A Multi-Level Approach as a Powerful Tool to Identify and Characterize Some Italian Autochthonous Common Bean (Phaseolus vulgaris L.) Landraces under a Changing Environment
Abstract
1. Introduction
2. Results
2.1. Seed Morphological Parameters and Genetic Data
2.2. Phaseolin Pattern Characterization
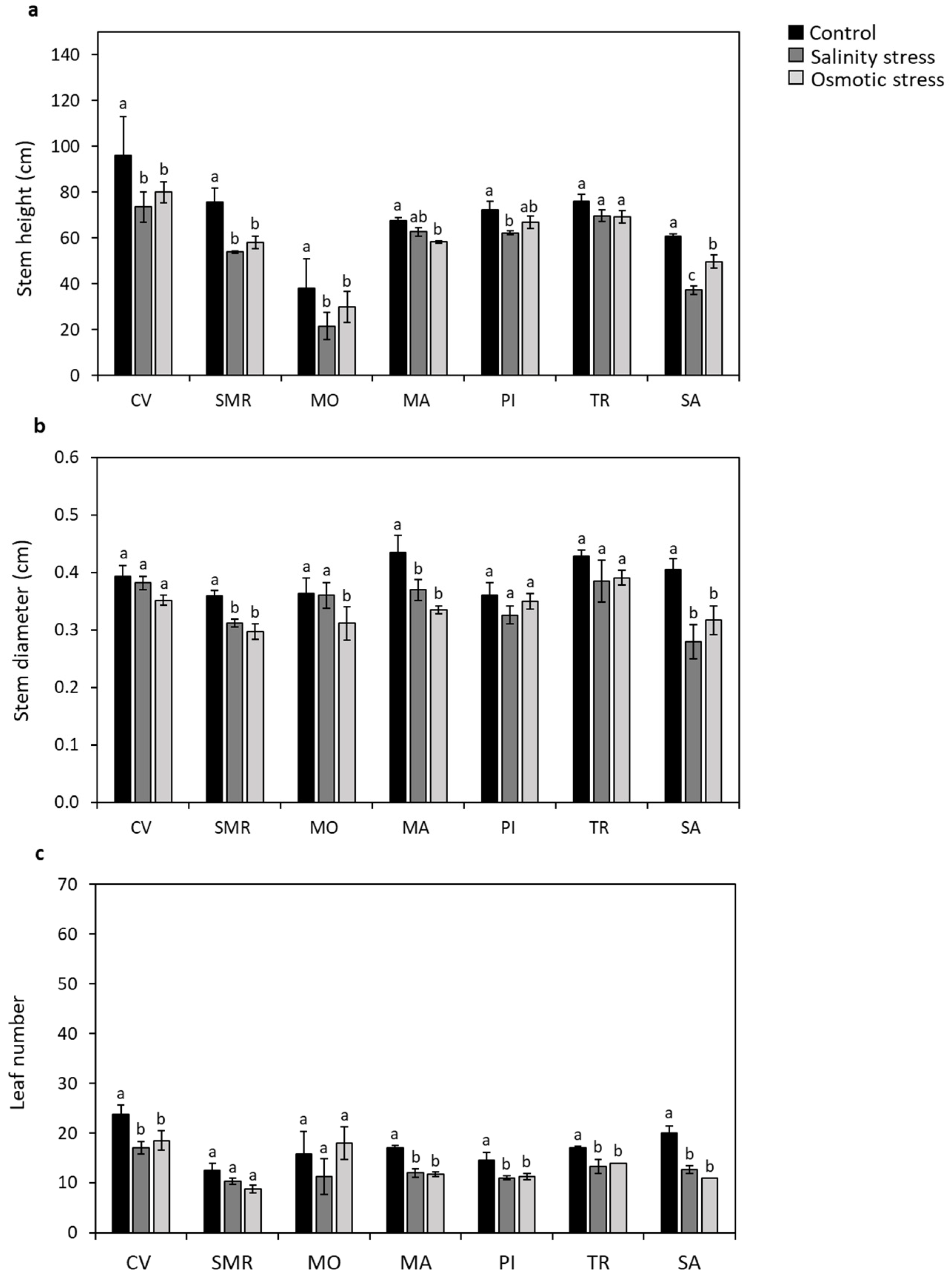
2.3. Morpho-Physiological Characteristics under Stress Conditions
2.4. Biochemical Analysis
2.4.1. Proline and Malondialdehyde (MDA) Content
2.4.2. Photosynthetic Pigment Content
3. Discussion
4. Materials and Methods
4.1. Phaseolus vulgaris Landraces
4.2. Seed Morphological Traits
4.3. DNA Analysis
4.4. Phaseolin Analysis
4.4.1. Protein Extraction and Two-Dimensional Electrophoresis (2-DE) Separation
4.4.2. Amplification of the Phaseolin (SCAR) Marker by PCR
4.5. Plant Growth Conditions and Stress Treatments
4.6. Plant Morpho-Physiological Analysis
4.7. Biochemical Analysis
4.7.1. Proline Content
4.7.2. Lipid Peroxidation Assay
4.7.3. Photosynthetic Pigment Content
5. Conclusions
Supplementary Materials
Author Contributions
Funding
Institutional Review Board Statement
Informed Consent Statement
Data Availability Statement
Acknowledgments
Conflicts of Interest
References
- Olango, T.M.; Tesfaye, B.; Catellani, M.; Pè, M.E. Indigenous knowledge, use and on-farm management of enset (Ensete ventricosum (Welw.) Cheesman) diversity in Wolaita, Southern Ethiopia. J. Ethnobiol. Ethnomed. 2014, 10, 41. [Google Scholar] [CrossRef] [PubMed]
- Marotti, I.; Bonetti, A.; Minelli, M.; Catizone, P.; Dinelli, G. Characterization of some Italian common bean (Phaseolus vulgaris L.) landraces by RAPD, semi-random and ISSR molecular markers. Genet. Resour. Crop Evol. 2007, 54, 175–188. [Google Scholar] [CrossRef]
- Gargiulo, L.; Sorrentino, G.; Mele, G. 3D imaging of bean seeds: Correlations between hilum region structures and hydration kinetics. Food Res. Int. 2020, 134, 109211. [Google Scholar] [CrossRef] [PubMed]
- Frison, E.A.; Cherfas, J.; Hodgkin, T. Agricultural biodiversity is essential for a sustainable improvement in food and nutrition security. Sustainability 2011, 3, 238–253. [Google Scholar] [CrossRef]
