Effect of Callistemon citrinus Phytosomes on Oxidative Stress in the Brains of Rats Fed a High-Fat–Fructose Diet
Abstract
1. Introduction
2. Materials and Methods
2.1. Chemical Materials
2.2. Biological Material and Preparation of Ethanolic Extract
2.3. Preparation of Phytosomes
2.3.1. Lyophilization and Scanning Electron Microscopy (SEM)
2.3.2. Particle Size and Polydispersity Index
2.3.3. Entrapment Efficiency
2.3.4. Stability and Solubility
2.4. Animals
2.5. Experimental Design, High-Fat–Fructose Diet
2.6. Preparation of Brain Tissue Homogenates
2.7. Total Lipid Extraction and Methyl Esterification
2.8. Parallel Artificial Membrane Permeability Assay Blood–Brain Barrier (PAMPA BBB)
2.9. Advanced Oxidation Protein Products (AOPP)
2.10. Malondialdehyde (MDA) and 4-Hydroxynonenal (4-HNE)
2.11. Reduced Glutathione (GSH)
2.12. Catalase (CAT) Activity
2.13. Glutathione Peroxidase (GPx) Activity
2.14. Superoxide Dismutase (SOD) Activity
2.15. Paraoxanase (PON) Activity
2.16. Statistical Analysis
3. Results
3.1. Effects of C. citrinus Phytosomes on Overall Weight Gain
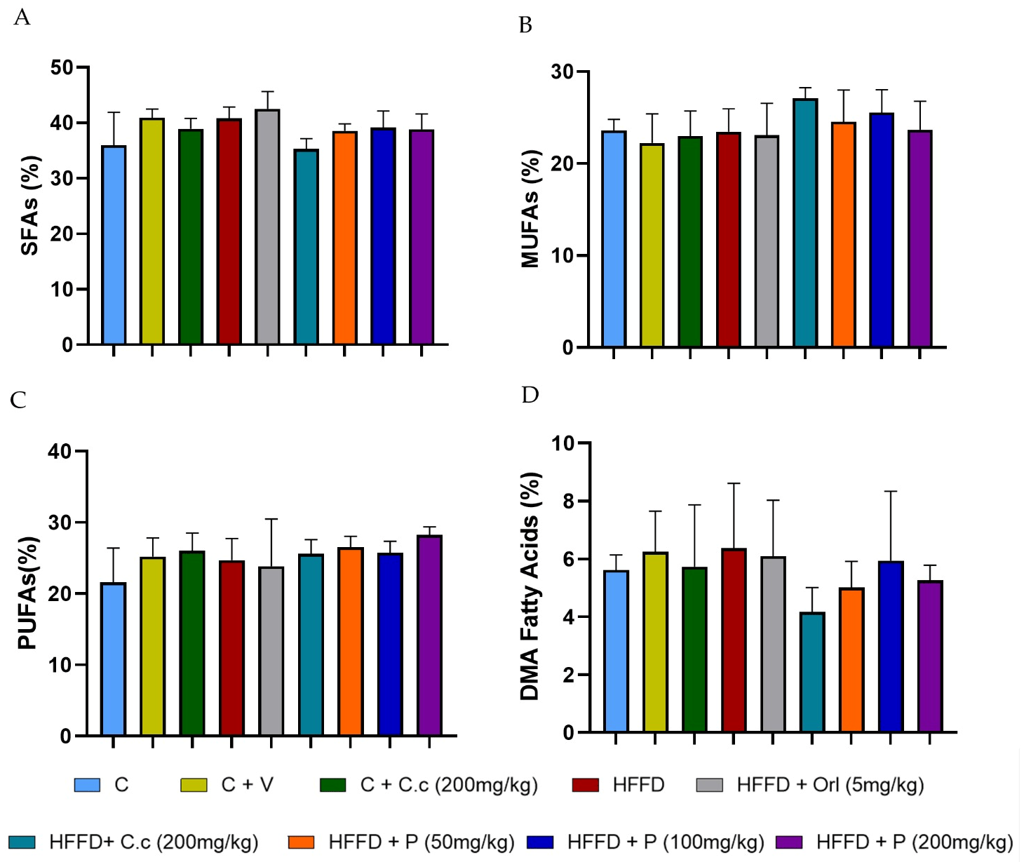
3.2. Brain Lipid Profile
3.3. Parallel Artificial Membrane Permeability Assay (PAMPA)
3.4. Biomarkers of Oxidative Stress
3.5. Antioxidant Enzyme Activities
4. Discussion
5. Conclusions
Supplementary Materials
Author Contributions
Funding
Institutional Review Board Statement
Informed Consent Statement
Data Availability Statement
Acknowledgments
Conflicts of Interest
References
- GBD 2021 Adult BMI Collaborators. Global, regional, and national prevalence of adult overweight and obesity, 1990–2021, with forecast to 2050: A forecasting study for the Global Burden of Disease Study 2021. Lancet 2025, 405, 813–838. [Google Scholar] [CrossRef] [PubMed]
- Pietrocola, F.; Bravo-San Pedro, J.M. Targeting autophagy to counteract obesity-associated oxidative stress. Antioxidants 2021, 10, 102. [Google Scholar] [CrossRef] [PubMed]
- Jiang, S.; Liu, H.; Li, C. Dietary regulation of oxidative stress in chronic metabolic diseases. Foods 2021, 10, 1854. [Google Scholar] [CrossRef]
- Maurizi, G.; Della, L.; Maurizi, A.; Poloni, A. Adipocytes properties and crosstalk with immune system in obesity-related inflammation. J. Cell. Physiol. 2018, 233, 88–97. [Google Scholar] [CrossRef]
- Kaplan, R.J.; Greenwood, C.E. Dietary saturated fatty acids and brain function. Neurochem. Res. 1998, 23, 615–626. [Google Scholar] [CrossRef] [PubMed]
- Lei, X.; Yang, Y. Vitexin and an HMG-Co A reductase inhibitor prevent the risks of atherosclerosis in high-fat atherogenic diet fed rats. J. King Saud Univ. Sci. 2020, 32, 2088–2095. [Google Scholar] [CrossRef]
- Galaly, S.R.; Hozayen, W.G.; Amin, K.A.; Ramadan, S.M. Effects of Orlistat and herbal mixture extract on brain, testes functions and oxidative stress biomarkers in a rat model of high fat diet. Beni Suef Univ. J. Basic Appl. Sci. 2014, 3, 93–105. [Google Scholar] [CrossRef]
- Berdún, R.; Obis, È.; Mota-Martorell, N.; Bassols, A.; Valent, D.; Serrano, J.C.; Jové, M. High-fat diet-induced obesity increases brain mitochondrial complex I and lipoxidation-derived protein damage. Antioxidants 2024, 13, 161. [Google Scholar] [CrossRef]
- Pistell, P.J.; Morrison, C.D.; Gupta, S.; Knight, A.G.; Keller, J.N.; Ingram, D.K.; Bruce-Keller, A.J. Cognitive impairment following high fat diet consumption is associated with brain inflammation. J. Neuroimmunol. 2010, 219, 25–32. [Google Scholar] [CrossRef]
- Chen, X.; Fu, G.; Zhao, Q.; Ke, Z.; Zhang, R. Selenoprotein GPX1 is a prognostic and chemotheraphy-related biomarker for brain lower grade glioma. J. Trace Elem. Med. Biol. 2022, 74, 127082. [Google Scholar] [CrossRef]
- Ruck, L.; Wiegand, S.; Kühnen, P. Relevance and consequence of chronic inflammation for obesity development. Mol. Cell. Pediatr. 2023, 10, 16. [Google Scholar] [CrossRef]
