Short-Term Exposure of Dactylis glomerata Pollen to Atmospheric Gaseous Pollutants Is Related to an Increase in IgE Binding in Patients with Grass Pollen Allergies
Abstract
1. Introduction
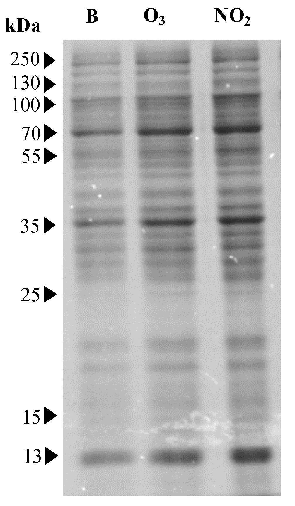
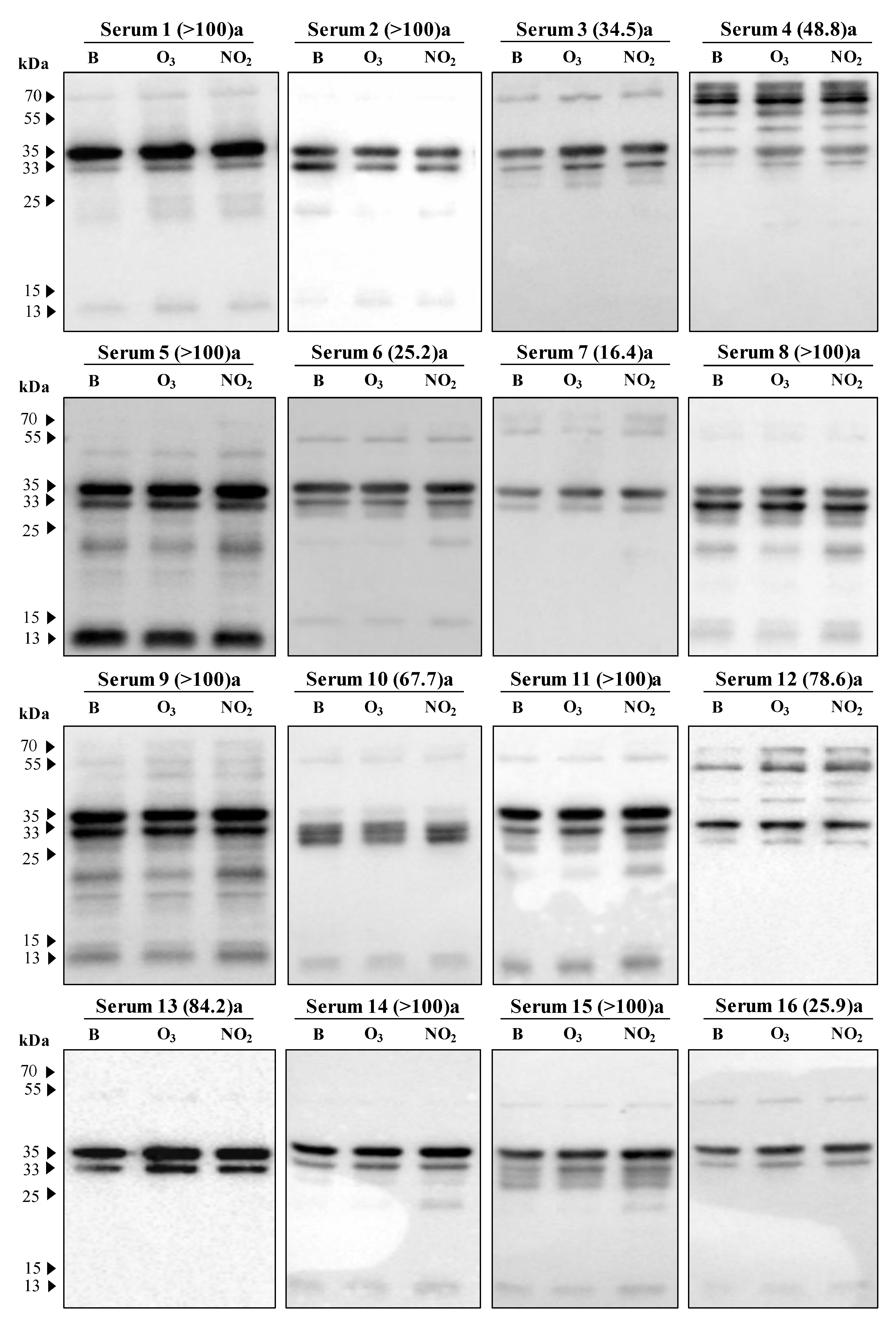
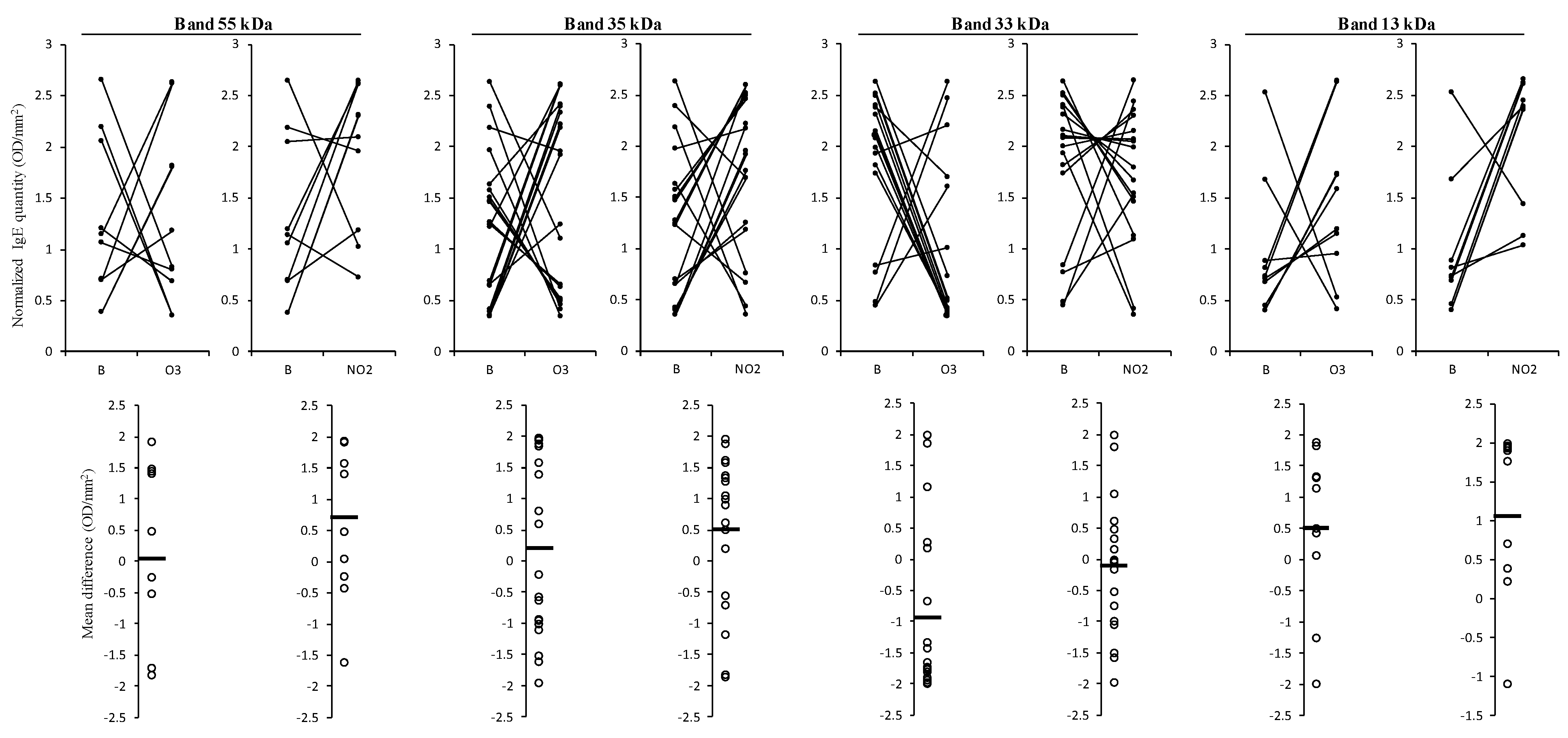
2. Results
3. Discussion
4. Materials and Methods
4.1. Pollen Samples
4.2. Patient Sera
4.3. In Vitro Exposure to Gases Pollutants
4.4. Protein Extraction and Quantification
4.5. ELISA Immunoassay
4.6. SDS-PAGE and Immunoblots
4.7. Statistical Analysis
5. Conclusions
Author Contributions
Funding
Data Availability Statement
Acknowledgments
Conflicts of Interest
References
- Soreng, R.J.; Peterson, P.M.; Romaschenko, K.; Davidse, G.; Zuloaga, F.O.; Judziewicz, E.J.; Filgueiras, T.S.; Davis, J.I.; Morrone, O. A worldwide phylogenetic classification of the Poaceae (Gramineae). J. Syst. Evol. 2015, 53, 117–137. [Google Scholar] [CrossRef]
- Volkova, O.; Severova, E. Poaceae pollen season and associations with meteorological parameters in Moscow, Russia, 1994–2016. Aerobiologia 2019, 35, 73–84. [Google Scholar] [CrossRef]
- García-Mozo, H. Poaceae pollen as the leading aeroallergen worldwide: A review. Allergy 2017, 72, 1849–1858. [Google Scholar] [CrossRef] [PubMed]
- De Linares, C.; Díaz de la Guardia, C.; Nieto Lugilde, D.; Alba, F. Airborne study of grass allergen (Lol p 1) in different sized particles. Int. Arch. Allergy Immunol. 2010, 152, 49–57. [Google Scholar] [CrossRef] [PubMed]
- D’Amato, G.; Cecchi, L.; Bonini, S.; Nunes, C.; Annesi-Maesano, I.; Behrendt, H.; Liccardi, G.; Popov, T.; van Cauwenberge, P. Allergenic pollen and pollen allergy in Europe. Allergy 2007, 62, 976–990. [Google Scholar] [CrossRef]
- Kleine-Tebbe, J.; Davies, J. Grass pollen allergens. In Global atlas of Allergy; European Academy of Allergy and Clinical Immunology (EAACI): Zürich, Switzerland, 2014; pp. 22–26. Available online: http://www.eaaci.org/globalatlas/GlobalAtlasAllergy.pdf (accessed on 19 July 2022).
- Dehdari Rad, H.; Assarehzadegan, M.A.; Goudarzi, G.; Sorooshian, A.; Tahmasebi Birgani, Y.; Maleki, H.; Jahantab, S.; Idani, E.; Babaei, A.A.; Neisi, A. Do Conocarpus erectus airborne pollen grains exacerbate autumnal thunderstorm asthma attacks in Ahvaz, Iran? Atmos. Environ. 2019, 213, 311–325. [Google Scholar] [CrossRef]
- Moses, L.; Morrissey, K.; Sharpe, R.A.; Taylor, T. Exposure to indoor mouldy odour increases the risk of asthma in older adults living in social housing. Int. J. Environ. Res. Public Health 2019, 16, 2600. [Google Scholar] [CrossRef]