- Puglisi, D.; Landoni, M.; Cassani, E.; Toschi, I.; Lucchini, G.; Cesari, V.; Borlini, G.; Scapin, A.; Pilu, R. Traditional farmers’ varieties: A valuable source of genetic variability for biofortification programs. Maydica 2018, 63, 10. [Google Scholar]
- Kumar, A.; Verma, R.P.S.; Singh, A.; Sharma, H.K.; Devi, G. Barley landraces: Ecological heritage for edaphic stress adaptations and sustainable production. Environ. Sustain. Indic. 2020, 6, 100035. [Google Scholar] [CrossRef]
- Testa, R. Consumption and production patterns for agricultural sustainable development. Agronomy 2021, 11, 814. [Google Scholar] [CrossRef]
- Adhikari, S.; Kumari, J.; Jacob, S.R.; Prasad, P.; Gangwar, O.P.; Lata, C.; Thakur, R.; Singh, A.K.; Bansal, R.; Kumar, S.; et al. Landraces-potential treasure for sustainable wheat improvement. Genet. Resour. Crop Evol. 2022, 69, 499–523. [Google Scholar] [CrossRef]
- Sallustio, L.; Pettenella, D.; Merlini, P.; Romano, R.; Salvati, L.; Marchetti, M.; Corona, P. Assessing the economic marginality of agricultural lands in Italy to support land use planning. Land Use Policy 2018, 76, 526–534. [Google Scholar] [CrossRef]
- Carovic-Stanko, K.; Liber, Z.; Vidak, M.; Barešic, A.; Grdiša, M.; Lazarevic, B.; Šatovic, Z. Genetic diversity of Croatian common bean landraces. Front. Plant Sci. 2017, 8, 604. [Google Scholar]
- Hammer, K.; Laghetti, G. Genetic Erosion—Examples from Italy. Genet. Resour. Crop Evol. 2005, 52, 629–634. [Google Scholar] [CrossRef]
- EU Commission. EUROPE 2020 A Strategy for Smart, Sustainable and Inclusive Growth. 2010. Available online: https://eurlex.europa.eu/legal-content/EN/TXT/?uri=CELEX%3A52010DC2020 (accessed on 30 August 2022).
- United Nations. Transforming Our World: The 2030 Agenda for Sustainable Development. 2015. Available online: https://undocs.org/A/RES/70/1 (accessed on 30 August 2022).
- Portale Nazionale Biodiversità di Interesse Agricolo e Alimentare. Ministerial Decree 2019/39407. Available online: https://rica.crea.gov.it/APP/anb/ (accessed on 30 August 2022).
