Abstract
Vehicle collisions with animals pose serious issues in countries with well-developed highway networks. Both expanding wildlife populations and the development of urbanised areas reduce the potential contact distance between wildlife species and vehicles. Many recent studies have been conducted to better understand the factors that influence wildlife–vehicle collisions (WVCs) and provide mitigation methods. Most of these studies examined road density, traffic volume, seasonal fluctuations, etc. However, in analysing the distribution of WVC, few studies have considered a spatial and significant distance geostatistical analysis approach that includes how different land-use categories are associated with the distance to WVCs. Our study investigated the spatial distribution of agricultural land, meadows and pastures, forests, built-up areas, rivers, lakes, and ponds, to highlight the most dangerous sections of roadways where WVCs occur. We examined six potential ‘hot spot’ distances (5–10–25–50–100–200 m) to evaluate the role different landscape elements play in the occurrence of WVC. The near analysis tool showed that a distance of 10–25 m to different landscape elements provided the most sensitive results. Hot spots associated with agricultural land, forests, as well as meadows and pastures, peaked on roadways in close proximity (10 m), while hot spots associated with built-up areas, rivers, lakes, and ponds peaked on roadways farther (200 m) from these land-use types. We found that the order of habitat importance in WVC hot spots was agricultural land < forests < meadows and pastures < built-up areas < rivers < lakes and ponds. This methodological approach includes general hot-spot analysis as well as differentiated distance analysis which helps to better reveal the influence of landscape structure on WVCs.
1. Introduction
Wildlife–vehicle collisions (WVCs) are considered significant traffic and wildlife safety issues in Lithuania, as well as in other developed and even in less developed areas of the world [1,2,3]. Ecologists analysing problems associated with WVCs often choose the basis of the georeferenced territories in which WVCs are recorded [4,5,6]. These studies have demonstrated that WVCs are not randomly distributed across roadways but that their frequency varies according to land use and by individual vertebrate species [2,5,7,8,9].
The desire to reduce the negative effects of WVCs requires the use of research-based preventive measures [10,11]. In order to increase the cost effectiveness of WVC mitigation, it is appropriate to apply preventative measures first to the most impacted sections of the road, which requires knowledge of WVC ‘hot spots’ [12,13]. Along with traffic density and flow factors, temporal and spatial factors are important and often evaluated together as wildlife–vehicle aggregations (WVAs), which largely explain how and why collisions with animals occur on different sections of roadways.
The analysis of wildlife–vehicle collision hot spots (WVHPs) is an effective way to determine to which landscape (land-use) factors such collisions are most related [14]. In the standard case, hot spots are statistical units in mathematical or Geographic Information System (GIS) models that examine how landscapes, traffic volume, road network, and wildlife intensity affect WVC intensity in a particular spatial segment or roadway. Studies indicate that land-use elements and their distribution play important roles in models of WVCs [15]. The WVHP method is one of the main tools for analysing the spatial associations of vehicle collisions with wildlife [16,17].
One common conclusion from WVHP spatial analysis is that collisions are clustered in space and characterised by attributes associated with the landscape and the roadway. Analysis of these landscape–roadway attributes makes it possible to identify how animals’ habitat use influences collisions with vehicles. The practical use of WVHP analysis is that, based on the assessment of the circumstances of WVCs, it is possible to create landscape models that allow the identification and prediction of WVC hot spots on roadways, thus optimising the use of WVC preventive measures [18,19,20].
Our study evaluated the relationship between the distance to different land-use types and the frequency of collisions between large wild animals (roe deer, moose, wild boar, etc.) and vehicles on Lithuanian roadways. The identification of land-use types that significantly impact WVC allows the development of a general model that may be applicable across different types of roadways and in both developed and less developed countries.
2. Materials and Methods
2.1. Study Area
Our study analysed wildlife–vehicle collisions in Lithuania that occurred on all roadway types. Lithuania, with an area of 65,300 km2, is a medium-latitude country (55 degrees north latitude) in the western part of the eastern European plain situated in the eastern European mixed forests zone. It is situated between 56°27′ and 53°54′ northern latitude and 20°56′ and 26°51′ eastern longitude. The climate of the country is transitional between the mild marine climate of western Europe and the harsher continental climate of eastern Europe. The Lithuanian landscape includes forests, meadows, marshes, sands, a variety of water bodies, and anthropogenic features [21]. The country’s land-use categories, based on the georeferenced cadastral spatial dataset [22], consist of intensive agricultural areas (46.4% of the country’s land area), forests (33.0%), meadows and pastures (5.4%), scrubs (2.9%), built-up areas (3.5%), and other land-use areas (8.8%). Lithuania’s natural environments, wildlife populations, and biodiversity are influenced by these land-use patterns.