- Johnson, R.J.; Gomez-Pinilla, F.; Nagel, M.; Nakagawa, T.; Rodriguez-Iturbide, B.; Sanchez-Lozada, L.G.; Tolan, D.R.; Lanaspa, M.A. Cerebral fructose metabolism as a potential mechanism driving Alzheimer’s disease. Front. Aging Neurosci. 2020, 12, 560865. [Google Scholar] [CrossRef]
- Suleiman, J.B.; Nna, V.U.; Zakaria, Z.; Othman, Z.A.; Bakar, A.B.A.; Mohamed, M. Obesity-induced testicular oxidative stress, inflammation and apoptosis: Protective and therapeutic effects of orlistat. Reprod. Toxicol. 2020, 95, 113–122. [Google Scholar] [CrossRef]
- Barani, M.; Sangiovanni, E.; Angarano, M.; Rajizadeh, M.A.; Mehrabani, M.; Piazza, S.; Gangadharappa, H.V.; Pardakhty, A.; Mehrbani, M.; Dell’ Agli, M.; et al. Phytosomes as innovative delivery system for phytochemicals: A comprehensive review of literature. Int. J. Nanomed. 2021, 16, 6983–7022. [Google Scholar] [CrossRef]
- Deleanu, M.; Toma, L.; Sanda, G.M.; Barbălată, T.; Niculescu, L.Ṣ.; Sima, A.V.; Deleanu, C.; Săcărescu, L.; Suciu, A.; Alexandru, G.; et al. Formulation of phytosomes with extracts of Ginger rhizomes and rosehips with improved bioavailability, antioxidant and anti-inflammatory effects in vivo. Pharmaceutics 2023, 15, 1066. [Google Scholar] [CrossRef] [PubMed]
- Cock, I.E. Antimicrobial activity of Callistemon citrinus and Callistemon salignus methanolic extracts. Pharmacogn. Commun. 2012, 28, 50–57. [Google Scholar] [CrossRef]
- Kumar, R.; Gupta, A.; Singh, A.K.; Bishayee, A.; Pandey, A.K. The antioxidant and antihyperglycemic activities of bottlebrush plant (Callistemon lanceolatus) stem extracts. Medicines 2020, 7, 11. [Google Scholar] [CrossRef]
- López-Mejía, A.; Ortega-Pérez, L.G.; Magaña-Rodríguez, O.R.; Ayala-Ruiz, L.A.; Piñón-Simental, J.S.; Hernández, D.G.; Rios-Chavez, P. Protective effect of Callistemon citrinus on oxidative stress in rats with 1, 2-dimethylhydrazine-induced colon cancer. Biomed. Pharmacother. 2021, 142, 112070. [Google Scholar] [CrossRef]
- Piñón-Simental, J.S.; Ayala-Ruiz, L.A.; Ortega-Pérez, L.G.; Magaña-Rodríguez, O.R.; Meléndez-Herrera, E.; Aguilera-Méndez, A.; Rios-Chavez, P. Use of Callistemon citrinus as a gastroprotective and anti-inflammatory agent on indomethacin-induced gastric ulcers in obese rats. PeerJ 2024, 12, e17062. [Google Scholar] [CrossRef]
- Ortega-Pérez, L.G.; Piñón-Simental, J.S.; Magaña-Rodríguez, O.R.; Lopéz-Mejía, A.; Ayala-Ruiz, L.A.; García-Calderón, A.J.; Godínez-Hernández, D.; Rios-Chavez, P. Evaluation of the toxicology, anti-lipase, and antioxidant effects of Callistemon citrinus in rats fed with a high fat-fructose diet. Pharm. Biol. 2022, 60, 1384–1393. [Google Scholar] [CrossRef]
- Ortega-Pérez, L.G.; Hernández-Soto, J.A.; Padilla-Avalos, O.; Ayala-Ruiz, L.A.; Magaña-Rodríguez, O.R.; Piñón-Simental, J.S.; Aguilera-Méndez, A.; Godínez-Hernández, D.; Rios-Chavez, P. Role of Callistemon citrinus Leaf Phytosomes Against Oxidative Stress and Inflammation in Rats Fed with a High-Fat-Fructose Diet. Antioxidants 2024, 13, 1263. [Google Scholar] [CrossRef]
- Petronilho, S.; Rocha, S.; Ramírez-Chávez, E.; Molina-Torres, J.; Rios-Chavez, P. Assessment of the terpenic profile of Callistemon citrinus (Curtis) Skeels from Mexico. Ind. Crops Prod. 2013, 46, 369–379. [Google Scholar] [CrossRef]
- Ortega-Pérez, L.G.; Ayala-Ruiz, L.A.; Magaña-Rodríguez, O.R.; Piñón-Simental, J.S.; Aguilera-Méndez, A.; Godínez-Hernández, D.; Rios-Chavez, P. Development and evaluation of phytosomes containing Callistemon citrinus leaf extract: A preclinical approach for the treatment of obesity in a rodent model. Pharmaceutics 2023, 15, 2178. [Google Scholar] [CrossRef]
