; Clearwater, M.J.; Montanaro, G. Hydraulic Resistance of Developing Actinidia Fruit. Ann. Bot. 2013, 112, 197–205. [Google Scholar] [CrossRef]
- Brüggenwirth, M.; Winkler, A.; Knoche, M. Xylem, Phloem, and Transpiration Flows in Developing Sweet Cherry Fruit. Trees Struct. Funct. 2016, 30, 1821–1830. [Google Scholar] [CrossRef]
- Matteo, M.; Zoffoli, J.P.; Ayala, M. Calcium Sprays and Crop Load Reduction Increase Fruit Quality and Postharvest Storage in Sweet Cherry (Prunus Avium L.). Agronomy 2022, 12, 829. [Google Scholar] [CrossRef]
- Ciccarese, A.; Stellacci, A.M.; Gentilesco, G.; Rubino, P. Effectiveness of Pre- and Post-Veraison Calcium Applications to Control Decay and Maintain Table Grape Fruit Quality during Storage. Postharvest Biol. Technol. 2013, 75, 135–141. [Google Scholar] [CrossRef]
- Montanaro, G.; Dichio, B.; Lang, A.; Mininni, A.N.; Xiloyannis, C. Fruit Calcium Accumulation Coupled and Uncoupled from Its Transpiration in Kiwifruit. J. Plant Physiol. 2015, 181, 67–74. [Google Scholar] [CrossRef] [PubMed]
- Grimm, E.; Pflugfelder, D.; Van Dusschoten, D.; Winkler, A.; Knoche, M. Physical Rupture of the Xylem in Developing Sweet Cherry Fruit Causes Progressive Decline in Xylem Sap Inflow Rate. Planta 2017, 246, 659–672. [Google Scholar] [CrossRef]
- Winkler, A.; Riedel, D.; Neuwald, D.A.; Knoche, M. Water Influx through the Wetted Surface of a Sweet Cherry Fruit: Evidence for an Associated Solute Efflux. Plants 2020, 9, 440. [Google Scholar] [CrossRef]
- Sharples, R.O. Fruit-Thinning Effects on the Development and Storage Quality of Cox’s Orange Pippin Apple Fruits. J. Hortic. Sci. 1968, 43, 359–371. [Google Scholar] [CrossRef]
- Belge, B.; Goulao, L.F.; Comabella, E.; Graell, J.; Lara, I. Refrigerated Storage and Calcium Dips of Ripe ‘Celeste’ Sweet Cherry Fruit: Combined Effects on Cell Wall Metabolism. Sci. Hortic. 2017, 219, 182–190. [Google Scholar] [CrossRef]
- Lidster, P.; Porritt, S.; Tung, M. Texture Modification of ’Van’ Sweet Cherries by Postharvest Calcium Treatments. J. Am. Soc. Hortic. Sci. 1978, 103, 527–530. [Google Scholar] [CrossRef]
- Measham, P.F.; Richardson, A.; Townsend, A. Calcium Application and Impacts on Cherry Fruit Quality. Acta Hortic. 2017, 1161, 375–382. [Google Scholar] [CrossRef]
- Meheriuk, M.; Neilsen, G.H.; Mckenzie, D. Incidence of Rain Splitting in Sweet Cherries Treated with Calcium or Coating Materials. Can. J. Plant Sci. 1991, 71, 231–234. [Google Scholar] [CrossRef]
- Atkinson, C.; Else, M.; Stankiewicz, A.; Webster, A. The Effects of Phloem Girdling on the Abscission of Prunus Avium L. Fruits. J. Hortic. Sci. Biotechnol. 2016, 77, 22–27. [Google Scholar] [CrossRef]
- Ayala, M.; Lang, G. Current Season Photoassimilate Distribution in Sweet Cherry. J. Am. Soc. Hortic. Sci. 2018, 143, 110–117. [Google Scholar] [CrossRef]
