Abstract
The biogenic polyamines, spermidine (Spd) and spermine (Spm), are present at millimolar concentrations in all eukaryotic cells, where they participate in the regulation of vitally important cellular functions. Polyamine analogs and derivatives are a traditional and important instrument for the investigation of the cellular functions of polyamines, enzymes of their metabolism, and the regulation of the biosynthesis of antizyme—a key downregulator of polyamine homeostasis. Here, we describe convenient gram-scale syntheses of a set of C-methylated analogs of Spd. The biochemical properties of these compounds and the possibility for the regulation of their activity by moving a methyl group along the polyamine backbone and by changing the stereochemistry of the chiral center(s) are discussed.
1. Introduction
The biogenic polyamines, spermidine (Spd) and spermine (Spm), are essential and ubiquitous organic polycations that are present in all eukaryotic cells in μM-mM concentrations and are vitally important for the differentiation, proliferation, and normal functioning of cells [1,2]. Disturbances of polyamine metabolism are associated with many diseases [3,4], including malignant tumors, since cancer cells have elevated levels of polyamines [5]. This feature underlies the practical aspect of the biochemistry of polyamines. It is based on fundamental knowledge of the enzymatic mechanisms of Spm and Spd metabolism, the algorithms used to modulate their activity, the intracellular polyamine pool, and the peculiarities of Spm and Spd interaction with the cellular targets.
Spd has the unique function of participating in the post-translational modification of the eIF5A (translation initiation factor), serving as the only donor of the aminobutyl group transferred to the amino group of Lys-50. Subsequent hydroxylation of this aminobutyl fragment leads to the formation of the amino acid hypusine. It was shown that hypusinated eIF5A is essential for the elongation of the proline- and glycine-rich sites of the peptides [6]. Hypusination of eIF5A is a highly conserved process; it is the last to be affected when the cellular polyamine pool decreases, as was demonstrated in a mutant strain of Saccharomyces cerevisiae. This explains why Spd is required to support the growth of cells with chronic polyamine deficiency [7]. Trypanothione, which has two glutathione molecules cross-linked by Spd at Gly residues, is another example of a unique Spd derivative. Trypanothione is a vitally important metabolite for many trypanosomatids, such as those causing leishmaniasis, Chagas disease, and African sleeping sickness. Consequently, trypanothione biosynthesis is a promising target for antiprotozoal drug discovery [8].
Such unique transformations and intracellular functions remained unknown for Spm until 2003, when biochemical disorders leading to Snyder–Robinson syndrome were discovered. It was found that the cause of this rare genetic disease is a set of mutations in the SpmSy gene that result in a significant reduction in Spm level and a dramatic increase in Spd content in different organs and tissues [9,10]. It remains unclear if the lack of Spm, the accumulation of Spd, or both are responsible for the negative physiological consequences, such as asthenic builds, intellectual disabilities, osteoporosis, hypotonia, speech abnormalities, and seizures.
Analogs and derivatives of Spm and Spd are important instruments in the investigation of the cellular functions of polyamines; among the most studied are terminally N,N′-bis-alkylated derivatives of Spm. These compounds are SAT1 inducers and, therefore, mediate to deplete the intracellular polyamine pool. Terminally N-substituted derivatives of polyamines possess a wide spectrum of activities including antitumor [11], antiparasite [12,13], and antibacterial activity [14,15]. Highly effective inhibitors of the polyamine catabolizing enzymes, SMOX and PAOX ([16,17,18] and Ref. within), and inhibitors of polyamine transport ([19,20,21] and Ref. within) were found among polyamine analogs. Oligoamine analogs that are more effective than Spm and Spd in inducing antizyme (OAZ1) biosynthesis (a small protein, which is a key downregulator of the polyamine pool) were also reported [22,23,24].
Spm and Spd are easily interconvertible. This significantly complicates the studies of their individual cellular functions. C-Monomethylated derivatives of Spm and Spd belong to a unique group of functionally active mimetics of polyamines (for reviews, see [25,26]). Their biochemical properties can be controlled by moving the methyl group along the polyamine backbone [27,28,29,30]. Recently, we discovered that a full-length mouse OAZ1 can dimerize in the presence of polyamines and/or Spd C-methylated analogs; in the latter case, dimerization efficiency depends on the methyl group position. Moreover, it was shown that the dimerization potential demonstrated by 2-MeSpd was almost negligible [31]. Changing the stereo configuration of the chiral center(s) of C-methylated polyamine analogs gives an opportunity to precisely regulate the productivity of their interaction with enzymes and cells. This observation made it possible to discover functionally active metabolically stable Spm and Spd mimetics suitable for studying their individual cellular functions in vitro and in vivo. Recently, we showed that a metabolically stable R,R-diastereomer of 1,12-Me2Spm represents a promising lead compound in developing a treatment aimed at targeting the molecular mechanisms underlying the pathology of Snyder–Robinson syndrome [32]. R-3-MeSpd was a substrate of neither SAT1 nor SpmSy and, therefore, was metabolically stable. However, unlike the S-isomer, it was a substrate for the deoxyhypusine synthase (DHS) and, like Spd, supported the growth of cells with chronic polyamine deficiency [33].
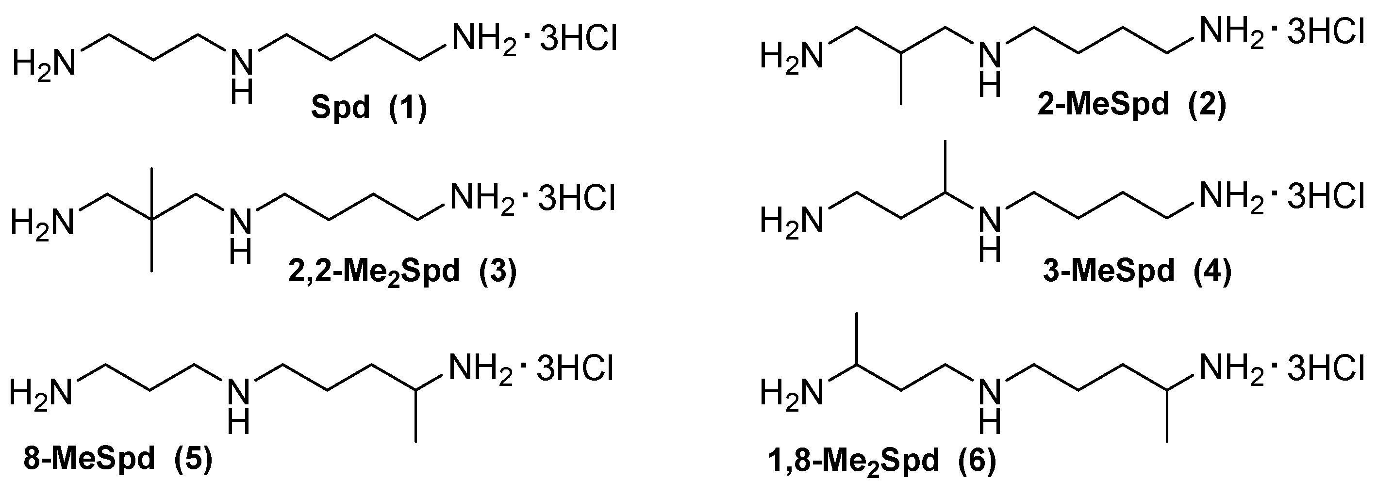
It should be noted that the synthesis of racemic C-methylated Spd analogs is rather complicated and researchers, as a rule, use independent synthetic routes to obtain each of the analogs (for the review, see [25]). Here, we describe a simple general method for the synthesis of a family of C-methylated Spd analogs (Figure 1) with high overall yields, starting from commercially available amino alcohols. We also dwell on the antizyme-related effects of the synthesized compounds.
Figure 1.
Spd and its C-methylated analogs.
2. Results
2.1. Syntheses of 2-MeSpd, 2,2-Me2Spd, 3-MeSpd, and 8-MeSpd
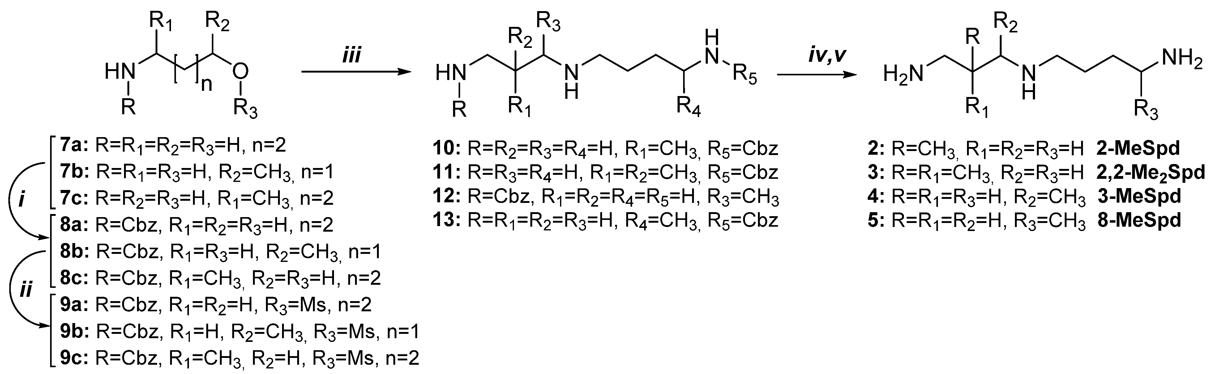
Syntheses of C-methylated Spd’s 2–5 were carried out by a stepwise elongation of the aminomethylene chain. The starting commercially available amino alcohols 7a–7c (Scheme 1) were first converted into N-Cbz-amino alcohols 8a–8c with excellent yields under Shotten–Bauman conditions. The obtained 8a–8c were converted to the corresponding mesylates 9a–9c and the latter, without isolation, were treated with an excess of the corresponding diamine in THF to obtain N-Cbz-triamines 10–13.