- Ayala-Ruiz, L.A.; Ortega-Pérez, L.G.; Piñón-Simental, J.S.; Magaña-Rodríguez, O.R.; Meléndez-Herrera, E.; Rios-Chavez, P. Role of the major terpenes of Callistemon citrinus against the oxidative stress during a hypercaloric diet in rats. Biomed. Pharmacother. 2022, 153, 113505. [Google Scholar] [CrossRef]
- Nájera-Maldonado, J.M.; Salazar, R.; Alvarez-Fitz, P.; Acevedo-Quiroz, M.; Flores-Alfaro, E.; Hernández-Sotelo, D.; Espinoza-Rojo, M.; Ramírez, M. Phenolic compounds of therapeutic interest in neuroprotection. J. Xenobiot. 2024, 14, 227–246. [Google Scholar] [CrossRef]
- Rule, D.C.; Melson, E.A.; Alexander, B.M.; Brown, T.E. Dietary fatty acid composition impacts the fatty acid profiles of different regions of the bovine brain. Animals 2022, 12, 2696. [Google Scholar] [CrossRef]
- Ulmann, L.; Mimouni, V.; Roux, S.; Porsolt, R.; Poisson, J.P. Brain and hippocampus fatty acid composition in phospholipid classes of aged-relative cognitive deficit rats. Prostaglandins Leukot. Essent. Fat. Acids 2001, 64, 189–195. [Google Scholar] [CrossRef]
- Especificaciones Técnicas para la Producción, Cuidado y uso de los Animales de Laboratorio. Diario Oficial de la Federación, México Distrito Federal, Mexico. Available online: https://www.gob.mx/cms/uploads/attachment/file/203498/NOM-062-ZOO-1999_220801.pdf (accessed on 22 August 2001).
- Bélair, V.; Orstat, V.; Maheux, M.; Lafrance, C.P.; Brochu, M.; Lightburn, B.; Moss, R. Permeability of native and digestive polyphenols from apple, blueberry and cranberry extracts using PAMPA membrane permeability assays. J. Food Compos. Anal. 2021, 101, 103945. [Google Scholar] [CrossRef]
- Witko-Sarsat, V.; Friedlander, M.; Capeillere-Blandin, C.; Nguyen-Khoa, T.; Nguyen, A.T.; Zingraff, J.; Jungers, P.; Descamps-Latscha, B. Advanced oxidation protein products as a novel marker of oxidative stress in uremia. Kidney Int. 1996, 49, 1304–1313. [Google Scholar] [CrossRef]
- Johnston, J.W.; Horne, S.; Harding, K.; Benson, E.E. Evaluation of the 1-methyl-2-phenylindole colorimetric assay for aldehydic lipid peroxidation products in plants: Malondialdehyde and 4-hydroxynonenal. Plant Physiol. Biochem. 2007, 45, 108–112. [Google Scholar] [CrossRef] [PubMed]
- Sedlak, J.; Lindsay, R.H. Estimation of total, protein-bound, and nonprotein sulfhydryl groups in tissue with Ellman’s reagent. Anal. Biochem. 1968, 25, 192–205. [Google Scholar] [CrossRef]
- Aebi, H. Catalase in vitro. Methods. Enzimol. 1984, 105, 121–126. [Google Scholar]
- Prabhu, K.S.; Reddy, P.V.; Gumpricht, E.; Hildenbrandt, G.R.; Scholz, R.W.; Sordillo, L.M.; Reddy, C.C. Microsomal glutathione S-transferase A1-1 with glutathione peroxidase activity from sheep liver: Molecular cloning, expression and characterization. Biochem. J. 2001, 360, 345–354. [Google Scholar] [CrossRef]
- Bouhalit, S.; Kechrid, Z. Assessment of the potential role of l-methionine on nickel sulfate induced renal injury and oxidative stress in rat. Assessment 2018, 11, 390. [Google Scholar] [CrossRef]
- Dantoine, T.F.; Debord, J.; Charmes, J.P.; Merle, L.; Marquet, P.; Lachatre, G.; Leroux-Robert, C. Decrease of serum paraoxonase activity in chronic renal failure. J. Am. Soc. Nephrol. 1998, 9, 2082–2088. [Google Scholar] [CrossRef]
- Liu, T.W.; Heden, T.D.; Matthew Morris, E.; Fritsche, K.L.; Vieira-Potter, V.J.; Thyfault, J.P. High-fat diet alters serum fatty acid profiles in obesity prone rats: Implications for in vitro studies. Lipids 2015, 50, 997–1008. [Google Scholar] [CrossRef]
- Xie, Z.; Li, H.; Wang, K.; Lin, J.; Wang, Q.; Zhao, G.; Jia, W.; Zhang, Q. Analysis of transcriptome and metabolome profiles alterations in fatty liver induced by high-fat diet in rat. Metabolism 2010, 59, 554–560. [Google Scholar] [CrossRef]
- Pakiet, A.; Jakubiak, A.; Mierzejewska, P.; Zwara, A.; Liakh, I.; Sledzinski, T.; Mika, A. The effect of a high-fat diet on the fatty acid composition in the hearts of mice. Nutrients 2020, 12, 824. [Google Scholar] [CrossRef]