- Giupponi, L.; Pilu, R.; Scarafoni, A.; Annamaria Giorgi, A. Plant agro-biodiversity needs protection, study and promotion: Results of research conducted in Lombardy region (Northern Italy). Biodivers. Conserv. 2020, 29, 409–430. [Google Scholar] [CrossRef]
- Giupponi, L.; Pedrali, D.; Leoni, V.; Rodari, A.; Giorgi, A. The analysis of Italian plant agrobiodiversity databases reveals that hilly and sub-mountain areas are hotspots of Herbaceous landraces. Diversity 2021, 13, 70. [Google Scholar] [CrossRef]
- Farina, A. Upland farming systems of the Northern Apennines. In Conserving Biodiversity Outside Protected Areas. The Role of Traditional Agro-Ecosystems; Halladay, P., Gilmour, D.A., Eds.; IUCN: Gland, Switzerland; Cambridge, UK, 1995; pp. 123–130. [Google Scholar]
- Negri, V.; Tosti, N. Phaseolus genetic diversity maintained on-farm in central Italy. Genet. Resour. Crop Evol. 2002, 49, 511–520. [Google Scholar] [CrossRef]
- Lioi, L.; Piergiovanni, A.R. European common bean. In Genetic and Genomic Resources of Grain Legume Improvement, 2nd ed.; Elsevier Inc. Chapters: Amsterdam, The Netherlands, 2013; pp. 11–40. [Google Scholar]
- Scarano, D.; Rubio, F.; Ruiz, J.J.; Rao, R.; Corrado, G. Morphological and genetic diversity among and within common bean (Phaseolus vulgaris L.) landraces from the Campania region (Southern Italy). Sci. Hortic. 2014, 180, 72–78. [Google Scholar] [CrossRef]
- Piotto, B.; Giacanelli, V.; Ercole, S. La conservazione ex situ della biodiversità delle specie vegetali spontanee e coltivate in Italia. Stato dell’arte, criticità e azioni da compiere. In Manuali e Linee Guida ISPRA 54/2010; Ispra–settore editoria: Roma, Italy, 2010; pp. 3–205. [Google Scholar]
- Piergiovanni, A.R.; Lioi, L. Italian common bean landraces: History, genetic diversity and seed quality. Diversity 2010, 2, 837–862. [Google Scholar] [CrossRef]
- Venora, G.; Grillo, O.; Ravalli, C.; Cremonini, R. Identification of Italian landraces of beans (Phaseolus vulgaris L.) using an image analysis system. Sci. Hortic. 2009, 121, 410–418. [Google Scholar] [CrossRef]
- Lo Bianco, M.; Grillo, O.; Cremonini, R.; Sarigu, M.; Venora, G. Characterization of Italian bean landraces (Phaseolus vulgaris L.) using seed image analysis and texture descriptors. Aust. J. Crop Sci. 2015, 9, 1022–1034. [Google Scholar]
- Conti, V.; Mareri, L.; Faleri, C.; Nepi, M.; Romi, M.; Cai, G.; Cantini, C. Drought stress affects the response of italian local tomato (Solanum lycopersicum L.) varieties in a genotype-dependent manner. Plants 2019, 8, 336. [Google Scholar] [CrossRef]
- Jose, F.C.; Mohammed, M.S.; Thomas, G.; Varghese, G.; Selvaraj, N.; Dorai, M. Genetic diversity and conservation of common bean (Phaseolus vulgaris L., Fabaceae) landraces in Nilgiris. Curr. Sci. 2009, 97, 227–235. [Google Scholar]
- Gill-Langarica, H.R.G.; Serna, R.R.; Delgado, S.H.; Perez, N.M. Morphological and molecular characterization of common bean landraces cultivated in the semi-arid Mexican high plateau. Bol. Soc. Argent. Bot. 2014, 49, 525–540. [Google Scholar]
- Peña-Ortega, M.G.; Serrano-Covarrubias, L.M.; Martínez-Solís, J. Exploration of genetic variability of bean (Phaseolus vulgaris L.) landraces through ISSR Markers. Athens J. Sci. 2014, 1, 165–174. [Google Scholar] [CrossRef]
- Gyang, P.J.; Nyaboga, E.N.; Muge, E.K. Molecular characterization of common bean (Phaseolus vulgaris L.) genotypes using microsatellite markers. J. Adv. Biol. Biotechnol. 2017, 13, 1–15. [Google Scholar] [CrossRef][Green Version]