The human population of Lithuania has declined in recent decades, amounting to just over 2,722,289 in 2020. The human density is unevenly distributed, with the most densely populated areas in the central and western regions of Lithuania (45–60 inhabitants/km2). In these parts of Lithuania, the land is relatively flat, and there is developed agricultural land. The eastern and southeastern regions of the country are the least populated (15–20 inhabitants/km2), where large areas of forests, abundant water bodies, and undulating terrain occur. The Lithuanian road network consists of both national (state) and local roads, which together form a total network of 91,718 km. The average density of roads in the country is 0.71 km/km2. Regardless of the population decline, the number of vehicles in Lithuania has been increasing by about 3.5% per year. Additionally, in 2020, 1,847,571 road vehicles were registered in Lithuania (486 personal cars per 1000 inhabitants). The average annual traffic volume on roadways has also grown, and as of January 2017, it was 1566 cars/day [23].
Wildlife species most often involved in WVCs on Lithuanian roadways; included in the database of this research are the large ungulates: roe deer (Capreolus capreolus), moose (Alces alces), and the wild boar (Sus scrofa) population, which declined due to African Swine Fever, has only rebounded since 2015. The current population estimates for these species are as follows: roe deer, 180,514; moose, 19,410; wild boar, 13,489 [24].
2.2. Collision Data
We used the Lithuanian Road Police Database, which contains data on all WVCs recorded in Lithuania. This database documents specific aspects of each WVC event including the precise location of the accident (indicating the exact geographic coordinates), the time of the accident, the species involved (when possible), any individuals injured or killed during the accident, and additional pertinent information. Available data document all officially recorded collisions between vehicles and animals (wild, domestic, or unidentified) on Lithuanian roads from 2014 to 2018 (14,427 collisions with animals were officially recorded). For further analysis, these data were transmitted to the GIS database according to the coordinates of the accident based on the LKS 94 coordinate system. Transmitted records of animal collisions with vehicles whose coordinates were misidentified (points fell outside Lithuania, or the description of protocol clearly mismatched the location of WVCs) were removed from the entire dataset. After eliminating these invalid records, 13,988 incidents were used for detailed analysis. Although we focused on wild animal collisions, we also included domestic or unidentified animal collision cases in the analysis (Table 1).
Table 1.
Structure of dataset on WVCs (number/percent of accidents) used for analysis.
2.3. Data Analysis
To enhance data reliability associated with geospatial factors influencing the occurrence of WVCs, additional geospatial and statistical databases available for Lithuania were used, including forest, georeference, and official statistical databases. These datasets required high-quality calculations and data verification procedures. Each WVC record was associated with a specific land-use type based on its distance from the land-use type. Six land-use types were analysed: forests, agricultural land, meadows and pastures, built-up areas, rivers, as well as lakes and ponds. Each vector layer of land-use type was extracted from the georeferenced cadastral spatial dataset [22] (scale M 1:10,000).
Near analysis tool in ArcMap 10.8.1 software was used to calculate the precise distances and additional proximity information between the input features (points of WVCs) and the closest feature (land-use type) in another layer or feature class. Near analysis was performed from 5 m to 200 m of distance from a WVC to evaluate the relationship between distance to different land-use types and the occurrence of WVC. Within the 200 m range 6 ‘hot spot’ distances were considered (5 m, 10 m, 25 m, 50 m, 100 m, 200 m), and WVCs that occurred within a specific radius in relation to a land-use type were assigned to that category, and hot spots were generated. The optimised hot-spot analysis tool was used to identify statistically significant spatial clusters of high values (hot spots) and low values (cold spots). The hot-spot analysis tool considered the distribution of all WVCs across our entire study area (the country of Lithuania) and generated hot spots in areas where points of incidents (WVCs) aggregate as well as cold spots, where points of incidents (WVCs) were rare. This tool automatically aggregates incident data, identifies an appropriate scale of analysis, and corrects for both multiple testing and spatial dependence. Given incident points (points of WVCs) or weighted features (polygons of different land-use types), it creates a map of statistically significant hot and cold spots using the Getis-Ord Gi statistic. This statistic evaluates the characteristics of the input feature class to produce optimal results [25,26]. This tool is appropriate for all data (points or polygons), including sampled data. Moreover, this tool is effective and reliable even in cases where there is oversampling. With many features (oversampling), the tool has more information to compute accurate and reliable results. With few features (undersampling), the tool will still do all it can to produce accurate and reliable results, but there will be less information to analyse. In our study, there were 13,999 points (WVCs), which means that the dataset had many features (oversampling). A high z-score and small p-value for a feature indicate a spatial clustering of high values. A low negative z-score and small p-value indicate a spatial clustering of low values. The higher (or lower) the z-score, the more intense the clustering. A z-score near zero indicates no apparent spatial clustering. In our study, only 99% of confidence level data were used.