- Antunes, M.M.; Godoy, G.; de Almeida-Souza, C.B.; Da Rocha, B.A.; da Silva-Santi, L.G.; Masi, L.N.; Carbonera, F.; Visentainer, J.V.; Curi, R.; Bazotte, R.B. A high-carbohydrate diet induces greater inflammation than a high-fat diet in mouse skeletal muscle. Braz. J. Med. Biol. Res. 2020, 53, e9039. [Google Scholar] [CrossRef]
- Schönfeld, P.; Reiser, G. How the brain fights fatty acids’ toxicity. Neurochem. Int. 2021, 148, 105050. [Google Scholar] [CrossRef]
- Da Silva-Santi, L.; Antunes, M.; Mori, M.A.; De Almeida-Souza, C.; Vergílio Visentainer, J.; Carbonera, F.; Crisma, A.R.; Masi, L.N.; Hirabara, S.M.; Curi, R.; et al. Brain fatty acid composition and inflammation in mice fed with high-carbohydrate diet or high-fat diet. Nutrients 2018, 10, 1277. [Google Scholar] [CrossRef] [PubMed]
- Denver, P.; Gault, V.A.; McClean, P.L. Sustained high-fat diet modulates inflammation, insulin signalling and cognition in mice and a modified xenin peptide ameliorates neuropathology in a chronic high-fat model. Diabetes Obes. Metab. 2018, 20, 1166–1175. [Google Scholar] [CrossRef]
- Sighinolfi, G.; Clark, S.; Blanc, L.; Cota, D.; Rhourri-Frih, B. Mass spectrometry imaging of mice brain lipid profile changes over time under high fat diet. Sci. Rep. 2021, 11, 19664. [Google Scholar] [CrossRef]
- Reichlmayr-Lais, A.M.; Stangl, G.I.; Kirchgessner, M.; Eder, K. Fatty acid composition of brain and heart of rats fed various dietary oils. Nutr. Res. 1994, 14, 829–840. [Google Scholar] [CrossRef]
- Angelis-Pereira, M.C.; Barcelos, M.F.P.; Pereira, J.D.A.R.; Pereira, R.C.; de Souza, R.V. Effect of different commercial fat sources on brain, liver and blood lipid profiles of rats in growth phase. Acta Cir. Bras. 2017, 32, 1013–1025. [Google Scholar] [CrossRef]
- Mony, T.J.; Elahi, F.; Choi, J.W.; Park, S.J. Neuropharmacological Effects of Terpenoids on Preclinical Animal Models of Psychiatric Disorders: A Review. Antioxidants 2022, 11, 1834. [Google Scholar] [CrossRef]
- Jāger, W.; Našel, B.; Našel, C.; Binder, R.; Stimpfl, T.; Vycudilik, W.; Buchbauer, G. Pharmacokinetic studies of the fragrance compound 1, 8-cineol in humans during inhalation. Chem. Senses 1996, 21, 477–480. [Google Scholar] [CrossRef]
- Venkataraman, B.; Almarzooqi, S.; Raj, V.; Bhongade, B.A.; Patil, R.B.; Subramanian, V.S.; Attoub, S.; Rizvi, T.A.; Adrian, T.E.; Subramanya, S.B. Molecular docking identifies 1,8-cineole (eucalyptol) as a novel PPARγ agonist that alleviates colon inflammation. Int. J. Mol. Sci. 2023, 24, 6160. [Google Scholar] [CrossRef]
- Satou, T.; Hayakawa, M.; Kasuya, H.; Masuo, Y.; Koike, K. Mouse brain concentrations of α-pinene, limonene, linalool, and 1,8-cineole following inhalation. Flavour Fragr. J. 2017, 32, 36–39. [Google Scholar] [CrossRef]
- Dao, L.; Jiang, L.; Chen, Y.; Ayisa; Sa, C. Study on the opening effect of eucalyptol on the blood–brain barrier and its brain pharmacokinetics. Biomed. Chromatogr. 2023, 37, e5631. [Google Scholar] [CrossRef]
- Žarković, N.; Gęgotek, A.; Łuczaj, W.; Jaganjac, M.; Šunjić, S.B.; Žarković, K.; Skrzydlewska, E. Overview of the Lipid Peroxidation Measurements in Patients by the Enzyme-Linked Immunosorbent Assay Specific for the 4-Hydroxynonenal-Protein Adducts (4-HNE-ELISA). Front. Biosci. Landmark 2024, 29, 153. [Google Scholar] [CrossRef]
- Hou, J.; Jeon, B.; Baek, J.; Yun, Y.; Kim, D.; Chang, B.; Kim, S.; Kim, S. High fat diet-induced brain damaging effects through autophagy-mediated senescence, inflammation and apoptosis mitigated by ginsenoside F1-enhanced mixture. J. Ginseng Res. 2022, 46, 79–90. [Google Scholar] [CrossRef]
- Maciejczyk, M.; Żebrowska, E.; Zalewska, A.; Chabowski, A. Redox balance, antioxidant defense, and oxidative damage in the hypothalamus and cerebral cortex of rats with high fat diet—Induced insulin resistance. Oxidative Med. Cell. Longev. 2018, 2018, 6940515. [Google Scholar] [CrossRef]
