Relationship of Fibroblast Growth Factor 23 Serum Levels with Disease Characteristics in Systemic Lupus Erythematosus Patients
Abstract
1. Introduction
2. Materials and Methods
2.1. Study Participants
2.2. Data Collection and Laboratory Assessments
2.3. Statistical Analysis
3. Results
3.1. Demographics and Disease-Related Data of Systemic Lupus Erythematosus Patients
3.2. Demographic and Disease Characteristics in Relation to Serum FGF23 Levels
3.3. Relationship of Activity Score and Damage and Disease Severity Indices with FGF23
4. Discussion
5. Conclusions
Supplementary Materials
Author Contributions
Funding
Institutional Review Board Statement
Informed Consent Statement
Data Availability Statement
Acknowledgments
Conflicts of Interest
References
- Liu, S.; Quarles, L.D. How fibroblast growth factor 23 works. J. Am. Soc. Nephrol. 2007, 18, 1637–1647. [Google Scholar] [CrossRef] [PubMed]
- Miyamoto, K.I.; Ito, M.; Tatsumi, S.; Kuwahata, M.; Segawa, H. New aspect of renal phosphate reabsorption: The type IIc sodium-dependent phosphate transporter. Am. J. Nephrol. 2007, 27, 503–515. [Google Scholar] [CrossRef] [PubMed]
- Smith, E.R.; McMahon, L.P.; Holt, S.G. Fibroblast growth factor 23. Ann. Clin. Biochem. 2014, 51, 203–227. [Google Scholar] [CrossRef] [PubMed]
- Batra, J.; Buttar, R.S.; Kaur, P.; Kreimerman, J.; Melamed, M.L. FGF-23 and Cardiovascular Disease: Review of Literature. Curr. Opin. Endocrinol. Diabetes Obes. 2016, 23, 423. [Google Scholar] [CrossRef] [PubMed]
- Mok, C.C.; Lau, C.S. Pathogenesis of systemic lupus erythematosus. J. Clin. Pathol. 2003, 56, 481–490. [Google Scholar] [CrossRef] [PubMed]
- Yu, H.; Nagafuchi, Y.; Fujio, K. Clinical and Immunological Biomarkers for Systemic Lupus Erythematosus. Biomolecules 2021, 11, 928. [Google Scholar] [CrossRef] [PubMed]
- Hochberg, M.C. Updating the American College of Rheumatology revised criteria for the classification of systemic lupus erythematosus. Arthritis Rheum. 1997, 40, 1725. [Google Scholar] [CrossRef] [PubMed]