The resultant z-scores and p-values indicate where features with either high or low values cluster spatially. This tool works by analysing each feature within the context of neighbouring features. To be a statistically significant hot spot, a feature must have a high value and be surrounded by other features also with high values [27].
3. Results
The hot-spot analysis and generated maps clearly show that the influence and importance of a specific land-use type depend on its distance to WVCs. The distribution of hot spots associated with different land-use types is divided into two groups based on distance—short range (Figure 1A) and long range (Figure 1B). Short-range land-use types include essential elements of the species’ habitat (forests) and primary food resources (agricultural land and meadows and pastures), while anthropogenic factors (built-up areas) and migration corridors associated with water (rivers and lakes and ponds) are long-range (B) land-use types.
Figure 1.
Total number of hot spots and distance to different land-use types: (A) short-range sensitive land-use types and (B) long-range sensitive land-use types.
WVC hot spots primarily were associated with agricultural lands and forests, as well as meadows and pastures, and most occurred within a 10 m radius. In total, these land-use types accounted for 4777 (86%) of hot spots, with a confidence level of 99%. Anthropogenic built-up areas were also associated with hot spots (446, 8%), but the most critical distance was 200 m. Rivers and lakes and ponds together were associated with lower numbers of hot spots (940, 10.2%) throughout the 200 m range and showed a significant increase at 200 m. These land-use types are significant as migration corridors (rivers) and water supply (rivers and lakes and ponds).
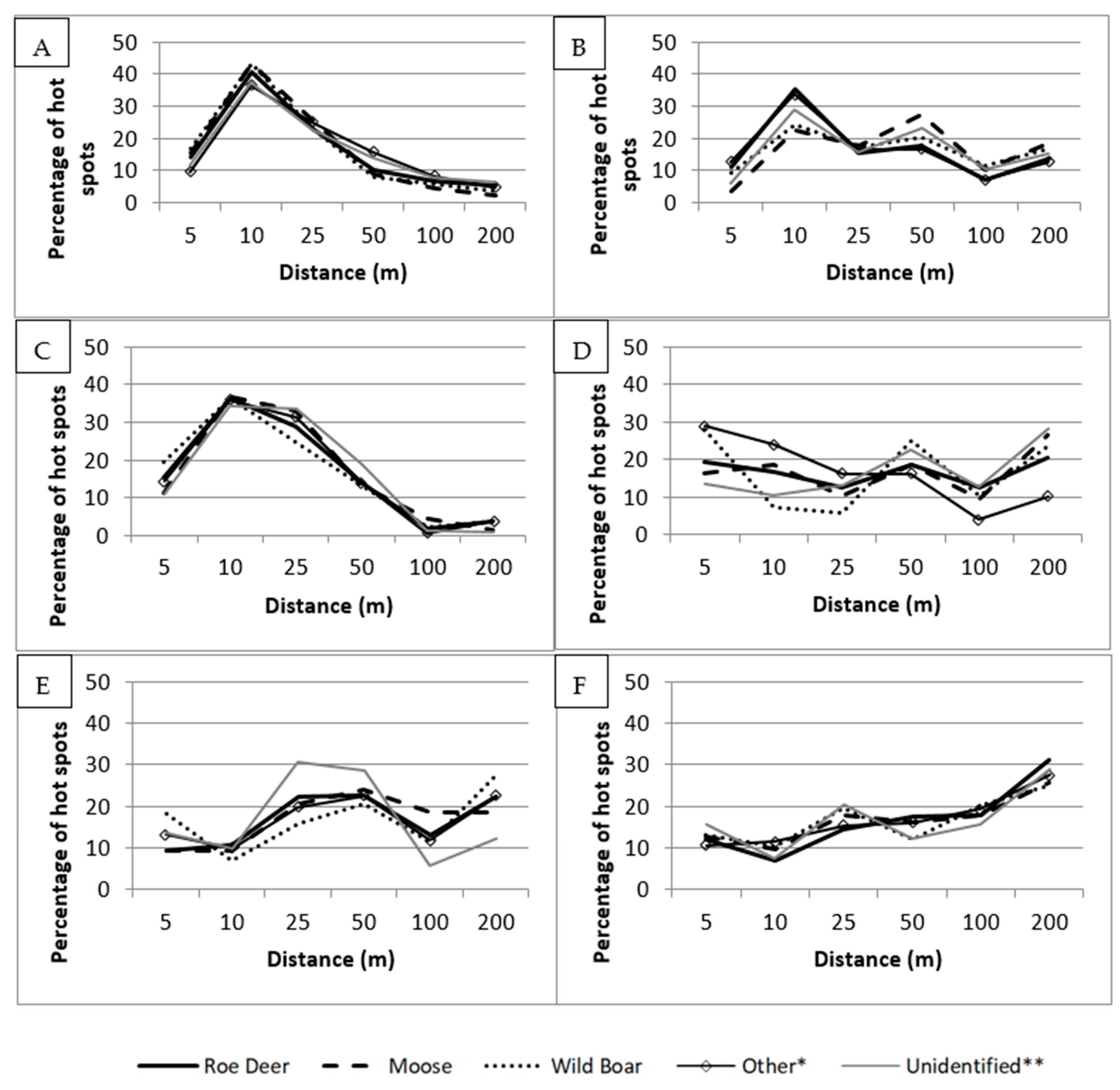
For forests (43.5% of hot spots), agricultural land (35.5%), and meadows and pastures (36.8%), the highest percentage of hot spots with a confidence level of 99% for all species were distributed within 10 m and 25 m (Figure 2A–C). The percentage of hot spots based on the distance to built-up areas was uneven, distributed irregularly, and no clear pattern was observed (Figure 2D, % ranged from 4.1% to 29.1%). The percentage of hot spots associated with rivers (Figure 2E) showed a general pattern of increasing for all species at 25 m and 50 m, decreasing at 100 m, and then increasing at 200 m. This is especially true for wild boar and roe deer, as well as the ‘other species’ category. For example, wild boar hot spots increased from 6.8% at 10 m to 27.3% at 200 m. A higher percentage of hot spots associated with lakes and ponds were generated at farther distances from this land-use type (Figure 2F). At 10 m from lakes and ponds, the percentage of hot spots ranged from 7.4% to 11.5%, while at 200 m, the percentage of hot spots ranged from 28.8% to 31.3%.
Figure 2.
Distribution of species-specific WVC hot spots at different distances for each land-use type: (A) forests, (B) agricultural land, (C) meadows and pastures, (D) built-up areas, (E) rivers, (F) lakes and ponds. * Includes 23 species of wild and domestic animals that comprise less than five percent of total accidents in any separate year. ** Includes cases in database with record ‘animal’.