- Djordjevic, G.; Ljubisavljevic, S.; Sretenovic, S.; Kocic, G.; Stojanovic, I.; Stojanovic, S. The cerebrospinal fluid values of advanced oxidation protein products and total thiol content in patients with amyotrophic lateral sclerosis. Clin. Neurol. Neurosurg. 2017, 163, 33–38. [Google Scholar] [CrossRef]
- Zhao, Y.; Zhang, L.; Ouyang, X.; Jiang, Z.; Xie, Z.; Fan, L.; Zhu, D.; Li, L. Advanced oxidation protein products play critical roles in liver diseases. Eur. J. Clin. Investig. 2019, 49, e13098. [Google Scholar] [CrossRef]
- Cao, W.; Hou, F.F.; Nie, J. AOPPs and the progression of kidney disease. Kidney Int. Suppl. 2014, 4, 102–106. [Google Scholar] [CrossRef]
- Gürler, H.Ṣ.; Bilgici, B.; Akar, A.K.; Tomak, L.; Bedir, A. Increased DNA oxidation (8-OHdG) and protein oxidation (AOPP) by low level electromagnetic field (2.45 GHz) in rat brain and protective effect of garlic. Int. J. Radiat. Biol. 2014, 90, 892–896. [Google Scholar] [CrossRef] [PubMed]
- Aksenov, M.Y.; Aksenova, M.V.; Butterfield, D.A.; Geddes, J.W.; Markesbery, W.R. Protein oxidation in the brain in Alzheimer’s disease. Neuroscience 2001, 103, 373–383. [Google Scholar] [CrossRef] [PubMed]
- Dwivedi, D.; Megha, K.; Mishra, R.; Mandal, P.K. Glutathione in brain: Overview of its conformations, functions, biochemical characteristics, quantitation and potential therapeutic role in brain disorders. Neurochem. Res. 2020, 45, 1461–1480. [Google Scholar] [CrossRef] [PubMed]
- Aoyama, K. Glutathione in the brain. Int. J. Mol. Sci. 2021, 22, 5010. [Google Scholar] [CrossRef]
- Alzoubi, K.H.; Hasan, Z.A.; Khabour, O.F.; Mayyas, F.A.; Al Yacoub, O.N.; Banihani, S.A.; Alomari, M.A.; Alrabadi, N.N. Vitamin E modifies high-fat diet-induced reduction of seizure threshold in rats: Role of oxidative stress. Physiol. Behav. 2019, 206, 200–205. [Google Scholar] [CrossRef]
- Cavaliere, G.; Trinchese, G.; Penna, E.; Cimmino, F.; Pirozzi, C.; Lama, A.; Annunziata, C.; Catapano, A.; Raso, G.M.; Meli, R.; et al. High-fat diet induces neuroinflammation and mitochondrial impairment in mice cerebral cortex and synaptic fraction. Front. Cell. Neurosci. 2019, 13, 509. [Google Scholar] [CrossRef]
- Liu, Y.; Zhang, Q.; Wang, L.; Wang, H.; Sun, T.; Xia, H.; Yang, Y.; Zhang, L. The α-lipoic acid improves high-fat diet-induced cerebral damage through inhibition of oxidative stress and inflammatory reaction. Environ. Toxicol. Pharmacol. 2017, 56, 219–224. [Google Scholar] [CrossRef]
- El Azab, E.F.; Abdulmalek, S. Amelioration of age-related multiple neuronal impairments and inflammation in high-fat diet-fed rats: The prospective multitargets of geraniol. Oxidative Med. Cell. Longev. 2022, 2022, 4812993. [Google Scholar] [CrossRef]
- Pei, J.; Pan, X.; Wei, G.; Hua, Y. Research progress of glutathione peroxidase family (GPX) in redoxidation. Front. Pharmacol. 2023, 14, 1147414. [Google Scholar] [CrossRef] [PubMed]
- Amri, Z.; Ghorbel, A.; Turki, M.; Akrout, F.M.; Ayadi, F.; Elfeki, A.; Hammami, M. Effect of pomegranate extracts on brain antioxidant markers and cholinesterase activity in high fat-high fructose diet induced obesity in rat model. BMC Complement. Altern. Med. 2017, 17, 339. [Google Scholar] [CrossRef] [PubMed]
- Charradi, K.; Elkahoui, S.; Karkouch, I.; Limam, F.; Hassine, F.B.; Aouani, E. Grape seed and skin extract prevents high-fat diet-induced brain lipotoxicity in rat. Neurochem. Res. 2012, 37, 2004–2013. [Google Scholar] [CrossRef]
- Savaskan, N.E.; Borchert, A.; Bräuer, A.U.; Kuhn, H. Role for glutathione peroxidase-4 in brain development and neuronal apoptosis: Specific induction of enzyme expression in reactive astrocytes following brain injury. Free Radic. Biol. Med. 2007, 43, 191–201. [Google Scholar] [CrossRef]