- Nkhata, W.; Shimelis, H.; Melis, R.; Chirwa, R.; Mzengeza, T.; Mathew, I.; Shayanowako, A. Population structure and genetic diversity analyses of common bean germplasm collections of East and Southern Africa using morphological traits and high-density SNP markers. PLoS ONE 2020, 15, e0243238. [Google Scholar] [CrossRef] [PubMed]
- Reddy, M.P.; Sarla, N.; Siddiq, E.A. Inter simple sequence repeat (ISSR) polymorphism and its application in plant breeding. Euphytica 2002, 128, 9–17. [Google Scholar] [CrossRef]
- Gonzalez, A.; Wong, A.; Delgado-Salinas, A.; Papa, R.; Gepts, P. Assessment of inter simple sequence repeat markers to differentiate sympatric wild and domesticated populations of common bean. Crop Sci. 2005, 45, 606–615. [Google Scholar] [CrossRef]
- Cabral, P.D.S.; de Souza, L.C.; da Costa, G.F.; Silva, F.H.L.; Soares, T.C.B. Investigation of the genetic diversity of common bean (Phaseolus vulgaris.) cultivars using molecular markers. Genet. Mol. Res. 2018, 17, 18106. [Google Scholar] [CrossRef]
- Lopez-Pedrouso, M.; Bernal, J.; Franco, D.; Zapata, C. Evaluating two-dimensional electrophoresis profiles of the protein phaseolin as markers of genetic differentiation and seed protein quality in common bean (Phaseolus vulgaris L.). J. Agric. Food Chem. 2014, 62, 7200–7208. [Google Scholar] [CrossRef]
- Rendón-Anaya, M.; Montero-Vargas, J.M.; Saburido-Álvarez, S.; Vlasova, A.; Capella-Gutierrez, S.; Ordaz-Ortiz, J.J.; Aguilar, O.M.; Vianello-Brondani, R.P.; Santalla, M.; Delaye, L.; et al. Genomic history of the origin and domestication of common bean unveils its closest sister species. Genome Biol. 2017, 18, 60. [Google Scholar] [CrossRef]
- Singh, K.N.; Chatrath, R. Salinity Tolerance. In Application of Physiology in Wheat Breeding; Reynolds, M.P., Monasterio, J.I.O., McNab, A., Eds.; CIMMYT: EI Batan, Mexico, 2001; pp. 101–110. [Google Scholar]
- Ranganayakulu, G.S.; Veeranagamallaiah, G.; Sudhakar, C. Effect of salt stress on osmolyte accumulation in two groundnut cultivars (Arachis hypogaea L.) with contrasting salt tolerance. Afr. J. Plant Sci. 2013, 7, 586–592. [Google Scholar]
- Rad, P.B.; Roozban, M.R.; Karimi, S.; Ghahremani, R.; Vahdati, K. Osmolyte accumulation and sodium compartmentation has a key role in salinity tolerance of pistachios rootstocks. Agriculture 2021, 11, 708. [Google Scholar]
- Zaccardelli, M.; Sonnante, G.; Lupo, F.; Piergiovanni, A.R.; Laghetti, G.; Sparvoli, F.; Lioi, L. Characterization of Italian chickpea (Cicer arietinum L.) germplasm by multidisciplinary approach. Genet. Resour. Crop Evol. 2013, 60, 865–877. [Google Scholar] [CrossRef]
- Bacchetta, L.; Rovira, M.; Tronci, C.; Aramini, M.; Drogoudi, P.; Silva, A.P.; Solar, A.; Avanzato, D.; Botta, R.; Valentini, N.; et al. Multidisciplinary approach to enhance the conservation and use of hazelnut Corylus avellana L. genetic resources. Genet. Resour. Crop Evol. 2014, 62, 649–663. [Google Scholar] [CrossRef]
- Hellin, J.; Bellon, M.R.; Hearne, S.J. Maize landraces and adaptation to climate change in Mexico. J. Crop. Improv. 2014, 28, 484–501. [Google Scholar] [CrossRef]
- Teixeira, M.; Feijão, E.; Catarino, L.; Matos, A.R.; Figueiredo, A.; Marques da Silva, J. Exploring local maize diversity for increased agricultural sustainability: New insights into drought stress response and recovery of Guinea-Bissau landraces. Sustainability 2021, 13, 5441. [Google Scholar] [CrossRef]
- De La Fuente, M.; López-Pedrouso, M.; Alonso, J.; Santalla, M.; De Ron, A.M.; Álvarez, G.; Zapata, C. In-Depth characterization of the phaseolin protein diversity of common bean (Phaseolus vulgaris L.) based on two-dimensional electrophoresis and mass spectrometry. Food Technol. Biotechnol. 2012, 50, 315–325. [Google Scholar]