We found no statistically significant differences (Fisher’s exact test, p > 0.05) in hot-spot distribution among species at any distance for forests (p = 1.17) (Figure 2A), meadows and pastures (p = 2.39) (Figure 2C), and lakes and ponds (p = 1.0) (Figure 2F). We did find some significant differences in hot-spot distribution among species near agricultural land (p = 0.014) depending on the distance. The most pronounced difference (Fisher’s exact test, p < 0.05) was between roe deer (more WVC closer to agricultural land) and moose (more WVC mid-distances to agricultural land). Not surprisingly, the ‘other animals’ group (domestic animals are in this category) generated a higher number of hot spots at shorter distances from built-up (p = 0.001) areas (Fisher’s exact test, p < 0.05).
Combining all land-use types and distances to generate country-wide generalised WVC hot-spot regions (Figure 3) revealed how each separate land-use type and distance (here combined into three categories of 10 m, 50 m, and 200 m) contributed to the overall pattern. Generally, the combined hot-spot regions did not coincide with any individual land-use type pattern. For example, agricultural land at the closest distances (10 m and 50 m) did not positively contribute to the generation of one of the largest hot-spot regions around the capital city of Vilnius (first two of the three smaller maps below the larger map in Figure 3). However, the input of agricultural land did positively contribute when WVCs occurred at a farther distance (200 m), while meadows and pastures, and forests at this farthest distance did not contribute either negatively or positively in generating the hot-spot region around Vilnius. In some regions of the country, specific land-use types were very closely related to the WVC hot-spot generation (for example, agricultural land at 10 m in northern Lithuania or forests at 10 m in southeastern Lithuania).

Figure 3.
Distribution of hot spots (red) and cold spots (blue) of WVCs in Lithuania combining all land-use types and distances (large map) and by land-use type at three distance categories—10 m, 50 m, and 200 m (small maps).
The hot-spot analysis allowed all land-use types to be ranked based on their significance (according to the Getis-Ord Gi statistic used in the hot-spot analysis tool) in relation to WVCs in the following order: agricultural land < forests < meadows and pastures < built-up areas < rivers < lakes and ponds. Agricultural land and forests are the dominant land-use types in Lithuania and the most important wildlife habitats; thus, they were associated with the highest number of WVC hot spots. Distance analysis revealed that forests had the smallest mean distance to WVC hot spots and that distances to hot spots were less variable for this land-use type. All other land-use types had higher mean distances and more variable distributions of distances to WVC hot spots.
