Chemical and Biological Evaluation of Amazonian Medicinal Plant Vouacapoua americana Aubl
Abstract
1. Introduction
2. Results and Discussion
2.1. Essential Oil Composition
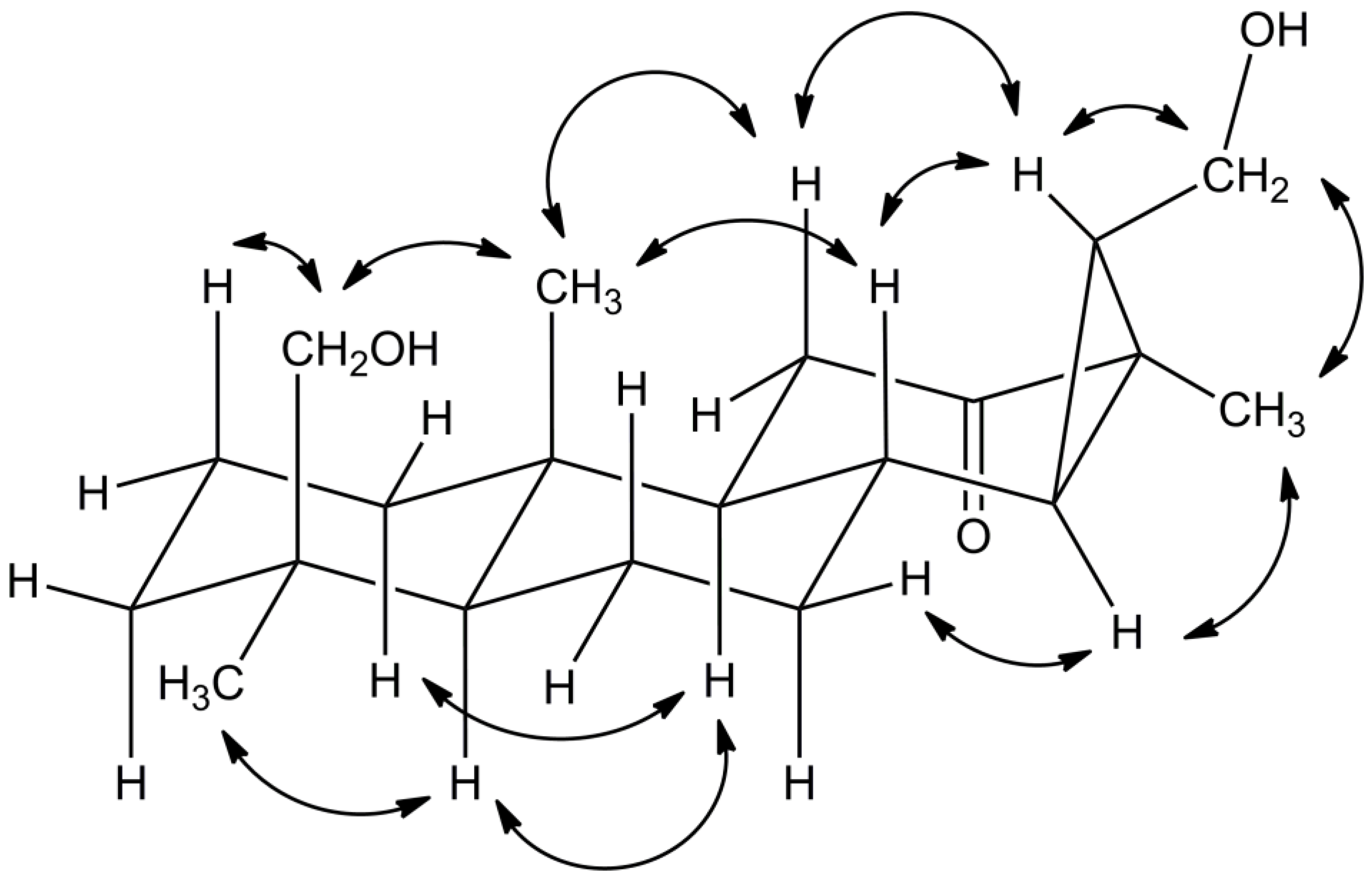
2.2. Isolation and Structure Elucidation
2.3. Bioactivity Assessments
3. Materials and Methods
3.1. General Experimental Procedures
3.2. Plant Material
3.3. Extraction and Isolation
3.4. Biological Activity
4. Conclusions
Supplementary Materials
Author Contributions
Funding
Data Availability Statement
Conflicts of Interest
References
- Vouacapoua Aubl. Available online: http://www.worldfloraonline.org/taxon/wfo-4000040438 (accessed on 14 November 2022).