- Gladman, D.D.; Ibañez, D.; Urowltz, M.B. Systemic lupus erythematosus disease activity index 2000. J. Rheumatol. 2002, 29, 288–291. [Google Scholar] [PubMed]
- Gladman, D.; Ginzler, E.; Goldsmith, C.; Fortin, P.; Liang, M.; Sanchez-Guerrero, J.; Urowitz, M.; Bacon, P.; Bombardieri, S.; Hanly, J.; et al. The development and initial validation of the Systemic Lupus International Collaborating Clinics/American College of Rheumatology damage index for systemic lupus erythematosus. Arthritis Rheum. 1996, 39, 363–369. [Google Scholar] [CrossRef] [PubMed]
- Mosca, M.; Bombardieri, S. Assessing remission in systemic lupus erythematosus. Clin. Exp. Rheumatol. 2006, 24, S99–S104. [Google Scholar] [PubMed]
- Katz, J.D.; Senegal, J.L.; Rivest, C.; Goulet, J.R.; Rothfield, N. A Simple Severity of Disease Index for Systemic Lupus Erythematosus. Lupus 1993, 2, 119–123. [Google Scholar] [CrossRef] [PubMed]
- Resende, A.L.; Elias, R.M.; Wolf, M.; Dos Reis, L.M.; Graciolli, F.G.; Santos, G.D.; Dias, C.B.; Jorgetti, V.; Woronik, V.; Moysés, R.M. Serum levels of fibroblast growth factor 23 are elevated in patients with active Lupus nephritis. Cytokine 2017, 91, 124–127. [Google Scholar] [CrossRef] [PubMed]
- Shimazaki, S.; Kazukawa, I.; Yamammoto, H.; Mori, K.; Kihara, M.; Naruke, Y.; Minagawa, M. Elevation of serum fibroblast growth factor 23 level in a pediatric patient with lupus nephritis. CEN Case Rep. 2022, 11, 50–54. [Google Scholar] [CrossRef] [PubMed]
- Isakova, T.; Cai, X.; Lee, J.; Mehta, R.; Zhang, X.; Yang, W.; Nessel, L.; Anderson, A.H.; Lo, J.; Porter, A.; et al. Longitudinal Evolution of Markers of Mineral Metabolism in Patients With CKD: The Chronic Renal Insufficiency Cohort (CRIC) Study. Am. J. Kidney Dis. 2020, 75, 235–244. [Google Scholar] [CrossRef] [PubMed]
- Isakova, T.; Wahl, P.; Vargas, G.S.; Gutiérrez, O.M.; Scialla, J.; Xie, H.; Appleby, D.; Nessel, L.; Bellovich, K.; Chen, J.; et al. Fibroblast growth factor 23 is elevated before parathyroid hormone and phosphate in chronic kidney disease. Kidney Int. 2011, 79, 1370–1378. [Google Scholar] [CrossRef] [PubMed]