Scheme 1.
i—CbzCl/H2O/NaHCO3; ii—MsCl/Et3N/ CH2Cl2;iii—1. NH2CH2CH(CH3)CH2NH2/THF for 2-MeSpd; 2. NH2CH2C(CH3)2CH2NH2/THF for 2,2-Me2Spd; 3. NH2(CH2)3NH2/THF for 8-MeSpd; 4. NH2(CH2)4NH2/THF for 3-MeSpd; iv—H2/Pd/MeOH/AcOH; v—HCl/EtOH.
The reaction of alkyl methanesulfonates of primary alcohols 9a and 9c with the excess of diamines required 12 h of incubation at 0 °C followed by 16 h at 20 °C; for methanesulfonate of the secondary alcohol 9b, the reaction was carried out first for 24 h at 20 °C and then for 16 h at 37 °C. All N-Cbz-triamines 10–13 were isolated by flash column chromatography on SiO2 with high yields. Cbz groups were removed by catalytic hydrogenation. The subsequent recrystallization of trihydrochlorides provided target compounds 2–5 with overall yields of 40–70%, as calculated from starting amino alcohols 7a–7c, respectively.
2.2. Synthesis of 1,8-Me2Spd
Preparation of 6 was performed by the convergent synthetic approach but turned out to be more complicated than the syntheses of 2–5 and required a total of 12 steps (Scheme 2). The starting compound was 3-aminobutanol-1 14, which was converted into N1-(2-nitrophenylsulfonyl)-N4-(tert-butyloxycarbonyl)-1,4-diaminopentane 15 in five steps, following previously published protocols [29]. Nosyl derivative 15 was then alkylated with N-(benzyloxycarbonyl)-3-amino-1-bromobutane at 20 °C in DMF in the presence of K2CO3. The nosyl-protecting group was removed one-pot with PhSH, resulting in Boc-Cbz-triamine 16. Consecutive deprotections of 16 provided target compound 6 in 39% of the overall yield, as calculated from 15. N-(Benzyloxycarbonyl)-3-amino-1-bromobutane was synthesized from 3-aminobutanol-1 14 in three steps as described [34].
Scheme 2.
i—N-(benzyloxycarbonyl)-3-amino-1-bromobutane/DMF/K2CO3; ii—PhSH/DMF/K2CO3; iii—HCl/EtOH; iv—H2/Pd/AcOH/MeOH. Compound 15 was synthesized according to [29].
2.3. Spermine Binds to mOAZ1 and Induces Its Dimerization In Vitro
Recently, we showed that Spm and Spd bind to full-length mouse recombinant OAZ1 (mOAZ1) carrying His-tag on the C-terminus of the polypeptide chain (mOAZ1-6xHis); whereas, under the same conditions, putrescine (1,4-diaminobutane, Put) does not. The stoichiometry of polyamine binding to mOAZ1-6xHis was 2:1, that is, the dimeric (mOAZ1)2‒polyamine complex, was formed. The association constant (Ka) for the complex of Spm with mOAZ1-6xHis was about three times lower than Spd. At the same time, the thermodynamic parameters of complex formation (ΔH and TΔS ratio) for these two polyamines were similar; this suggests that their interaction with mOAZ1 was of the same nature [31]. Surprisingly, among 1-MeSpd, 2-MeSpd, and 3-MeSpd, only 1-MeSpd and 3-MeSpd induced mOAZ1-6xHis dimerization like Spd, whereas 2-MeSpd did not.
Using isothermal titration calorimetry (ITC), we investigated the interaction of Spm with mOAZ1-6xHis, mOAZ1 carrying His-tag on the N-terminus of the polypeptide chain (6xHis-mOAZ1), and mOAZ1. 6xHis-mOAZ1 was produced in E. coli (Figures S1 and S2) and mOAZ1 was obtained by cleaving 6xHis from 6xHis-mOAZ1 with thrombin (6xHis-mOAZ1 was constructed to have a thrombin-specific site). ITC titration curves and binding isotherms for Spm interacting with mOAZ1-6xHis, 6xHis-mOAZ1, and mOAZ1 are shown in Figure S3. Unexpectedly, 6xHis-OAZ1 did not bind Spm. However, when the N-terminal 6xHis-tag was cleaved off with thrombin, the interaction of this protein with Spm was about three times more efficient compared to Spm and OAZ1-6xHis (Table 1).
Table 1.
Thermodynamic parameters of Spm binding with mOAZ1 and mOAZ1 carrying either a C- or N-terminal His-tag, determined by isothermal titration calorimetry a.
2.4. MeSpds Stabilize the Stem-Loop Region of mOAZ1 mRNA Differently
It was assumed that Spm and Spd may stabilize the hairpin structure of the OAZ1 mRNA, which was located just after the stop-codon and was one of the driving forces of the +1 frameshifting required for the synthesis of full-length OAZ1 [35]. Recently we studied the effects of Spd, 1-MeSpd, 2-MeSpd, and 3-MeSpd on the melting temperature of a model 72-mer 2′-O-Me-oligoribonucleotide (L-OM) containing a +1-frameshifting site, hairpin, and pseudoknot of the mOAZ1 mRNA. It was shown that Spd and its analogs stabilize the oligonucleotide architecture in a concentration-dependent manner. However, 2-MeSpd taken at 200 µM stabilized this hairpin structure less effectively compared with 1-MeSpd, 3-MeSpd, and Spd (Table 2).
Table 2.
The effect of Spd and its C-methylated analogs on the melting temperature (Tm) of 72-mer 2′-O-Me-oligoribonucleotide (L-OM), containing a +1 frameshifting site, hairpin, and pseudoknot of the mOAZ1 mRNA. Tm measurements were performed in at least three separate experiments, with 1 μM L-OM (5′-UGG UGC UCC UGA UGU CCC UCA CCC ACC CCU GAА GAU CCC AGG UGG GCG AGG GAA CAG UCA GCG GGA UCA CAG-3′) in 50 mM Tris-HCl pH 7.5, 50 mM NaCl buffer.
Here, we investigated the effects of 8-MeSpd and 2,2-Me2Spd on the melting temperature of an L-OM in comparison with Spd and other C-methylated Spd analogs. 8-MeSpd stabilized the hairpin structure like Spd. However, sterically hidden 2,2-Me2Spd stabilized the hairpin slightly less than Spd and its C-methylated analogs, apart from 2-MeSpd (Table 2). This may confirm that the second position of the Spd backbone is one of the “magic sites” responsible for the stabilization of the hairpin structure. This observation is in line with the recently demonstrated inability of 2-MeSpd to form a (mOAZ)2-2-MeSpd complex [31].
3. Discussion
3.1. Chemistry
Analogs and derivatives of Spm and Spd, as a rule, have a fairly simple structure; however, their synthesis, in many cases, turns out to be quite laborious. This is the result of the monotonicity of the target structures and the need to perform the selective transformations of primary and secondary amino groups. In addition, the target compounds are polar, and that makes it difficult to purify them from minor impurities. The key step of the synthesis of Spm, Spd, and their analogs is the building up of the polyamine backbone. Many solution-based and solid-phase methods for the creation of C-N bonds were adapted to synthesize polyamines, including their C-methylated derivatives (for reviews, see [25,36,37,38]).
gem-Dimethylated derivatives of Spm and Spd were the first to be synthesized and studied [39]. The investigation of the biochemical potential of 1-MeSpd was a logical development of the work with gem-methylated Spd analogs [40]. Originally, 1-MeSpd was obtained by the condensation of N-protected 3-aminobutyric acid with Put and the subsequent reduction of the obtained amide. However, because of the poor solubility of the intermediate amide and problems with its reduction and isolation, the target compound 1-MeSpd was obtained only in quantities less than 100 mg, with a total yield of 16% [40]. As an alternative, we proposed a convenient gram-scale 1-MeSpd synthesis by the alkylation of Put in excess with N-Cbz-3-amino-1-butyl methanesulfonate and the subsequent deprotection of the amino group that gave a target 1-MeSpd with an overall yield of ~60% (four steps), as calculated from the starting 3-aminobutanol-1 [41].
The first step of the known 2-MeSpd and 3-MeSpd synthesis was Michael’s addition of Put to crotononitrile or methacrylonitrile [29]. Intermediate di-Boc-nitriles were reduced with LiAlH4, leading to corresponding di-Boc-triamines, which, after deprotection, gave target 2-MeSpd and 3-MeSpd with >99% purity (HPLC analysis) and overall yields of 34% and 38% (four steps), respectively, as calculated from starting crotononitrile and methacrylonitrile [29]. We also tried to perform a direct reduction of the products of the Michael addition of Put to crotononitrile or methacrylonitrile using Raney nickel. We were not successful with this approach, as the final yields of the pure 2-MeSpd and 3-MeSpd were only around 30% because of the extremely laborious separation of minor impurities from target polyamine analogs [29].
Based on the above synthetic experience, we extended the mesylate approach to the synthesis of 2-MeSpd, 3-MeSpd, 8-MeSpd, and 2,2-Me2Spd (Scheme 1). The starting compounds were commercially available amino alcohols, which were converted to N-Cbz-methanesulfonates and used to alkylate the corresponding diamine in excess. The subsequent removal of the protecting groups led to target C-methylated Spds’ in gram-scale with overall yields of 40 to 70%, as calculated from the corresponding amino alcohols. It should be noted that methanesulfonate 9b was the least reactive, and slight heating was required to complete the reaction with Put; the yield was less than in the case of primary methanesulfonates, and the formation of minor side products was observed.