- Armentia, A.; Bañuelos, C.; Arranz, M.L.; Del Villar, V.; Martín Santos, J.M.; Martin Gil, F.J.; Vega, J.M.; Callejo, A.; Paredes, C. Early introduction of cereals into children’s diet as a risk-factor of grass-pollen asthma. Clin. Exp. Allergy 2001, 31, 1250–12555. [Google Scholar] [CrossRef]
- Armentia, A.; Lombardero, M.; Callejo, A.; Barber, D.; Gil, F.M.; Martin-Santos, J.; Vega, J.M.; Arranz, M.L. Is Lolium pollen from an urban environment more allergenic than rural pollen? Allergol. Immunopath. 2002, 30, 218–224. [Google Scholar] [CrossRef]
- Ashore, I.; Boner, A.; Chatelaine, A.; Custovic, A.; Dagli, E.; Haus, M.; Hemmo-Lotem, M.; Holgate, S.T.; Holt, P.G.; Iikura, I.; et al. Prevention of allergy and asthma: Interim report. Allergy 2000, 55, 1069–1088. [Google Scholar]
- Smiljanic, K.; Prodic, I.; Apostolovic, D.; Cvetkovic, A.; Veljovic, D.; Mutic, J.; van Hage, M.; Burazer, L.; Cirkovic Velickovic, T. In-depth quantitative profiling of post-translational modifications of Timothy grass pollen allergome in relation to environmental oxidative stress. Environ. Int. 2019, 126, 644–658. [Google Scholar] [CrossRef]
- Sénéchal, H.; Visez, N.; Charpin, D.; Shahali, Y.; Peltre, G.; Biolley, J.P.; Lhuissier, F.; Couderc, R.; Yamada, O.; Malrat-Domenge, A.; et al. A Review of the Effects of Major Atmospheric Pollutants on Pollen Grains, Pollen Content, and Allergenicity. Sci. World J. 2015, 2015, 940243. [Google Scholar] [CrossRef] [PubMed]
- Ulrike, F.; Dieter, E. Effects of NO2 and Ozone on pollen allergenicity. Front. Plant Sci. 2016, 7, 91. [Google Scholar]
- Bosch-Cano, F.; Bernard, N.; Sudre, B.; Gillet, F.; Thibaudon, M.; Richard, H.; Badot, P.M.; Ruffaldi, P. Human exposure to allergenic pollens: A comparison between urban and rural areas. Environ. Res. 2011, 111, 619–625. [Google Scholar] [CrossRef] [PubMed]
- WHO. WHO Air Quality Guidelines for Particulate Matter, Ozone, Nitrogen Dioxide and Sulfur Dioxide-Global Update 2005-Summary of Risk Assessment; WHO: Geneva, Switzerland, 2006. [Google Scholar]
- D’Amato, M. Environmental urban factors (air pollution and allergens) and the rising trends in allergic respiratory diseases. Allergy 2002, 57, 30–33. [Google Scholar] [CrossRef] [PubMed]
- D’Amato, G.; Liccardi, G.; D’Amato, M.; Hologate, S. Environmental risk factors and allergic bronchial asthma. Clin. Exp. Allergy 2005, 35, 1113–1124. [Google Scholar]
