Lipidomics Profiling and Risk of Coronary Artery Disease in the BioHEART-CT Discovery Cohort
Abstract
1. Introduction
2. Material and Methods
2.1. BioHEART-CT Study
2.2. Study Cohort and Clinical Summary
2.3. Experimental Design, Sample Preparation, and Lipid Extraction
2.4. Lipidome Quantification and Processing
2.5. Remove Unwanted Variation (RUV) Normalization for Discovery Data-Set
2.6. Association Study—Logistic Regression
2.7. Risk Model Building
2.8. Subcohort Analysis
2.9. Model Validation and Visualization
3. Results
3.1. Lipidomics Profiling for the BioHEART-CT Discovery Cohort
3.2. RUVIII Normalization of Lipidomics Data
3.3. Association Analysis of Lipidomic Data
3.4. Comparison between FRS and LRS in Predicting sCAD
3.5. Stratification of Cohort Using BMI
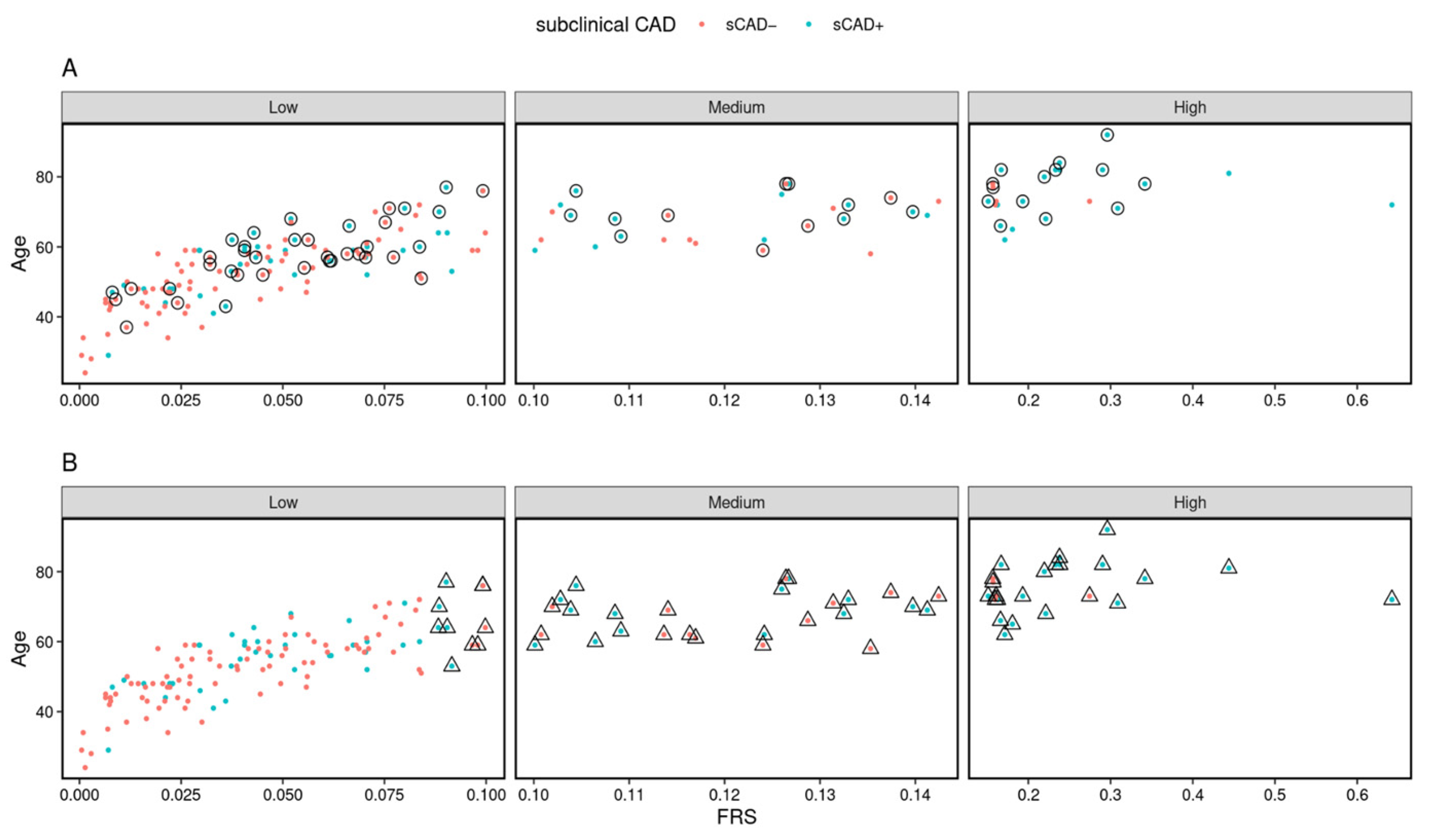
3.6. The LRS and FRS Model Targets a Different Set of Individuals
4. Discussion
Supplementary Materials
Author Contributions
Funding
Institutional Review Board Statement
Informed Consent Statement
Data Availability Statement
Acknowledgments
Conflicts of Interest
References
- Yahud, E.; Tzuman, O.; Fink, N.; Goldenberg, I.; Goldkorn, R.; Peled, Y.; Lev, E.; Asher, E. Trends in long-term prognosis according to left ventricular ejection fraction after acute coronary syndrome. J. Cardiol. 2020, 76, 303–308. [Google Scholar] [CrossRef]
- Vernon, S.T.; Coffey, S.; Bhindi, R.; Soo Hoo, S.Y.; Nelson, G.I.; Ward, M.R.; Hansen, P.S.; Asrress, K.N.; Chow, C.K.; Celermajer, D.S.; et al. Increasing proportion of ST elevation myocardial infarction patients with coronary atherosclerosis poorly explained by standard modifiable risk factors. Eur. J. Prev. Cardiol. 2017, 24, 1824–1830. [Google Scholar] [CrossRef] [PubMed]
- Vernon, S.T.; Coffey, S.; D’Souza, M.; Chow, C.K.; Kilian, J.; Hyun, K.; Shaw, J.A.; Adams, M.; Roberts-Thomson, P.; Brieger, D.; et al. ST–Segment–Elevation Myocardial Infarction (STEMI) Patients Without Standard Modifiable Cardiovascular Risk Factors–How Common Are They, and What Are Their Outcomes? J. Am. Heart Assoc. 2019, 8, e013296. [Google Scholar] [CrossRef]
- Figtree, G.A.; Vernon, S.T.; Hadziosmanovic, N.; Sundström, J.; Alfredsson, J.; Arnott, C.; Delatour, V.; Leósdóttir, M.; Hagström, E. Mortality in STEMI patients without standard modifiable risk factors: A sex-disaggregated analysis of SWEDEHEART registry data. Lancet 2021, 397, 1085–1094. [Google Scholar] [CrossRef]
- Tridandapani, S.; Banait-Deshmane, S.; Aziz, M.U.; Bhatti, P.; Singh, S.P. Coronary computed tomographic angiography: A review of the techniques, protocols, pitfalls, and radiation dose. J. Med. Imaging Radiat. Sci. 2021, 52, S1–S11. [Google Scholar] [CrossRef] [PubMed]