The alkylation of N-nosylated derivatives of amines was first used for the synthesis of secondary amines back in the 1990s [42]. It was found that in some cases, it turned out to be beneficial compared to the alkylation of primary amines per se. The nosyl group, unlike other sulfamides, is selectively removed under mild conditions by mercaptans, such as thiophenol. We successfully used this approach to obtain symmetrical 1,12-bis-methylated analogs of Spm [34], as well as 2,10- and 3,11-bis-methylated analogs of Spm [30]. Here, this synthetic approach was extended for the preparation of novel 1,8-Me2Spd. This compound complements the panel of C-monomethylated analogs of Spd. The alkylation of compound 15 with N-(benzyloxycarbonyl)-3-amino-1-bromobutane and the subsequent removal of the protecting groups (Scheme 2) led to target 6 in a 39% overall yield. Although this method involves multiple stages, it is preferable because of the simple isolation and purification of the intermediate and final compounds. Moreover, the removal of the protecting groups at the last step was performed with an almost quantitative yield, which made it possible to obtain the target compound in gram-scale.
Here, a general convenient synthesis of various C-methylated analogs of Spd is proposed that makes it possible to obtain corresponding compounds in gram-scale amounts. These Spd analogs are valuable tools for studying the cellular functions of polyamines in vitro and in vivo.
3.2. Biochemistry
Homeostasis of polyamines is strictly controlled by differential feedback mechanisms in both positive and negative directions. A small, short-lived protein antizyme (OAZ1) is one of the key downregulators of the intracellular polyamine pool. OAZ1 binds with high affinity to ornithine decarboxylase (ODC), which is the rate-limiting enzyme of polyamine biosynthesis and one of the most short-lived proteins. OAZ1 disrupts active ODC homodimers and targets the ODC subunit for ubiquitin-independent degradation by the 26S proteasome [43]. In addition, OAZ1 regulates both the uptake and excretion of polyamines [44]. Normally, the intracellular amount of OAZ1 is very low, less than 1 ng/mg of the total cytosolic protein in a rat liver [45]. Polyamines are known to increase the efficiency of the translational +1-frameshifting required to pass through the stop codon of OAZ1 mRNA, which is crucial for the synthesis of the full-length protein [46,47].
The nucleotide sequence around the frameshifting site is highly conserved among eukaryotes [48]. Three cis-acting elements are known to stimulate mammalian OAZ1 frameshifting: a fifty-nucleotide sequence immediately before the shift site, the stop codon, and the pseudoknot, three nucleotides after the stop codon [46,49]. Deletion analysis and site-directed mutagenesis data indicate that the 5’-element contains several essential regions, each of which contributes to the +1 frameshifting efficiency, and, together, they provide an optimal integral effect [50,51]. However, the molecular mechanism of polyamine-dependent regulation of the frameshifting event is still not completely understood.
Polyamines may stabilize the stem-loop structure of mRNA starting after the stop codon, and these interactions may slow down the elongation speed and allow ribosomes to pass through the stop codon [52]. Recently, using RNA melting temperature analysis, we compared the ability of 1-MeSpd, 2-MeSpd, and 3-MeSpd to stabilize the structure of a model 72-mer 2′-O-Me-oligoribonucleotide containing the +1 frameshifting site, hairpin, and pseudoknot of the mOAZ1 mRNA and demonstrated that 2-MeSpd is a slightly worse stabilizer than Spd, 1-MeSpd, and 3-MeSpd [31]. This correlates with a poor induction of OAZ1 synthesis (Western blot analysis) in DU145 cells grown in the presence of 2-MeSpd [31]. It may be assumed that the second position of the Spd molecule is essential for the stabilization of the hairpin structure of OAZ1 mRNA; indeed, among the studied C-methylated Spd analogs, 2,2-Me2Spd turned out to be the worst stabilizer, similar to 2-MeSpd (Table 2).
OAZ1 is synthesized and functions in cells with an elevated polyamine pool. However, most studies of OAZ1 were performed in the absence of polyamines. The exception was the study that showed that [14C]-Spd binds to yeast OAZ1 and to the conjugate of human OAZ1 with maltose-binding protein [53]. Recently, we demonstrated that Spm, Spd, 1-MeSpd, and 3-MeSpd, but surprisingly not 2-MeSpd, dimerized full-length mOAZ1 that carried a His-tag at the C-terminus of the protein (mOAZ1-His6) [31]. Here, we studied the interaction of Spm with the full-length mOAZ1 carrying the His-tag at the N-terminus of the protein (His6-mOAZ1) and demonstrated that such an OAZ1 was not dimerized by Spm. However, when the N-terminal His-tag was digested with thrombin, the OAZ1 bound to Spm about three times more efficiently than to the mOAZ1-His6, and the dimer (mOAZ1)2-Spm complex was formed (Table 1). It may thus be assumed that 20 additional amino acids (MGSSHHHHHHSSGLVPRGSH) at the N-terminal region of mOAZ1 may interfere with productive interaction with Spm and prevent the formation of the (mOAZ1)2-Spm complex.
N-terminally truncated eukaryotic OAZ1s, which are more stable, soluble, and retain the affinity to the ODC subunit, are often used in OAZ1 studies. The structure of rat OAZ1(87–227) was resolved by NMR [54], and the structure of the complex of ODC with human OAZ1(95–228) by X-ray analysis [55]. Functional elements of human OAZ1(95–228) essential for binding the ODC subunit were identified [56]. The N-terminal region of OAZ1 is the putative binding site of cyclin D1 [57], but it is unknown whether the N-terminal region of OAZ1 plays a role in polyamine sensing, as the polyamine-induced dimerization of N-terminally truncated eukaryotic OAZ1 has not been yet studied.
Based on the above, we believe that C-methylated analogs of Spm and Spd, especially their chiral derivatives, may be a useful tool for studying the interaction of polyamines with OAZ1 and the investigation of the driving forces of the polyamine-induced +1 frameshifting of mRNA of OAZ1, including the possibility of a stereochemical control of this event.
4. Materials and Methods
4.1. Materials
N1-(Benzyloxycarbonyl)-4-amino-butanol-2 8b was synthesized as described in [30]; N1-(2-nitrophenylsulfonyl)-N4-(tert-butyloxycarbonyl)-1,4-diaminopentane 15 was prepared following previously published protocol [29]; N-Cbz-4-aminobutanol-1 8a was from SigmaAldrich (St. Louis, MO, USA). Methanesulfonyl chloride (Ms-Cl) and benzyl chloroformate (Cbz-Cl) were from Acros (Belgium); 1,4-diaminobutane, 4-aminobutanol-2 and 4-aminopentanol-1 (the latter was freshly distilled before use, bp 111–114 °C/19 Torr) were from Fluka (Switzerland); 1,3-diaminopropane, 2-methyl-1,3-diaminopropane, and 2,2-dimethyl-1,3-diaminopropane were from TCI (Japan). The sequence of mouse OAZ1 was from [58]. The model 72-chain-2′-O-Me-oligonucleotide mOAZ1-PK (5′-UGG UGC UCC UGA UGU CCC UCA CCC ACC CCU GAА GAU CCC AGG UGG GCG AGG GAA CAG UCA GCG GGA UCA CAG-3′) was purchased from DNA-Synthesis LLC (Moscow, Russia). All other reagents, salts, and solvents were of the highest purity and used as supplied by Aldrich and Acros.
Flash chromatography was performed on Kieselgel (40–63 μm, Merck, Germany); elution systems are indicated in the text. TLC was carried out on precoated Kieselgel 60 F254 plates (Merck, Germany) using (A) CH2Cl2-MeOH = 98:2, (B) 1,4-dioxane—25% NH4OH = 95:5, (C) n-BuOH-AcOH-Py-H2O = 4:2:1:2, and (D) dioxane-25% NH4OH = 100:1 for elution. 1H and 13C NMR spectra were measured on a Bruker Avance III (Germany) using tetramethylsilane (TMS) in CDCl3 or sodium 3-(trimethylsilyl)-1-propanesulfonate (TSP) in D2O as internal standards. Chemical shifts are given in ppm. The letter “J” indicates normal 3JHH couplings, if not specified otherwise, and J values are given in Hz. Elemental analysis was performed using a CHN-analyser Carlo Erba 1106. High-resolution mass spectra (HR MS) were measured on a Bruker MicrOTOF II instrument using electrospray ionization (ESI) [59]. The measurements were conducted in positive ion mode (interface capillary voltage—4500 V); mass range from m/z 50 to m/z 3000; external or internal calibration was conducted with ESI Tuning Mix, Agilent. A syringe injection was used for aqueous solutions of target hydrochlorides or acetonitrile solutions of their protected derivatives (flow rate 3 µL/min). Nitrogen was applied as a dry gas; the interface temperature was set at 180 °C.
4.2. Syntheses of 2-MeSpd, 2,2-Me2Spd, 3-MeSpd and 8-MeSpd
N-(Benzyloxycarbonyl)-4-aminopentanol-1 (8c). Benzyl chloroformate (3.5 mL, 25 mmol) was added in five portions at 20 min intervals to a cooled (0 °C) and vigorously stirred mixture of 2.58 g (25 mmol) 4-aminopentanol-1 7c, 2 M Na2CO3 (25 mL), NaHCO3 (2.52 g, 25 mmol), and THF (30 mL). Stirring continued for 1 h at 0 °C and for 4 h at room temperature. The organic layer was separated, and the water layer was extracted with CHCl3 (3 × 20 mL). The combined organic extracts were concentrated in vacuo. The residue was dissolved in CHCl3 (50 mL), washed with 1 M HCl (2 × 20 mL), H2O (2 × 10 mL), 1 M NaHCO3 (10 mL), H2O (10 mL), brine (2 × 15 mL), dried (MgSO4), filtered, and evaporated to dryness in vacuo. Crude N-(benzyloxycarbonyl)-4-aminopentanol-1 (8c) was triturated with an ether/hexane (1:3) mixture (80 mL) and left overnight at +4 °C. The precipitate was filtered and dried in vacuo at 1 Torr to produce (8c) (5.21g, 88%) as colorless crystals, mp 55–57 °C. Rf 0.22 (A). 1H NMR (CDCl3) δ: 7.40–7.28 (m, 5Н, C6H5); 5.08 (s, 2H, CH2C6H5); 4.69 (bs, 1H, Cbz-NH); 3.84–3.70 (m, 1H, NHCH(CH3)); 3.69–3.58 (m, 2H, CH2OH); 1.80 (bs, 1H, OH); 1.65–1.45 (m, 4H, CHCH2CH2); 1.15 (d, 3H, J = 6.5 Hz, CH3). 13C NMR (CDCl3) δ: 156.31; 136.96; 128.84; 128.41 (2 C); 66.90; 62.86; 47.25; 33.91; 29.25; 21.60. HRESIMS: calculated for C13H20NO3 [M + H]+: m/z 238.1438. Found: m/z 238.1438.