- Grim, J.M.; Hyndman, K.A.; Kriska, T.; Girotti, A.W.; Crockett, E.L. Relationship between oxidizable fatty acid content and level of antioxidant glutathione peroxidases in marine fish. J. Exp. Biol. 2011, 214, 3751–3759. [Google Scholar] [CrossRef]
- Garrit, J.M.; Dao, K.; Costa, L.G.; Marsillach, J.; Furlong, C.E. Examining the role of paraoxonase 2 in the dopaminergic system of the mouse brain. BMC Neurosci. 2022, 23, 52. [Google Scholar] [CrossRef]
- Shih, D.M.; Meng, Y.; Sallam, T.; Vergnes, L.; Shu, M.L.; Reue, K.; Tontonoz, P.; Fogelman, A.M.; Lusis, A.J.; Reddy, S.T. PON2 deficiency leads to increased susceptibility to diet-induced obesity. Antioxidants 2019, 8, 19. [Google Scholar] [CrossRef] [PubMed]
- Nguyen, S.D.; Sok, D.-E. Preferential inhibition of paraoxonase activity of human paraoxonase 1 by negatively charged lipids. J. Lipid Res. 2004, 45, 2211–2220. [Google Scholar] [CrossRef]
- Zakaria, Z.; Othman, Z.A.; Bagi Suleiman, J.; Jalil, N.A.C.; Ghazali, W.S.W.; Mohamed, M. Protective and therapeutic effects of orlistat on metabolic syndrome and oxidative stress in high-fat diet-induced metabolic dysfunction-associated fatty liver disease (MAFLD) in rats: Role on Nrf2 activation. Vet. Sci. 2021, 8, 274. [Google Scholar] [CrossRef] [PubMed]
- Othman, Z.A.; Zakaria, Z.; Suleiman, J.B.; Mustaffa, K.M.F.; Jalil, N.A.C.; Wan Ghazali, W.S.; Zulkipli, N.N.; Mohamed, M. Orlistat mitigates oxidative stress-linked myocardial damage via NF-κβ and caspase-dependent activities in obese rats. Int. J. Mol. Sci. 2022, 23, 10266. [Google Scholar] [CrossRef]
- Mahmoudi, M.; Charradi, K.; Limam, F.; Aouani, E. Grape seed and skin extract as an adjunct to xenical therapy reduced obesity, brain lipotoxicity and oxidative stress in high fat diet fed rats. Obes. Res. Clin. Pract. 2018, 12, 115–126. [Google Scholar] [CrossRef] [PubMed]
- AL-Dalaeen, A.; Batarseh, N.; Abdelhadi, N.N.; Atawneh, S.; AbuKashef, R.; Al-Yasari, A.M.R.S. Protective and therapeutic effects of orlistat in combination with Elettaria cardamomum “Cardamom” extract on learning, memory, anxiety, and neuroinflammation in obese mice. Medicina 2025, 61, 263. [Google Scholar] [CrossRef]
- Avola, R.; Furnari, A.G.; Graziano, A.C.E.; Russo, A.; Cardile, V. Management of the brain: Essential oils as promising neuroinflammation modulator in neurodegenerative diseases. Antioxidants 2024, 13, 178. [Google Scholar] [CrossRef]
- Alipour, H.R.; Yaghmaei, P.; Ahmadian, S.; Ghobeh, M.; Ebrahim-Habibi, A. A study on alpha-terpineol in Alzheimer’s disease with the use of rodent in vivo model, restraint stress effect and in vitro Amyloid beta fibrils. Braz. J. Pharm. Sci. 2022, 58, e19090. [Google Scholar] [CrossRef]
- Qu, Y.; Wang, L.; Mao, Y. Gallic acid attenuates cerebral ischemia/re-perfusion-induced blood–brain barrier injury by modifying polarization of microglia. J. Immunotoxicol. 2022, 19, 17–26. [Google Scholar] [CrossRef]
- Daroi, P.A.; Dhage, S.N.; Juvekar, A.R. p-Coumaric acid mitigates lipopolysaccharide induced brain damage via alleviating oxidative stress, inflammation and apoptosis. J. Pharm. Pharmacol. 2022, 74, 556–564. [Google Scholar] [CrossRef] [PubMed]
- Liu, Y.L.; Huang, H.J.; Sheu, S.Y.; Liu, Y.C.; Lee, I.J.; Chiang, S.C.; Lin, A.M.Y. Oral ellagic acid attenuated LPS-in duced neuroinflammation in rat brain: MEK1 interaction and M2 microglial polarization. Exp. Biol. Med. 2023, 248, 656–664. [Google Scholar] [CrossRef] [PubMed]







| Fatty Acid | Lard (%) | Vegetable Shortening (%) |
|---|---|---|
| C10:0, Capric | - | 0.16 |
| C12:0, Lauric | 0.26 | 0.27 |
| C13:0, Tridecanoic | - | 0.067 |
| C13:1, Tridecenoic | - | 0.13 |
| C14:0, Myristic | 2.6 | 5.4 |
| C14:1n-6 | - | 0.3 |
| C14:2n-9 | - | 0.72 |