- Cruz, E.D.; Gonçalves Pereira, A. Germinaçao de sementes de espécies amazônicas: Acapu (Vouacapoua americana Aubl.). Comun. Técnico Embrapa 2016, 288, 1–4. [Google Scholar]
- Rios, M.N.D.S.; Pastore Junior, F. Plantas da Amazônia: 450 Espécies de Uso Geral; Universidade de Brasília: Brasilia, Brazil, 2011; pp. 1433–1442. [Google Scholar]
- Kukachka, B.F. Properties of Imported Tropical Woods; U.S.D.A. Forest Service. Forest Products Laboratory: Madison, VI, USA, 1970; p. 49.
- Leite, A.M.C.; Lleras, E. Áreas prioritárias na Amazônia para conservaçao dos recursos genéticos de espécies florestais nativas: Fase preliminar. Acta Bot. Bras. 1993, 7, 61–94. [Google Scholar] [CrossRef]
- Pinto, L.N. Plantas Medicinais Utilizadas por Comunidades Domunicípio de Igarapé-Miri, Pará: Etnofarmácia do Município DeIgarapé-Miri-PA. Master’s Thesis, Universidade Federal do Pará, Belém, Brazil, 2008. [Google Scholar]
- Souza Filho, A.P.S.; Alves, S.M. Potencial alelopático de plantas de acapu (Vouacapoua americana): Efeitos sobre plantas daninhas de pastagens. Planta Daninha 2000, 18, 435–441. [Google Scholar] [CrossRef]
- Paracampo, N.E.; Müller, A.H.; Alves, S.D.; Filho, A.P.; Guilhon, G.M.; Aruda, M.S.; Santos, L.D.; Arruda, A.C. Atividade fitotóxica e fungitóxica de extratos de Vouacapoua cf americana Aublet (Leg.-Caesalp.), essência florestal Nativa da Amazônia. Rev. Ciências Agrárias 2009, 52, 9–22. [Google Scholar]
- Spoelstra, D.B. Ueber Das Aetherische Oel Und Den Krystallisierten Ester Aus Dem Kernholze von Vouacapoua americana Aubl. Recl. Trav. Chim. Pays-Bas 1930, 49, 226–236. [Google Scholar] [CrossRef]
- King, F.E.; Godson, D.H.; King, T.J. The Chemistry of extractives from hardwoods. Part XXII. The Structure of Diterpenes from Vouacapoua Species. J. Chem. Soc. 1955, 1117–1125. [Google Scholar] [CrossRef]
- Kido, T.; Taniguchi, M.; Baba, K. Diterpenoids from Amazonian Crude Drug of Fabaceae. Chem. Pharm. Bull. 2002, 51, 207–208. [Google Scholar] [CrossRef]
- Çiçek, S.S.; Pfeifer Barbosa, A.L.; Girreser, U. Quantification of Diterpene Acids in Copaiba Oleoresin by UHPLC-ELSD and Heteronuclear Two-Dimensional QNMR. J. Pharm. Biomed. Anal. 2018, 160, 126–134. [Google Scholar] [CrossRef]
- Barbosa, A.L.P.; Wenzel-Storjohann, A.; Barbosa, J.D.; Zidorn, C.; Peifer, C.; Tasdemir, D.; Çiçek, S.S. Antimicrobial and Cytotoxic Effects of the Copaifera reticulata Oleoresin and Its Main Diterpene Acids. J. Ethnopharmacol. 2019, 233, 94–100. [Google Scholar] [CrossRef]
- Çiçek, S.S.; Wenzel-Storjohann, A.; Girreser, U.; Tasdemir, D. Biological activities of two major copaiba diterpenoids and their semi-synthetic derivatives. Rev. Bras. Farmacogn. 2020, 30, 18–27. [Google Scholar] [CrossRef]
