New Triterpene Glycosides from the Far Eastern Starfish Solaster pacificus and Their Biological Activity
Abstract
1. Introduction
2. Materials and Methods
2.1. General Methods
2.2. Animal Material
2.3. Extraction and Isolation
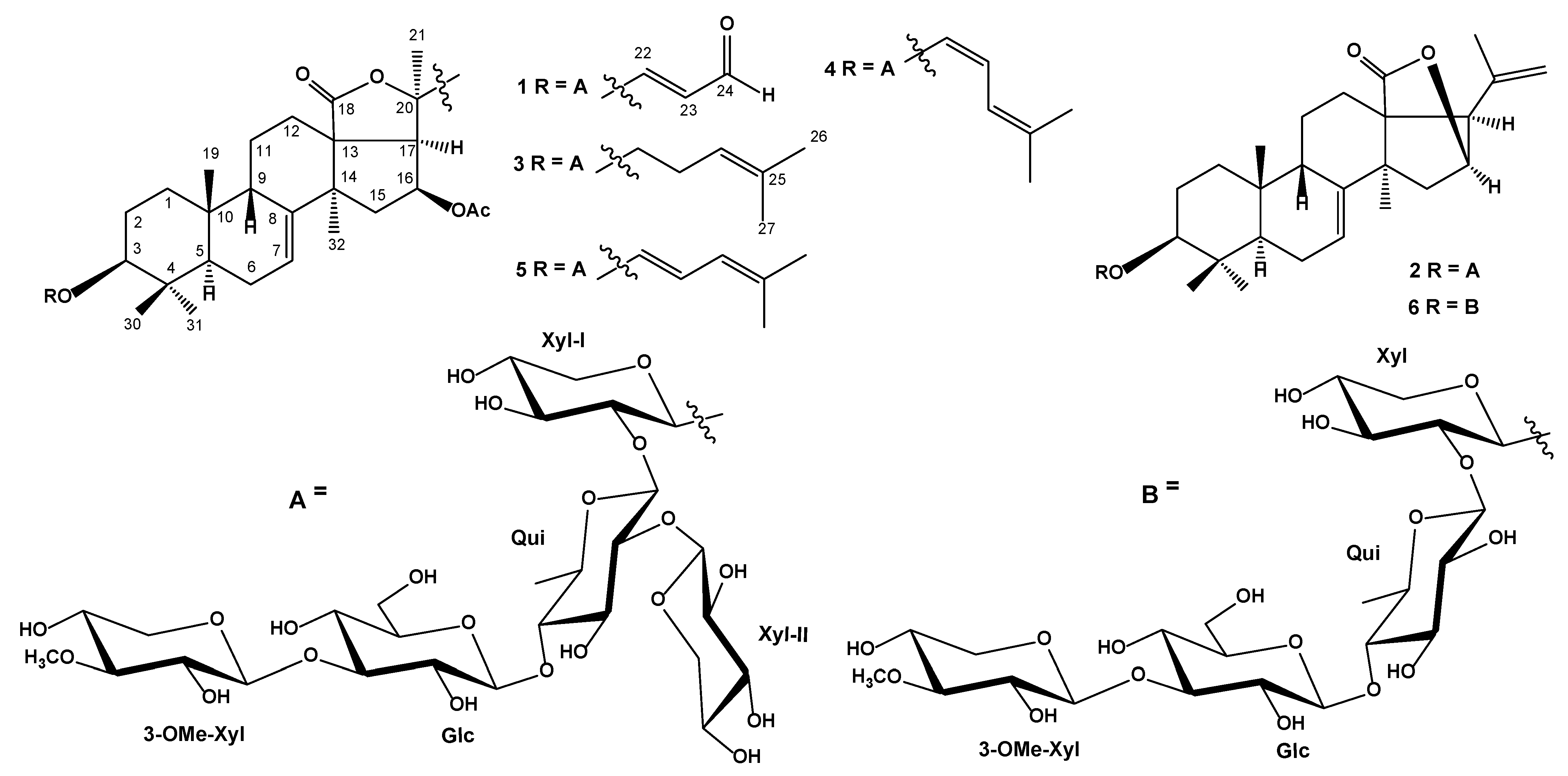
2.4. Spectral Data of New Compounds
2.5. Acid Hydrolysis and Determination of Absolute Configurations of Monosaccharides
2.6. Anticancer Activity
2.6.1. Reagents
2.6.2. Cell Lines and Culture Conditions
2.6.3. The Preparation of Solutions of Compounds
2.6.4. Cell Viability Assay
2.6.5. Colony Formation Assay
2.6.6. Statistical Analysis
3. Results
3.1. The Isolation and Structure Elucidation of Compounds 1–6 from S. pacificus
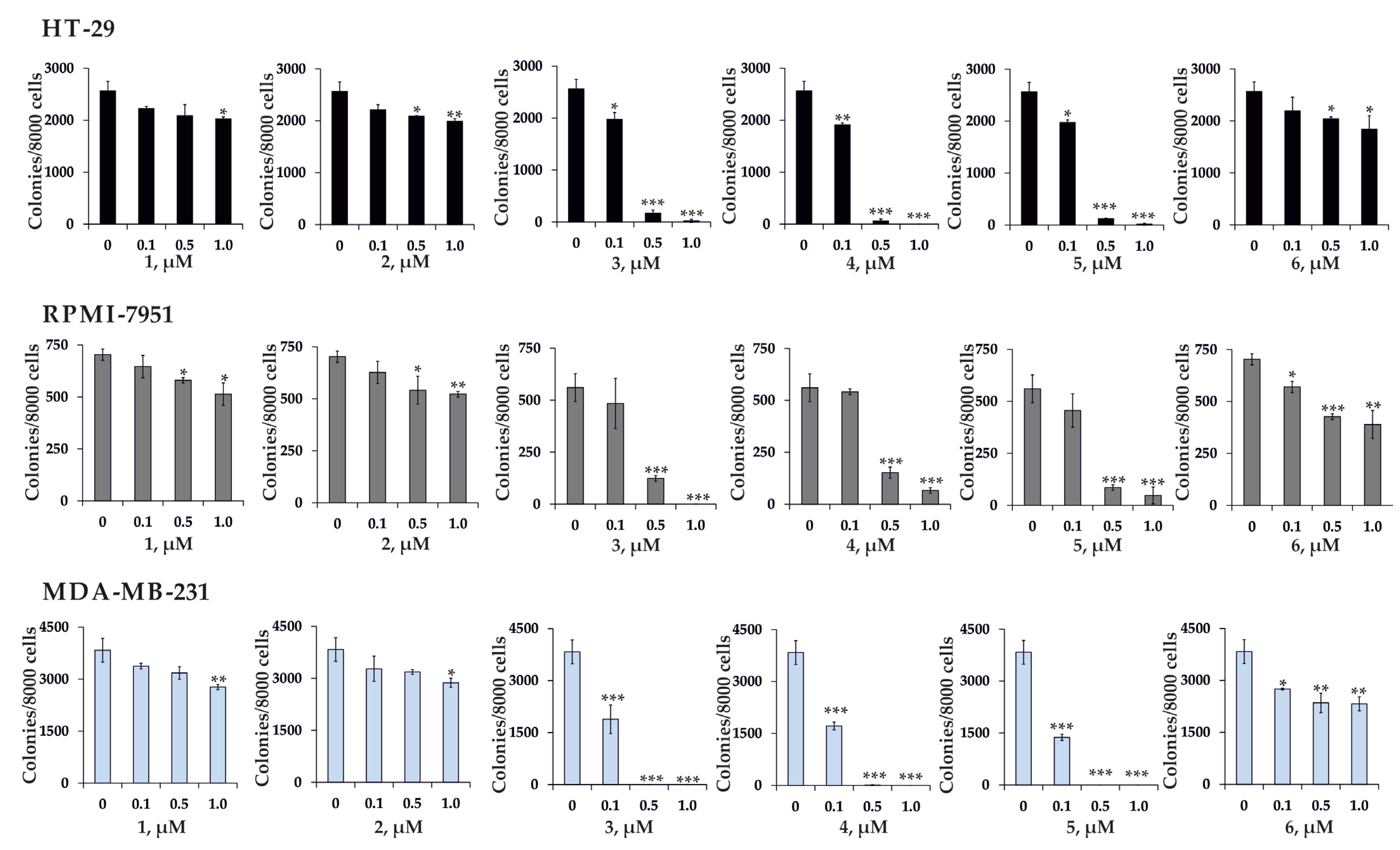
3.2. In Vitro Anticancer Activity of Compounds 1–6
4. Conclusions
Supplementary Materials
Author Contributions
Funding
Institutional Review Board Statement
Informed Consent Statement
Data Availability Statement
Acknowledgments
Conflicts of Interest
References
- Gomes, A.R.; Freitas, A.C.; Rocha-Santos, T.A.P.; Duarte, A.C. Bioactive compounds derived from echinoderms. RSC Adv. 2014, 4, 29365–29382. [Google Scholar] [CrossRef]
- Mondol, M.A.M.; Shin, H.J.; Rahman, M.A.; Islam, M.T. Sea cucumber glycosides: Chemical structures, producing species and important biological properties. Mar. Drugs 2017, 15, 317. [Google Scholar] [CrossRef] [PubMed]
- Kalinin, V.I.; Silchenko, A.S.; Avilov, S.A.; Stonik, V.A. Non-holostane aglycones of sea cucumber triterpene glycosides. Structure, biosynthesis, evolution. Steroids 2019, 147, 42–51. [Google Scholar] [CrossRef]
