3C 120 Disk/Corona vs. Jet Variability in X-rays
Abstract
1. Introduction
2. Observations and Data Reduction
2.1. Planck
2.2. XMM-Newton/EPIC
2.3. Swift
2.4. Suzaku
2.5. INTEGRAL
3. Data Analysis
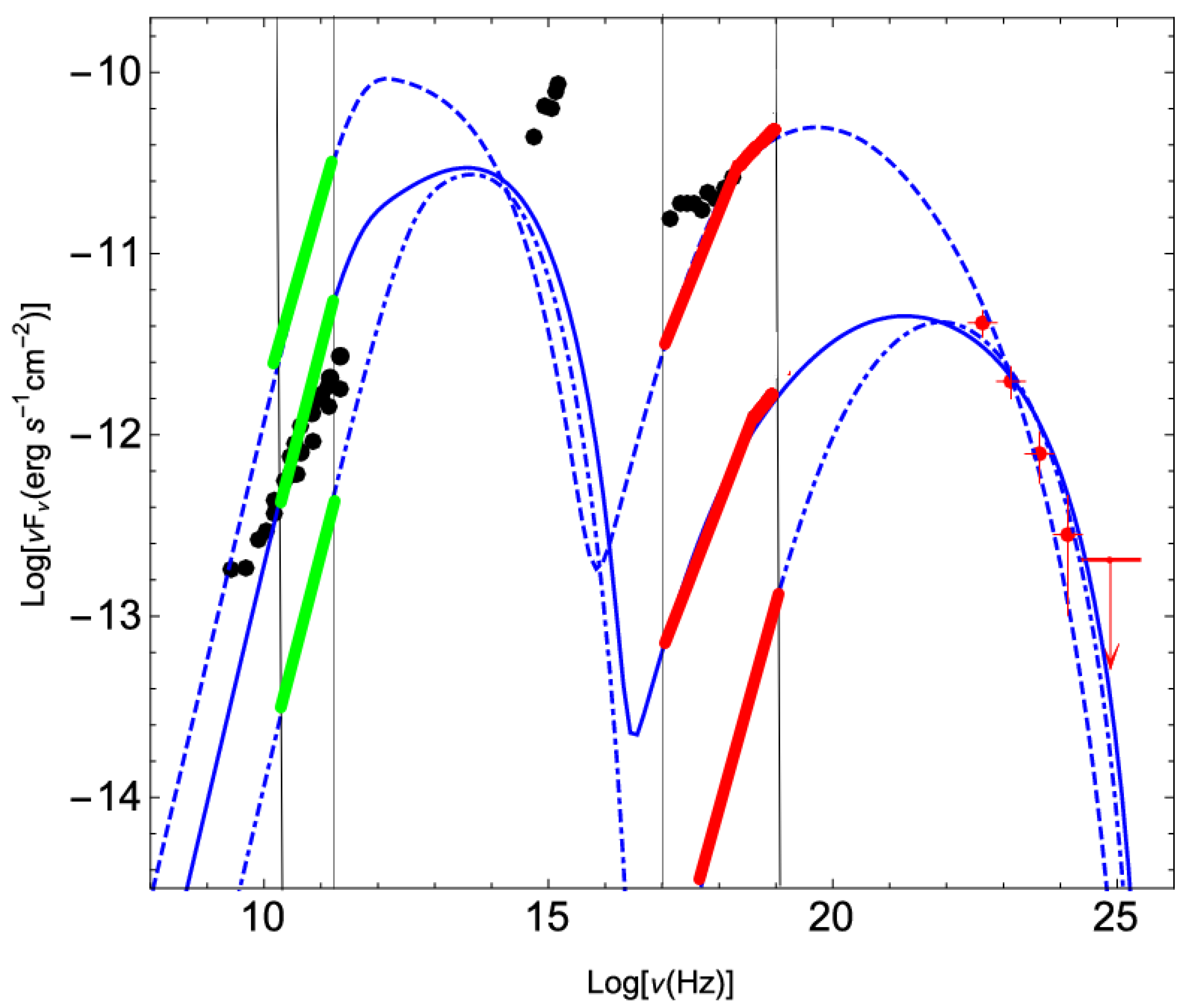
3.1. Distinguishing Nuclear and Jet Base Spectral Components
- Absorbed segment or “lower knee”, power-law with the slope near 1.5;
- Peak or plateau segment near the break energy;
- Transparent segment or “upper knee”, power-law with the slope .