- Çiçek, S.S.; Galarza Pérez, M.; Wenzel-Storjohann, A.; Bezerra, R.M.; Segovia, J.F.O.; Girreser, U.; Kanzaki, I.; Tasdemir, D. Antimicrobial prenylated isoflavones from the leaves of the Amazonian medicinal plant Vatairea guianensis Aubl. J. Nat. Prod. 2022, 85, 927–935. [Google Scholar] [CrossRef] [PubMed]
- European Directorate for the Quality of Medicines & Health Care (EDQM). European Pharmacopoeia, 10th ed.; European Directorate for the Quality of Medicines & Health Care (EDQM): Strasbourg, France, 2020. [Google Scholar]
- Adams, R.P. Identification of Essential Oil Components by Gas Chromatography/Mass Spectrometry, 4th ed.; Allured Publishing Corporation: Carol Stream, IL, USA, 2007. [Google Scholar]
- He, D.; Li, Y.; Tang, H.; Ma, R.; Li, X.; Wang, L. Six new cassane diterpenes from the twigs and leaves of Tara (Caesalpinia spinosa Kuntze). Fitoterapia 2015, 105, 273–277. [Google Scholar] [CrossRef] [PubMed]
- Torres-Mendoza, D.; Ureña González, L.D.; Ortega-Barría, E.; Coley, P.D.; Kursar, T.A.; Capson, T.L.; McPhail, K.; Cubilla-Rios, L. Novel Cassane and Cleistanthane Diterpenes from Myrospermum frutescens: Absolute Stereochemistry of the Cassane Diterpene Series. J. Nat. Prod. 2004, 67, 1711–1715. [Google Scholar] [CrossRef]
- Ma, G.; Wu, H.; Chen, D.; Zhu, N.; Zhu, Y.; Sun, Z.; Li, P.; Yang, J.; Yuan, J.; Xu, X. Antimalarial and Antiproliferative Cassane Diterpenes of Caesalpinia sappan. J. Nat. Prod. 2015, 78, 2364–2371. [Google Scholar] [CrossRef] [PubMed]
- Wu, H.-F.; Zhu, Y.-D.; Sun, Z.-H.; Yuan, J.-Q.; Wei, H.; Zhang, X.-P.; Tian, Y.; Yang, J.-S.; Ma, G.-X.; Xu, X.-D. Norcassane- and Cassane-Type Furanoditerpenoids from the Seeds of Caesalpinia sappan. Fitoterapia 2014, 98, 22–26. [Google Scholar] [CrossRef] [PubMed]
- Yuanting, J.; Ruikang, H.; Yang, L.; Hanqiao, L. Two New Cassane-Type Diterpenoids from the Seeds of Caesalpinia sappan. Nat. Prod. Res. 2022, 36, 2078–2084. [Google Scholar] [CrossRef]
- Ha, M.T.; Tran, M.H.; Phuong, T.T.; Kim, J.A.; Woo, M.H.; Choi, J.S.; Lee, S.; Lee, J.H.; Lee, H.K.; Min, B.S. Cytotoxic and Apoptosis-Inducing Activities against Human Lung Cancer Cell Lines of Cassaine Diterpenoids from the Bark of Erythrophleum fordii. Bioorg. Med. Chem. Lett. 2017, 27, 2946–2952. [Google Scholar] [CrossRef]
- Chen, B.-L.; Zhu, Q.-F.; Zhang, X.; Lin, Y.; Long, Q.-D.; Liu, W.-L.; Yan, X.-L. An Unusual Indole-Diterpenoid with C-17 Norcassane Skeleton from Euphorbia fischeriana Induces HEL Cell Cycle Arrest and Apoptosis. Fitoterapia 2022, 159, 105195. [Google Scholar] [CrossRef]
- Yan, X.-L.; Zhang, J.-S.; Huang, J.-L.; Zhang, Y.; Chen, J.-Q.; Tang, G.-H.; Yin, S. Euphonoids A-G, Cytotoxic Diterpenoids from Euphorbia fischeriana. Phytochemistry 2019, 166, 112064. [Google Scholar] [CrossRef]