- Lai, C.C.; Chen, W.S.; Chang, D.M.; Tsao, Y.P.; Wu, T.H.; Chou, C.T.; Tsai, C.Y. Increased serum fibroblast growth factor-23 and decreased bone turnover in patients with systemic lupus erythematosus under treatment with cyclosporine and steroid but not steroid only. Osteoporosis Int. 2015, 26, 601–610. [Google Scholar] [CrossRef] [PubMed]
- Martín-González, C.; Gómez-Bernal, F.; Quevedo-Abeledo, J.C.; Ferrer-Moure, C.; Espelosín-Ortega, E.; González-Gay, M.Á.; Ferraz-Amaro, I. Alpha-Klotho protein in systemic lupus erythematosus. Clin. Exp. Rheumatol. 2023, 41, 41–47. [Google Scholar] [CrossRef] [PubMed]

| SLE Patients | |
|---|---|
| (n = 284) | |
| Age, years | 50 ± 12 |
| Female, n (%) | 261 (92) |
| Body mass index, kg/m2 | 28 ± 6 |
| Abdominal circumference, cm | 93 ± 14 |
| Hip circumference, cm | 103 ± 12 |
| Waist-to-hip ratio | 0.90 ± 0.07 |
| FGF23, pg/mL | 88 (40–149) |
| 25(OH) vitamin D, ng/mL | 31 ± 12 |
| Phosphate, mg/dL | 3.5 ± 0.6 |
| Cardiovascular co-morbidity | |
| Smoking, n (%) | 69 (24) |
| Diabetes, n (%) | 16 (6) |
| Hypertension, n (%) | 111 (39) |
| Obesity, n (%) | 85 (30) |
| Dyslipidemia, n (%) | 220 (77) |
| Statins, n (%) | 72 (25) |
| Aspirin, n (%) | 80 (29) |
| Carotid intima-media thickness, microns | 628 ± 109 |
| Carotid plaque, n (%) | 99 (36) |
| SLE-related data | |
| Disease duration, years | 16 (7–24) |
| CRP, mg/dL | 2.0 (0.8–4.4) |
| SLICC-DI | 1 (0–2) |
| SLICC-DI ≥ 1, n (%) | 191 (68) |
| Katz Index | 2 (1–4) |
| Katz ≥ 3, n (%) | 126 (44) |
| SLEDAI | 2 (0–4) |
| SLEDAI categories, n (%) | |
| No activity, n (%) | 109 (40) |
| Mild, n (%) | 107 (39) |
| Moderate, n (%) | 41 (15) |
| High, n (%) | 10 (4) |
| Very High, n (%) | 4 (1) |
| Auto-antibody profile | |
| Anti-DNA positive, n (%) | 151 (67) |
| Anti-ENA positive, n (%) | 164 (69) |
| Anti-SSA, n (%) | 55 (35) |
| Anti-SSB, n (%) | 36 (21) |
| Anti-RNP, n (%) | 64 (28) |
| Anti-Sm, n (%) | 24 (10) |
| Anti-ribosome | 13 (9) |
| Anti-nucleosome | 32 (22) |
| Anti-histone | 22 (15) |
| Antiphospholipid syndrome, n (%) | 43 (16) |
| Antiphospholipid autoantibodies, n (%) | 61 (32) |
| Lupus anticoagulant, n (%) | 51 (28) |