3.2. X-ray Spectrum Fitting
- Fe K 6.4 keV emission line, represented here by the Gaussian model;
- The jet base SSC/IC emission (represented by the broken power-law with no cut-off bknpo model): if and for , with the lower photon index frozen to the value 1.24 obtained from the fitting of the Planck spectrum; the break energy and upper photon index were left free to vary.
- Fitting the 15–300 keV continuum using the cutoffpl model (with the photon index and high-energy exponential cut-off values free to vary) and the broken power-law model for the jet base SSC/IC emission (with the lower photon index frozen to the value 1.24 and break energy and upper photon index free to vary) allows us to obtain constraints on the parameters , , (photon index of the nuclear spectrum), and (high energy exponential cut-off of the primary emission of the nucleus);
- Fitting the 3–300 keV continuum, excluding the 5–7 keV range where the Fe-K emission lines are visible, using the model that includes the jet and the nuclear continuum emission: (xillver-comp()∗high-cut() + bknpo())∗tbabs()∗const with = 1.24 and the other parameters used in the previous step (E, , , E frozen, or confined within the error level to the values obtained in the previous step). Having performed this step, we obtain the values of the thermal (electronic temperature T) and ionization (potential ) parameters of the nuclear continuum, as well as the proper absorption and the fluxes corresponding to the jet and nuclear components;
- The 5–7 keV range fitting using the Gaussian emission line plus the jet and nuclear continuum models with the parameters frozen to the values obtained in the previous steps. The latter gives us the emission line parameters: line energy and width , equivalent width EW, in a 5–7 kev line flux.
3.3. Nuclear Continuum Flux vs. Fe-K Line Flux
3.4. Correlation of Parameters
4. Discussion
- Silent full-disc phase: The jet is weak or absent, the disc continues into its innermost stable orbit, and an object looks similar to a classical RQ AGN with prominent emission lines and high values (i.e., above 100 keV) of exponential high-energy cut-off in the corona/disk continuum;
- Phase of instability: The inner part of the disc becomes unstable, ionized, and/or heated, turbulent, and radiatively inefficient, causing luminescent Fe-K lines to weaken. At the same time, recombination lines of strongly ionized iron, such as the 6.58 keV Fe XXII and 6.64 keV Fe XXIV, can appear. During this phase, lower values of high-energy exponential cut-off in the primary nuclear continuum (below 100 keV) can be observed, and jet appearances are still weak or even absent;
- Jet outburst: Jet power increases rapidly and significantly. During this phase, the jet emission dominates, whereas the nuclear continuum can be invisible or weak in comparison with the jet component, with the exponential cut-off below 100 keV. The emission lines are weak as well. AGN looks similar to a typical RL at this stage;
- Jet exhausting: The jet power gradually decreases to the “normal” value or even lower. During this phase, the jet emission is no longer dominant, and the nuclear continuum can be at a similar level, with the exponential cut-off below 100 keV. The emission lines are typically weak at this stage;
- Disc refilling: The accretion disc begins to refill. During this phase, the AGN can look similar to an RQ AGN again. It can be characterized by the “weakness” of all of its counterparts: the flux from the jet base is zero-compatible, the iron K lines are weak (if present), and the exponential cut-off in the primary nuclear continuum is below 100 keV.
- Quiescence: The jet is weak with its normal flux values; within the outer magnetically turbulent zone, there are small-scale plasmoids that form;
- Plasmoid envelope: The “monster” plasmoid forms and begins to move inwards down to the central black hole;
- Jet flare: The “monster” reconnects to the jet, inflicting the fast and significant growth of the jet power and curving the jet;
- Jet shape regain: The jet power gradually returns to its “quiescent” values; the jet itself regains its initial (i.e., direct) shape.