- Chaudhary, P.; Bhatta, S.; Aryal, K.; Joshi, B.K.; Gauchan, D. Threats, drivers and conservation imperative of agrobiodiversity. J. Agric. Environ. 2020, 21, 44–61. [Google Scholar] [CrossRef]
- Romdhane, M.B.; Riahi, L.; Bouamama, B.; Houissa, H.; Ghorbel, A.; Zoghlami, N. Conservation priorities for endangered coastal North African Pennisetum glaucum L. landrace populations as inferred from phylogenetic considerations and population structure analysis. Heredity 2019, 122, 219–232. [Google Scholar] [CrossRef]
- Kyratzis, A.C.; Nikoloudakis, N.; Katsiotis, A. Genetic variability in landraces populations and the risk to lose genetic variation. The example of landrace ‘Kyperounda’ and its implications for ex situ conservation. PLoS ONE 2019, 14, e0224255. [Google Scholar] [CrossRef]
- Comes, O. Del fagiolo comune: Storia, filogenesi, qualità sospettata tossicità e sistemazione delle sue razze ovunque coltivate. Atti Ist. Incoraggiamento di Napoli 1910, 61, 75–145. [Google Scholar]
- Logozzo, G.; Donnoli, R.; Macaluso, L.; Papa, R.; Knupffer, H.; Spagnoletti Zeuli, P. Analysis of the contribution of Mesoamerican and Andean gene pools to European common bean (Phaseolus vulgaris L.) germplasm and strategies to establish a core collection. Genet. Resour. Crop Evol. 2007, 54, 1763–1779. [Google Scholar] [CrossRef]
- Vidak, M.; Šatović, Z.; Liber, Z.; Grdiša, M.; Gunjača, J.; Kilian, A.; Carović-Stanko, K. Assessment of the origin and diversity of Croatian common bean germplasm using phaseolin type, SSR and SNP markers and morphological Traits. Plants 2021, 10, 665. [Google Scholar] [CrossRef] [PubMed]
- Pautasso, M.; Aistara, G.; Barnaud, A.; Caillon, S.; Clouvel, P.; Coomes, O.T.; Delêtre, M.; Demeulenaere, E.; De Santis, P.; Döring, T.; et al. Seed exchange networks for agrobiodiversity conservation. A review. Agron. Sustain. Dev. 2012, 33, 151–175. [Google Scholar] [CrossRef]
- Piergiovanni, A.R.; Taranto, G.; Losavio, F.P.; Lioi, L. Gli agro-ecotipi di fagiolo (Phaseolus vulgaris L.) del cuneese. Primi risultati di un’indagine multidisciplinare. Italus Hortus 2006, 13, 485–487. [Google Scholar]
- Minotti, M.; Giancola, C.; Di Marzio, P.; Di Martino, P. Land use dynamics of drove roads: The case of tratturo Castel di Sangro-Lucera (Molise, Italy). Land 2018, 7, 3. [Google Scholar] [CrossRef]
- Ghuge, A.S.; Rai, A.N.; Suprasanna, P. Comparative effects of NaCl, PEG and mannitol, iso-osmotic stress on solute accumulation and antioxidant enzyme system in potato (Solanum tuberosum L.). Plant Stress 2010, 4, 50–55. [Google Scholar]
- Rubio, M.C.; Bustos-Sanmamed, P.; Clemente, M.R.; Becana, M. Effects of salt stress on the expression of antioxidant genes and proteins in the model legume. Lotus Japonicus. New Phytol. 2009, 181, 851–859. [Google Scholar] [CrossRef]
- Tani, C.; Sasakawa, H. Proline accumulates in Casuarina equisetifolia seedlings under salt stress. Soil Sci. Plant Nutr. 2006, 52, 21–25. [Google Scholar] [CrossRef][Green Version]
- Roy, S.; Chakraborty, U. Salt tolerance mechanisms in Salt Tolerant Grasses (STGs) and their prospects in cereal crop improvement. Bot. Stud. 2014, 55, 31. [Google Scholar] [CrossRef]
- Morosan, M.; Al Hassan, M.; Naranjo, M.A.; López-Gresa, M.P.; Boscaiu, M.; Vicente, O. Comparative analysis of drought responses in Phaseolus vulgaris (common bean) and P. coccineus (runner bean) cultivars. EuroBiotech J. 2017, 1, 247–252. [Google Scholar] [CrossRef]
- Sachdev, S.; Ansari, S.A.; Ansari, M.I.; Fujita, M.; Hasanuzzaman, M. Abiotic stress and reactive oxygen species: Generation, signaling, and defense mechanisms. Antioxidants 2021, 10, 277. [Google Scholar] [CrossRef] [PubMed]