| ACA IgM, n (%) | 22 (11) |
| ACA IgG, n (%) | 39 (20) |
| Anti-beta2 glycoprotein IgM, n (%) | 19 (10) |
| Anti-beta2 glycoprotein IgG, n (%) | 28 (15) |
| C3, mg/dL | 130 ± 40 |
| C4, mg/dL | 21 ± 12 |
| Current prednisone, n (%) | 140 (50) |
| Prednisone, mg/day | 5 (5–7.5) |
| Hydroxychloroquine, n (%) | 194 (69) |
| Methotrexate, n (%) | 31 (11) |
| Mycophenolate mofetil, n (%) | 31 (11) |
| Azathioprine, n (%) | 43 (15) |
| Rituximab, n (%) | 8 (3) |
| Belimumab, n (%) | 8 (3) |
| FGF23, pg/mL | ||||
|---|---|---|---|---|
| Beta Coef. (95%), p | ||||
| Univariable | Multivariable | |||
| Age, years | 1.3 (0.3–2) | 0.013 | ||
| Female | −2 (−46–42) | 0.93 | ||
| Body mass index, kg/m2 | 1 (1–3) | 0.24 | ||
| Abdominal circumference, cm | 0.7 (−0.2–1.5) | 0.13 | ||
| Hip circumference, cm | 0.3 (−0.7–1) | 0.54 | ||
| Waist-to-hip ratio | 135 (−25–295) | 0.098 | ||
| 25 (OH) vitamin D, ng/mL | −2 (−4–(−0.6)) | 0.007 | ||
| Phosphate, mg/dL | −2 (−35–31) | 0.92 | ||
| Cardiovascular co-morbidity | ||||
| Smoking | 21 (−6–48) | 0.12 | ||
| Diabetes | 12 (−38–61) | 0.64 | ||
| Hypertension | 18 (−5–42) | 0.13 | ||
| Obesity | 35 (10–60) | 0.007 | ||
| Dyslipidemia | 32 (5–59) | 0.022 | ||
| Statins | 41 (15–68) | 0.002 | ||
| Aspirin | −0.4 (−27–26) | 0.98 | ||
| SLE-related data | ||||
| Disease duration, years | 0.6 (−0.6–1.8) | 0.33 | ||
| CRP, mg/dL | 1 (0.05–2) | 0.040 | 0.5 (−0.8–2) | 0.45 |
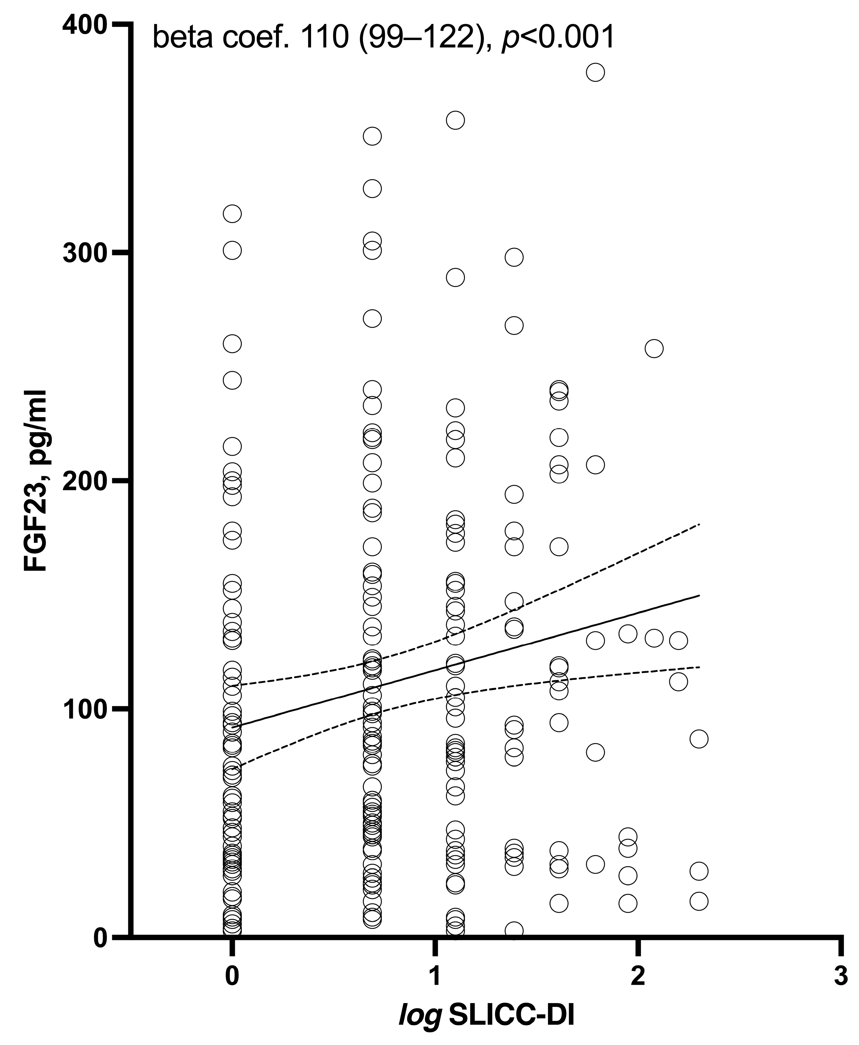
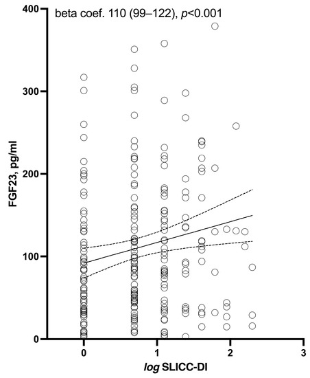
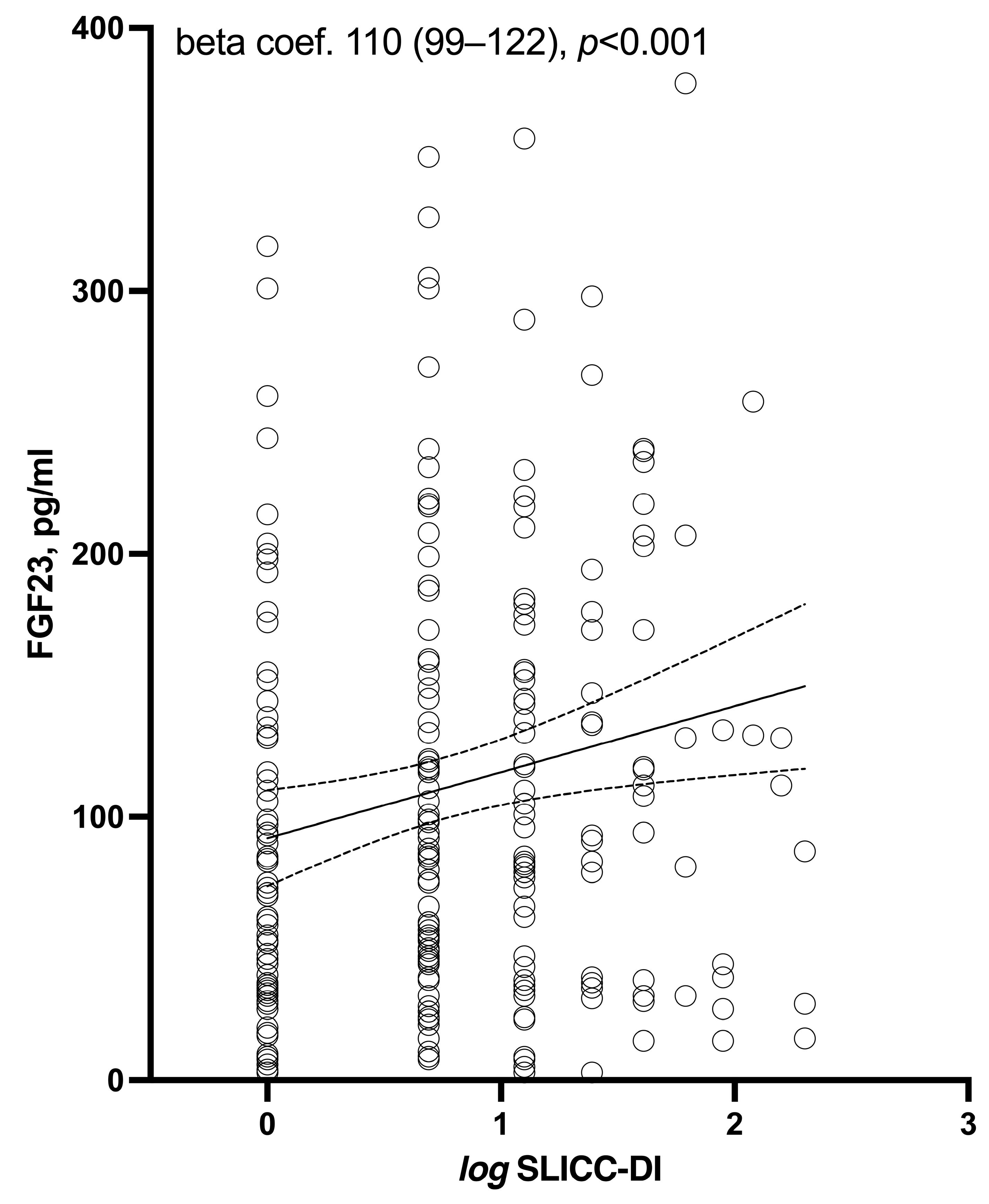
| log SLICC-DI | 110 (99–122) | <0.001 | 35 (2–68) | 0.036 |
| SLICC-DI ≥ 1 | 34 (10–59) | 0.007 | 48 (4–92) | 0.033 |
| Katz Index | 1 (−5–7) | 0.81 | ||
| Katz ≥ 3 | −4 (−28–19) | 0.72 | ||
| SLEDAI | −0.4 (−3–2) | 0.79 | ||
| SLEDAI categories | ||||
| No activity | ref. | ref. | ||
| Mild | 6 (−21–32) | 0.68 | ||
| Moderate to very high | −8 (−40–24) | 0.61 | ||
| Auto-antibody profile | ||||
| Anti-DNA positive | 17 (−8–43) | 0.18 | 35 (−4–75) | 0.074 |
| Anti-ENA positive | −9 (−35–17) | 0.52 | ||
| Anti-SSA | 17 (−17–50) | 0.32 | ||