4.2.1. General Method for Synthesis of N-Cbz-Protected C-Methylated Analogs of Spd (10–13)
Methanesulfonyl chloride (2.32 mL, 30 mmol) in dry THF (15 mL) was added dropwise within 20 min to a stirred and cooled (0 °C) solution of 8a–8c (30 mmol) and Et3N (5.57 mL, 40 mmol) in dry THF (75 mL). Stirring was continued for 1 h at 0 °C, then for 2 h at 20 °C, and the precipitate was filtered off. The filtrate was concentrated in vacuo and the residue was co-evaporated in vacuo with dry toluene (2 × 30 mL) to give 9a–9c.
The cooled (0 °C) solution of diamine (0.3 mol) in dry THF (30 mL) was added to a cooled (0 °C) solution of 9a–9c in dry THF (30 mL). The reaction mixture was kept for 12 h at 4 °C and 24 h at 20 °C (in the case of 9b, the reaction mixture was additionally kept 12 h at 37 °C). The precipitate was filtered off and the filtrate was concentrated in vacuo. The residue was mixed with 2 M NaOH (30 mL) and the separated oil was extracted with CH2Cl2 (3 × 30 mL). Combined organic extracts were washed with H2O (15 mL), brine (2 × 15 mL), and dried (K2CO3). Filtrate was evaporated to dryness in vacuo and the residue was purified on a SiO2 column using 1,4-dioxane-25% NH4OH (elution systems for each of the compounds are in the text). The appropriate fractions were concentrated in vacuo and then dried in vacuo over P2O5 to give compounds 10–13.
N8-(benzyloxycarbonyl)-1,8-diamino-2-methyl-4-azaoctane (10). Synthesis was carried out following the above general protocol starting from 8a (3.4 g, 15 mmol), Ms-Cl (1.16 mL, 15 mmol), Et3N (2.8 mL, 20 mmol), and 1,3-diamino-2-methylpropane (15 mL, 0.15 mol). The SiO2 column was eluted first with 1,4-dioxane-25% NH4OH = 95:5 and then 1,4-dioxane-25% NH4OH = 9:1. This afforded 10 (3.12 g, 71%) as a colorless viscous oil, Rf 0.14 (B). 1H NMR (CDCl3) δ: 7.40–7.27 (m, 5H, C6H5); 5.63 (bs, 1H, NH-Cbz); 5.05 (s, 2H, CH2C6H5); 3.21–3.10 (m, 2Н, Cbz-NHCH2); 2.69–2.38 (m, 6H, CH2NHCH2 + CH2NH2); 1.69–1.57 (m, 1H, CH(CH3)); 1.54–1.42 (m, 4H, CH2CH2CH2CH2); 1.34 (bs, 3H, NH + NH2); 0.87 (d, 3H, J = 6.5 Hz, CH3). 13C NMR (CDCl3) δ: 156.52; 136.81; 128.44; 128.04; 127.97; 66.42; 54.65; 49.73; 47.12; 40.96; 36.39; 27.82; 27.39; 16.37. HRESIMS: calculated for C16H28N3O2 [M + H]+: m/z 294.2176. Found: m/z 294.2174.
N1-(Benzyloxycarbonyl)-1,8-diamino-2,2-dimethyl-4-azaoctane (11). Synthesis was carried out following the above general protocol starting from 8a (3.4 g, 15 mmol), Ms-Cl (1.16 mL, 15 mmol), Et3N (2.8 mL, 20 mmol), and 2,2-dimethyl-1,3-propanediamine (18 mL, 0.15 mol). The SiO2 column was eluted with 95:5 dioxane-25% NH4OH to yield 11 (3.59 g, 78%) as a colorless viscous oil, Rf 0.16 (B). 1H NMR (CDCl3) δ: 7.36–7.27 (m, 5H, C6H5); 5.49 (bs, 1H, NH-Cbz); 5.06 (s, 2H, CH2C6H5); 3.22–3.10 (m, 2Н, Cbz-NHCH2); 2.56 (t, 2H, J = 6.6 Hz, CH2CH2NH); 2.48 (s, 2H, NHCH2C); 2.37 (s, 2H, CH2NH2); 1.34 (bs, 3H, NH + NH2); 1.58–1.46 (m, 4H, CH2CH2CH2CH2); 1.44 (bs, 3H, NH + NH2); 0.83 (s, 6H, (CH3)2). 13C NMR (CDCl3) δ: 156.56; 136.82; 128.51; 128.14; 128.05; 66.52; 58.91; 51.52; 50.38; 41.04; 35.29; 27.79; 27.34; 23.86. HRESIMS: calculated for C17H30N3O2 [M + H]+: m/z 308.2333. Found: m/z 308.2331.
N1-(Benzyloxycarbonyl)-1,8-diamino-3-methyl-4-azaoctane (12). Synthesis was carried out following the above general protocol starting from 8b (2.9 g, 13 mmol), Ms-Cl (1.00 mL, 13 mmol), Et3N (2.4 mL, 17.2 mmol), and putrescine (13.2 mL, 0.13 mol). The SiO2 column was eluted first with 1,4-dioxane-25% NH4OH = 95:5 and then 1,4-dioxane-25% NH4OH = 9:1. This gave 12 (2.41 g, 63%) as a colorless viscous oil, Rf 0.26 (B). 1H NMR (CDCl3) δ: 7.38–7.27 (m, 5H, C6H5); 6.14 (bs, 1H, NH-Cbz); 5.07 (s, 2H, CH2C6H5); 3.39–3.14 (m, 2Н, Cbz-NHCH2); 2.78–2.56 (m, 4H, NHCH2 + CH2NH2); 2.55–2.43 (m, 1H, CH(CH3)NH); 1.64–1.37 (m, 6H, CH2CH2CH2CH2 + CH2CH); 1.25 (bs, 3H, NH + NH2); 1.05 (d, 3H, J = 6.5 Hz, CH3). 13C NMR (CDCl3) δ: 156.47; 136.92; 128.44; 127.98; 127.94; 66.35; 52.12; 49.83; 42.04; 38.93; 35.73; 31.56; 27.76; 20.37. HRESIMS: calculated for C16H28N3O2, [M + H]+: m/z 294.2176. Found: m/z 294.2175.
N8-(benzyloxycarbonyl)-1,8-diamino-4-azanonane (13). Synthesis was carried out following the above general protocol starting from 8c (3.5 g, 14.7 mmol), Ms-Cl (1.14 mL, 14.7 mmol), Et3N (2.5 mL, 17.9 mmol), and 1,3-diaminopropane (12.6 mL, 0.15 mol). The SiO2 column was eluted first with 1,4-dioxane-25% NH4OH = 95:5 and then 1,4-dioxane-25% NH4OH = 9:1. This gave 7 (3.11 g, 72%), Rf 0.14 (B). 1H NMR (CDCl3) δ: 7.36–7.27 (m, 5H, C6H5); 5.24 (bs, 1H, NH-Cbz); 5.04 (s, 2H, CH2C6H5); 3.76–3.58 (m, 1Н, NHCH(CH3)); 2.69 (t, 2H, J = 6.8 Hz, CH2NH2); 2.64–2.48 (m, 4H, CH2NHCH2); 1.64–1.51 (m, 2H, CH2CH2NH2); 1.50–1.36 (m, 4H, CHCH2CH2); 1.18 (bs, 3H, NH + NH2); 1.11 (d, 3H, J =6.5 Hz, CH3). 13C NMR (CDCl3) δ: 155.88; 136.76; 128.44; 127.97 (2 C); 66.34; 49.78; 47.80; 46.93; 40.49; 34.76; 33.80; 26.34; 21.12. HRESIMS: Calculated for C16H28N3O2, [M + H]+: m/z 294.2176. Found: m/z 294.2176.
4.2.2. General Method for the Syntheses of C-Methylated Spermidines Trihydrochloride (2–5)
A suspension of Pd/black in MeOH (1 mL) was added to a solution of N-(benzyloxycarbonyl)-protected analogs of spermidines 10–13 (10 mmol) in a mixture of AcOH-MeOH (1:1, 35 mL), and hydrogenation was carried out at atmospheric pressure. The catalyst was filtered off and the filtrate was evaporated to dryness in vacuo. The residue was redissolved in EtOH (20 mL) and diluted with 5 M HCl (10 mL), and the resulting solution was evaporated to dryness in vacuo. The residue was co-evaporated with dry EtOH (2 × 20 mL) and recrystallized from a MeOH-EtOH mixture to give corresponding target compounds 2–5.
1,8-Diamino-2-methyl-4-azaoctane trihydrochloride (2-MeSpd) (2). Synthesis was carried out following the above general protocol starting from 10 (2.50 g, 8.53 mmol) that gave 8 (2.05 g, 89%) as colorless crystals: mp. 197–199 °C (lit.: 189–192 °C [29]), Rf 0.22 (C). 1H NMR (D2O) δ: 3.20–3.09 (m, 4H, CHCH2NH2 + CH2NH2) 3.08–2.87 (m, 4H, CH2NHCH2); 2.42–2.24 (m, 1H, CH(CH3)); 1.88–1.68 (m, 4H, CH2CH2CH2NH2); 1.15 (d, 3H, J = 6.8 Hz, CH3). 13C NMR (D2O) δ: 51.28, 48.38, 43.03, 39.47, 30.06, 24.58, 23.26, 14.85. Found, %: C 35.76; Н 9.17; N 15.80. C8H24Cl3N3. Calculated, %: C 35.77; Н 9.00; N 15.64. HRESIMS: calculated for C8H22N3 [M + H]+: m/z 160.1808. Found: m/z 160.1811.