| Tetradecanoic acid, 12-methyl | - | 0.57 |
| Pentadecanoic acid | 0.14 | 1.01 |
| C16:0, Palmitic | 22.8 | 16.4 |
| C16:1, Palmitoleic | 5 | 2.27 |
| Methyl 14-methylhexadecanoate | - | 0.47 |
| C17:0, Margaric | 0.89 | 1.33 |
| C17:1n-9 | 0.72 | - |
| C18:0, Stearic | 14.35 | 7.26 |
| C18:1, Oleic | 1.97 | - |
| C18:1n-11t | 23.29 | 14.07 |
| Octadecanoic acid, 17-methyl | 0.18 | - |
| C18:2n-6, Linoleic | 2.46 | - |
| C20:0, arachidic | 0.67 | 0.64 |
| C20:1, Erucic | 1.88 | 1.04 |
| C20:2, Eicosadienoic | 1.25 | - |
| C20:4, Eicosatetranoic | 0.55 | - |
| C21:0, Heneicosanoic | - | 0.045 |
| C22:0, Behenic | 0.037 | 0.093 |
| C22:4n-6, Adrenic | 0.255 | 0.03 |
| C23:0, Tricosanoic | - | 0.034 |
| C24:0, Lignoceric | 0.015 | 0.03 |
| C26:0, Cerotic | - | 0.01 |
| Totaal | 79.317 | 52.346 |
| Characteristic | Result (Mean ± SD) |
|---|---|
| Mean particle size (nm) | 129.98 ± 18.30 |
| Polydispersity index | 1.13 ± 0.03 |
| Entrapment efficiency (%) | 80.49 ± 0.07 |
| Temperature on the stability (106 days) | 20 ± 2 °C |
| Total Solubility profile (%) | 90.00 |
| Measurements | C | C + V | C + C.c (200 mg/kg) | HFD | HFD + Orl (5 mg/kg) | HFD + C.c (200 mg/kg) | HFD + P (50 mg/kg) | HFD + P (100 mg/kg) | HFD + P (200 mg/kg) |
|---|---|---|---|---|---|---|---|---|---|
| Brain (g) | 1.93 ± 0.03 a | 2.07 ± 0.02 a | 2.08 ± 0.07 a | 2.06 ± 0.04 a | 1.95 ± 0.05 a | 1.96 ± 0.04 a | 2.04 ± 0.08 a | 2.08 ± 0.03 a | 2.17 ± 0.02 a |
| Body weight gain (g) | 171.00 ± 36.42 b | 168.66 ± 9.86 b | 169.00 ± 35.36 b | 267.33 ± 36.90 a | 180.75 ± 40.42 b | 146.25 ± 31.84 b | 178.66 ± 27.22 b | 167.33 ± 23.02 b | 163.66 ± 3.21 b |
| Adiposity index | 2.78 ± 0.55 c | 2.77 ± 0.55 c | 2.52 ± 0.62 c | 9.43 ± 0.62 a | 5.56 ± 0.71 bc | 6.18 ± 0.39 b | 5.98 ± 0.71 b | 4.82 ± 0.71 bc | 4.02 ± 0.62 bc |
| Lee index | 0.30 ± 0.01 b | 0.30 ± 0.02 b | 0.30 ± 0.01 b | 0.33 ± 0.01 a | 0.30 ± 0.01 b | 0.30 ± 0.01 b | 0.29 ± 0.01 b | 0.30 ± 0.01 b | 0.31 ± 0.31 b |
| Fatty Acid | C | C + V | C + C.c (200 mg/kg) | HFFD | HFFD + Orl (5 mg/kg) | HFFD+ C.c (200 mg/kg) | HFFD + P (50 mg/kg) | HFFD + P (100 mg/kg) | HFFD + P (200 mg/kg) |
|---|---|---|---|---|---|---|---|---|---|
| C14:0, Myristic | 0.12 ± 0.04 c | 0.24 ± 0.04 ab | 0.18 ± 0.04 abc | 0.24 ± 0.03 abc | 0.18 ± 0.03 abc | 0.29 ± 0.08 a | 0.16 ± 0.01 bc | 0.17 ± 0.02 abc | 0.15 ± 0.05 bc |
| C15:0, Pentadecylic | 0.07 ± 0.01 | 0.11 ± 0.01 | 0.10 ± 0.01 | 0.10 ± 0.01 | 0.09 ± 0.01 | 0.07 ± 0.02 | 0.09 ± 0.01 | 0.07 ± 0.03 | 0.10 ± 0.04 |
| C16:0, Palmitic | 17.40 ± 1.56 | 20.03 ± 1.60 | 18.95 ± 0.91 | 18.80 ± 0.30 | 20.42 ± 1.09 | 18.52 ± 2.39 | 19.29 ± 0.66 | 19.18 ± 1.85 | 19.27 ± 1.66 |
| C17:0, Margaric | 0.23 ± 0.01 | 0.30 ± 0.02 | 0.27 ± 0.04 | 0.33 ± 0.02 | 0.31 ± 0.09 | 0.23 ± 0.03 | 0.29 ± 0.03 | 0.29 ± 0.05 | 0.30 ± 0.02 |
| C18:0, Stearic | 15.08 ± 1.85 bc | 18.74 ± 0.84 ab | 18.15 ± 0.67 abc | 18.24 ± 0.74 abc | 19.91 ± 0.95 a | 14.61 ± 3.18 c | 17.66 ± 0.35 abc | 17.88 ± 0.60 abc | 18.20 ± 0.79 abc |
| C20:0, Arachidic | 0.42 ± 0.21 | 0.22 ± 0.08 | 0.26 ± 0.06 | 0.42 ± 0.20 | 0.32 ± 0.09 | 0.38 ± 0.16 | 0.23 ± 0.04 | 0.31 ± 0.08 | 0.173 ± 0.040 |
| C22:0, Behenic | 0.37 ± 0.20 | 0.29 ± 0.04 | 0.31 ± 0.09 | 0.37 ± 0.20 | 0.34 ± 0.14 | 0.32 ± 0.19 | 0.16 ± 0.02 | 0.29 ± 0.09 | 0.16 ± 0.05 |
| C16:1n-9, Palmitoleic | 0.41 ± 0.06 b | 0.45 ± 0.05 ab | 0.54± 0.02 ab | 0.56 ± 0.05 a | 0.49 ± 0.05 ab | 0.43 ± 0.01 ab | 0.50 ± 0.04 ab | 0.53 ± 0.05 ab | 0.49 ± 0.01 ab |
| C18:1n-9, Oleic | 12.34 ± 0.12 | 14.58 ± 1.35 | 14.868 ±1.00 | 14.340 ± 1.019 | 16.42 ± 2.23 | 14.33 ± 3.51 | 14.263 ± 0.348 | 15.987 ± 0.771 | 15.506 ± 1.872 |
| C20:1n-9, Eicosenoic | 2.48 ± 0.06 a | 0.94 ± 0.56 b | 1.12 ± 0.14 b | 0.95 ± 0.21 b | 1.23 ± 0.41 ab | 2.03 ± 0.058 ab | 1.26 ± 0.36 ab | 1.62 ± 0.54 ab | 0.89 ± 0.25 b |