- Ayala, M. Carbon Partitioning in Sweet Cherry (Punus avium L.) on Dwarfing Precocious Rootstocks During Fruit Development. Ph.D. Thesis, Michigan State University, East Lansing, MI, USA, 2004. [Google Scholar]
- Ayala, M.; Lang, G. Morphology, Cropping Physiology and Canopy Training. In Cherries: Botany, Production and Uses; Quero-García, J., Lezzoni, A., Puławska, J., Lang, G., Eds.; CABI: Oxfordshire, UK, 2017; pp. 269–304. ISBN 9781780648378. [Google Scholar]
- Whiting, M.D.; Lang, G.A. “Bing” Sweet Cherry on the Dwarfing Rootstock “Gisela 5”: Thinning Affects Fruit Quality and Vegetative Growth but Not Net CO2 Exchange. J. Am. Soc. Hortic. Sci. 2004, 129, 407–415. [Google Scholar] [CrossRef]
- Agusti, M.; Andreu, I.; Juan, M.; Almela, V.; Zacarias, L. Effects of Ringing Branches on Fruit Size and Maturity of Peach and Nectarine Cultivars. J. Hortic. Sci. Biotechnol. 1998, 73, 537–540. [Google Scholar] [CrossRef]
- Eliwa, G. Effect of Girdling and Fruit Thinning on Maturity, Yield and Fruit Quality of “Mit Ghamer” Peach Trees. Egypt. J. Hort 2003, 30, 281–290. [Google Scholar]
- Lo Piccolo, E.; Araniti, F.; Landi, M.; Massai, R.; Guidi, L.; Abenavoli, M.R.; Remorini, D. Girdling Stimulates Anthocyanin Accumulation and Promotes Sugar, Organic Acid, Amino Acid Level and Antioxidant Activity in Red Plum: An Overview of Skin and Pulp Metabolomics. Sci. Hortic. 2021, 280, 109907. [Google Scholar] [CrossRef]
- Ayala, M.; Lang, G. Examining the Influence of Different Leaf Populations on Sweet Cherry Fruit Quality. Acta Hortic. 2004, 636, 481–488. [Google Scholar] [CrossRef]
- Cittadini, E.D.; Vallés, M.; Peri, P.; Van Keulen, H.; De Ridder, N.; Rodríguez, M. Effect of Fruit-to-Leaf Area Ratio on Fruit Quality and Vegetative Growth of “Bing” Sweet Cherry Trees at Optimal Leaf Area Index. Acta Hortic. 2008, 795, 677–680. [Google Scholar] [CrossRef]
- Facteau, T.; Chestnut, N.; Rowe, K. Relationship between Fruit Weight, Firmness and Leaf/Fruit Ratio in Lambert and Bing Sweet Cherries. Plant Sci. 1983, 63, 763–765. [Google Scholar] [CrossRef]
- Usenik, V.; Orazem, P.; Stampar, F. Low Leaf to Fruit Ratio Delays Fruit Maturity of ‘Lapins’ Sweet Cherry on Gisela 5. Sci. Hortic. 2010, 126, 33–36. [Google Scholar] [CrossRef]
- Roper, T.R.; Loesher, W.; Keller, K.; Rom, C. Sources of Photosynthate for Fruit Growth in “Bing” Sweet Cherry. J. Am. Soc. Hortic. Sci. 1987, 112, 808–8012. [Google Scholar] [CrossRef]
- Quentin, A.; Close, D.; Hennen, L.; Pinkard, E. Down-Regulation of Photosynthesis Following Girdling, but Contrasting Effects on Fruit Set and Retention, in Two Sweet Cherry Cultivars. Plant Physiol. Biochem. 2013, 73, 359–367. [Google Scholar] [CrossRef] [PubMed]
- Michailidis, M.; Karagiannis, E.; Tanou, G.; Samiotaki, M.; Sarrou, E.; Karamanoli, K.; Lazaridou, A.; Martens, S.; Molassiotis, A. Proteomic and Metabolic Analysis Reveals Novel Sweet Cherry Fruit Development Regulatory Points Influenced by Girdling. Plant Physiol. Biochem. 2020, 149, 233–244. [Google Scholar] [CrossRef] [PubMed]