| Anti-SSB | 38 (−36–113) | 0.31 | ||
| Anti-RNP | −5 (−32–22) | 0.72 | ||
| Anti-Sm | 35 (−4–74) | 0.078 | 26 (−57–110) | 0.53 |
| Anti-ribosome | −32 (−89–24) | 0.26 | ||
| Anti-nucleosome | −26 (−66–15) | 0.21 | ||
| Anti-histone | 1 (−47–48) | 0.98 | ||
| Antiphospholipid syndrome | 11 (−19–40) | 0.48 | ||
| Antiphospholipid autoantibodies | ||||
| Lupus anticoagulant | −11 (−42–20) | 0.48 | ||
| ACA IgM | 19 (−23–60) | 0.37 | ||
| ACA IgG | 2 (−31–36) | 0.89 | ||
| Anti-beta2 glycoprotein IgM | −11 (−58–36) | 0.65 | ||
| Anti-beta2 glycoprotein IgG | 19 (−20–57) | 0.34 | ||
| C3, mg/dL | 0.05 (−0.3–0.4) | 0.75 | ||
| C4, mg/dL | 0.1 (−0.9–1) | 0.81 | ||
| Current intake of prednisone | 28 (5–51) | 0.018 | 40 (1–79) | 0.043 |
| Prednisone, mg/day | −0.2 (−6–6) | 0.94 | ||
| Hydroxychloroquine | 158 (−27–344) | 0.094 | 11 (−27–50) | 0.57 |
| Methotrexate | −26 (−64–13) | 0.19 | −38 (−102–25) | 0.23 |
| Mycophenolate mofetil | −9 (−49–32) | 0.68 | ||
| Azathioprine | −18 (−49–14) | 0.27 | ||
| Rituximab | −23 (−90–44) | 0.50 | ||
| Belimumab | −51 (−118–16) | 0.13 | −30 (−118–57) | 0.49 |
| Subclinical carotid atherosclerosis | ||||
| cIMT, microns | 0.1 (0.01–0.2) | 0.034 | 0.07 (−0.1–0.3) | 0.47 |
| Carotid plaque | 13 (−12–37) | 0.32 | ||
| FGF23, pg/mL | ||||
|---|---|---|---|---|
| n | % | Beta Coef. (95%) | p | |
| Katz index | ||||
| History of cerebritis (seizure or organic brain syndrome) | 12 | 6 | 36 (4–69) | 0.030 |
| History of pulmonary disease | 10 | 5 | −5 (−42–32) | 0.80 |
| Biopsy-proven diffuse proliferative glomerulonephritis | 23 | 12 | 14 (−10–37) | 0.26 |
| 4–6 ARA criteria for SLE satisfied to date | 139 | 73 | 7 (−29–43) | 0.70 |
| 7 or more ARA criteria for SLE satisfied to date | 23 | 12 | −6 (−30–17) | 0.59 |
| History of proteinuria (2+ or more) | 62 | 32 | −4 (−37–30) | 0.83 |
| Lowest recorded hematocrit to date = 30–37% | 88 | 46 | 23 (−8–53) | 0.14 |
| Lowest recorded hematocrit to date < 30% | 47 | 25 | −23 (−41–(−5)) | 0.014 |
| Highest recorded creatinine to date = 1.3–3 | 28 | 15 | 9 (−37–54) | 0.71 |