- Eckl-Dorna, J.; Klein, B.; Reichenauer, T.G.; Niederberger, V.; Valenta, R. Exposure of rye (Secale cereale) to elevated ozone levels increases the allergen content in pollen. J. Allergy Clin. Immunol. 2010, 126, 1315–1317. [Google Scholar] [CrossRef]
- Masuch, G.; Franz, J.T.; Schoene, K.; Müsken, H.; Bergmann, K.C. Ozone increases group 5 allergen content of Lolium perenne. Allergy 1997, 52, 874–875. [Google Scholar] [CrossRef]
- Bernstein, J.A.; Alexis, N.; Barnes, C.; Bernstein, I.L.; Nel, A.; Peden, D.; Diaz-Sanchez, D.; Tarlo, S.M.; Williams, P.B.; Bernstein, J.A. Health effects of air pollution. J. Allergy Clin. Immunol. 2004, 114, 1116–1123. [Google Scholar] [CrossRef]
- Pöschl, U.; Shiraiwa, M. Multiphase Chemistry at the Atmosphere—Biosphere Interface Influencing Climate and Public Health in the Anthropocene. Chem. Rev. 2015, 115, 4440–4475. [Google Scholar] [CrossRef]
- Reinmuth-Selzle, K.; Kampf, C.J.; Lucas, K.; Lang-Yona, N.; Frö hlich-Nowoisky, J.; Shiraiwa, M.; Lakey, P.S.J.; Lai, S.; Liu, F.; Kunert, A.T.; et al. Air Pollution and Climate Change Effects on Allergies in the Anthropocene: Abundance, Interaction, and Modification of Allergens and Adjuvants. Environ. Sci. Technol. 2017, 51, 4119–4141. [Google Scholar] [CrossRef]
- Traidl-Hoffmann, C.; Jakob, T.; Behrendt, H. Determinants of allergenicity. J. Allergy Clin. Immunol. 2009, 123, 558–566. [Google Scholar] [CrossRef] [PubMed]
- Averina, M.; Brox, J.; Huber, S.; Furberg, A.S.; Sorensen, M. Serum perfluoroalkyl substances (PFAS) and risk of asthma and various allergies in adolescents. The Tromso study Fit Futures in Northern Norway. Environ. Res. 2019, 169, 114–121. [Google Scholar] [CrossRef] [PubMed]
- García de León, D.; García-Mozo, H.; Galán, C.; Alcázar, P.; Lima, M.; González-Andujar, J.L. Disentangling the effects of feedback structure and climate on Poaceae annual airborne pollen fluctuations and the possible consequences of climate change. Sci. Total Environ. 2015, 530, 103–109. [Google Scholar] [CrossRef] [PubMed]
- García-Mozo, H.; Oteros, J.A.; Galán, C. Impact of land cover changes and climate on the main airborne pollen types in Southern Spain. Sci. Total Environ. 2016, 548, 221–228. [Google Scholar] [CrossRef] [PubMed]
- Cecchi, L.; D’Amato, G.; Ayres, J.G.; Galán, C.; Forastiere, F.; Forsberg, B.; Gerritsen, J.; Nunes, C.; Behrendt, H.; Akdis, C.; et al. Projections of the effects of climate change on allergic asthma: The contribution of aerobiology. Allergy 2010, 65, 1073–1081. [Google Scholar] [CrossRef] [PubMed]