- Kalinin, V.I.; Aminin, D.L.; Avilov, S.A.; Silchenko, A.S.; Stonik, V.A. Triterpene glycosides from sea cucumbers (Holothurioidea, Echinodermata), biological activities and functions. In Studies in Natural Product Chemistry (Bioactive Natural Products); Atta-ur-Rahman, Ed.; Elsevier Science Publisher: Amsterdam, The Netherlands, 2008; Volume 35, pp. 135–196. [Google Scholar]
- Careaga, V.P.; Maier, M.S. Cytotoxic triterpene glycosides from sea cucumbers. In Handbook of Anticancer Drugs from Marine Origin; Kim, S.-K., Ed.; Springer International Publishing: Cham, Switzerland, 2015; pp. 515–528. [Google Scholar]
- Chludil, H.D.; Murray, A.P.; Seldes, A.M.; Maier, M.S. Biologically active triterpene glycosides from sea cucumbers (Holothuroidea, Echinodermata). In Studies in Natural Products Chemistry; Atta-ur-Rahman, Ed.; Elsevier Science Publisher: Amsterdam, The Netherlands, 2003; Volume 28, pp. 587–615. [Google Scholar]
- Kim, S.K.; Himaya, S.W.A. Chapter 20-Triterpene glycosides from sea cucumbers and their biological activities. Adv. Food Nutr. Res. 2012, 63, 297–319. [Google Scholar] [CrossRef]
- Maier, M.S.; Roccatagliata, A.J.; Kuriss, A.; Chludil, H.; Seldes, A.M.; Pujol, C.A.; Damonte, E.B. Two new cytotoxic and virucidal trisulfated triterpene glycosides from the Antarctic sea cucumber Staurocucumis liouvillei. J. Nat. Prod. 2001, 64, 732–736. [Google Scholar] [CrossRef]
- Aminin, D.L.; Menchinskaya, E.S.; Pisliagin, E.A.; Silchenko, A.S.; Avilov, S.A.; Kalinin, V.I. Anticancer activity of sea cucumber triterpene glycosides. Mar. Drugs 2015, 13, 1202–1223. [Google Scholar] [CrossRef]
- Aminin, D.L.; Pislyagin, E.A.; Menchinskaya, E.S.; Silchenko, A.S.; Avilov, S.A.; Kalinin, V.I. Immunomodulatory and anticancer activity of sea cucumber triterpene glycosides. In Studies in Natural Products Chemistry (Bioactive Natural Products); Atta-ur-Rahman, Ed.; Elsevier Science Publisher: Amsterdam, The Netherlands, 2014; Volume 41, pp. 75–94. [Google Scholar]