5. Conclusions
- We applied the recipes proposed in [27] to separate the “jet base” and “central engine” spectral components in the case of AGN 3C 120 in the range from X-ray to soft -ray spectrum for 20 periods of observations by Suzaku/XIS, XMM-Newton/EPIC, SWIFT, and INTEGRAL/ISGRI. Despite the close values of the photon indices corresponding to the jet base and primary nuclear emission, the results of the distinguishing components look optimistic enough.
- Our fitting results are in good agreement with the “jet-disc cycle” model [7].
- The maximal values of the Fe K line-equivalent widths obtained during the “silent” phases are in satisfactory agreement with the values typical for RQ AGN.
Author Contributions
Funding
Data Availability Statement
Acknowledgments
Conflicts of Interest
Sample Availability
Appendix A. Observations LOG
| obsID | Obs. | Obs. Time, | Total EPIC |
|---|---|---|---|
| Date | ks | Flux, cts | |
| 0109131101 | 2002-09-06 | 11.9 | 262,349 |
| 0152840101 | 2003-08-26 | 123.5 | 1,275,340 |
| 0693781601 | 2013-02-06 | 52.9 | 1,271,861 |
| 0693782401 | 2013-02-08 | 27.7 | 743,677 |
| total | 2013-02 | 80.6 | 2015538 |
| Obs. | XRT Exp., | XRT Flux | XRT Mode | BAT Exp. | BAT Flux |
|---|---|---|---|---|---|
| Date | ks | cts | ks | cts | |
| 2007 | 10.7 | 623 | pc | 9.5 | 0 |
| 2008 | 26.4 | 1411 | pc | 26.4 | 0 |
| 2011 | 14.2 | 1910 | pc | 14.2 | 0 |
| 2012/01 | 14.2 | 1712 | pc | 14.2 | 290 |
| 2012/02 | 9.7 | 1808 | wt | 9.2 | 650 |
| 2012/03 | 14.3 | 1852 | wt | 14.3 | 106 |
| 2012/04 | 6.7 | 975 | pc/wt | 6.7 | 0 |
| 2012/12 | 9.7 | 3074 | pc/wt | 4.3 | 0 |
| 2013/01 | 18.3 | 2044 | pc/wt | 4.4 | 200 |
| 2013/02 | 22.8 | 2046 | pc/wt | 14.8 | 490 |
| 2013/03 | 10.8 | 5798 | pc/wt | 10.9 | 90 |
| 2014/10 | 4.2 | 679 | wt | 4.3 | 0 |
| 2016/04 | 9.3 | 1272 | pc/wt | 9.5 | 110 |
| 2016/07 | 8.8 | 960 | wt | 8.8 | 150 |
| 2016/08 | 16.1 | 2015 | pc/wt | 16.3 | 680 |
| 2016/09 | 10.9 | 1500 | wt | 10.5 | 300 |
| 2016/10 | 10.2 | 1600 | wt | 12.3 | 480 |
| 2016/11 | 12.2 | 1600 | wt | 11.9 | 520 |
| 2016/12 | 12.0 | 1500 | wt | 11.5 | 360 |
| 2017/01 | 11.7 | 1991 | wt | 11.4 | 1390 |
| 2017/02 | 13.2 | 2021 | wt | 12.9 | 1570 |
| 2017/03 | 12.8 | 2200 | wt | 11.2 | 1550 |
| 2018/03 | 1.0 | 330 | pc | 1.0 | 100 |
| 2020 | 26.0 | 4246 | wt | 27.6 | 420 |
| obsID | Obs. | Obs. Time, | Total Flux |
|---|---|---|---|
| Date | ks | cts | |
| 700001010 | 2006-02-09 | 41.9 | 448,401 |
| 700001020 | 2006-02-16 | 41.6 | 350,606 |
| 700001030 | 2006-02-23 | 40.9 | 417,900 |
| 700001040 | 2006-03-02 | 40.9 | 360,368 |