- Helander, M.L.; Savolainen, J.; Ahlholm, J. Effects of air pollution and other environmental factors on birch pollen allergens. Allergy 1997, 52, 1207–1214. [Google Scholar] [CrossRef]
- Ruznak, C.; Devalia, J.L.; Davies, R.J. The impact of pollution on allergic disease. Allergy 1994, 49, 21–27. [Google Scholar] [CrossRef]
- Bernstein, D.I. Diesel exhaust exposure, wheezing and sneezing. Allergy Asthma Immunol. Res. 2012, 4, 178–183. [Google Scholar] [CrossRef]
- Murrison, L.B.; Brandt, E.B.; Myers, J.B.; Khurana Hershey, G.K. Environmental exposures and mechanisms in allergy and asthma development. J. Clin. Investig. 2019, 129, 1504–1515. [Google Scholar] [CrossRef]
- Yang, S.-I. Particulate matter and childhood allergic diseases. Korean J. Pediatr. 2019, 62, 22–29. [Google Scholar] [CrossRef] [PubMed]
- Rahman, A.; Luo, C.; Rahaman-Khan, M.H.; Ke, J.; Thilakanayaka, V.; Kumar, S. Influence of atmospheric PM2.5, PM10, O3, CO, NO2, SO2, and meteorological factors on the concentration of airborne pollen in Guangzhou, China. Atmos. Environ. 2019, 212, 290–304. [Google Scholar] [CrossRef]
- Bist, A.; Pandit, T.; Bhatnagar, A.K.; Singh, A.B. Variability in protein content of pollen of Castor bean (Ricinus communis) before and after exposure to the air pollutants SO2 and NO2. Grana 2004, 43, 94–100. [Google Scholar] [CrossRef]
- Parui, S.; Mondal, A.K.; Mandal, S. Protein content and patient skin test sensitivity of the pollen of Argemone mexicana on exposure to SO2. Grana 1998, 37, 121–124. [Google Scholar] [CrossRef][Green Version]
- Ribeiro, H.; Costa, C.; Abreu, I.; Esteves da Silva, J.C.G. Effect of O3 and NO2 atmospheric pollutants on Platanus x acerifolia pollen: Immunochemical and spectroscopic analysis. Sci. Tot. Environ. 2017, 599, 291–297. [Google Scholar] [CrossRef] [PubMed]
- Cabrera, M.; Subiza, J.; Fernández-Caldas, E.; García, B.G.; Moreno-Grau, S.; Subiza, J.L. Influence of environmental drivers on allergy to pollen grains in a case study in Spain (Madrid): Meteorological factors, pollutants, and airborne concentration of aeroallergens. Environ. Sci. Pollut. Res. 2021, 28, 53614–53628. [Google Scholar] [CrossRef]
- Ščevková, J.; Vašková, Z.; Sepšiová, R.; Dušička, J.; Kováč, J. Relationship between Poaceae pollen and Phl p 5 allergen concentrations and the impact of weather variables and air pollutants on their levels in the atmosphere. Heliyon 2020, 6, e04421. [Google Scholar] [CrossRef]