- Li, C.-Y.; Weiss, D.; Goldschmidt, E. Girdling Affects Carbohydrate-Related Gene Expression in Leaves, Bark and Roots of Alternate-Bearing Citrus Trees. Ann. Bot. 2003, 92, 137–143. [Google Scholar] [CrossRef] [PubMed]
- Measham, P.F.; Bound, S.A.; Gracie, A.J.; Wilson, S.J. Crop Load Manipulation and Fruit Cracking in Sweet Cherry (Prunus Avium L.). Adv. Hortic. Sci. 2012, 26, 25–31. [Google Scholar] [CrossRef]
- Winkler, A.; Brüggenwirth, M.; Ngo, N.S.; Knoche, M. Fruit Apoplast Tension Draws Xylem Water into Mature Sweet Cherries. Sci. Hortic. 2016, 209, 270–278. [Google Scholar] [CrossRef]
- Winkler, A.; Knoche, M. Calcium Uptake through Skins of Sweet Cherry Fruit: Effects of Different Calcium Salts and Surfactants. Sci. Hortic. 2021, 276, 109761. [Google Scholar] [CrossRef]
- Thor, K. Calcium-Nutrient and Messenger. Front. Plant Sci. 2019, 10, 440. [Google Scholar] [CrossRef]
- Gomez, R.; Kalcsits, L. Physiological Factors Affecting Nutrient Uptake and Distribution and Fruit Quality in “Honeycrisp” and “WA 38” Apple (Malus × Domestica Borkh.). HortScience 2020, 55, 1327–1336. [Google Scholar] [CrossRef]
- Poniedzialek, W.; Nosal, K. Effect of NAA Aplication after the Pruning of Apple Trees on the Growth of Shoots and the Quality of Fruit. Acta Hortic. 1986, 179, 273–274. [Google Scholar] [CrossRef]
- Erogul, D. Effect of Preharvest Calcium Treatments on Sweet Cherry Fruit Quality. Not. Bot. Horti Agrobot. Cluj-Napoca 2014, 42, 150–153. [Google Scholar] [CrossRef]
- Michailidis, M.; Karagiannis, E.; Tanou, G.; Sarrou, E.; Stavridou, E.; Ganopoulos, I.; Karamanol, K.; Madesis, P.; Martens, S.; Molassiotis, A. An Integrated Metabolomic and Gene Expression Analysis Identifies Heat and Calcium Metabolic Networks Underlying Postharvest Sweet Cherry Fruit Senescence. Planta 2019, 250, 2009–2022. [Google Scholar] [CrossRef] [PubMed]
- Wang, Y.; Xie, X.; Long, L.E. The Effect of Postharvest Calcium Application in Hydro-Cooling Water on Tissue Calcium Content, Biochemical Changes, and Quality Attributes of Sweet Cherry Fruit. FOOD Chem. 2014, 160, 22–30. [Google Scholar] [CrossRef] [PubMed]
- Bonomelli, C.; Mogollón, R.; de Freitas, S.T.; Zoffoli, J.P.; Contreras, C. Nutritional Relationships in Bitter Pit-Affected Fruit and the Feasibility of Vis-NIR Models to Determine Calcium Concentration in “Fuji” Apples. Agronomy 2020, 10, 1476. [Google Scholar] [CrossRef]
- Valverdi, N.A.; Kalcsits, L. Rootstock Affects Scion Nutrition and Fruit Quality during Establishment and Early Production of “Honeycrisp” Apple. HortScience 2021, 56, 261–269. [Google Scholar] [CrossRef]
- Blanco, V.; Zoffoli, J.P.; Ayala, M. Influence of High Tunnel Microclimate on Fruit Quality and Calcium Concentration in ‘Santina’ Sweet Cherries in a Mediterranean Climate. Agronomy 2021, 11, 186. [Google Scholar] [CrossRef]