| Total | 165.3 | 1,577,275 | |
| 706042010 | 2012-02-09 | 183.0 | 1,581,225 |
| 706042020 | 2012-02-14 | 118.1 | 1,020,452 |
| Total | 301.1 | 2,601,677 |
| Data | Obs. | Obs. Time, | Data | obs. | Obs. Time, | Data | Obs. | Obs. Time, |
|---|---|---|---|---|---|---|---|---|
| rev | Date | ks | rev | Date | ks | rev | Date | ks |
| 0338 | 2005-07 | 1.1 | 1378 | 2014-01 | 30.0 | 2070 | 2019-03 | 10.0 |
| 0343 | 2005-08 | 79.0 | 1379 | 2014-01 | 63.0 | 2076 | 2019-04 | 13.0 |
| 0344 | 2005-08 | 183.0 | 1439 | 2014-07 | 3.4 | 2121 | 2019-08 | 175.0 |
| 0346 | 2005-08 | 112.0 | 1441 | 2014-08 | 102.3 | 2123 | 2019-08 | 168.0 |
| total | 375.1 | 1442 | 2014-08 | 171.0 | 2124 | 2019-08 | 113.5 | |
| 0483 | 2006-09 | 49.0 | 1444 | 2014-08 | 15.0 | 2126 | 2019-08 | 14.0 |
| 0487 | 2006-10 | 63.0 | 1445 | 2014-08 | 3.5 | 2127 | 2019-08 | 10.0 |
| total | 112.0 | 1446 | 2014-08 | 13.0 | 2136 | 2019-09 | 13.0 | |
| 0530 | 2007-01 | 17.0 | 1447 | 2014-08 | 75.0 | 2137 | 2019-09 | 20.5 |
| 0532 | 2007-02 | 57.8 | 1456 | 2014-08 | 5.3 | 2143 | 2019-10 | 175.0 |
| 0538 | 2007-03 | 64.6 | 1457 | 2014-09 | 49.0 | 2148 | 2019-10 | 20.0 |
| 0543 | 2007-03 | 25.5 | 1459 | 2014-09 | 15.0 | total | 731.5 | |
| 0548 | 2007-04 | 36.0 | 1463 | 2014-10 | 6.5 | 2187 | 2020-01 | 153.5 |
| 0588 | 2007-08 | 4.0 | total | 552.0 | 2188 | 2020-01 | 189.5 | |
| 0589 | 2007-08 | 70.0 | 1503 | 2015-02 | 92.4 | 2189 | 2020-02 | 180.0 |
| 0590 | 2008-08 | 57.8 | 1504 | 2015-02 | 8.8 | 2194 | 2020-02 | 6.6 |
| 0591 | 2008-08 | 57.8 | 1505 | 2015-02 | 10.0 | 2198 | 2020-02 | 22.4 |
| total | 373.5 | 1520 | 2015-03 | 31.0 | total | 552.0 | ||
| 0650 | 2008-02 | 22.2 | 1523 | 2015-03 | 33.0 | 2210 | 2020-03 | 19.2 |
| 0656 | 2008-02 | 68.0 | 1524 | 2015-03 | 37.0 | 2212 | 2020-04 | 19.3 |
| 0659 | 2008-03 | 52.5 | 1528 | 2015-03 | 16.0 | 2217 | 2020-04 | 33.0 |
| total | 142.7 | 1575 | 2015-08 | 20.0 | total | 52.3 | ||
| 1073 | 2011-07 | 6.5 | 1577 | 2015-08 | 54.0 | 2257 | 2020-07 | 75.6 |
| 1075 | 2011-08 | 1.1 | 1581 | 2015-09 | 45.5 | 2258 | 2020-08 | 73.6 |
| 1077 | 2011-08 | 1.0 | 1584 | 2015-09 | 30.0 | 2259 | 2020-08 | 67.2 |
| total | 8.6 | 1593 | 2015-09 | 34.0 | 2260 | 2020-08 | 83.2 | |
| 1252 | 2013-01 | 1.2 | total | 411.7 | 2261 | 2020-08 | 52.5 | |
| 1254 | 2013-01 | 1.1 | 1644 | 2016-02 | 59.5 | 2263 | 2020-08 | 13.2 |
| 1256 | 2013-01 | 23.0 | 1660 | 2016-03 | 21.0 | 2265 | 2020-08 | 59.4 |
| 1257 | 2013-01 | 13.0 | 1664 | 2016-04 | 28.0 | 2266 | 2020-08 | 59.4 |
| 1258 | 2013-02 | 135.0 | total | 108.5 | 2267 | 2020-08 | 89.6 | |