- Ščevková, J.; Vašková, Z.; Sepšiová, R.; Kováč, J. Seasonal variation in the allergenic potency of airborne grass pollen in Bratislava (Slovakia) urban environment. Environ. Sci. Pollut. Res. 2021, 28, 62583–62592. [Google Scholar] [CrossRef]
- Pavón-Romero, G.F.; Calderón-Ezquerro, M.C.; Rodríguez-Cervantes, M.A.; Fernández-Villanueva, D.; Melgoza-Ruiz, E.; Ramírez-Jiménez, F.; Teran, L.M. Association of Allergic Sensitivity and Pollination in Allergic Respiratory Disease: The Role of Pollution. J. Asthma Allergy 2022, 15, 1227–1243. [Google Scholar] [CrossRef]
- Chassard, G.; Choël, M.; Gosselin, S.; Vorng, H.; Petitprez, D.; Shahali, Y.; Tsicopoulos, A.; Visez, N. Kinetic of NO2 uptake by Phleum pratense pollen: Chemical and allergenic implications. Environ. Pollut. 2015, 196, 107–113. [Google Scholar] [CrossRef]
- Barnes, J.; Zheng, U.; Lyons, T. Plant resistance to ozone: The role of ascorbate. In Air Pollution and Plant Biotechnology Prospects for Phytomonitoring and Phytoremediation; Omasa, K., Saji, H., Youssefian, S., Kondo, N., Eds.; Springer: Tokyo, Japan, 2002; pp. 235–252. [Google Scholar]
- Kanter, U.; Heller, W.; Durner, J.; Winkler, J.B.; Engel, M.; Behrendt, H.; Holzinger, A.; Braun, P.; Hauser, M.; Ferreira, F.; et al. Molecular and Immunological Characterization of Ragweed (Ambrosia artemisiifolia L.) Pollen after Exposure of the Plants to Elevated Ozone over a Whole Growing Season. PLoS ONE 2013, 8, e61518. [Google Scholar] [CrossRef] [PubMed]
- Ribeiro, H.; Duque, L.; Sousa, R.; Abreu, I. Ozone effects on soluble protein content of Acer negundo, Quercus robur and Platanus spp. pollen. Aerobiologia 2013, 29, 443–447. [Google Scholar] [CrossRef]
- Ribeiro, H.; Duque, L.; Sousa, R.; Cruz, A.; Gomes, C.; da Silva, J.; Abreu, I. Changes in the IgE-reacting protein profiles of Acer negundo, Platanus x acerifolia and Quercus robur pollen in response to ozone treatment. Int. J. Environ. Health. Res. 2014, 24, 515–527. [Google Scholar] [CrossRef] [PubMed]
- Pasqualini, S.; Tedeschini, E.; Frenguelli, G.; Wopfner, N.; Ferreira, F.; D’Amato, G.; Ederli, L. Ozone affects pollen viability and NAD(P)H oxidase release from Ambrosia artemisiifolia pollen. Environ. Pollut. 2011, 159, 2823–2830. [Google Scholar] [CrossRef]
- Zhao, F.; Elkelish, A.; Durner, J.; Lindermayr, C.; Winkler, J.B.; Ruёff, F.; Behrendt, H.; Traidl-Hoffmann, C.; Holzinger, A.; Kofler, W.; et al. Common ragweed (Ambrosia artemisiifolia L.): Allergenicity and molecular characterisation of pollen after plant exposure to elevated NO2. Plant Cell Environ. 2016, 39, 147–164. [Google Scholar] [CrossRef]