- Ozden, M.; Demirel, U.; Kahraman, A. Effects of proline on antioxidant system in leaves of grapevine (Vitis vinifera L.) exposed to oxidative stress by H2O2. Sci. Hortic 2009, 119, 163–168. [Google Scholar] [CrossRef]
- Shao, H.; Chu, L.; Shao, M.; Jaleel, C.A.; Hongmei, M. Higher plant antioxidants and redox signaling under environmental stresses. C. R. Biol. 2008, 331, 433–441. [Google Scholar] [CrossRef]
- Kavi Kishor, P.B.; Sreenivasulu, N.E.S.E. Is proline accumulation per se correlated with stress tolerance or is proline homeostasis a more critical issue? Plant Cell Environ. 2014, 37, 300–311. [Google Scholar] [CrossRef]
- Slama, I.; Abdelly, C.; Bouchereau, A.; Flowers, T.; Savouré, A. Diversity, distribution and roles of osmoprotective compounds accumulated in halophytes under abiotic stress. Ann. Bot. 2015, 115, 433–447. [Google Scholar] [CrossRef] [PubMed]
- AbdElgawad, H.; Zinta, G.; Hegab, M.M.; Pandey, R.; Asard, H.; Abuelsoud, W. High salinity induces different oxidative stress and antioxidant responses in maize seedlings organs. Front. Plant Sci. 2016, 7, 276. [Google Scholar] [CrossRef] [PubMed]
- Muhammad, I.; Shalmani, A.; Ali, M.; Yang, Q.H.; Ahmad, H.; Li, F.B. Mechanisms regulating the dynamics of photosynthesis under abiotic stresses. Front. Plant Sci. 2021, 11, 615942. [Google Scholar] [CrossRef]
- Gill, S.S.; Tuteja, N. Reactive oxygen species and antioxidant machinery in abiotic stress tolerance in crop plants. Plant Physiol. Biochem. 2010, 48, 909–930. [Google Scholar] [CrossRef]
- Stefanov, M.A.; Rashkov, G.D.; Yotsova, E.K.; Borisova, P.B.; Dobrikova, A.G.; Apostolova, E.L. Different sensitivity levels of the photosynthetic apparatus in Zea mays L. and Sorghum bicolor L. under salt stress. Plants 2021, 10, 1469. [Google Scholar] [CrossRef]
- Lugojan, C.; Ciulca, S. Evaluation of relative water content in winter wheat. J. Hortic. Sci. Biotechnol. 2011, 15, 173–177. [Google Scholar]
- Soltys-Kalina, D.; Plich, J.; Strzelczyk-Żyta, D.; Śliwka, J.; Marczewski, W. The effect of drought stress on the leaf relative water content and tuber yield of a half-sib family of ‘Katahdin’-derived potato cultivars. Breed. Sci. 2016, 66, 328–331. [Google Scholar] [CrossRef] [PubMed]
- Hezema, Y.S.; Shukla, M.R.; Ayyanath, M.M.; Sherif, S.M.; Saxena, P.K. Physiological and molecular responses of six apple rootstocks to osmotic stress. Int. J. Mol. Sci. 2021, 22, 8263. [Google Scholar] [CrossRef] [PubMed]
- Negrao, S.; Schmockel, S.M.; Tester, M. Evaluating physiological responses of plants to salinity stress. Ann. Bot. 2017, 119, 1–11. [Google Scholar] [CrossRef] [PubMed]
- Lemos, G.S.D.; Márquez-Bernardes, L.F.; Arvelos, L.R.; Paraíso, L.F.; Penha-Silva, N. Influence of glucose concentration on the membrane stability of human erythrocytes. Cell Biochem. Biophys. 2011, 61, 531–537. [Google Scholar] [CrossRef]
- Dichio, B.; Margiotta, G.; Xiloyannis, C.; Bufo, S.A.; Sofo, A.; Cataldi, T.R.I. Changes in water status and osmolyte contents in leaves and roots of olive plants (Olea europaea L.) subjected to water deficit. Trees 2009, 23, 247–256. [Google Scholar] [CrossRef]
- Kaur, N.; Dhawan, M.; Sharma, I.; Pati, P.K. Interdependency of reactive oxygen species generating and scavenging system in salt sensitive and salt tolerant cultivars of rice. BMC Plant Biol. 2016, 16, 131. [Google Scholar] [CrossRef]
- Singh, J.; Thakur, J.K. Photosynthesis and abiotic stress in plants. In Biotic and Abiotic Stress Tolerance in Plants; Springer: Singapore, 2018; pp. 27–46. [Google Scholar]
- Agenzia per la Coesione Territoriale. Available online: https://www.agenziacoesione.gov.it/strategia-nazionale-aree-interne/regione-molise-aree-interne/alto-medio-sannio/ (accessed on 30 August 2022).