4. Discussion
Our study found that WVC hot spots depended on the distance between the accident point and a specific land-use type. The highest numbers of WVC hot spots were generated in close proximity to agricultural land and forests, as well as meadows and pastures. All three land-use types form important habitat constituents for large wild ungulates [28,29]. The use of agricultural land and forests, as well as meadows and pastures, by large ungulates and the influence of these habitats on their ecology (habitat preferences, foraging, mating behaviours, population dynamics) is significant. Thus, their association with WVC hot spots is expected. Meadows and pastures, as well as agricultural lands, are used by roe deer, red deer, and wild boar as important feeding habitats in all seasons, while forests are considered their core habitat. Moose, a typical browser, is associated more with forests than other ungulate species [28]. Some spatially explicit models on the abundance of ungulates across the landscape have demonstrated the influence of variables such as forest habitat and the interspersion of forest habitat within an agricultural matrix [30]. This mosaic pattern of forest distribution within the agricultural landscape is characteristic of Lithuania. Interspersion between forest and open habitats (agricultural land and meadows and pastures) may explain the similarity in WVC hot-spot distribution at shorter distances to these habitats in our study. Seasonal and daily movements of large ungulates between forested and open plots may inevitably overlay with road networks and increase the probability of WVCs [31].
We found differences in absolute hot-spot numbers among land cover types, which might be related to the contribution of a land-use type to the general structure of the land and its importance to wildlife. Agricultural land (46.4% of land in Lithuania) was associated with the highest number of WVC hot spots and generated hot spots with higher confidence values than meadows and pastures (5.4% of all land). Forest habitat (approximately 30% of all land) also played a significant role in the generation of WVC hot spots across the entire Lithuanian landscape.
The generation of WVC hot spots was statistically weaker at distances farther from these three habitats. We found that the probability of habitat change for agricultural land (p = 0.00039), forests (p = 0.00024), and meadows and pastures (p = 0.00011) increased as the distance from an accident point increased, which would reduce the importance of these habitats in a hot-spot generation. Additionally, we found a relatively low association between WVC hot spots and most habitat types at the closest distance (5 m) from the accident point. We believe that 5 m may be too short a distance for the GIS tool to effectively discriminate among habitat types, as well as 5 m could be smaller than the size of the road where a collision occurs. For example, even if a road passes through a forest, in most cases, the forest margin is farther than 5 m from the roadway, and the GIS tool does not indicate this habitat as being associated with an accident point at 5 m. Therefore, we recommend that the distance of 5 m be considered the ‘road maintenance zone’ and be excluded from future models explaining hot spot–habitat distance relationships.
A different pattern of hot spot–habitat distance relationship was found for the other three land-use types (built-up areas, rivers, and lakes and ponds). Hot spots tended to increase with increasing distance to these habitat types for all species. In general, there were fewer hot spots associated with these habitats at 5, 10, and 25 m and more at distances greater than 50 m. This pattern was clearest for lakes and ponds but more variable for built-up areas and rivers. Lakes and ponds could act as ‘attraction patches’ for wildlife, and these species may have developed permanent routes to these water bodies [32,33]. When a lake or pond is farther from the roadway there may be more potential routes that cross the roadway, which would increase the probability of WVCs. In dryer climates, the proximity of water sources could influence WVC clusters since water is a limiting resource for many wildlife species in these environments [34]. Additionally, Boroski and Mossman [35] found that mule deer distribution in northern California, USA, was influenced by the location of water sources.
The relationship between hot-spot number and distance was not as clear for built-up areas. For example, WVC hot spots for other species (which includes domestic animals) and wild boar had relatively high numbers near built-up areas (5 m), then decreased at 10–25 m, increased at 50 m, and then decreased at 100 m, before increasing again at 200 m. On a national level, we found higher hot-spot generation near large urban areas. The most reasonable explanation for this pattern is the vehicle intensity factor rather than the habitat preferences of wildlife. More urban WVC hot spots most likely result from high-density traffic flow, especially along suburban roads close to forest habitats [36]. This has been reported in Europe for roe deer and wild boar, for countries in which population densities of these animals are high [37], and these species may be especially tolerant of humans and urbanisation. In Lublin, Poland, high roe deer road mortality was found on exit roads crossing green areas at the periphery of the city [38]. Another explanation may be that a high number of WVCs in the dataset used in our study were recorded as ‘other animals’, which contains domestic animals, and it is reasonable that they more often are involved in WVCs near the cities. We found some species-specific patterns of hot-spot number and habitat proximity relationships. Hot spots of roe deer–vehicle collisions were generated more than for any other species group, which is not surprising since roe deer is the most abundant (of the analysed species) wildlife species in Lithuania. As an ecologically plastic species, roe deer showed less relationship in WVC hot-spot number depending on the distance to forests, agricultural land, and meadows and pastures than moose, an ecologically more specialised species. The number of moose WVC hot spots was strongly related to the distance to forest habitat. WVC hot-spot number by wild boar showed a more variable relationship based on distance from a specific habitat than the two abovementioned species.