- Minale, L.; Riccio, R.; Zollo, F. Steroidal oligoglycosides and polyhydroxysteroids from Echinoderms. Fortschr. Chem. Org. Nat. 1993, 62, 75–308. [Google Scholar] [CrossRef]
- Stonik, V.A. Marine polar steroids. Russ. Chem. Rev. 2001, 70, 673–715. [Google Scholar] [CrossRef]
- Iorizzi, M.; De Marino, S.; Zollo, F. Steroidal oligoglycosides from the Asteroidea. Curr. Org. Chem. 2001, 5, 951–973. [Google Scholar] [CrossRef]
- Stonik, V.A.; Ivanchina, N.V.; Kicha, A.A. New polar steroids from starfish. Nat. Prod. Commun. 2008, 3, 1587–1610. [Google Scholar] [CrossRef]
- Dong, G.; Xu, T.H.; Yang, B.; Lin, X.P.; Zhou, X.F.; Yang, X.W.; Liu, Y.H. Chemical constituents and bioactivities of starfish. Chem. Biodivers. 2011, 8, 740–791. [Google Scholar] [CrossRef]
- Ivanchina, N.V.; Kicha, A.A.; Stonik, V.A. Steroid glycosides from marine organisms. Steroids 2011, 76, 425–454. [Google Scholar] [CrossRef] [PubMed]
- Ivanchina, N.V.; Kicha, A.A.; Malyarenko, T.V.; Stonik, V.A. Advances in Natural Products Discovery; Gomes, A.R., Rocha-Santos, T., Duarte, A., Eds.; Nova Science Publishers: New York, NY, USA, 2017; Volume 6, pp. 191–224. [Google Scholar]
- Stonik, V.A.; Kicha, A.A.; Malyarenko, T.V.; Ivanchina, N.V. Asterosaponins: Structures, taxonomic distribution, biogenesis and biological activities. Mar. Drugs 2020, 18, 584. [Google Scholar] [CrossRef]
- Xia, J.M.; Miao, Z.; Xie, C.L.; Zhang, J.W.; Yang, X.W. Chemical constituents and bioactivities of starfish: An update. Chem. Biodivers. 2020, 17, e1900638. [Google Scholar] [CrossRef]
- Zhan, Y.C.; Sun, Y.; Li, W.; Lin, Y.; Sha, Y.; Pei, Y.H. A new triterpene glycoside from Asterias rollentoni. J. Asian Nat. Prod. Res. 2006, 8, 631–636. [Google Scholar] [CrossRef]