- Kott, K.A.; Vernon, S.T.; Hansen, T.; Yu, C.; Bubb, K.J.; Coffey, S.; Sullivan, D.; Yang, J.; O’Sullivan, J.; Chow, C.; et al. Biobanking for discovery of novel cardiovascular biomarkers using imaging-quantified disease burden: Protocol for the longitudinal, prospective, BioHEART-CT cohort study. BMJ Open 2019, 9, e028649. [Google Scholar] [CrossRef] [PubMed]
- Chait, A.; Eckel, R.H. Lipids, Lipoproteins, and Cardiovascular Disease: Clinical Pharmacology Now and in the Future. J. Clin. Endocrinol. Metab. 2016, 101, 804–814. [Google Scholar] [CrossRef]
- Huynh, K.; Barlow, C.K.; Jayawardana, K.S.; Weir, J.M.; Mellett, N.A.; Cinel, M.; Magliano, D.J.; Shaw, J.E.; Drew, B.G.; Meikle, P.J. High-Throughput Plasma Lipidomics: Detailed Mapping of the Associations with Cardiometabolic Risk Factors. Cell Chem. Biol. 2019, 26, 71–84.e4. [Google Scholar] [CrossRef]
- Meikle, P.J.; Wong, G.; Barlow, C.K.; Weir, J.M.; Greeve, M.A.; MacIntosh, G.L.; Almasy, L.; Comuzzie, A.G.; Mahaney, M.C.; Kowalczyk, A.; et al. Plasma lipid profiling shows similar associations with prediabetes and type 2 diabetes. PLoS ONE 2013, 8, e74341. [Google Scholar] [CrossRef]
- Kasumov, T.; Li, L.; Li, M.; Gulshan, K.; Kirwan, J.P.; Liu, X.; Previs, S.; Willard, B.; Smith, J.D.; McCullough, A. Ceramide as a mediator of non-alcoholic fatty liver disease and associated atherosclerosis. PLoS ONE 2015, 10, e0126910. [Google Scholar] [CrossRef]
- Budoff, M.J.; McClelland, R.L.; Nasir, K.; Greenland, P.; Kronmal, R.A.; Kondos, G.T.; Shea, S.; Lima, J.A.; Blumenthal, R.S. Cardiovascular events with absent or minimal coronary calcification: The Multi-Ethnic Study of Atherosclerosis (MESA). Am. Heart J. 2009, 158, 554–561. [Google Scholar] [CrossRef]
- Weigold, W.G.; Abbara, S.; Achenbach, S.; Arbab-Zadeh, A.; Berman, D.; Carr, J.J.; Cury, R.C.; Halliburton, S.S.; McCollough, C.H.; Taylor, A.J. Standardized medical terminology for cardiac computed tomography: A report of the Society of Cardiovascular Computed Tomography. J. Cardiovasc. Comput. Tomogr. 2011, 5, 136–144. [Google Scholar] [CrossRef]
- Budoff, M.J. Prevalence of soft plaque detection with computed tomography. J. Am. Coll. Cardiol. 2006, 48, 319–321. [Google Scholar] [CrossRef]
- Alshehry, Z.H.; Barlow, C.K.; Weir, J.M.; Zhou, Y.; McConville, M.J.; Meikle, P.J. An Efficient Single Phase Method for the Extraction of Plasma Lipids. Metabolites 2015, 5, 389–403. [Google Scholar] [CrossRef]
- Molania, R.; Foroutan, M.; Gagnon-Bartsch, J.A.; Gandolfo, L.C.; Jain, A.; Sinha, A.; Olshansky, G.; Dobrovic, A.; Papenfuss, A.T.; Speed, T.P. Removing unwanted variation from large-scale cancer RNA-sequencing data. Nat. Biotechnol. 2022, 41, 82–95. [Google Scholar] [CrossRef]