Our analysis demonstrates that the consideration of only one habitat type on the WVC hot-spot distribution pattern may overemphasise the importance of that habitat type, leading to less effective prevention measures on a country-wide scale. However, regionally or even locally, one habitat type at a specific distance may adequately explain hot-spot distribution patterns. We assume this applies best where one habitat dominates the landscape. For example, in southeastern Lithuania, forest habitat dominates, which results in hot-spot generation at close distances to roadways. Built-up areas, with high human density and vehicle density, are significantly associated with WVC hot spots around large cities. We conclude that the integrated hot-spot distribution pattern in any region should be supported by additional analysis of how individual habitat types at different distances from VWC influence hot-spot generation. The use of generalised hot-spot patterns and regionally specific habitat–distance hot-spot patterns can lead to the implementation of more effective WVC preventive measures.
The statistical method of hot-spot analysis is a valuable tool for identifying the sections of roadways most associated with wildlife–vehicle collisions and allows mitigation measures to be effectively and economically applied where the need is most urgent. WVC hot-spot analysis is considered among the most important approaches to predict and manage wildlife mortality threats on roads [17,39]. This methodology can be reliably applied for abundant species but has been reported to be much less sensitive for rare species [39]. Our study adds support for using hot-spot analysis with large wild ungulates that were abundant in Lithuania during the period of our research [40].
5. Conclusions
Results of our research have confirmed the links between land-use types and the spatial distribution of animal collisions on roadways.
Individual habitat types differently contribute to hot-spot distribution patterns depending on the distance. Agricultural land, meadows and pastures, and forests were tightly related with hot-spot generation at closest distances (10 m) from WVCs, whereas built-up areas, rivers, and lakes and ponds—at farthest distances (200 m).
We found slight differences in hot spots and habitat proximity relations among specific animal species. The roe deer, as a generalist species, showed less sensitivity in hot-spot generation depending on the distance to forests, agricultural land, and meadows and pastures than the moose which is a specialised browser.
Integrating all the habitat types to generate WVC hot-spot patterns on a country-wide scale revealed a different pattern than for any individual habitat type. Areas near cities including suburban areas with a high human population density and a high vehicle density generated major hot-spot regions when all habitat types and distances were combined. However, individual habitat type analysis may help implement effective prevention means at a regional scale or local scale.
The results of our study may be valuable resources for informing management policies and developing WVC prevention measures. Studies such as ours should be used during the road safety planning process and in the future development of roadside areas.
Author Contributions
Conceptualisation, Gytautas Ignatavičius and Alius Ulevičius; methodology, Vaidotas Valskys; formal analysis Lina Galinskaitė, Arūnas Samas and Vaidotas Valskys; data curation, Lina Galinskaitė; writing—review and editing, Peter E. Busher, Arūnas Samas, and Alius Ulevičius; visualisation, Vaidotas Valskys All authors have read and agreed to the published version of the manuscript.
Funding
This research received no external funding.
Institutional Review Board Statement
Not applicable.
Data Availability Statement
The data presented in this study are partially available on request from the corresponding author.
Acknowledgments
The authors would like to thank Lithuanian Road Police Service for cooperation and provision of data.
Conflicts of Interest
The authors declare no conflict of interest.