- Serradilla, M.J.; Fotiric, M.; Manganaris, G.A.; Ercisli, S.; González-gómez, D.; Valero, D. Fruit Chemistry, Nutritional Benefits and Social Aspects of Cherries. In Cherry Botany, Production and Uses; CABI: Oxfordshire, UK, 2017; pp. 420–441. [Google Scholar]
- Neilsen, G.; Kappel, F.; Neilsen, D. Fertigation and Crop Load Affect Yield, Nutrition, and Fruit Quality of “Lapins” Sweet Cherry on Gisela 5 Rootstock. HortScience 2007, 42, 1456–1462. [Google Scholar] [CrossRef]
- Blanco, V.; Zoffoli, J.P.; Ayala, M. High Tunnel Cultivation of Sweet Cherry (Prunus Avium L.): Physiological and Production Variables. Sci. Hortic. 2019, 251, 108–117. [Google Scholar] [CrossRef]
- Ryan, J.; Estefan, G.; Rashid, A. Soil and Plant Analysis Laboratory Manual; ICARDA, Ed.; ICARDA: Islamabad, Pakistan, 2001. [Google Scholar]






| Current Season Shoots | Spurs | Branch | Fruit | LA:F | |||
|---|---|---|---|---|---|---|---|
| Number | Leaf Area | Number | Leaf Area | Total Leaf Area | Number | Total Leaf Area/n° Fruits | |
| Treatments | (cm2) | (cm2) | (cm2) | (cm2·F−1) | |||
| TR1–CTL | 2.0 b | 1178 | 48.5 | 230 ab | 13,501 ab | 146 a | 104 b |
| TR2–G | 1.8 b | 1080 | 48.5 | 181 b | 10,676 b | 108 abc | 98.6 b |
| TR3–G + G | 5.4 a | 522 | 46.3 | 275 a | 15,560 a | 90.5 c | 180 a |
| TR4–S | 2.0 b | 914 | 48.7 | 201 b | 11,438 b | 141 ab | 85.7 b |
| TR5–S + G | 2.2 b | 1203 | 46.7 | 208 b | 12,315 ab | 98.0 bc | 134 ab |
| p-value | <0.001 | 0.197 | 0.983 | 0.001 | 0.016 | 0.005 | 0.008 |
| Upper Segment | Unitary Fresh Weight | Dry Weight | Diameter | Firmness | TSS | TA |
| Treatments | (g) | (%) | (mm) | (Durofel Unit 0–100) | (%) | (%) |
| TR1–CTL | 9.3 b | 18.3 a | 28.9 ab | 71.7 ab | 17.3 ab | 0.97 ab |
| TR2–G | 8.1 b | 18.2 a | 28.4 bc | 73.2 a | 15.6 b | 0.91 abc |
| TR3–G + G | 11.7 a | 21.2 a | 29.5 a | 67.5 b | 18.6 a | 1.0 a |
| TR4–S | 9.3 b | 18.4 a | 28.0 c | 70.3 ab | 16.4 b | 0.84 c |
| TR5–S + G | 9.8 b | 12.5 b | 27.0 d | 69.8 ab | 16.5 b | 0.87 bc |
| p–value | 0.0001 | <0.0001 | <0.0001 | 0.043 | 0.001 | 0.002 |
| Lower Segment | Unitary Fresh Weight | Dry Weight | Diameter | Firmness | TSS | TA |
| Treatments | (g) | (%) | (mm) | (Durofel Unit 0–100) | (%) | (%) |
| TR1–CTL | 9.8 | 17.0 a | 28.4 a | 72.3 | 15.7 | 0.93 |
| TR2–G | 9.8 | 17.9 a | 28.0 ab | 73.8 | 14.5 | 0.88 |
| TR3–G + G | 10.3 | 17.1 a | 27.4 b | 72.4 | 15.5 | 0.86 |
| TR4–S | 10.2 | 18.5 a | 28.2 a | 70.0 | 15.4 | 0.81 |
| TR5–S + G | 10.3 | 10.9 b | 27.3 b | 69.0 | 15.6 | 0.89 |
| p–value | 0.938 | <0.0001 | <0.0001 | 0.059 | 0.607 | 0.370 |
| Upper Segment | Ca | N | K | Mg | N:Ca | K:Ca | Mg:Ca | ||||
| Treatments | mg fruit−1 | mg 100 g−1 | mg fruit−1 | mg 100 g−1 | mg fruit−1 | mg 100 g−1 | mg fruit−1 | mg 100 g−1 | |||
| TR1–CTL | 1.1 | 9.9 | 20.3 | 181 | 18.3 | 163 | 1.2 | 11.0 a | 18.4 ab | 16.5 b | 1.1 |