1,8-Diamino-2,2-dimethyl-4-azaoctane trihydrochloride (2,2-Me2Spd) (3). Synthesis was carried out following the above general protocol starting from 11 (2.12 g, 6.9 mmol) that gave 9 (1.77 g, 91%) as colorless crystals: mp. 261–264 °C (lit.: 265 °C [39]), Rf 0.29 (C). 1H NMR (D2O) δ: 3.19–3.01 (m, 8H, CH2CH2NH2 + NHCH2CH2 + NH2CH2C + 2H, CCH2NH); 1.90–1.68 (m, 4H, CH2CH2CH2CH2); 1.17 (s, 6H, (CH3)2). 13C NMR (D2O) δ: 56.00, 49.24, 47.64, 39.46, 33.26, 24.60, 23.00, 22.19. Found, %: C 38.09, H 9.15, N 14.71. C9H26N3Cl3. Calculated for, %: C 38.24, H 9.27, N 14.86. HRESIMS: calculated for C9H24N3 [M + H]+: m/z 174.1965. Found: m/z 174.1962.
1,8-Diamino-3-methyl-4-azaoctane trihydrochloride (3-MeSpd) (4). Synthesis was carried out following the above general protocol starting from 6 (2.0 g, 6.8 mmol) that gave 10 (1.61 g, 88%) as colorless crystals: mp. 233–235°C (lit.: 231–232 °C [29]), Rf 0.24 (C). 1H NMR (D2O) δ: 3.50–3.37 (m, 1H, CH(CH3)); 3.22–2.99 (m, 6H, H2NCH2(CH2)2CH2NH + CH2NH2); 2.27–2.11 (m, 1H, CHCH2); 2.03–1.86 (m, 1H, CHCH2); 1.83–1.70 (m, 4H, CH2CH2CH2CH2); 1.36 (d, 3H, J = 6.7 Hz, CH(CH3)). 13C NMR (D2O) δ: 52.69, 44.90, 39.49, 36.56, 30.88, 24.63, 23.62, 15.75. Found, %: C 35.57; Н 9.06; N 15.53. C8H24Cl3N3. Calculated, %: C 35.77; Н 9.00; N 15.64. HRESIMS: calculated for C8H22N3 [M + H]+: m/z 160.1808. Found: m/z 160.1806.
1,8-Diamino-4-azanonane trihydrochloride (8-MeSpd) (5). Synthesis was carried out following the above general protocol starting from 7 (2.50 g, 8.5 mmol) that gave 11 (2.03 g, 89%) as colorless crystals: mp 198–199°C (lit.: 195–196 °C [29]). Rf 0.24 (C). 1H NMR (D2O) δ: 3.47–3.35 (m, 1H, CH(CH3)); 3.22–3.07 (m, 6H, NH2CH2 + CH2NHCH2); 2.17–2.03 (m, 2H, NH2CH2CH2); 1.86–1.60 (m, 4H, CHCH2CH2); 1.31 (d, 3H, J = 6.6 Hz, CH3). 13C NMR (D2O) δ: 47.91, 47.84, 45.18, 37.22, 31.47, 24.37, 22.50, 17.94. Found, %: C 35.70; Н 9.18; N 15.63. C8H24Cl3N3. Calculated, %: C 35.77; Н 9.00; N 15.64. HRESIMS: calculated for C8H22N3 [M + H]+: m/z 160.1808. Found: m/z 160.1806.
4.3. Synthesis of 2,9-Diamino-4-azadecane (1,8-Me2Spd)
N2-(Benzyloxycarbonyl)-N9-(tert-butyloxycarbonyl)-2,9-diamino-5-azadecane (16). A mixture of 15 (2.9 g, 7.2 mmol), N-(benzyloxycarbonyl)-3-amino-1-bromobutane (2.31 g, 8 mmol), and K2CO3 (2.34 g, 17 mmol) was stirred in DMF (25 mL) for 16 h at 50 °C followed by the addition of PhSH (1.5 mL, 14.7 mmol) and K2CO3 (2.34 g, 14.5 mmol). After stirring for an additional 12 h at 20 °C, the salts were filtered off and washed with DMF, and combined DMF filtrates were concentrated in vacuo. The residue was treated with a mixture of EtOAc (25 mL) and H2O (15 mL), the water phase was extracted with EtOAc (3 × 5 mL), and combined EtOAc extracts were washed with H2O (5 mL), brine (10 mL), and dried (MgSO4). The solvent was distilled off in vacuo and the residue was purified on a SiO2 column eluting subsequently with CHCl3, CHCl3–MeOH, 100:1, and then CHCl3–MeOH, 95:5. Fractions containing 15 were evaporated to dryness in vacuo to afford a self-solidified oil, which was treated with a hexane/ether mixture (2/1, 15 mL) and left for 4 h at +4 °C. The resultant solid was filtered off, washed with hexane, and dried in the air to give 15 (1.67 g, 57%) as the colorless crystals. An analytical sample was recrystallized from Et2O/hexane, mp 55–55.5 °C, Rf 0.47 (D). 1H NMR (CDCl3) δ: 7.38–7.29 (5H, m, C6H5); 5.49 (1H, bs, CbzNH); 5.07 (2H, s, CH2C6H5); 4.47 (1H, bs, NHBoc); 3.87–3.73 (1H, m, CbzNHCH); 3.67–3.53 (1H, m, CHNHBoc); 2.72–2.51 (4H, m, CH2NH2CH2); 1.72–1.62 (m, 1H, ½ CH2CHNHCbz), 1.58–1.35 (14H, m, ½ CH2CHNHCbz + CH2CH2NHBoc + C(CH3)3); 1.17 (3H, d, J = 6.0 Hz, CbzNHCH(CH3)); 1.05 (3H, d, J = 6.0 Hz, CH(CH3)NHBoc). 13C NMR (CDCl3): δ 216.31, 156.38, 155.84, 137.23, 128.88, 128.43, 128.40, 79.27, 71.95, 66.78, 50.09, 46.78, 46.37, 37.01, 35.34, 28.86, 26.89, 21.61. Calculated, %: C 64.84; H 9.15; N 10.31. C22H37N3O4. Found, %: C 64.68; H 9.17; N 10.21.
N2-(Benzyloxycarbonyl)-2,9-diamino-5-azadecane dihydrochloride (17). To a cooled (0 °C) solution of 10 (1.6 g, 3.9 mmol) in MeOH (12 mL), HCl/MeOH (9 M, 2.8 mL) was added, and the mixture was kept for 1 h at 20 °C followed by evaporation to dryness in vacuo. The residue was dissolved in EtOH (3 mL) and precipitated with an excess of Et2O that, after drying in vacuo over P2O5/KOH, gave 11 (1.16 g, 78%). An analytical sample was recrystallized from dry EtOH, mp 157–159 °C, Rf 0.19 (B). 1H NMR (D2O): δ 7.39–7.30 (5H, m, C6H5); 5.03 (2H, s, PhCH2); 3.66–3.58 (1H, m, CbzNHCH(CH3)); 3.33–3.24 (1H, m, CHNH2); 2.97–2.79 (4H, m, CH2NHCH2); 1.83–1.72 (1H, m, 1/2 CbzNHCHCH2); 1.70–1.55 (4H, m, CH2CH2CHNH2); 1.54–1.47 (1H, m, 1/2 CH2CHNHCbz); 1.21 (3H, d, J = 6.0 Hz, CbzNHCH(CH3)); 1.11 (3H, d, J = 6.1 Hz, CH(CH3)NH2). 13C NMR (D2O): δ 158.45, 137.10, 129.27, 128.81, 127.95, 67.36, 47.68, 47.46, 45.28, 44.96, 33.13, 31.27, 22.25, 20.32, 17.71. Calculated, %: C 53.68; H 8.22; N 11.05. C17H31Cl2N3O2. Found, %: C 53.59; H 8.31; N 10.97.
2,9-Diamino-5-azadecane trihydrochloride, 1,8-Me2Spd (6). Dihydrochloride 11 (0.8 g, 2.1 mmol) was mixed with 2 М NaOH (5 mL) and extracted with CH2Cl2 (3 × 5 mL). Combined organic extracts were washed with 1 М NaHCO3 (5 mL), H2O (3 mL), brine (5 mL), dried (K2CO3), filtered, and concentrated in vacuo, and the residue was dried in vacuo over P2O5 to give an N2-(benzyloxycarbonyl)-2,9-diamino-5-azadecane free base as a viscous oil. Pd-black in MeOH (~0.5 mL) was added to a solution of the above N-Cbz-triamine in a mixture of AcOH–MeOH (1:1, 6 mL total), and hydrogenation was carried out at atmospheric pressure. The catalyst was filtered off and washed with MeOH, and the combined filtrates were concentrated in vacuo. The residue was dissolved in EtOH and, upon the addition of HCl/EtOH (7 M, 0.8 mL), was evaporated to dryness in vacuo, and the residue was dried in vacuo over KOH. Recrystallization from EtOH afforded 6 (0.69 g, 87%) as the colorless crystals, mp 252–253°C (soften at 194–196 °C), Rf 0.29 (C). 1H NMR (D2O) δ: 3.56–3.34 (m, 2H, 2 × CH(CH3)); 3.24–3.06 (m, 4H, CH2NHCH2); 2.20–1.90 (m, 2H, ½ NH2CHCH2 + ½ NH2CHCH2CH2NH); 1.87–1.58 (m, 4H, ½ NH2CHCH2 + ½ NH2CHCH2CH2NH + NHCH2CH2CH2); 1.34 (d, 3H, J = 6.6 Hz, CH3), 1.31 (d, 3H, J 6.6 Hz, CH3). 13C NMR (D2O) δ: 47.91, 47.85, 45.96, 44.58, 31.48, 30.06, 22.53, 17.93, 17.89. Found, %: C 36.95; Н 9.35; N 14.31. C9H26Cl3N3 × 0.5H2O. Calculated, %: C 37.05; Н 9.32; N 14.41. HRESIMS: calculated for C9H24N3 [M + H]+: m/z 174.1665. Found: m/z 174.1970.