- Ivanchina, N.V.; Kalinovsky, A.I.; Malyarenko, T.V.; Kicha, A.A.; Dmitrenok, P.S. A holothurian triterpene glycoside holothurin A2 (= echinoside A) isolated from the starfish Choriaster granulatus. Nat. Prod. Commun. 2019, 14, 1–3. [Google Scholar] [CrossRef]
- Afiyatullov, S.S.; Kalinovsky, A.I.; Stonik, V.A. Structures of cucumariosides C1 and C2–two new triterpene glycosides from the holothurian Eupentacta fraudatrix. Chem. Nat. Comp. 1987, 23, 691–696. [Google Scholar] [CrossRef]
- Silchenko, A.S.; Kalinovsky, A.I.; Avilov, S.A.; Andrijaschenko, P.V.; Dmitrenok, P.S.; Martyyas, E.A.; Kalinin, V.I. Triterpene glycosides from the sea cucumber Eupentacta fraudatrix. Structure and cytotoxic action of cucumariosides A2, A7, A9, A10, A11, A13 and A14, seven new minor non-sulfated tetraosides and an aglycone with an uncommon 18-hydroxy group. Nat. Prod. Commun. 2012, 7, 845–852. [Google Scholar] [CrossRef]
- Silchenko, A.S.; Kalinovsky, A.I.; Avilov, S.A.; Andryjaschenko, P.V.; Dmitrenok, P.S.; Martyyas, E.A.; Kalinin, V.I. Triterpene glycosides from the sea cucumber Eupentacta fraudatrix. Structure and biological action of cucumariosides I1, I3, I4, three new minor disulfated pentaosides. Nat. Prod. Commun. 2013, 8, 1053–1058. [Google Scholar] [CrossRef] [PubMed]
- Silchenko, A.S.; Kalinovsky, A.I.; Avilov, S.A.; Andryjaschenko, P.V.; Dmitrenok, P.S.; Martyyas, E.A.; Kalinin, V.I. Triterpene glycosides from the sea cucumber Eupentacta fraudatrix. Structure and biological action of cucumariosides A1, A3, A4, A5, A6, A12 and A15, seven new minor non-sulfated tetraosides and unprecedented 25-keto, 27-norholostane aglycone. Nat. Prod. Commun. 2012, 7, 517–525. [Google Scholar] [CrossRef]