References
- Balčiauskas, L.; Jasiulionis, M. Reducing the incidence of mammals on public highways using chemical repellent. Balt. J. Road Bridge Eng. 2012, 7, 92–97. [Google Scholar] [CrossRef]
- Joyce, T.L.; Mahoney, S.P. Spatial and temporal distributions of moose-vehicle collisions in Newfoundland. Wildl. Soc. Bull. 2001, 29, 281–291. [Google Scholar] [CrossRef]
- Gunson, K.E.; Clevenger, A.P.; Ford, A.T.; Bissonette, J.A.; Hardy, A. A Comparison of Data Sets Varying in Spatial Accuracy Used to Predict the Occurrence of Wildlife-Vehicle Collisions. Environ. Manag. 2009, 44, 268–277. [Google Scholar] [CrossRef] [PubMed]
- Krisp, J.M.; Durot, S. Segmentation of lines based on point densities-An optimisation of wildlife warning sign placement in southern Finland. Accid. Anal. Prev. 2007, 39, 38–46. [Google Scholar] [CrossRef] [PubMed]
- Ramp, D.; Wilson, V.K.; Croft, D.B. Assessing the impacts of roads in peri-urban reserves: Road-based fatalities and road usage by wildlife in the Royal National Park, New SouthWales, Australia. Biol. Conserv. 2006, 129, 348–359. [Google Scholar] [CrossRef]
- Mountrakis, G.; Gunson, K.E. Multi-scale spatiotemporal analyses of moosevehicle collisions: A case study in northern Vermont. Int. J. Geogr. Inf. Syst. 2009, 23, 1389–1412. [Google Scholar] [CrossRef]
- Puglisi, M.J.; Lindzey, J.S.; Bellis, E.D. Factors associated with highway mortality of white-tailed deer. J. Wildl. Manag. 1974, 38, 799–807. [Google Scholar] [CrossRef]
- Hubbard, M.W.; Danielson, B.J.; Schmitz, R.A. Factors influencing the location of deer–vehicle accidents in Iowa. J. Wildl. Manag. 2000, 64, 707–713. [Google Scholar] [CrossRef]
- Clevenger, A.P.; Chruszczc, B.; Gunson, K.E. Spatial patterns and factors influencing small vertebrate fauna road-kill aggregations. Biol. Conserv. 2003, 109, 15–26. [Google Scholar] [CrossRef]
- Bíl, M.; Favilli, F.; Sedoník, J.; Andrášik, R.; Kasal, P.; Agreiter, A.; Streifeneder, T. Application of KDE+ software to identify collective risk hotspots of ungulate-vehicle collisions in South Tyrol, Northern Italy. Eur. J. Wildl Res. 2018, 64, 59. [Google Scholar] [CrossRef]
- Grilo, C.; Bissonette, J.; Santos-Reis, M. Spatial-temporal patterns in Mediterranean carnivore road casualties: Consequences for mitigation. Biol. Conserv. 2009, 142, 301–331. [Google Scholar] [CrossRef]
- Hoehun, H.; Fraser, S. Modelling potential wildlife-vehicle collisions (WVC) locations using environmental factors and human population density: A case-study from 3 state highways in Central California. Ecol. Inform. 2017, 43, 212–221. [Google Scholar] [CrossRef]
- Santos, S.M.; Lourenco, R.; Mira, A.; Beja, P. Relative effects of road risk habitat suitability, and connectivity on wildlife roadkills: The case of tawny owls (Strix aluco). PLoS ONE 2013, 8, e79967. [Google Scholar] [CrossRef] [Green Version]
- Snow, N.P.; Williams, D.M.; Porter, W.F. A landscape-based approach for delineating hotspots of wildlife-vehicle collisions. Landsc. Ecol. 2014, 29, 817–829. [Google Scholar] [CrossRef] [Green Version]
- Huijser, M.P.; McGowen, P.T.; Fuller, J.; Hardy, A.; Kociolek, A. Wildlife-Vehicle Collision Reduction Study: Report to Congress; FHWA-HRT-08-034; U.S. Department of Transportation, Federal Highway Administration: Washington, DC, USA, 2008; p. 254.
- Rodríguez-Morales, B.; Díaz-Varela, E.R.; Marey-Pérez, M.F. Spatiotemporal analysis of vehicle collisions involving wild boar and roe deer in NW Spain. Accid. Anal. Prev. 2013, 60, 121–133. [Google Scholar] [CrossRef]
- Shilling, F.M.; Waetjen, D.P. Wildlife-vehicle collision hotspots at US highway extents: Scale and data source effects. Nat. Conserv. 2015, 11, 41–60. [Google Scholar] [CrossRef] [Green Version]
- Langen, T.A.; Ogden, K.M.; Schwarting, L.L. Predicting hot spots of herpetofauna road mortality along highway networks. J. Wildl. Manag. 2009, 73, 104–114. [Google Scholar] [CrossRef]
- Gunson, K.E.; Mountrakis, G.; Quackenbush, L.J. Spatial wildlife-vehicle collision models: A review of current work and its application to transportation mitigation projects. J. Environ. Manag. 2011, 92, 1074–1082. [Google Scholar] [CrossRef] [PubMed]
- Bil, M.; Andrásik, R.; Janoska, Z. Identification of hazardous road locations of traffic accidents by means of kernel density estimation and cluster significance evaluation. Accid. Anal. Prev. 2013, 55, 265–273. [Google Scholar] [CrossRef]
- Galvonaitė, A.; Valiukas, D.; Kilpys, J.; Kitrienė, Z.; Misiūnienė, M. Climate Atlas of Lithuania; Lithuanian Hydrometeorological Service: Vilnius, Lithuania, 2013; pp. 8–15. [Google Scholar]
- Geoportal. Available online: https://www.geoportal.lt/geoportal/en/web/en/search#queryText=GRPK (accessed on 27 March 2021).
- Statistics of Fatal and Injury Road Accidents in Lithuania, 2014–2017. The Lithuanian Road Administration under the Ministry of Transport and Communications of the Republic of Lithuania. Available online: https://lakd.lrv.lt/lt/eismo-saugumas/eismo-ivykiu-statistika (accessed on 15 April 2021).