| 1259 | 2013-02 | 135.0 | 1781 | 2017-02 | 3.5 | total | 484.1 | |
| 1260 | 2013-02 | 3.3 | 1794 | 2017-03 | 17.0 | 2269 | 2020-09 | 79.2 |
| 1264 | 2103-02 | 23.3 | 1801 | 2017-04 | 13.0 | 2270 | 2020-09 | 73.5 |
| 1270 | 2013-03 | 15.0 | total | 33.5 | total | 152.7 | ||
| 1275 | 2013-03 | 1.3 | 1921 | 2018-02 | 3.3 | |||
| 1278 | 2013-04 | 10.0 | 1925 | 2018-03 | 3.3 | |||
| 1279 | 2013-04 | 40.0 | 1930 | 2018-03 | 9.7 | |||
| 1281 | 2013-04 | 5.6 | 1941 | 2018-04 | 20.0 | |||
| 1316 | 2013-07 | 18.0 | 1978 | 2018-07 | 1.0 | |||
| 1317 | 2013-07 | 25.0 | 1987 | 2018-08 | 8.3 | |||
| 1326 | 2013-08 | 23.0 | 1991 | 2018-09 | 6.5 | |||
| 1329 | 2013-09 | 6.7 | 1996 | 2018-09 | 6.5 | |||
| 1330 | 2013-09 | 19.2 | 2010 | 2018-10 | 13.0 | |||
| 1331 | 2013-09 | 59.5 | 2011 | 2018-10 | 25.6 | |||
| 1332 | 2013-09 | 59.5 | total | 123.7 | ||||
| 1333 | 2013-09 | 11.0 | ||||||
| 1338 | 2013-09 | 24.5 | ||||||
| total | 453.2 |
Appendix B. Spectra and Fits

Appendix C. Correlation of the Spectral Fitting Parameters




Appendix D. Dependencies of the Fitting Parameters on the Time



| 1 | https://www.isdc.unige.ch/heavens, accessed on 5 July 2021. |
| 2 | https://heasarc.gsfc.nasa.gov/lHEASoft/, accessed on 15 September 2022. |
| 3 | https://www.swift.ac.uk/analysis/bat/spectra.php, accessed on 3 March 2023. |
| 4 | https://heasarc.gsfc.nasa.gov/lHEASoft/ftools/headas/batdph2pha.html, accessed on 15 September 2022. |
| 5 | https://www.swift.ac.uk/, accessed on 11 October 2022. |
| 6 | https://darts.isas.jaxa.jp/astro/udon2/udon2-usage/, accessed on 3 March 2023. |
References
- Kellermann, K.I.; Sramek, R.; Schmidt, M.; Shaffer, D.B.; Green, R. VLA Observations of Objects in the Palomar Bright Quasar Survey. Astron. J. 1989, 98, 1195. [Google Scholar] [CrossRef]
- Sulentic, J.W.; Marziani, P.; Dultzin, D.; D’Onofrio, M.; del Olmo, A. Fifty Years of Quasars: Physical Insights and Potential for Cosmology. J. Phys. Conf. Ser. 2014, 565, 012018. [Google Scholar] [CrossRef]
- Chen, L.; Bai, J.M.; Zhang, J.; Liu, H.T. Possible γ-ray emission of radio intermediate AGN III Zw 2 and its implication on the evolution of jets in AGNs. Res. Astron. Astrophys. 2010, 10, 707–712. [Google Scholar] [CrossRef]
- Pierce, J.C.S.; Tadhunter, C.N.; Ramos Almeida, C.; Bessiere, P.S.; Rose, M. Do AGN triggering mechanisms vary with radio power?—I. Optical morphologies of radio-intermediate HERGs. Mon. Not. R. Astron. Soc. 2019, 487, 5490–5507. [Google Scholar] [CrossRef]