- Shiraiwa, M.; Selzle, K.; Poschl, U. Hazardous components and health effects of atmospheric aerosol particles: Reactive oxygen species, soot, polycyclic aromatic compounds and allergenic proteins. Free Radic. Res. 2012, 46, 927–939. [Google Scholar] [CrossRef]
- Beck, I.; Jochner, S.; Gilles, S.; McIntyre, M.; Buters, J.T.M.; Schmidt-Weber, C.; Behrendt, H.; Ring, J.; Menzel, A.; Traidl-Hoffmann, C. High environmental ozone levels lead to enhanced allergenicity of birch pollen. PLoS ONE 2013, 8, e80147. [Google Scholar] [CrossRef]
- Motta, A.C.; Marliere, M.; Peltre, G.; Sterenberg, P.A.; Lacroix, G. Traffic-related air pollutants induce the release of allergen-containing cytoplasmic granules from grass pollen. Int. Arch. Allergy Immunol. 2006, 139, 294–298. [Google Scholar] [CrossRef]
- Rogerieux, F.; Godfrin, D.; Senèchal, H.; Motta, A.C.; Marliére, M.; Peltre, G.; Lacroix, G. Modifications of Phleum pratense grass pollen allergens following artificial exposure to gaseous air pollutants (O3, NO2, SO2). Int. Arch. Allergy Immunol. 2007, 143, 127–134. [Google Scholar] [CrossRef]
- Davies, J.M.; Matricardi, P.M.; Schmid, J. Grass Pollen Allergy. In EAACI Molecular Allergology User ‘s Guide 2016, Part B: Using Molecular Allergology In The Clinical Practice; Matricardi, P.M., Kleine-Tebbe, J., Jürgen Hoffmann, H., Valenta, R., Ollert, M., Eds.; European Academy of Allergy and Clinical Immunology: Zurich, Switzerland, 2016; pp. 85–94. [Google Scholar]
- Ferreira, F.; Hawranek, T.; Gruber, P.; Wopfner, N.; Mari, A. Allergic cross-reactivity: From gene to the clinic. Allergy 2004, 59, 243–267. [Google Scholar] [CrossRef]
- Hejl, C.; Wurtzen, P.A.; Kleine-Tebbe, J.; Johansen, N.; Broge, L.; Ipsen, H. Phleum pratense alone is sufficient for allergen-specific immunotherapy against allergy to Pooideae grass pollens. Clin. Exp. Allergy 2009, 39, 752–759. [Google Scholar]
- Sousa, R.; Duque, L.; Duarte, A.J.; Gomes, C.R.; Ribeiro, H.; Cruz, A.; Esteves, J.C.G.; Abreu, I. In vitro exposure of Acer negundo pollen to atmospheric levels of SO2 and NO2: Effects on allergenicity and germination. Environ. Sci. Technol. 2012, 46, 2406–2412. [Google Scholar] [CrossRef] [PubMed]
- Bradford, M.M. A rapid and sensitive method for the quantitation of microgram quantities of protein utilising the principle of protein dye binding. Anal. Biochem. 1976, 72, 248–254. [Google Scholar] [CrossRef] [PubMed]