- Ministry of Environment of the Republic of Lithuania. Available online: https://am.lrv.lt/lt/veiklos-sritys-1/gamtos-apsauga/medziokle/medziojamuju-zveriu-apskaita (accessed on 10 May 2021).
- Getis, A.; Ord, J.K. The Analysis of Spatial Association by Use of Distance Statistics. Geogr. Anal. 1992, 24, 189–206. [Google Scholar] [CrossRef]
- Ord, J.K.; Getis, A. Local Spatial Autocorrelation Statistics: Distributional Issues and an Application. Geogr. Anal. 1995, 27, 286–306. [Google Scholar] [CrossRef]
- Mitchell, A. The ESRI Guide to GIS Analysis, 2nd ed.; ESRI Press: Redlands, CA, USA, 2005; pp. 161–187. [Google Scholar]
- Baleišis, R.; Bluzma, P.; Balčiauskas, L. Lietuvos Kanopiniai Žvėrys, 2nd ed.; Asveja: Vilnius, Lithuania, 1987. [Google Scholar]
- Hewison, A.J.M.; Vincent, J.P.; Joachim, J.; Angibault, J.M.; Cargnelutti, B.; Cibien, C. The effects of woodland fragmentation and human activity on roe deer distribution in agricultural landscapes. Can. J. Zool. 2001, 79, 679–689. [Google Scholar] [CrossRef]
- Borowik, T.; Cornulier, T.; Jędrzejewska, B. Environmental factors shaping ungulate abundances in Poland. Acta Theriol. 2013, 58, 403–413. [Google Scholar] [CrossRef] [PubMed] [Green Version]
- Ager, A.A.; Johnson, B.K.; Kern, J.W.; Kie, J.G. Daily and Seasonal Movements and Habitat Use by Female Rocky Mountain Elk and Mule Deer. J. Mammal. 2003, 84, 1076–1088. [Google Scholar] [CrossRef] [Green Version]
- Xie, S.; Marzluff, J.M.; Su, Y.; Wang, Y.; Meng, N.; Wu, T.; Gong, C.; Lu, F.; Xian, C.; Zhang, Y.; et al. The role of urban waterbodies in maintaining bird species diversity within built area of Beijing. Sci. Total Environ. 2022, 806, 150430. [Google Scholar] [CrossRef]
- Ancillotto, L.; Bosso, L.; Ramos, V.B.S.; Russo, D. The importance of ponds for the conservation of bats in urban landscapes. Landsc. Urban Plan. 2019, 190, 103607. [Google Scholar] [CrossRef]
- O’Brien, C.S.; Waddell, R.B.; Rosenstock, S.S.; Rabe, M.J. Widlife use of water catchments in Southeastern Arizona. Wildl. Soc. Bull. 2006, 34, 582–591. [Google Scholar] [CrossRef]
- Boroski, B.B.; Mossman, A.S. Distribution of mule deer in relation to water sources in Northern California. J. Wildl. Manag. 1996, 60, 770–776. [Google Scholar] [CrossRef]
- Found, R.; Boyce, M.S. Predicting deer-vehicle collisions in an urban area. J. Environ. Manag. 2011, 92, 2486–2493. [Google Scholar] [CrossRef]
- Zuberogoitia, I.; Real, J.; Torres, J.J.; Rodríguez, L.; Alonso, M.; Zabala, J. Ungulate Vehicle Collisions in a Peri-Urban Environment: Consequences of Transportation Infrastructures Planned Assuming the Absence of Ungulates. PLoS ONE 2014, 9, e107713. [Google Scholar] [CrossRef] [Green Version]
- Tajchman, K.; Drozd, L.; Karpiński, M.; Czyżowski, P.; Goleman, M.; Chmielewski, S. Wildlife—Vehicle collisions in urban area in relation to the behaviour and density of mammals. Pol. J. Natur. Sc. 2017, 32, 49–59. [Google Scholar]
- Litvaitis, J.A.; Tash, J.P. An Approach Toward Understanding Wildlife-Vehicle Collisions. Environ. Manag. 2008, 42, 688–697. [Google Scholar] [CrossRef] [PubMed]
- Ministry of Environment. Available online: http://senas.am.lt/VI/index.php#a/17724 (accessed on 5 April 2021).
Publisher’s Note: MDPI stays neutral with regard to jurisdictional claims in published maps and institutional affiliations. |
© 2022 by the authors. Licensee MDPI, Basel, Switzerland. This article is an open access article distributed under the terms and conditions of the Creative Commons Attribution (CC BY) license (https://creativecommons.org/licenses/by/4.0/).