4.4. Plasmid Construction
The plasmid pET-15b-2c-His-mAZ (Figure S1) encoding an N-terminally His-tagged OAZ1 was constructed using a two-step procedure. First, an additional cistron, like the one described in [60], was introduced into a pET-15b vector by the excision of a small fragment between XbaI and NcoI sites and the ligation of a preannealed duplex of synthesized prephosphorylated oligonucleotides (5′-CTAGAGGGTATTAATAATGTATCGATTAAATAAGGAG-GAATAAAC-3′) and (5′-CATGGTTTATTCCTCCTTATTTAATCGATACATTATTA-ATACCCT-3′) to give the pET-15b-2c vector. Then, the mOAZ1-encoding region from the plasmid pQE30-mAZ [58] (a kind gift of Dr. T.A. Keinänen, University of Eastern Finland, Kuopio, and Prof. O. Jänne, University of Helsinki, Finland) was amplified using primers (ATTACTCGAGGTGAAATCCTCCCTGCA) and (ATTACTCGAGTTAGTCCTCCTC-ACCCGGGT) and cloned into the XhoI site of the pET-15b-2c vector. The structure of all constructed plasmids was confirmed by sequencing.
4.5. The Expression and Purification of mOAZ1 Protein
Rosetta (DE3) Escherichia coli strain (Novagen) was transformed with the plasmid pET-15b-2c-His-mAZ encoding N-terminally His-tagged protein. The cells bearing the target plasmid were grown in 5 mL of a Lisogeny broth (LB) medium supplemented with 150 mg/L ampicillin (A150) and 15 mg/L chloramphenicol (C15) at 37 °C overnight. An aliquot of 2 mL was harvested by centrifugation (3200× g, 10 min), the pellet was resuspended in 500 mL of a fresh LB medium supplemented with A150 and C15, and the cells were grown at 37 °C. When optical density at 550 nm reached 0.5, isopropyl-β-D-thiogalactopyranoside was added to a final concentration of 1 mM, and the cells were grown for an additional 3 h and harvested by centrifugation (3200× g, 15 min) at 4°C. The cell pellet was resuspended on ice in 20 mL of buffer A (25 mM Tris–HCl, pH 7.5, 350 mM NaCl, 10% (v/v) glycerol, and 1 mM 2-mercaptoethanol) supplemented with 0.5% (v/v) Triton X-100, and protease inhibitors phenylmethylsulfonyl fluoride (PMSF, 1 mM) and a protease inhibitor cocktail (P8849, Sigma, St. Louis, MO, USA). The lysate was sonicated on ice by ten 46 s impulses with 90 s intervals. After removal of cell debris by centrifugation (8200× g, 15 min) at 4 °C, the clarified lysate was applied onto a 2 mL column with Ni-NTA-agarose (Novagen) pre-equilibrated with buffer A. The resin was washed with buffer A supplemented with the protease inhibitors and increasing concentrations of imidazole (10, 30, and 50 mM) (15 mL each), and the protein was eluted with the same buffer with 200 mM imidazole; 1 mL fractions were collected, and the protein was quantitated using a Bradford reagent. The fractions containing the highest levels of the protein were pooled and dialyzed against buffer B (25 mM potassium phosphate, рН 7.5, 300 mM КCl, 5% (v/v) glycerol, 1 mM 2-mercaptoethanol, and 1 mM PMSF) for 4 h and then against buffer C (25 mM potassium phosphate, рН 7.5, 150 mM КCl, 50% (v/v) glycerol, 1 mM 2-mercaptoethanol, and 1 mM PMSF) overnight. The yield of the N-terminally tagged antizyme was 4 mg per 1 L of the culture.
When required, the N-terminal His-tag was removed using a Novagen Thrombin Cleavage Capture kit, according to the manufacturer’s protocol. Briefly, 200 μg of the protein was incubated with thrombin overnight at 4 °C, the reaction mixture was applied onto a Ni-NTA-agarose column (0.5 mL), and the flowthrough was dialyzed as described above. The purified 6xHis-mOAZ1 eluted from the Ni-NTA-agarose column was practically homogeneous, as shown by SDS-PAGE electrophoresis (Figure S1).
4.6. Isothermal Titration Calorimetry (ITC)
For the reproducible isothermal titration calorimetry (ITC) experiments, only freshly purified samples of mOAZ1 turned out to be suitable. The thermodynamic parameters of Spm binding to mOAZ1-6xHis, mOAZ1, and 6xHis-mOAZ1 were measured using a MicroCal iTC200 instrument (GE Healthcare), as described elsewhere [61]. Experiments were carried out at 31 °C in a buffer containing 25 mM potassium phosphate, рН 7.5, 150 mM KCl, 25% (v/v) glycerol, 1 mM 2-mercaptoethanol, and 1 mM PMSF. Aliquots (2.5 μL) of Spm solution were injected into a 0.2 mL cell containing the protein solution to achieve a complete binding isotherm. Protein and Spm concentrations were 20 μM and 200 μM, respectively. The heat of dilution was measured by injecting the Spm solution into the buffer solution or by additional injections of the Spm solution after saturation; the values obtained were subtracted from the heat of the reaction to obtain the effective heat of the binding. The resulting titration curves were fitted using MicroCal Origin software, assuming a single binding site. Affinity constants (Ka) and enthalpy variations (ΔH) were determined, and the entropy variations (ΔS) were calculated by the equation TΔS = ΔH + RTlnKa.
4.7. The Stem-Loop Region of mOAZ1 mRNA Melting Point Experiments
UV thermal denaturation data were obtained using a Hitachi U-2900 spectrophotometer equipped with a Peltier temperature controller. The concentration of model 72-mer-2’-O-Me-oligoribonucleotide L-OM, containing the +1-frameshifting site, hairpin, and pseudoknot of the mOAZ1 mRNA, was 1 µM. Samples were dissolved in a 50 mM Tris-HCl pH 7.5, 50 mM NaCl buffer. The concentration of oligonucleotide was determined spectrophotometrically at λ = 260 nm. Samples were heated to 90 °C for 10 min, cooled slowly to room temperature, and stored at 5 °C for at least 18 h before the measurements were performed. Denaturation curves were acquired at 260 nm for the duplexes at a rate of 0.5°C/min, within a range of 30–90 °C. The Tm values were determined from the polynomial fitting of the observed curves and taken as the temperatures corresponding to the half-dissociation of the complex [62]. The first derivative of absorption with respect to the temperature and dA/dT of the melting curve was computer-generated by GraphPad Prism 7.0 software and used to determine Tm.
Supplementary Materials
The following supporting information can be downloaded at https://www.mdpi.com/article/10.3390/biom13060916/s1, Figure S1: The purified N-terminally His-tagged mOAZ1 protein used in the study; Figure S2: A schematic representation of His-OAZ1 expression vector pET-15b-2c-His-mAZ; Figure S3: Interaction of mOAZ1-His6, His6-mOAZ1 and mOAZ1 with Spm measured by ITC; Figures S4–S13: 1H- and 13C-NMR spectra of 2-MeSpd, 2,2-Me2Spd, 3-MeSpd, 8-MeSpd, and 1,8-Me2Spd.
Author Contributions
Conceptualization, A.R.K.; methodology, M.A.K., A.I.S., V.A.M., V.L.T., O.A.S., S.P.K. and A.O.C.; discussed data and gave conceptual advice, M.B.G., S.N.K. and V.A.M.; writing, original draft preparation, M.A.K., A.I.S. and A.R.K.; writing, review and editing—all authors; supervision, A.R.K.; funding acquisition, A.R.K. and M.A.K. All authors have read and agreed to the published version of the manuscript.
Funding
This work was supported by the Russian Science Foundation (grant number 17-74-20049), and the physico-chemical analysis of the synthesized compounds was supported by the Russian Science Foundation (grant number 22-14-00291).
Institutional Review Board Statement
Not applicable.
Informed Consent Statement
Not applicable.
Data Availability Statement
All data are available in the main text or the Supplementary Materials.
Conflicts of Interest
The authors declare no conflict of interest.