| TR2–G | 1.2 | 11.9 | 23.3 | 232 | 19.7 | 197 | 1.3 | 13.0 a | 20.1 ab | 17.0 b | 1.1 |
| TR3–G + G | 0.9 | 6.6 | 24.6 | 191 | 19.9 | 156 | 0.9 | 6.9 b | 28.8 a | 23.7 a | 1.1 |
| TR4–S | 1.2 | 12.0 | 17.0 | 179 | 16.2 | 171 | 1.1 | 11.6 a | 15.6 b | 14.9 b | 1.0 |
| TR5–S + G | 1.2 | 12.8 | 20.8 | 199 | 18.3 | 199 | 1.1 | 12.3 a | 18.0 ab | 15.9 b | 1.0 |
| p–value | 0.561 | 0.072 | 0.306 | 0.203 | 0.422 | 0.073 | 0.155 | 0.005 | 0.040 | 0.027 | 0.335 |
| Lower Segment | Ca | N | K | Mg | N:Ca | K:Ca | Mg:Ca | ||||
| Treatments | mg fruit−1 | mg 100 g−1 | mg fruit−1 | mg 100 g−1 | mg fruit−1 | mg 100 g−1 | mg fruit−1 | mg 100 g−1 | |||
| TR1–CTL | 1.0 | 9.2 | 19.2 | 183 | 19.4 | 186 | 1.0 | 9.7 | 21.0 | 21.4 | 1.1 |
| TR2–G | 1.2 | 11.9 | 20.5 | 203 | 19.1 | 189 | 1.2 | 11.6 | 17.0 | 15.9 | 1.0 |
| TR3–G + G | 1.4 | 13.8 | 22.3 | 221 | 21.2 | 209 | 1.3 | 12.4 | 17.8 | 16.7 | 1.0 |
| TR4–S | 1.0 | 10.6 | 17.7 | 179 | 16.5 | 168 | 1.1 | 10.7 | 17.0 | 15.9 | 1.0 |
| TR5–S + G | 1.1 | 10.7 | 23.9 | 225 | 21.7 | 207 | 1.1 | 10.6 | 22.6 | 20.6 | 1.0 |
| p–value | 0.607 | 0.471 | 0.645 | 0.299 | 0.293 | 0.452 | 0.239 | 0.217 | 0.658 | 0.524 | 0.839 |
| LA:F (cm2·F−1) | Firmness (Durofel Unit 0–100) | |
|---|---|---|
| Ca (mg 100 g−1) | * −0.68 | * 0.43 |
| N:Ca | * 0.70 | * −0.29 |
| K:Ca | * 0.82 | * −0.39 |
| Mg:Ca | 0.02 | −0.19 |
Disclaimer/Publisher’s Note: The statements, opinions and data contained in all publications are solely those of the individual author(s) and contributor(s) and not of MDPI and/or the editor(s). MDPI and/or the editor(s) disclaim responsibility for any injury to people or property resulting from any ideas, methods, instructions or products referred to in the content. |
© 2023 by the authors. Licensee MDPI, Basel, Switzerland. This article is an open access article distributed under the terms and conditions of the Creative Commons Attribution (CC BY) license (https://creativecommons.org/licenses/by/4.0/).
Share and Cite
Quiroz, M.P.; Blanco, V.; Zoffoli, J.P.; Ayala, M. Study of Mineral Composition and Quality of Fruit Using Vascular Restrictions in Branches of Sweet Cherry. Plants 2023, 12, 1922. https://doi.org/10.3390/plants12101922
Quiroz MP, Blanco V, Zoffoli JP, Ayala M. Study of Mineral Composition and Quality of Fruit Using Vascular Restrictions in Branches of Sweet Cherry. Plants. 2023; 12(10):1922. https://doi.org/10.3390/plants12101922
Chicago/Turabian StyleQuiroz, María Paz, Víctor Blanco, Juan Pablo Zoffoli, and Marlene Ayala. 2023. "Study of Mineral Composition and Quality of Fruit Using Vascular Restrictions in Branches of Sweet Cherry" Plants 12, no. 10: 1922. https://doi.org/10.3390/plants12101922
APA StyleQuiroz, M. P., Blanco, V., Zoffoli, J. P., & Ayala, M. (2023). Study of Mineral Composition and Quality of Fruit Using Vascular Restrictions in Branches of Sweet Cherry. Plants, 12(10), 1922. https://doi.org/10.3390/plants12101922