- Lin, Y.; Ghazanfar, S.; Wang, K.Y.X.; Gagnon-Bartsch, J.A.; Lo, K.K.; Su, X.; Han, Z.G.; Ormerod, J.T.; Speed, T.P.; Yang, P.; et al. scMerge leverages factor analysis, stable expression, and pseudoreplication to merge multiple single-cell RNA-seq datasets. Proc. Natl. Acad. Sci. USA 2019, 116, 9775–9784. [Google Scholar] [CrossRef] [PubMed]
- Anderson, K.M.; Wilson, P.W.; Odell, P.M.; Kannel, W.B. An updated coronary risk profile. A statement for health professionals. Circulation 1991, 83, 356–362. [Google Scholar] [CrossRef] [PubMed]
- Patrick, E.; Schramm, S.J.; Ormerod, J.T.; Scolyer, R.A.; Mann, G.J.; Mueller, S.; Yang, J.Y. A multi-step classifier addressing cohort heterogeneity improves performance of prognostic biomarkers in three cancer types. Oncotarget 2017, 8, 2807–2815. [Google Scholar] [CrossRef] [PubMed]
- Flegal, K.M.; Carroll, M.D.; Kuczmarski, R.J.; Johnson, C.L. Overweight and obesity in the United States: Prevalence and trends, 1960–1994. Int. J. Obes. Relat. Metab. Disord. 1998, 22, 39–47. [Google Scholar] [CrossRef]
- Arsenault, B.J.; Matthijs Boekholdt, S.; Kastelein, J.J.P. Lipid parameters for measuring risk of cardiovascular disease. Nat. Rev. Cardiol. 2011, 8, 197–206. [Google Scholar] [CrossRef] [PubMed]
- Rizza, S.; Copetti, M.; Rossi, C.; Cianfarani, M.A.; Zucchelli, M.; Luzi, A.; Pecchioli, C.; Porzio, O.; Di Cola, G.; Urbani, A.; et al. Metabolomics signature improves the prediction of cardiovascular events in elderly subjects. Atherosclerosis 2014, 232, 260–264. [Google Scholar] [CrossRef] [PubMed]
- Hilvo, M.; Meikle, P.J.; Pedersen, E.R.; Tell, G.S.; Dhar, I.; Brenner, H.; Schöttker, B.; Lääperi, M.; Kauhanen, D.; Koistinen, K.M.; et al. Development and validation of a ceramide- and phospholipid-based cardiovascular risk estimation score for coronary artery disease patients. Eur. Heart J. 2020, 41, 371–380. [Google Scholar] [CrossRef]
- Smith, E.; Fernandez, C.; Melander, O.; Ottosson, F. Altered acylcarnitine metabolism is associated with an increased risk of atrial fibrillation. J. Am. Heart Assoc. 2020, 9, e016737. [Google Scholar] [CrossRef]
- Haus, J.M.; Kashyap, S.R.; Kasumov, T.; Zhang, R.; Kelly, K.R.; Defronzo, R.A.; Kirwan, J.P. Plasma ceramides are elevated in obese subjects with type 2 diabetes and correlate with the severity of insulin resistance. Diabetes 2009, 58, 337–343. [Google Scholar] [CrossRef]
- Li, G.; Hu, R.; Guo, Y.; He, L.; Zuo, Q.; Wang, Y. Circulating Sulfatide, A Novel Biomarker for ST-Segment Elevation Myocardial Infarction. J. Atheroscler. Thromb. 2019, 26, 84–92. [Google Scholar] [CrossRef]
- Ward-Caviness, C.K.; Xu, T.; Aspelund, T.; Thorand, B.; Montrone, C.; Meisinger, C.; Dunger-Kaltenbach, I.; Zierer, A.; Yu, Z.; Helgadottir, I.R.; et al. Improvement of myocardial infarction risk prediction via inflammation-associated metabolite biomarkers. Heart 2017, 103, 1278–1285. [Google Scholar] [CrossRef]