- Schlösser, E. Interaction of saponins with cholesterol, lecithin, and albumin. Can. J. Physiol. Pharmacol. 1969, 47, 487–490. [Google Scholar] [CrossRef] [PubMed]
- De Geyter, E.; Swevers, L.; Soin, T.; Geelen, D.; Smagghe, G. Saponins do not affect the ecdysteroid receptor complex but cause membrane permeation in insect culture cell lines. J. Insect. Physiol. 2012, 58, 18–23. [Google Scholar] [CrossRef]
- Böttger, S.; Melzig, M.F. The influence of saponins on cell membrane cholesterol. Bioorg. Med. Chem. 2013, 21, 7118–7124. [Google Scholar] [CrossRef] [PubMed]
- Wojciechowski, K.; Orczyk, M.; Gutberlet, T.; Geue, T. Complexation of phospholipids and cholesterol by triterpenic saponins in bulk and in monolayers. Biochim. Biophys. Acta Biomembr. 2016, 1858, 363–373. [Google Scholar] [CrossRef]
- Wang, J.; Han, H.; Chen, X.; Yi, Y.; Sun, H. Cytotoxic and apoptosis-inducing activity of triterpene glycosides from Holothuria scabra and Cucumaria frondosa against HepG2 cells. Mar. Drugs 2014, 12, 4274–4290. [Google Scholar] [CrossRef] [PubMed]
- Popov, A.M.; Kalinovskaia, N.I.; Kuznetsova, T.A.; Agafonova, I.G.; Anisimov, M.M. Role of sterols in the membranotropic activity of triterpene glycosides. Antibiotiki 1983, 28, 656–659. [Google Scholar]
- Popov, R.S.; Ivanchina, N.V.; Silchenko, A.S.; Avilov, S.A.; Kalinin, V.I.; Dolmatov, I.Y.; Stonik, V.A.; Dmitrenok, P.S. Metabolite profiling of triterpene glycosides of the Far Eastern sea cucumber Eupentacta fraudatrix and their distribution in various body components using LC-ESI QTOF-MS. Mar. Drugs 2017, 15, 302. [Google Scholar] [CrossRef]
- Sea Stars of the Pacific Northwest. Available online: https://seastarsofthepacificnorthwest.info/northern-sun-star.html (accessed on 16 February 2021).