References
- Miller-Fleming, L.; Olin-Sandoval, V.; Campbell, K.; Ralser, M. Remaining mysteries of molecular biology: The role of polyamines in the cell. J. Mol. Biol. 2015, 427, 3389–3406. [Google Scholar] [CrossRef] [PubMed]
- Pegg, A.E. Functions of polyamines in mammals. J. Biol. Chem. 2016, 291, 14904–14912. [Google Scholar] [CrossRef] [PubMed]
- Nakanishi, S.; Cleveland, J.L. Polyamine homeostasis in development and disease. Med. Sci. 2021, 9, 28. [Google Scholar] [CrossRef]
- Madeo, F.; Eisenberg, T.; Pietrocola, F.; Kroemer, G. Spermidine in health and disease. Science 2018, 359, eaan2788. [Google Scholar] [CrossRef] [PubMed]
- Casero, R.A., Jr.; Murray Stewart, T.; Pegg, A.E. Polyamine metabolism and cancer: Treatments, challenges and opportunities. Nat. Rev. Cancer 2018, 18, 681–695. [Google Scholar] [CrossRef]
- Park, M.H.; Wolff, E.C. Hypusine, a polyamine-derived amino acid critical for eukaryotic translation. J. Biol. Chem. 2018, 293, 18710–18718. [Google Scholar] [CrossRef]
- Chattopadhyay, M.K.; Park, M.H.; Tabor, H. Hypusine modification for growth is the major function of spermidine in Saccharomyces cerevisiae polyamine auxotrophs grown in limiting spermidine. Proc. Natl. Acad. Sci. USA 2008, 105, 6554–6559. [Google Scholar] [CrossRef]
- Phillips, M.A. Polyamines in protozoan pathogens. J. Biol. Chem. 2018, 293, 18746–18756. [Google Scholar] [CrossRef]
- Cason, A.L.; Ikeguchi, Y.; Skinner, C.; Wood, T.C.; Holden, K.R.; Lubs, H.A.; Martinez, F.; Simensen, R.J.; Stevenson, R.E.; Pegg, A.E.; et al. X-linked spermine synthase gene (SMS) defect: The first polyamine deficiency syndrome. Eur. J. Hum. Genet. 2003, 11, 937–944. [Google Scholar] [CrossRef]
- Murray-Stewart, T.; Dunworth, M.; Foley, J.R.; Schwartz, C.E.; Casero, R.A., Jr. Polyamine homeostasis in Snyder-Robinson syndrome. Med. Sci. 2018, 6, 112. [Google Scholar] [CrossRef]
- Casero, R.A., Jr.; Woster, P.M. Recent advances in the development of polyamine analogues as antitumor agents. J. Med. Chem. 2009, 52, 4551–4573. [Google Scholar] [CrossRef] [PubMed]
- Verlinden, B.K.; de Beer, M.; Pachaiyappan, B.; Besaans, E.; Andayi, W.A.; Reader, J.; Niemand, J.; van Biljon, R.; Guy, K.; Egan, T.; et al. Interrogating alkyl and arylalkylpolyamino (bis)urea and (bis)thiourea isosteres as potent antimalarial chemotypes against multiple lifecycle forms of Plasmodium falciparum parasites. Bioorg. Med. Chem. 2015, 23, 5131–5143. [Google Scholar] [CrossRef]
- Birkholtz, L.M.; Williams, M.; Niemand, J.; Louw, A.I.; Persson, L.; Heby, O. Polyamine homoeostasis as a drug target in pathogenic protozoa: Peculiarities and possibilities. Biochem. J. 2011, 438, 229–244. [Google Scholar] [CrossRef]
- Wang, B.; Pachaiyappan, B.; Gruber, J.D.; Schmidt, M.G.; Zhang, Y.M.; Woster, P.M. Antibacterial diamines targeting bacterial membranes. J. Med. Chem. 2016, 59, 3140–3151. [Google Scholar]
- Hobley, L.; Kim, S.H.; Maezato, Y.; Wyllie, S.; Fairlamb, A.H.; Stanley-Wall, N.R.; Michael, A.J. Norspermidine is not a self-produced trigger for biofilm disassembly. Cell 2014, 156, 844–854. [Google Scholar] [CrossRef]
- Sjögren, T.; Wassvik, C.M.; Snijder, A.; Aagaard, A.; Kumanomidou, T.; Barlind, L.; Kaminski, T.P.; Kashima, A.; Yokota, T.; Fjellström, O. The structure of murine N1-acetylspermine oxidase reveals molecular details of vertebrate polyamine catabolism. Biochemistry 2017, 56, 458–467. [Google Scholar] [CrossRef] [PubMed]
- Diaz, E.; Adhikary, S.; Tepper, A.W.J.W.; Riley, D.; Ortiz-Meoz, R.; Krosky, D.; Buyck, C.; Lamenca, C.M.; Llaveria, J.; Fang, L.; et al. Structure of human spermine oxidase in complex with a highly selective allosteric inhibitor. Commun. Biol. 2022, 5, 787. [Google Scholar]
- Furbish, A.B.; Alford, A.S.; Burger, P.; Peterson, Y.K.; Murray-Stewart, T.; Casero, R.A., Jr.; Woster, P.M. Identification and characterization of novel small-molecule SMOX inhibitors. Med. Sci. 2022, 10, 47. [Google Scholar]
- Dobrovolskaite, A.; Gardner, R.A.; Delcros, J.G.; Phanstiel, O., 4th. Development of polyamine lassos as polyamine transport inhibitors. ACS Med. Chem. Lett. 2022, 13, 319–326. [Google Scholar] [CrossRef]
- Ayoola, M.B.; Shack, L.A.; Lee, J.H.; Lim, J.; Eoh, H.; Swiatlo, E.; Phanstiel, O., 4th; Nanduri, B. Difluoromethylornithine (DFMO) and AMXT 1501 inhibit capsule biosynthesis in pneumococci. Sci. Rep. 2022, 12, 11804. [Google Scholar] [CrossRef]
- Burns, M.R.; Graminski, G.F.; Weeks, R.S.; Chen, Y.; O’Brien, T.G. Lipophilic lysine-spermine conjugates are potent polyamine transport inhibitors for use in combination with a polyamine biosynthesis inhibitor. J. Med. Chem. 2009, 52, 1983–1993. [Google Scholar] [CrossRef]
- Petros, L.M.; Graminski, G.F.; Robinson, S.; Burns, M.R.; Kisiel, N.; Gesteland, R.F.; Atkins, J.F.; Kramer, D.L.; Howard, M.T.; Weeks, R.S. Polyamine analogs with xylene rings induce antizyme frameshifting, reduce ODC activity, and deplete cellular polyamines. J. Biochem. 2006, 140, 657–666. [Google Scholar] [CrossRef] [PubMed]
- Mitchell, J.L.; Leyser, A.; Holtorff, M.S.; Bates, J.S.; Frydman, B.; Valasinas, A.L.; Reddy, V.K.; Marton, L.J. Antizyme induction by polyamine analogues as a factor of cell growth inhibition. Biochem. J. 2002, 366, 663–671. [Google Scholar] [CrossRef] [PubMed]
- Urban-Wójciuk, Z.; Graham, A.; Barker, K.; Kwok, C.; Sbirkov, Y.; Howell, L.; Campbell, J.; Woster, P.M.; Poon, E.; Petrie, K.; et al. The biguanide polyamine analog verlindamycin promotes differentiation in neuroblastoma via induction of antizyme. Cancer Gene Ther. 2022, 29, 940–950. [Google Scholar] [CrossRef] [PubMed]
- Khomutov, M.A.; Mikhura, I.V.; Kochetkov, S.N.; Khomutov, A.R. C-Methylated analogs of spermine and spermidine: Synthesis and biological activity. Russ. J. Bioorg. Chem. 2019, 45, 463–487. [Google Scholar] [CrossRef]
- Keinänen, T.A.; Hyvönen, M.T.; Alhonen, L.; Vepsäläinen, J.; Khomutov, A.R. Selective regulation of polyamine metabolism with methylated polyamine analogues. Amino Acids 2014, 46, 605–620. [Google Scholar] [CrossRef]
- Räsänen, T.L.; Alhonen, L.; Sinervirta, R.; Keinänen, T.; Herzig, K.H.; Suppola, S.; Khomutov, A.R.; Vepsäläinen, J.; Jänne, J. A polyamine analogue prevents acute pancreatitis and restores early liver regeneration in transgenic rats with activated polyamine catabolism. J. Biol. Chem. 2002, 277, 39867–39872. [Google Scholar] [CrossRef]
- Fashe, T.M.; Keinanen, T.A.; Grigorenko, N.A.; Khomutov, A.R.; Janne, J.; Alhonen, L.; Pietila, M. Cutaneous application of α-methylspermidine activates the growth of resting hair follicles in mice. Amino Acids 2010, 38, 583–590. [Google Scholar] [CrossRef]
- Hyvönen, M.T.; Keinänen, T.A.; Khomutov, M.; Simonian, A.; Weisell, J.; Kochetkov, S.N.; Vepsäläinen, J.; Alhonen, L.; Khomutov, A.R. The use of novel C-methylated spermidine derivatives to investigate the regulation of polyamine metabolism. J. Med. Chem. 2011, 54, 4611–4618. [Google Scholar] [CrossRef]
- Khomutov, M.; Hyvönen, M.T.; Simonian, A.; Formanovsky, A.A.; Mikhura, I.V.; Chizhov, A.O.; Kochetkov, S.N.; Alhonen, L.; Vepsäläinen, J.; Keinänen, T.A.; et al. Unforeseen possibilities to investigate the regulation of polyamine metabolism revealed by novel C-methylated spermine derivatives. J. Med. Chem. 2019, 62, 11335–11347. [Google Scholar] [CrossRef]
- Hyvönen, M.T.; Smirnova, O.A.; Mitkevich, V.A.; Tunitskaya, V.L.; Khomutov, M.; Karpov, D.S.; Korolev, S.P.; Häkkinen, M.R.; Pietilä, M.; Gottikh, M.B.; et al. Role of polyamine-induced dimerization of antizyme in its cellular functions. Int. J. Mol. Sci. 2022, 23, 4614. [Google Scholar] [CrossRef]
- Stewart, T.M.; Khomutov, M.; Foley, J.R.; Guo, X.; Holbert, C.E.; Dunston, T.T.; Schwartz, C.E.; Gabrielson, K.; Khomutov, A.; Casero, R.A. (R,R)-1,12-Dimethylspermine can mitigate abnormal spermidine accumulation in Snyder-Robinson syndrome. J. Biol. Chem. 2020, 295, 3247–3256. [Google Scholar] [CrossRef] [PubMed]