- Li, M.; He, F.; Zhou, Y.; Wang, M.; Tao, P.; Tu, Q.; Lv, G.; Chen, X. Three New Ent-Abietane Diterpenoids from the Roots of Euphorbia fischeriana and Their Cytotoxicity in Human Tumor Cell Lines. Arch. Pharm. Res. 2019, 42, 512–518. [Google Scholar] [CrossRef]
- Wei, J.-C.; Gao, Y.-N.; Wang, D.-D.; Zhang, X.-Y.; Fan, S.-P.; Bao, T.-R.-G.; Gao, X.-X.; Hu, G.-S.; Wang, A.-H.; Jia, J.-M. Discovery of Highly Oxidized Abietane Diterpenoids from the Roots of Euphorbia Fischeriana with Anti-Tumor Activities. Chin. J. Chem. 2021, 39, 2973–2982. [Google Scholar] [CrossRef]
- Zhang, X.; Li, W.; Shen, L.; Wu, J. Four New Diterpenes from the Mangrove Ceriops tagal and Structure Revision of Four Dolabranes with a 4,18-Epoxy Group. Fitoterapia 2018, 124, 1–7. [Google Scholar] [CrossRef] [PubMed]
- Smith, E.; Williamson, E.; Zloh, M.; Gibbons, S. Isopimaric Acid from Pinus nigra Shows Activity against Multidrug-Resistant and EMRSA Strains of Staphylococcus aureus. Phytotherapy Res. 2005, 19, 538–542. [Google Scholar] [CrossRef] [PubMed]
- Oluwatuyi, M.; Kaatz, G.W.; Gibbons, S. Antibacterial and Resistance Modifying Activity of Rosmarinus officinalis. Phytochemistry 2004, 65, 3249–3254. [Google Scholar] [CrossRef]
- Boucher, H.W.; Talbot, G.H.; Bradley, J.S.; Edwards, J.E.; Gilbert, D.; Rice, L.B.; Scheld, M.; Spellberg, B.; Bartlett, J. Bad Bugs, No Drugs: No ESKAPE! An Update from the Infectious Diseases Society of America. Clin. Infect. Dis. 2009, 48, 1–12. [Google Scholar] [CrossRef] [PubMed]


| Compound Name | tR 1 [min] | ToC 2 [%] | CoS 3 [%] | RIexp 4 | RIlit 5 | SI 6 | RSI 7 | ID 8 |
|---|---|---|---|---|---|---|---|---|
| α-copaene | 19.56 | 0.23 | 1.0 | 1375 | 1374 | 856 | 874 | RI, MS |
| β-caryophyllene | 21.30 | 0.63 | 2.7 | 1418 | 1417 | 906 | 910 | RI, MS |
| rotundene | 22.95 | 0.35 | 1.5 | 1459 | 1457 | 812 | 901 | RI, MS |
| γ-muurolene | 23.48 | 0.60 | 2.6 | 1473 | 1478 | 925 | 933 | RI, MS |
| α-muurolene | 24.42 | 0.71 | 3.0 | 1496 | 1500 | 924 | 931 | RI, MS |
| γ-cadinene | 24.96 | 0.31 | 1.3 | 1510 | 1513 | 894 | 911 | RI, MS |
| δ-cadinene | 25.21 | 1.94 | 8.3 | 1516 | 1522 | 872 | 900 | RI, MS |
| trans-cadina-1,4-diene | 25.71 | 0.53 | 2.3 | 1529 | 1533 | 894 | 943 | RI, MS |
| α-calacorene | 26.01 | 0.91 | 3.9 | 1537 | 1544 | 891 | 933 | RI, MS |
| caryophyllene oxide | 27.53 | 0.28 | 1.2 | 1577 | 1582 | 837 | 848 | RI, MS |
| τ-muurolol | 29.87 | 0.70 | 3.0 | 1640 | 1640 | 868 | 880 | RI, MS |
| α-cadinol | 30.31 | 0.69 | 3.0 | 1651 | 1652 | 856 | 865 | RI, MS |
| cadalene | 30.90 | 0.40 | 1.7 | 1668 | 1675 | 750 | 842 | RI, MS |
| amorpha-4,9-dien-2-ol | 31.88 | 0.27 | 1.2 | 1694 | 1700 | 771 | 785 | RI, MS |
| (+)-methyl vouacapenate (5) | 56.68 | 76.67 | 2446 | — | — | — | Ref. |
| Position | 1H NMR | 13C NMR |
|---|---|---|