- Ivanchina, N.V.; Kicha, A.A.; Kalinovsky, A.I.; Dmitrenok, P.S.; Dmitrenok, A.S.; Chaikina, E.L.; Stonik, V.A.; Gavagin, M.; Cimino, G. Polar steroids compounds from the Far Eastern starfish Henricia leviuscula. J. Nat. Prod. 2006, 69, 224–228. [Google Scholar] [CrossRef]




| Position | 1 | 2 | 3 | |||
|---|---|---|---|---|---|---|
| δH | δC | δH | δC | δH | δC | |
| 1 | 1.49 m | 36.3 | 1.48 m | 35.9 | 1.48 m | 36.4 |
| 2 | 2.21 m 1.96 m | 27.2 | 2.16 m 1.89 m | 26.9 | 2.19 m 1.94 m | 27.3 |
| 3 | 3.35 dd (11.6, 4.1) | 89.1 | 3.31 dd (11.7, 3.8) | 88.9 | 3.34 dd (11.5, 3.9) | 89.3 |
| 4 | - | 39.7 | - | 39.4 | - | 39.8 |
| 5 | 1.06 m | 48.1 | 1.00 dd (11.9, 3.6) | 47.5 | 1.06 m | 48.3 |
| 6 | 2.08 m | 23.4 | 2.07 m 1.97 m | 23.3 | 2.06 m 1.93 m | 23.6 |
| 7 | 5.68 m | 121.1 | 5.64 brd (7.1) | 122.6 | 5.68 brs | 120.7 |
| 8 | - | 145.3 | - | 147.4 | - | 145.9 |
| 9 | 3.44 brd (14.2) | 47.4 | 3.00 brd (14.6) | 46.4 | 3.48 brd (13.5) | 47.4 |
| 10 | - | 35.8 | - | 35.5 | - | 35.8 |
| 11 | 1.88 m 1.60 m | 22.5 | 2.00 m 1.47 m | 21.7 | 1.81 m 1.55 m | 22.8 |
| 12 | 2.15 m 2.02 m | 30.7 | 2.37 m 1.88 m | 20.0 | 2.16 m 2.00 m | 31.6 |
| 13 | - | 59.1 | - | 56.7 | - | 59.5 |
| 14 | - | 48.2 | - | 46.0 | - | 47.7 |
| 15 | 2.58 dd (12.5, 7.2) 1.70 m | 43.3 | 2.16 d (13.3) 1.97 dd (13.3, 2.2) | 43.8 | 2.63 dd (12.4, 7.4) 1.75 m | 43.9 |
| 16 | 5.81 q (8.3) | 73.6 | 4.74 brd (2.2) | 80.4 | 5.96 q (8.7) | 75.2 |
| 17 | 3.01 d (8.3) | 56.8 | 2.94 s | 59.1 | 2.66 d (9.5) | 54.8 |
| 18 | - | 178.5 | - | 180.7 | - | 179.7 |
| 19 | 1.24 s | 24.1 | 1.02 s | 23.9 | 1.23 s | 24.2 |
| 20 | - | 82.4 | - | 139.9 | - | 85.2 |
| 21 | 1.56 s | 28.9 | 1.75 s | 23.0 | 1.53 s | 28.5 |
| 22 | 7.28 d (16.0) | 159.4 | 5.06 s 4.98 s | 113.9 | 2.57 td (12.0, 4.4) 1.93 m | 38.9 |
| 23 | 6.46 dd (16.0, 7.6) | 127.6 | - | - | 2.07 m2.01 m | 23.6 |
| 24 | 9.78 d (7.6) | 193.1 | - | - | 5.12 m | 124.4 |
| 25 | - | - | - | - | - | 132.1 |
| 26 | - | - | - | - | 1.59 s | 17.9 |
| 27 | - | - | - | - | 1.65 s | 25.7 |
| 30 | 1.17 s | 17.6 | 1.12 s | 17.3 | 1.15 s | 17.7 |
| 31 | 1.32 s | 28.7 | 1.30 s | 28.6 | 1.31 s | 29.0 |
| 32 | 1.15 s | 32.3 | 1.35 s | 33.9 | 1.17 s | 32.4 |