- Mundell, C.G.; Ferruit, P.; Nagar, N.; Wilson, A.S. Radio Variability in Seyfert Nuclei. Astrophys. J. 2009, 703, 802–815. [Google Scholar] [CrossRef]
- Shulevski, A.; Morganti, R.; Barthel, P.D.; Murgia, M.; van Weeren, R.J.; White, G.J.; Brüggen, M.; Kunert-Bajraszewska, M.; Jamrozy, M.; Best, P.N.; et al. The peculiar radio galaxy 4C 35.06: A case for recurrent AGN activity? Astron. Astrophys. 2015, 579, A27. [Google Scholar] [CrossRef]
- Lohfink, A.M.; Reynolds, C.S.; Jorstad, S.G.; Marscher, A.P.; Miller, E.D.; Aller, H.; Aller, M.F.; Brenneman, L.W.; Fabian, A.C.; Miller, J.M.; et al. An X-Ray View of the Jet Cycle in the Radio-loud AGN 3C120. Astrophys. J. 2013, 772, 83. [Google Scholar] [CrossRef]
- Marscher, A.P. Relativistic Jets in Blazars: Where the Action Is. In Proceedings of the Radio Astronomy at the Fringe; Astronomical Society of the Pacific Conference Series; Zensus, J.A., Cohen, M.H., Ros, E., Eds.; Astronomical Society of the Pacific: San Francisco, CA, USA, 2003; Volume 300, p. 133. [Google Scholar]
- Lavaux, G.; Hudson, M.J. The 2M++ galaxy redshift catalogue. Mon. Not. R. Astron. Soc. 2011, 416, 2840–2856. [Google Scholar] [CrossRef]
- Vorontsov-Vel’Yaminov, B.A.; Arkhipova, V.P. Morphological catalogue of galaxies. Part III. Catalogue of 6740 galaxies between declinations +15 and −9. Trudy Gos. Astron. Inst. 1963, 33, 1–260. [Google Scholar]
- Balick, B.; Heckman, T.M.; Crane, P.C. The large-scale radio structure of 3C 120. Astrophys. J. 1982, 254, 483–488. [Google Scholar] [CrossRef]
- Gómez, J.L.; Marscher, A.P.; Alberdi, A. 86, 43, and 22 GHz VLBI Observations of 3C 120. Astrophys. J. 1999, 521, L29–L32. [Google Scholar] [CrossRef]
- Pozo Nu nez, F.; Ramolla, M.; Westhues, C.; Bruckmann, C.; Haas, M.; Chini, R.; Steenbrugge, K.; Murphy, M. Photometric reverberation mapping of 3C 120. Astron. Astrophys. 2012, 545, A84. [Google Scholar] [CrossRef]
- Ballantyne, D.R.; Fabian, A.C.; Iwasawa, K. The XMM-Newton view of the broad-line radio galaxy 3C 120. Mon. Not. R. Astron. Soc. 2004, 354, 839–850. [Google Scholar] [CrossRef]
- Tombesi, F.; Mushotzky, R.F.; Reynolds, C.S.; Kallman, T.; Reeves, J.N.; Braito, V.; Ueda, Y.; Leutenegger, M.A.; Williams, B.J.; Stawarz, Ł.; et al. Feeding and Feedback in the Powerful Radio Galaxy 3C 120. Astrophys. J. 2017, 838, 16. [Google Scholar] [CrossRef]
- Kataoka, J.; Reeves, J.N.; Iwasawa, K.; Markowitz, A.G.; Mushotzky, R.F.; Arimoto, M.; Takahashi, T.; Tsubuku, Y.; Ushio, M.; Watanabe, S.; et al. Probing the Disk-Jet Connection of the Radio Galaxy 3C 120 Observed with Suzaku. Publ. Astron. Soc. Jpn. 2007, 59, 279–297. [Google Scholar] [CrossRef]