| Highest recorded creatinine to date > 3 | 3 | 2 | 35 (−24–95) | 0.24 |
| SLEDAI | ||||
| Seizures | 1 | 0 | 124 (−62–310) | 0.19 |
| Psychosis | 1 | 0 | 90 (−96–276) | 0.34 |
| Organic brain syndrome | 0 | 0 | - | - |
| Visual disturbance | 1 | 0 | −15 (−202–171) | 0.87 |
| Cranial nerve disorder | 1 | 0 | −43 (−230–143) | 0.65 |
| Lupus headache | 1 | 0 | 126 (−60–312) | 0.18 |
| ACVA | 0 | 0 | - | - |
| Vasculitis | 1 | 0 | 271 (87–454) | <0.001 |
| Arthritis | 9 | 3 | −31 (−94–32) | 0.33 |
| Myositis | 0 | 0 | - | - |
| Urinary cylinders | 7 | 3 | 16 (−56–87) | 0.67 |
| Hematuria | 16 | 6 | 22 (−26–71) | 0.36 |
| Proteinuria | 5 | 2 | 41 (−52–135) | 0.39 |
| Pyuria | 11 | 4 | 27 (−31–84) | 0.36 |
| Rash | 21 | 8 | −12 (−54–31) | 0.58 |
| Alopecia | 11 | 4 | −10 (−67–48) | 0.74 |
| Mucosal ulcers | 14 | 5 | −59 (−110–(−8)) | 0.023 |
| Pleurisy | 3 | 1 | 42 (−90–175) | 0.53 |
| Pericarditis | 1 | 0 | 43 (−144–230) | 0.65 |
| Low complement | 76 | 28 | 6 (−21–32) | 0.67 |
| Elevated anti-DNA | 85 | 31 | −9 (−35–17) | 0.50 |
| Fever | 2 | 1 | −32 (−164–101) | 0.64 |
| Thrombopenia | 10 | 4 | 5 (−62–72) | 0.88 |
| Leukopenia | 19 | 7 | 15 (−30–61) | 0.51 |
| SLICC-DI domains | ||||
| Ocular | 63 | 22 | 5 (−23–34) | 0.71 |
| Neuropsychiatric | 40 | 14 | 23 (−11–57) | 0.18 |
| Renal | 28 | 10 | 30 (−8–69) | 0.12 |
| Pulmonary | 19 | 7 | −9 (−61–42) | 0.53 |
| Cardiovascular | 23 | 8 | −20 (−60–21) | 0.34 |
| Peripheral vascular | 34 | 12 | −9 (−43–26) | 0.62 |
| Gastrointestinal manifestations | 28 | 10 | −14 (−52–24) | 0.47 |
| Musculoskeletal manifestations | 89 | 31 | 46 (22–70) | <0.001 |
| Skin | 39 | 14 | 0.3 (−32–33) | 0.98 |
| Premature gonadal failure | 19 | 7 | 32 (−13–78) | 0.16 |
| Diabetes (regardless of treatment) | 18 | 6 | 8 (−39–55) | 0.75 |
| Malignancy (excluded dysplasia) | 11 | 4 | −20 (−81–40) | 0.51 |
Disclaimer/Publisher’s Note: The statements, opinions and data contained in all publications are solely those of the individual author(s) and contributor(s) and not of MDPI and/or the editor(s). MDPI and/or the editor(s) disclaim responsibility for any injury to people or property resulting from any ideas, methods, instructions or products referred to in the content. |