| CO | - | 169.7 | - | - | - | 170.0 |
| CH3-CO | 1.86 s | 21.1 | - | - | 2.01 s | 21.2 |
| Position | 1–3 | |||
|---|---|---|---|---|
| δH | δC | HMBC | ROESY | |
| Xyl-I | ||||
| 1 | 4.84 d (7.1) | 105.0 | C3-Agl; C5-Xyl-I | H3, H30-Agl; H3, H5-Xyl-I |
| 2 | 3.91 dd (8.7, 7.1) | 83.2 | C1, C3-Xyl-I; C1-Qui | H4-Xyl-I |
| 3 | 4.19 t (8.7) | 77.8 | C2, C4-Xyl-I | H1-Xyl-I |
| 4 | 4.11 m | 70.2 | C3-Xyl-I | H2-Xyl-I |
| 5 | 4.32 dd (11.6, 5.4) 3.69 dd (11.6, 9.3) | 66.5 | C1, C3-Xyl-I C1, C3-Xyl-I | H1-Xyl-I |
| Qui | ||||
| 1 | 5.20 d (7.3) | 103.0 | C2-Xyl-I | H3, H5-Qui; H2-Xyl-I |
| 2 | 4.11 m | 82.7 | C1, C3-Qui; C1-Xyl-II | |
| 3 | 4.09 m | 75.6 | C2, C4-Qui | H1-Qui |
| 4 | 3.61 m | 86.5 | C3, C5, C6-Qui; C1-Glc | H1-Glc; H6-Qui |
| 5 | 3.67 m | 71.0 | C4-Qui | H1-Qui |
| 6 | 1.70 d (6.5) | 17.9 | C4, C5-Qui | H4-Qui |
| Glc | ||||
| 1 | 4.94 d (7.9) | 104.7 | C4-Qui | H4-Qui; H3, H5-Glc |
| 2 | 4.00 m | 73.8 | C1, C3-Glc | |
| 3 | 4.21 t (9.0) | 87.1 | C2, C4-Glc | H1-3-OMe-Xyl; H1, H5-Glc |
| 4 | 4.05 t (9.0) | 69.3 | C3, C5, C6-Glc | |
| 5 | 3.99 m | 77.8 | H1, H3-Glc | |
| 6 | 4.47 dd (11.5, 2.6) 4.20 m | 61.7 | ||
| 3-OMe-Xyl | ||||
| 1 | 5.21 d (7.6) | 106.0 | C3-Glc; C5-3-OMe-Xyl | H3, H5-3-OMeXyl; H3-Glc |
| 2 | 3.94 t (8.4) | 74.6 | C1, C3-3-OMe-Xyl | H4-3-OMe-Xyl |
| 3 | 3.60 t (8.8) | 87.7 | C2, C4-3-OMe-Xyl; OMe | H1-3-OMe-Xyl; OMe |
| 4 | 4.08 m | 69.9 | H2-3-OMe-Xyl | |
| 5 | 4.21 dd (11.3, 5.5) 3.63 t (11.3) | 67.0 | C1, C3-3-OMe-Xyl C1, C3, C4-3-OMe-Xyl | H1-3-OMe-Xyl |
| 3-OMe | 3.85 s | 60.4 | C3-3-OMe-Xyl | H3-3-OMe-Xyl |
| Xyl-II | ||||
| 1 | 5.36 d (7.0) | 105.8 | C2-Qui; C5-Xyl-II | H3, H5-Xyl-II; H2-Qui |
| 2 | 4.04 m | 75.5 | C1, C3-Xyl-II | |
| 3 | 4.10 t (8.1) | 77.0 | C2, C4-Xyl-II | H1-Xyl-II |
| 4 | 4.12 m | 70.4 | C3-Xyl-II | |
| 5 | 4.33 dd (11.7, 4.6) 3.65 dd (11.7, 9.6) | 66.9 | C1, C3, C4-Xyl-II C1, C4, C5-Xyl-II | H1-Xyl-II |
| Compound | Inhibiting Concentration, (IC50), µM | |||||||
|---|---|---|---|---|---|---|---|---|
| HEK 293 | HT-29 | RPMI-7951 | MDA-MB-231 | |||||
| a | b | a | b | a | b | a | b | |
| 1 | >40 | n.d. | >40 | n.d. | >40 | n.d. | >40 | n.d. |