- de Leon, M.P.; Glaspole, I.N.; Drew, A.C.; Rolland, J.M.; O’Hehir, R.E.; Suphioglu, C. Immunological analysis of allergenic cross-reactivity between peanut and tree nuts. Clin. Exp. Allergy 2003, 33, 1273–1280. [Google Scholar] [CrossRef] [PubMed]
- Cases, B.; Ibañez, M.D.; Tudela, J.I.; Sanchez-Garcia, S.; Del Rio, P.R.; Fernandez, E.A.; Escudero, C.; Fernández-Caldas, E. Immunological cross-reactivity between olive and grass pollen: Implication of major and minor allergens. World Allergy Organ. J. 2014, 7, 11. [Google Scholar] [CrossRef] [PubMed]
- Laemmli, U.K. Cleavage of structural proteins during assembly of head of bacteriophage-T4. Nature 1970, 227, 680–685. [Google Scholar] [CrossRef]







Disclaimer/Publisher’s Note: The statements, opinions and data contained in all publications are solely those of the individual author(s) and contributor(s) and not of MDPI and/or the editor(s). MDPI and/or the editor(s) disclaim responsibility for any injury to people or property resulting from any ideas, methods, instructions or products referred to in the content. |
© 2022 by the authors. Licensee MDPI, Basel, Switzerland. This article is an open access article distributed under the terms and conditions of the Creative Commons Attribution (CC BY) license (https://creativecommons.org/licenses/by/4.0/).
Share and Cite
Fernández-González, M.; Ribeiro, H.; Rodríguez-Rajo, F.J.; Cruz, A.; Abreu, I. Short-Term Exposure of Dactylis glomerata Pollen to Atmospheric Gaseous Pollutants Is Related to an Increase in IgE Binding in Patients with Grass Pollen Allergies. Plants 2023, 12, 76. https://doi.org/10.3390/plants12010076
Fernández-González M, Ribeiro H, Rodríguez-Rajo FJ, Cruz A, Abreu I. Short-Term Exposure of Dactylis glomerata Pollen to Atmospheric Gaseous Pollutants Is Related to an Increase in IgE Binding in Patients with Grass Pollen Allergies. Plants. 2023; 12(1):76. https://doi.org/10.3390/plants12010076
Chicago/Turabian StyleFernández-González, María, Helena Ribeiro, Fco. Javier Rodríguez-Rajo, Ana Cruz, and Ilda Abreu. 2023. "Short-Term Exposure of Dactylis glomerata Pollen to Atmospheric Gaseous Pollutants Is Related to an Increase in IgE Binding in Patients with Grass Pollen Allergies" Plants 12, no. 1: 76. https://doi.org/10.3390/plants12010076
APA StyleFernández-González, M., Ribeiro, H., Rodríguez-Rajo, F. J., Cruz, A., & Abreu, I. (2023). Short-Term Exposure of Dactylis glomerata Pollen to Atmospheric Gaseous Pollutants Is Related to an Increase in IgE Binding in Patients with Grass Pollen Allergies. Plants, 12(1), 76. https://doi.org/10.3390/plants12010076