© 2023 by the authors. Licensee MDPI, Basel, Switzerland. This article is an open access article distributed under the terms and conditions of the Creative Commons Attribution (CC BY) license (https://creativecommons.org/licenses/by/4.0/).
Share and Cite
Fernández-Cladera, Y.; Gómez-Bernal, F.; García-González, M.; Quevedo-Abeledo, J.C.; González-Rivero, A.F.; de Vera-González, A.; Martín-González, C.; Nunes-Andrade, A.L.; López-Mejías, R.; González-Gay, M.Á.; et al. Relationship of Fibroblast Growth Factor 23 Serum Levels with Disease Characteristics in Systemic Lupus Erythematosus Patients. Biomolecules 2023, 13, 1222. https://doi.org/10.3390/biom13081222
Fernández-Cladera Y, Gómez-Bernal F, García-González M, Quevedo-Abeledo JC, González-Rivero AF, de Vera-González A, Martín-González C, Nunes-Andrade AL, López-Mejías R, González-Gay MÁ, et al. Relationship of Fibroblast Growth Factor 23 Serum Levels with Disease Characteristics in Systemic Lupus Erythematosus Patients. Biomolecules. 2023; 13(8):1222. https://doi.org/10.3390/biom13081222
Chicago/Turabian StyleFernández-Cladera, Yolanda, Fuensanta Gómez-Bernal, María García-González, Juan C. Quevedo-Abeledo, Agustín F. González-Rivero, Antonia de Vera-González, Candelaria Martín-González, Ana L. Nunes-Andrade, Raquel López-Mejías, Miguel Á. González-Gay, and et al. 2023. "Relationship of Fibroblast Growth Factor 23 Serum Levels with Disease Characteristics in Systemic Lupus Erythematosus Patients" Biomolecules 13, no. 8: 1222. https://doi.org/10.3390/biom13081222
APA StyleFernández-Cladera, Y., Gómez-Bernal, F., García-González, M., Quevedo-Abeledo, J. C., González-Rivero, A. F., de Vera-González, A., Martín-González, C., Nunes-Andrade, A. L., López-Mejías, R., González-Gay, M. Á., & Ferraz-Amaro, I. (2023). Relationship of Fibroblast Growth Factor 23 Serum Levels with Disease Characteristics in Systemic Lupus Erythematosus Patients. Biomolecules, 13(8), 1222. https://doi.org/10.3390/biom13081222