- Gonçalves, I.; Edsfeldt, A.; Ko, N.Y.; Grufman, H.; Berg, K.; Björkbacka, H.; Nitulescu, M.; Persson, A.; Nilsson, M.; Prehn, C.; et al. Evidence supporting a key role of Lp-PLA2-Generated lysophosphatidylcholine in human atherosclerotic plaque inflammation. Arterioscler. Thromb. Vasc. Biol. 2012, 32, 1505–1512. [Google Scholar] [CrossRef] [PubMed]
- Lloyd-Jones, D.M.; Wilson, P.W.; Larson, M.G.; Beiser, A.; Leip, E.P.; D’Agostino, R.B.; Levy, D. Framingham risk score and prediction of lifetime risk for coronary heart disease. Am. J. Cardiol. 2004, 94, 20–24. [Google Scholar] [CrossRef]
- Michos, E.D.; Nasir, K.; Braunstein, J.B.; Rumberger, J.A.; Budoff, M.J.; Post, W.S.; Blumenthal, R.S. Framingham risk equation underestimates subclinical atherosclerosis risk in asymptomatic women. Atherosclerosis 2006, 184, 201–206. [Google Scholar] [CrossRef]
- Topel, M.L.; Shen, J.; Morris, A.A.; Al Mheid, I.; Sher, S.; Dunbar, S.B.; Vaccarino, V.; Sperling, L.S.; Gibbons, G.H.; Martin, G.S.; et al. Comparisons of the Framingham and Pooled Cohort Equation Risk Scores for Detecting Subclinical Vascular Disease in Blacks Versus Whites. Am. J. Cardiol. 2018, 121, 564–569. [Google Scholar] [CrossRef] [PubMed]
- Liberali, R.; Del Castanhel, F.; Kupek, E.; de Assis, M.A.A. Latent Class Analysis of Lifestyle Risk Factors and Association with Overweight and/or Obesity in Children and Adolescents: Systematic Review. Child. Obes. 2021, 17, 2–15. [Google Scholar] [CrossRef] [PubMed]





| Characteristic | Whole Cohort | Discovery Cohort | Validation Cohort | ||
|---|---|---|---|---|---|
| n = 994 | sCAD−, n = 228 | sCAD+, n = 166 | sCAD−, n = 109 | sCAD+, n = 77 | |
| Age-years, mean (SD) | 61 (12) | 53 (11) | 62 (11) | 55 (11) | 64 (12) |
| Female, n (%) | 444 (45%) | 121 (53%) | 61 (37%) | 66 (61%) | 24 (31%) |
| BMI-kg/m2, mean (SD) | 26.9 (4.8) | 26.3 (4.6) | 27.4 (5.4) | 26.7 (5.1) | 27.3 (4.3) |
| Hypertension, n (%) | 384 (39%) | 48 (21%) | 70 (42%) | 34 (31%) | 35 (45%) |
| Diabetes Mellitus, n (%) | 86 (8.7%) | 7 (3.1%) | 12 (7.2%) | 8 (7.3%) | 5 (6.5%) |
| Hypercholesterolaemia, n (%) | 585 (59%) | 76 (33%) | 71 (43%) | 42 (39%) | 37 (48%) |
| Current Smoking Status, n (%) | 64 (6.4%) | 14 (6.1%) | 15 (9.0%) | 6 (5.5%) | 9 (12%) |
| SMURFs, n (%) | |||||
| 0 | 216 (22%) | 104 (46%) | 34 (20%) | 35 (32%) | 13 (17%) |
| 1 | 411 (41%) | 93 (41%) | 78 (47%) | 53 (49%) | 40 (52%) |
| 2 | 273 (27%) | 28 (12%) | 45 (27%) | 18 (17%) | 19 (25%) |
| 3 | 80 (8.0%) | 3 (1.3%) | 8 (4.8%) | 3 (2.8%) | 5 (6.5%) |
| 4 | 14 (1.4%) | 0 (0%) | 1 (0.6%) | ||
| Significant Family History CAD, n (%) | 225 (23%) | 50 (22%) | 38 (23%) | 19 (17%) | 8 (10%) |