| 2 | 28.6 ± 2.1 | >40 | 26.2 ± 2.5 | >40 | 20.4 ± 1.6 | >40 | 21.5 ± 0.5 | >40 |
| 3 | 6.7 ± 0.2 | 24.2 ± 4.0 | 6.2 ± 0.3 | 19.4 ± 3.3 | 23.7 ± 0.4 | >40 | 6.4 ± 0.4 | 20.0 ± 4.7 |
| 4 | 5.5 ± 0.3 | 17.3 ± 0.8 | 5.3 ± 0.2 | 14.3 ± 3.0 | 5.8 ± 1.2 | 16.4 ± 3.1 | 3.6 ± 0.2 | 12.8 ± 0.7 |
| 5 | 7.9 ± 0.9 | 19.5 ± 1.2 | 5.5 ± 0.6 | 15.9 ± 0.26 | 5.9 ± 0.9 | 17.0 ± 2.8 | 4.4 ± 0.09 | 12.9 ± 2.5 |
| 6 | 6.3 ± 0.6 | 13.2 ± 0.5 | 7.8 ± 0.7 | 10.9 ± 0.05 | 5.8 ± 2.6 | 11.4 ± 0.8 | 5.5 ± 0.1 | 10.5 ± 1.8 |
Publisher’s Note: MDPI stays neutral with regard to jurisdictional claims in published maps and institutional affiliations. |
© 2021 by the authors. Licensee MDPI, Basel, Switzerland. This article is an open access article distributed under the terms and conditions of the Creative Commons Attribution (CC BY) license (http://creativecommons.org/licenses/by/4.0/).
Share and Cite
Malyarenko, T.V.; Kicha, A.A.; Kalinovsky, A.I.; Dmitrenok, P.S.; Malyarenko, O.S.; Kuzmich, A.S.; Stonik, V.A.; Ivanchina, N.V. New Triterpene Glycosides from the Far Eastern Starfish Solaster pacificus and Their Biological Activity. Biomolecules 2021, 11, 427. https://doi.org/10.3390/biom11030427
Malyarenko TV, Kicha AA, Kalinovsky AI, Dmitrenok PS, Malyarenko OS, Kuzmich AS, Stonik VA, Ivanchina NV. New Triterpene Glycosides from the Far Eastern Starfish Solaster pacificus and Their Biological Activity. Biomolecules. 2021; 11(3):427. https://doi.org/10.3390/biom11030427
Chicago/Turabian StyleMalyarenko, Timofey V., Alla A. Kicha, Anatoly I. Kalinovsky, Pavel S. Dmitrenok, Olesya S. Malyarenko, Alexandra S. Kuzmich, Valentin A. Stonik, and Natalia V. Ivanchina. 2021. "New Triterpene Glycosides from the Far Eastern Starfish Solaster pacificus and Their Biological Activity" Biomolecules 11, no. 3: 427. https://doi.org/10.3390/biom11030427
APA StyleMalyarenko, T. V., Kicha, A. A., Kalinovsky, A. I., Dmitrenok, P. S., Malyarenko, O. S., Kuzmich, A. S., Stonik, V. A., & Ivanchina, N. V. (2021). New Triterpene Glycosides from the Far Eastern Starfish Solaster pacificus and Their Biological Activity. Biomolecules, 11(3), 427. https://doi.org/10.3390/biom11030427