| C22:1n-9, Erucic | 0.21 ± 0.08 | 0.18 ± 0.10 | 0.13 ± 0.06 | 0.14 ± 0.04 | 0.20 ± 0.10 | 0.13 ± 0.06 | 0.13 ± 0.05 | 0.20 ± 0.21 | 0.17 ± 0.21 |
| C24:1n-9, Nervonic | 1.33 ± 0.25 a | 0.25 ± 0.18 b | 0.31 ± 0.03 b | 0.24 ± 0.16 b | 0.55 ± 0.35 b | 0.45 ± 0.07 b | 0.23 ± 0.07 b | 0.39 ± 0.17 b | 0.21 ± 0.18 b |
| C18:2n-6, LA | 0.81 ± 0.10 ab | 0.94 ± 0.19 a | 0.88 ± 0.15 ab | 0.73 ± 0.10 ab | 0.64 ± 0.13 ab | 0.53 ± 0.12 b | 0.68 ± 0.08 ab | 0.68 ± 0.10 ab | 0.80 ± 0.16 ab |
| C20:4n-6. Arachidonic | 7.92 ± 1.64 | 9.57 ± 0.67 | 9.77 ± 0.31 | 9.44 ± 0.75 | 9.60 ± 1.50 | 7.21 ± 1.35 | 9.96 ± 0.14 | 9.91 ± 0.38 | 10.48 ± 0.14 |
| C22:4n-6, Adrenic | 2.08 ± 0.37 bc | 2.93 ± 0.15 abc | 3.18 ± 0.45 a | 2.92 ± 0.33 abc | 3.01 ± 0.57 ab | 1.98 ± 0.46 c | 3.12 ± 0.15 a | 3.34 ± 0.15 a | 3.15 ± 0.25 a |
| C22:5n-3, DPAn-3 | 0.25 ± 0.15 c | 0.63 ± 0.18 abc | 1.05 ± 0.38 ab | 1.05 ± 0.30 ab | 0.79 ± 0.46 abc | 0.36 ± 0.09 bc | 0.93 ± 0.16 abc | 1.20 ± 0.17 a | 1.12 ± 0.07 a |
| C22:6n-3, DHA | 10.09 ± 2.32 | 11.55 ± 1.39 | 10.54 ± 1.10 | 10.35 ± 1.51 | 9.52 ± 3.99 | 6.53 ± 1.55 | 10.74 ± 0.77 | 9.95 ± 0.65 | 12.09 ± 0.45 |
| DMA C16:0 | 1.66 ± 0.06 | 1.59 ± 0.35 | 1.76 ± 0.18 | 1.67 ± 0.43 | 1.79 ± 0.56 | 0.95 ± 0.07 | 1.51 ± 0.14 | 1.49 ± 0.45 | 1.68 ± 0.22 |
| DMA C18:0 | 3.36 ± 0.37 | 3.48 ± 0.62 | 2.81 ± 1.35 | 3.39 ± 0.83 | 3.73 ± 1.08 | 1.87 ± 0.41 | 2.56 ± 0.51 | 2.28 ± 0.88 | 3.29 ± 0.17 |
| DMA C18:1 cis | 1.430± 0.06 | 0.85 ± 0.51 | 0.82 ± 0.40 | 0.91 ± 0.37 | 0.96 ± 0.31 | 0.76 ± 0.84 | 0.65 ± 0.13 | 0.88 ± 0.15 | 0.84 ± 0.26 |
| DMA C18:1 trans | 1.68 ± 0.23 a | 0.88 ± 0.51 ab | 0.84 ± 0.40 ab | 0.87 ± 0.34 ab | 0.90 ± 0.30 ab | 0.77 ± 0.01 ab | 0.63 ± 0.11 b | 0.86 ± 0.16 ab | 0.75 ± 0.24 ab |
Disclaimer/Publisher’s Note: The statements, opinions and data contained in all publications are solely those of the individual author(s) and contributor(s) and not of MDPI and/or the editor(s). MDPI and/or the editor(s) disclaim responsibility for any injury to people or property resulting from any ideas, methods, instructions or products referred to in the content. |
© 2025 by the authors. Licensee MDPI, Basel, Switzerland. This article is an open access article distributed under the terms and conditions of the Creative Commons Attribution (CC BY) license (https://creativecommons.org/licenses/by/4.0/).
Share and Cite
Magaña-Rodríguez, O.R.; Ortega-Pérez, L.G.; García-Calderón, A.J.; Ayala-Ruiz, L.A.; Piñón-Simental, J.S.; Aguilera-Méndez, A.; Godínez-Hernández, D.; Rios-Chavez, P. Effect of Callistemon citrinus Phytosomes on Oxidative Stress in the Brains of Rats Fed a High-Fat–Fructose Diet. Biomolecules 2025, 15, 1129. https://doi.org/10.3390/biom15081129
Magaña-Rodríguez OR, Ortega-Pérez LG, García-Calderón AJ, Ayala-Ruiz LA, Piñón-Simental JS, Aguilera-Méndez A, Godínez-Hernández D, Rios-Chavez P. Effect of Callistemon citrinus Phytosomes on Oxidative Stress in the Brains of Rats Fed a High-Fat–Fructose Diet. Biomolecules. 2025; 15(8):1129. https://doi.org/10.3390/biom15081129
Chicago/Turabian StyleMagaña-Rodríguez, Oliver Rafid, Luis Gerardo Ortega-Pérez, Aram Josué García-Calderón, Luis Alberto Ayala-Ruiz, Jonathan Saúl Piñón-Simental, Asdrubal Aguilera-Méndez, Daniel Godínez-Hernández, and Patricia Rios-Chavez. 2025. "Effect of Callistemon citrinus Phytosomes on Oxidative Stress in the Brains of Rats Fed a High-Fat–Fructose Diet" Biomolecules 15, no. 8: 1129. https://doi.org/10.3390/biom15081129
APA StyleMagaña-Rodríguez, O. R., Ortega-Pérez, L. G., García-Calderón, A. J., Ayala-Ruiz, L. A., Piñón-Simental, J. S., Aguilera-Méndez, A., Godínez-Hernández, D., & Rios-Chavez, P. (2025). Effect of Callistemon citrinus Phytosomes on Oxidative Stress in the Brains of Rats Fed a High-Fat–Fructose Diet. Biomolecules, 15(8), 1129. https://doi.org/10.3390/biom15081129