| Oral anticoagulant, n (%) | 91 (9.2%) | 16 (7.0%) | 13 (7.8%) | 8 (7.3%) | 15 (19%) |
| Antiplatelet, n (%) | 176 (18%) | 20 (8.8%) | 13 (7.8%) | 10 (9.2%) | 5 (6.5%) |
| Statin, n (%) | 331 (33%) | 0 (0%) | 0 (0%) | 0 (0%) | 0 (0%) |
| Beta Blocker, n (%) | 143 (14%) | 20 (8.8%) | 24 (14%) | 10 (9.2%) | 13 (17%) |
| ACE or ARB, n (%) | 316 (32%) | 32 (14%) | 58 (35%) | 23 (21%) | 28 (36%) |
| Calcium Channel Blocker, n (%) | 105 (11%) | 9 (3.9%) | 24 (14%) | 8 (7.3%) | 7 (9.1%) |
| Diuretics, n (%) | 82 (8.2%) | 11 (4.8%) | 16 (9.6%) | 3 (2.8%) | 12 (16%) |
| Coronary Artery Calcium Score, mean (SD) | 211 (614) | 0 (0) | 287 (461) | 3 (30) | 404 (645) |
| Gensini Score, mean (SD) | 9 (13) | 1 (2) | 14 (14) | 1 (4) | 15 (17) |
| Soft Plaque Score, mean (SD) | 7 (12) | 1 (4) | 12 (15) | 2 (6) | 12 (18) |
Disclaimer/Publisher’s Note: The statements, opinions and data contained in all publications are solely those of the individual author(s) and contributor(s) and not of MDPI and/or the editor(s). MDPI and/or the editor(s) disclaim responsibility for any injury to people or property resulting from any ideas, methods, instructions or products referred to in the content. |
© 2023 by the authors. Licensee MDPI, Basel, Switzerland. This article is an open access article distributed under the terms and conditions of the Creative Commons Attribution (CC BY) license (https://creativecommons.org/licenses/by/4.0/).
Share and Cite
Zhu, D.; Vernon, S.T.; D’Agostino, Z.; Wu, J.; Giles, C.; Chan, A.S.; Kott, K.A.; Gray, M.P.; Gholipour, A.; Tang, O.; et al. Lipidomics Profiling and Risk of Coronary Artery Disease in the BioHEART-CT Discovery Cohort. Biomolecules 2023, 13, 917. https://doi.org/10.3390/biom13060917
Zhu D, Vernon ST, D’Agostino Z, Wu J, Giles C, Chan AS, Kott KA, Gray MP, Gholipour A, Tang O, et al. Lipidomics Profiling and Risk of Coronary Artery Disease in the BioHEART-CT Discovery Cohort. Biomolecules. 2023; 13(6):917. https://doi.org/10.3390/biom13060917
Chicago/Turabian StyleZhu, Dantong, Stephen T. Vernon, Zac D’Agostino, Jingqin Wu, Corey Giles, Adam S. Chan, Katharine A. Kott, Michael P. Gray, Alireza Gholipour, Owen Tang, and et al. 2023. "Lipidomics Profiling and Risk of Coronary Artery Disease in the BioHEART-CT Discovery Cohort" Biomolecules 13, no. 6: 917. https://doi.org/10.3390/biom13060917
APA StyleZhu, D., Vernon, S. T., D’Agostino, Z., Wu, J., Giles, C., Chan, A. S., Kott, K. A., Gray, M. P., Gholipour, A., Tang, O., Beyene, H. B., Patrick, E., Grieve, S. M., Meikle, P. J., Figtree, G. A., & Yang, J. Y. H. (2023). Lipidomics Profiling and Risk of Coronary Artery Disease in the BioHEART-CT Discovery Cohort. Biomolecules, 13(6), 917. https://doi.org/10.3390/biom13060917