| 1 | 0.89 m, 1.60 dt (3.9, 12.7) | 38.1, CH2 |
| 2 | 1.46 (2H) m | 18.2, CH2 |
| 3 | 0.93 m, 1.80 m | 35.5, CH2 |
| 4 | 38.5, C | |
| 5 | 1.03 dd (2.5, 12.7) | 55.2, CH |
| 6 | 1.34 m, 1.78 m | 22.1, CH2 |
| 7 | 1.23 m, 2.05 m | 35.5, CH2 |
| 8 | 1.67 m | 36.8, CH |
| 9 | 1.12 td (1.9, 11.7) | 57.0, CH |
| 10 | 37.2, C | |
| 11 | 1.85 t (14.1), 2.20 dd (2.1, 14.3) | 36.5, CH2 |
| 12 | 211.4, C | |
| 13 | 33.5, C | |
| 14 | 1.01 dd (1.5, 12.9) | 38.3, CH |
| 15 | 1.51 m | 37.2, CH |
| 16 | 3.56 dd (7.8, 11.6), 3.79 dd (6.0, 11.7) | 62.4, CH2 |
| 17 | 1.23 s | 14.1, CH3 |
| 18 | 0.95 s | 27.0, CH3 |
| 19 | 3.42 d (10.9), 3.72 d (10.9) | 65.2, CH2 |
| 20 | 0.76 s | 14.8, CH3 |
| 1 | 2 | 3 | 4 | 5 | PC | |
|---|---|---|---|---|---|---|
| MRSA | – | 13.5 ± 5.6 | – | 12.0 ± 5.1 | – | 4.6 ± 0.1 |
| E. faecium | – | – | – | 8.3 ± 1.3 | – | 0.6 ± 0.0 |
Disclaimer/Publisher’s Note: The statements, opinions and data contained in all publications are solely those of the individual author(s) and contributor(s) and not of MDPI and/or the editor(s). MDPI and/or the editor(s) disclaim responsibility for any injury to people or property resulting from any ideas, methods, instructions or products referred to in the content. |
© 2022 by the authors. Licensee MDPI, Basel, Switzerland. This article is an open access article distributed under the terms and conditions of the Creative Commons Attribution (CC BY) license (https://creativecommons.org/licenses/by/4.0/).
Share and Cite
Çiçek, S.S.; Pfeifer Barbosa, A.L.; Wenzel-Storjohann, A.; Segovia, J.F.O.; Bezerra, R.M.; Sönnichsen, F.; Zidorn, C.; Kanzaki, I.; Tasdemir, D. Chemical and Biological Evaluation of Amazonian Medicinal Plant Vouacapoua americana Aubl. Plants 2023, 12, 99. https://doi.org/10.3390/plants12010099
Çiçek SS, Pfeifer Barbosa AL, Wenzel-Storjohann A, Segovia JFO, Bezerra RM, Sönnichsen F, Zidorn C, Kanzaki I, Tasdemir D. Chemical and Biological Evaluation of Amazonian Medicinal Plant Vouacapoua americana Aubl. Plants. 2023; 12(1):99. https://doi.org/10.3390/plants12010099
Chicago/Turabian StyleÇiçek, Serhat Sezai, Anna Laís Pfeifer Barbosa, Arlette Wenzel-Storjohann, Jorge Federico Orellana Segovia, Roberto Messias Bezerra, Frank Sönnichsen, Christian Zidorn, Isamu Kanzaki, and Deniz Tasdemir. 2023. "Chemical and Biological Evaluation of Amazonian Medicinal Plant Vouacapoua americana Aubl" Plants 12, no. 1: 99. https://doi.org/10.3390/plants12010099
APA StyleÇiçek, S. S., Pfeifer Barbosa, A. L., Wenzel-Storjohann, A., Segovia, J. F. O., Bezerra, R. M., Sönnichsen, F., Zidorn, C., Kanzaki, I., & Tasdemir, D. (2023). Chemical and Biological Evaluation of Amazonian Medicinal Plant Vouacapoua americana Aubl. Plants, 12(1), 99. https://doi.org/10.3390/plants12010099