- Juss, P.; Shaw, P.J. Protocol for Test on Distinctness, Uniformity and Stability. Community Plant Varienty Office (CPVO-TP), 2014; Volume 1, pp. 286–310. Available online: https://cpvo.europa.eu/sites/default/files/documents/dianella.pdf (accessed on 30 August 2022).
- Dodds, K.S. International board for plant genetic resources (IBPGR). In Seeds: Proceedings FAO/SIDA Technical Conference on Improved Seed Production; Bernan Press (PA): Lanham, MD, USA, 1981; Volume 39, p. 63. [Google Scholar]
- Abdelaziz, M.S.; Medraoui, L.; Alami, M.; Pakhrou, O.; Makkaoui, M.; Ould Mohamed Salem Boukhary, A.; Filali-Maltouf, A. Inter simple sequence repeat markers to assess genetic diversity of the desert date (Balanites aegyptiaca Del.) for Sahelian ecosystem restoration. Sci. Rep. 2020, 10, 14948. [Google Scholar] [CrossRef]
- Scippa, G.S.; Trupiano, D.; Rocco, M.; Viscosi, V.; Di Michele, M.; D’andrea, A.; Chiatante, D. An integrated approach to the characterization of two autochthonous lentil (Lens culinaris) landraces of Molise (south-central Italy). Heredity 2008, 101, 136–144. [Google Scholar] [CrossRef]
- Kami, J.; Velasquez, V.B.; Debouck, D.G.; Gepts, P. Identification of presumed ancestral DNA sequences of phaseolin in Phaseolus vulgaris. Proc. Natl. Acad. Sci. USA 1995, 92, 1101–1104. [Google Scholar] [CrossRef]
- Sosa, L.; LLanes, A.; Reinoso, H.; Reginato, M.; Luna, V. Osmotic and specific ion effects on the germination of Prosopis strombulifera. Ann. Bot. 2005, 96, 261–267. [Google Scholar] [CrossRef]
- Smart, R.E.; Bingham, G.E. Rapid estimates of relative water content. Plant Physiol. 1974, 53, 258–260. [Google Scholar] [CrossRef] [PubMed]
- Carillo, P.; Gibon, Y. Prometheus Wiki Contributors. PROTOCOL: Extraction and Determination of Proline. PrometheusWiki. 2011. Available online: https://www.researchgate.net/publication/211353600_PROTOCOL_Extraction_and_determination_of_proline (accessed on 15 October 2022).