- Hyvönen, M.T.; Khomutov, M.; Petit, M.; Weisell, J.; Kochetkov, S.N.; Alhonen, L.; Vepsäläinen, J.; Khomutov, A.R.; Keinänen, T.A. Enantiomers of 3-methylspermidine selectively modulate deoxyhypusine synthesis and reveal important determinants for spermidine transport. ACS Chem. Biol. 2015, 10, 1417–1424. [Google Scholar] [CrossRef] [PubMed]
- Järvinen, A.J.; Cerrada-Gimenez, M.; Grigorenko, N.A.; Khomutov, A.R.; Vepsäläinen, J.J.; Sinervirta, R.M.; Keinänen, T.A.; Alhonen, L.I.; Jänne, J.E. Alpha-methyl polyamines: Efficient synthesis and tolerance studies in vivo and in vitro. First evidence for dormant stereospecificity of polyamine oxidase. J. Med. Chem. 2006, 49, 399–406. [Google Scholar] [CrossRef]
- Atkins, J.F.; Loughran, G.; Bhatt, P.R.; Firth, A.E.; Baranov, P.V. Ribosomal frameshifting and transcriptional slippage: From genetic steganography and cryptography to adventitious use. Nucleic Acids Res. 2016, 44, 7007–7078. [Google Scholar] [CrossRef]
- Kuksa, V.; Buchan, R.; Lin, P.K.T. Synthesis of polyamines, their derivatives, analogues and conjugates. Synthesis 2000, 9, 1189–1207. [Google Scholar] [CrossRef]
- Nichugovskiy, A.; Tron, G.C.; Maslov, M. Recent advances in the synthesis of polyamine derivatives and their applications. Molecules 2021, 26, 6579. [Google Scholar] [CrossRef]
- Hahn, F.; Schepers, U. Solid phase chemistry for the directed synthesis of biologically active polyamine analogs, derivatives, and conjugates. Top. Curr. Chem. 2007, 278, 135–208. [Google Scholar]
- Nagarajan, S.; Ganem, B. Chemistry of naturally occurring polyamines. Nonmetabolizable derivatives of spermine and spermidine. J. Org. Chem. 1986, 51, 4856–4861. [Google Scholar] [CrossRef]
- Lakanen, J.R.; Coward, J.K.; Pegg, A.E. α-Methyl Polyamines: Metabolically stable spermidine and spermine mimics capable of supporting growth in cells depleted of polyamines. J. Med. Chem. 1992, 35, 724–734. [Google Scholar] [CrossRef] [PubMed]
- Khomutov, A.R.; Weisell, J.; Khomutov, M.A.; Grigorenko, N.A.; Simonian, A.R.; Hakkinen, M.R.; Keinanen, T.A.; Hyvonen, M.T.; Alhonen, L.; Kochetkov, S.N.; et al. Methylated Polyamines as Research Tools. In Polyamines; Pegg, A.E., Casero, R.A., Eds.; Springer Science + Business Media. LLC.: Berlin/Heidelberg, Germany, 2011; Volume 720, pp. 449–461. [Google Scholar]
- Fukuyama, T.; Chung-Kuang, J.; Cheung, M. 2- and 4-Nitrobenzenesulfonamides: Exceptionally versatile means for preparation of secondary amines and protection of amines. Tetrahedron Lett. 1995, 36, 6373–6374. [Google Scholar] [CrossRef]
- Murakami, Y.; Matsufuji, S.; Kameji, T.; Hayashi, S.; Igarashi, K.; Tamura, T.; Tanaka, K.; Ichihara, A. Ornithine decarboxylase is degraded by the 26S proteasome without ubiquitination. Nature 1992, 360, 597–599. [Google Scholar] [CrossRef]
- Suzuki, T.; He, Y.; Kashiwagi, K.; Murakami, Y.; Hayashi, S.; Igarashi, K. Antizyme protects against abnormal accumulation and toxicity of polyamines in ornithine decarboxylase-overproducing cells. Proc. Natl. Acad. Sci. USA 1994, 91, 8930–8934. [Google Scholar] [CrossRef] [PubMed]
- Matsufuji, S.; Kanamoto, R.; Murakami, Y.; Hayashi, S. Monoclonal antibody studies on the properties and regulation of murine ornithine decarboxylase antizymes. J. Biochem. 1990, 107, 87–91. [Google Scholar] [CrossRef]
- Matsufuji, S.; Matsufuji, T.; Miyazaki, Y.; Murakami, Y.; Atkins, J.F.; Gesteland, R.F.; Hayashi, S.-I. Autoregulatory frameshifting in decoding mammalian ornithine decarboxylase antizyme. Cell 1995, 80, 51–60. [Google Scholar] [CrossRef] [PubMed]
- Rom, E.; Kahana, C. Polyamines regulate the expression of ornithine decarboxylase antizyme in vitro by inducing ribosomal frameshifting. Proc. Natl. Acad. Sci. USA 1994, 91, 3959–3963. [Google Scholar] [CrossRef]
- Ivanov, I.P.; Atkins, J.F. Ribosomal frameshifting in decoding antizyme mRNAs from yeast and protists to humans: Close to 300 cases reveal remarkable diversity despite underlying conservation. Nucleic Acids Res. 2007, 35, 1842–1858. [Google Scholar] [CrossRef] [PubMed]
- Ivanov, I.P.; Matsufuji, S.; Murakami, Y.; Gesteland, R.F.; Atkins, J.F. Conservation of polyamine regulation by translational frameshifting from yeast to mammals. EMBO J. 2000, 19, 1907–1917. [Google Scholar] [CrossRef]
- Petros, L.M.; Howard, M.T.; Gesteland, R.F.; Atkins, J.F. Polyamine sensing during antizyme mRNA programmed frameshifting. Biochem. Biophys. Res. Commun. 2005, 338, 1478–1489. [Google Scholar] [CrossRef]
- Yordanova, M.M.; Wu, C.; Andreev, D.E.; Sachs, M.S.; Atkins, J.F. A nascent peptide signal responsive to endogenous levels of polyamines acts to stimulate regulatory frameshifting on antizyme mRNA. J. Biol. Chem. 2015, 290, 17863–17878. [Google Scholar] [CrossRef]
- Coffino, P. Regulation of cellular polyamines by antizyme. Nat. Rev. Mol. Cell Biol. 2001, 2, 188–194. [Google Scholar] [CrossRef] [PubMed]
- Kurian, L.; Palanimurugan, R.; Godderz, D.; Dohmen, R.J. Polyamine sensing by nascent ornithine decarboxylase antizyme stimulates decoding of its mRNA. Nature 2011, 477, 490–494. [Google Scholar] [CrossRef] [PubMed]
- Hoffman, D.W.; Carroll, D.; Martinez, N.; Hackert, M.L. Solution structure of a conserved domain of antizyme: A protein regulator of polyamines. Biochemistry 2005, 44, 11777–11785. [Google Scholar] [CrossRef] [PubMed]
- Wu, H.Y.; Chen, S.F.; Hsieh, J.Y.; Chou, F.; Wang, Y.H.; Lin, W.T.; Lee, P.Y.; Yu, Y.J.; Lin, L.Y.; Lin, T.S.; et al. Structural basis of antizyme-mediated regulation of polyamine homeostasis. Proc. Natl. Acad. Sci. USA 2015, 112, 11229–11234. [Google Scholar] [CrossRef]
- Hsieh, J.-Y.; Liu, Y.-C.; Cheng, I.-T.; Lee, C.-J.; Wang, Y.-H.; Fang, Y.-S.; Liu, Y.-L.; Liu, G.-Y.; Hung, H.-C. Critical factors in human antizymes that determine the differential binding, inhibition, and degradation of human ornithine decarboxylase. Biomolecules 2019, 9, 864. [Google Scholar] [CrossRef] [PubMed]
- Liu, Y.-C.; Lee, C.-Y.; Lin, C.-L.; Chen, H.-Y.; Liu, G.-Y.; Hung, H.-C. Multifaceted interactions and regulation between antizyme and its interacting proteins cyclin D1, ornithine decarboxylase and antizyme inhibitor. Oncotarget 2015, 6, 23917–23929. [Google Scholar] [CrossRef]
- Kankare, K.; Uusi-Oukari, M.; Janne, O.A. Structure, organization and expression of the mouse ornithine decarboxylase antizyme gene. Biochem. J. 1997, 324, 807–813. [Google Scholar] [CrossRef]
- Tsedilin, A.M.; Fakhrutdinov, A.N.; Eremin, D.B.; Zalesskiy, S.S.; Chizhov, A.O.; Kolotyrkina, N.G.; Ananikov, V.P. How sensitive and accurate are routine NMR and MS measurements? Mend. Commun. 2015, 25, 454–456. [Google Scholar] [CrossRef]
- Ivanov, A.V.; Korovina, A.N.; Tunitskaya, V.L.; Kostyuk, D.A.; Rechinsky, V.O.; Kukhanova, M.K.; Kochetkov, S.N. Development of the system ensuring a high-level expression of hepatitis C virus nonstructural NS5B and NS5A proteins. Protein Expr. Purif. 2006, 48, 14–23. [Google Scholar] [CrossRef]
- Petrushanko, I.Y.; Mitkevich, V.A.; Anashkina, A.A.; Klimanova, E.A.; Dergousova, E.A.; Lopina, O.D.; Makarov, A.A. Critical role of gamma-phosphate in structural transition of Na,K-ATPase upon ATP binding. Sci. Rep. 2014, 4, 5165. [Google Scholar] [CrossRef]
- Hou, M.H.; Lin, S.B.; Yuann, J.M.; Lin, W.C.; Wang, A.H.; Kan Ls, L. Effects of polyamines on the thermal stability and formation kinetics of DNA duplexes with abnormal structure. Nucleic Acids Res. 2001, 29, 5121–5128. [Google Scholar] [CrossRef] [PubMed]
Disclaimer/Publisher’s Note: The statements, opinions and data contained in all publications are solely those of the individual author(s) and contributor(s) and not of MDPI and/or the editor(s). MDPI and/or the editor(s) disclaim responsibility for any injury to people or property resulting from any ideas, methods, instructions or products referred to in the content. |
© 2023 by the authors. Licensee MDPI, Basel, Switzerland. This article is an open access article distributed under the terms and conditions of the Creative Commons Attribution (CC BY) license (https://creativecommons.org/licenses/by/4.0/).