- Ben Abdallah, M.; Trupiano, D.; Polzella, A.; De Zio, E.; Sassi, M.; Scaloni, A.; Zarrouka, M.; Youssefa, N.B.; Scippa, G.S. Unraveling physiological, biochemical and molecular mechanisms involved in olive (Olea europaea L. cv. Chétoui) tolerance to drought and salt stresses. J. Plant Physiol. 2018, 220, 83–95. [Google Scholar] [CrossRef] [PubMed]
- Hodges, D.M.; DeLong, J.M.; Forney, C.F.; Prange, R.K. Improving the thiobarbituric acid-reactive-substances assay for estimating lipid peroxidation in plant tissues containing anthocyanin and other interfering compounds. Planta 1999, 207, 604–611. [Google Scholar] [CrossRef]
- Polzella, A.; De Zio, E.; Arena, S.; Scippa, G.S.; Scaloni, A.; Montagnoli, A.; Chiatante, D.; Trupiano, D. Toward an understanding of mechanisms regulating plant response to biochar application. Plant Biosyst. 2019, 153, 163–172. [Google Scholar] [CrossRef]





| Control | Salinity Stress | Osmotic Stress | ||
|---|---|---|---|---|
| Total Chl (µg·mg−1) | CV | 1.34 ± 0.05 a | 0.98 ± 0.04 b | 1.11 ± 0.02 b |
| SMR | 1.12 ± 0.06 a | 1.13 ± 0.14 a | 1.08 ± 0.03 a | |
| MO | 0.92 ± 0.02 b | 1.14 ± 0.06 a | 1.09 ± 0.03 a | |
| MA | 1.61 ± 0.09 a | 1.53 ± 0.06 a | 1.72 ± 0.10 a | |
| PI | 2.19 ± 0.08 b | 2.56 ± 0.03 a | 1.98 ± 0.17 b | |
| TR | 1.41 ± 0.03 b | 1.73 ± 0.03 a | 1.15 ± 0.11 b | |
| SA | 1.21 ± 0.06 a | 1.41 ± 0.11 a | 1.39 ± 0.09 a | |
| Chl A/Chl B | CV | 3.28 ± 0.05 a | 3.22 ± 0.08 a | 3.27 ± 0.01 a |
| SMR | 4.02 ± 0.05 a | 3.71 ± 0.10 b | 3.57 ± 0.07 b | |
| MO | 3.19 ± 0.38 b | 3.63 ± 0.26 a | 3.44 ± 0.04 a | |
| MA | 3.39 ± 0.04 a | 3.22 ± 0.05 a | 3.34 ± 0.04 a | |
| PI | 3.54 ± 0.03 a | 3.62 ± 0.27 a | 3.02 ± 0.33 b | |
| TR | 3.54 ± 0.02 a | 3.33 ± 0.01 a | 3.43 ± 0.04 a | |
| SA | 3.23 ± 0.03 a | 3.18 ± 0.03 a | 3.28 ± 0.07 a | |
| Carotenoids (µg·mg−1) | CV | 0.19 ± 0.01 a | 0.18 ± 0.01 a | 0.19 ± 0.00 a |
| SMR | 0.16 ± 0.01 a | 0.18 ± 0.02 a | 0.15 ± 0.01 a | |
| MO | 0.12 ± 0.00 b | 0.18 ± 0.01 a | 0.16 ± 0.01 a | |
| MA | 0.26 ± 0.02 a | 0.25 ± 0.01 a | 0.26 ± 0.02 a | |
| PI | 0.31 ± 0.01 b | 0.39 ± 0.01 a | 0.29 ± 0.03 b | |
| TR | 0.23 ± 0.01 b | 0.29 ± 0.00 a | 0.18 ± 0.02 b | |
| SA | 0.17 ± 0.01 b | 0.21 ± 0.02 a | 0.21 ± 0.01 a |
Publisher’s Note: MDPI stays neutral with regard to jurisdictional claims in published maps and institutional affiliations. |
© 2022 by the authors. Licensee MDPI, Basel, Switzerland. This article is an open access article distributed under the terms and conditions of the Creative Commons Attribution (CC BY) license (https://creativecommons.org/licenses/by/4.0/).
Share and Cite
Falcione, M.; Simiele, M.; Renella, A.; Scippa, G.S.; Di Martino, P.; Trupiano, D. A Multi-Level Approach as a Powerful Tool to Identify and Characterize Some Italian Autochthonous Common Bean (Phaseolus vulgaris L.) Landraces under a Changing Environment. Plants 2022, 11, 2790. https://doi.org/10.3390/plants11202790
Falcione M, Simiele M, Renella A, Scippa GS, Di Martino P, Trupiano D. A Multi-Level Approach as a Powerful Tool to Identify and Characterize Some Italian Autochthonous Common Bean (Phaseolus vulgaris L.) Landraces under a Changing Environment. Plants. 2022; 11(20):2790. https://doi.org/10.3390/plants11202790
Chicago/Turabian StyleFalcione, Martina, Melissa Simiele, Alessandra Renella, Gabriella Stefania Scippa, Paolo Di Martino, and Dalila Trupiano. 2022. "A Multi-Level Approach as a Powerful Tool to Identify and Characterize Some Italian Autochthonous Common Bean (Phaseolus vulgaris L.) Landraces under a Changing Environment" Plants 11, no. 20: 2790. https://doi.org/10.3390/plants11202790
APA StyleFalcione, M., Simiele, M., Renella, A., Scippa, G. S., Di Martino, P., & Trupiano, D. (2022). A Multi-Level Approach as a Powerful Tool to Identify and Characterize Some Italian Autochthonous Common Bean (Phaseolus vulgaris L.) Landraces under a Changing Environment. Plants, 11(20), 2790. https://doi.org/10.3390/plants11202790