- Fedorova, E.; Vasylenko, A.; Zhdanov, V. Peculiar AGNs from the INTEGRAL and RXTE data. Bull. Taras Shevchenko Natl. Univ. Kyiv Astron. 2017, 55, 29–34. [Google Scholar] [CrossRef]
- Rani, P.; Stalin, C.S. Coronal Proerties of the Seyfert 1 Galaxy 3C 120 with NuSTAR. Astrophys. J. 2018, 856, 120. [Google Scholar] [CrossRef]
- Zargaryan, D.; Gasparyan, S.; Baghmanyan, V.; Sahakyan, N. Comparing 3C 120 jet emission at small and large scales. Astron. Astrophys. 2017, 608, A37. [Google Scholar] [CrossRef]
- Zdziarski, A.A.; Egron, E. What are the Composition and Power of the Jet in Cyg X-1? Astrophys. J. 2022, 935, L4. [Google Scholar] [CrossRef]
- Marscher, A.P.; Jorstad, S.G.; Gómez, J.L.; Aller, M.F.; Teräsranta, H.; Lister, M.L.; Stirling, A.M. Observational evidence for the accretion-disk origin for a radio jet in an active galaxy. Nature 2002, 417, 625–627. [Google Scholar] [CrossRef] [PubMed]
- Chatterjee, R. X-ray Dips and Superluminal Ejections in the Radio Galaxy 3C 120. In Proceedings of the Radio Galaxies in the Chandra Era, Cambridge, MA, USA, 8–11 July 2008; p. 55. [Google Scholar]
- Casadio, C.; Gómez, J.; Jorstad, S.; Marscher, A.; Grandi, P.; Larionov, V.; Lister, M.; Smith, P.; Gurwell, M.; Lähteenmäki, A.; et al. The Connection between the Radio Jet and the γ-ray Emission in the Radio Galaxy 3C 120 and the Blazar CTA 102. Galaxies 2016, 4, 34. [Google Scholar] [CrossRef]
- Rulten, C.B.; Brown, A.M.; Chadwick, P.M. A search for Centaurus A-like features in the spectra of Fermi-LAT detected radio galaxies. Mon. Not. R. Astron. Soc. 2020, 492, 4666–4679. [Google Scholar] [CrossRef]
- Shukla, A.; Mannheim, K. Gamma-ray flares from relativistic magnetic reconnection in the jet of the quasar 3C 279. Nat. Commun. 2020, 11, 4176. [Google Scholar] [CrossRef]
- Shende, M.B.; Subramanian, P.; Sachdeva, N. Episodic Jets from Black Hole Accretion Disks. Astrophys. J. 2019, 877, 130. [Google Scholar] [CrossRef]
- Fedorova, E.; Hnatyk, B.I.; Zhdanov, V.I.; Del Popolo, A. X-ray Properties of 3C 111: Separation of Primary Nuclear Emission and Jet Continuum. Universe 2020, 6, 219. [Google Scholar] [CrossRef]
- Condon, J.J.; Ransom, S.M. Essential Radio Astronomy; Princeton University Press: Princeton, NJ, USA, 2016. [Google Scholar]
- Padovani, P. On the two main classes of active galactic nuclei. Nat. Astron. 2017, 1, 0194. [Google Scholar] [CrossRef]
- Körding, E.G.; Jester, S.; Fender, R. Accretion states and radio loudness in active galactic nuclei: Analogies with X-ray binaries. Mon. Not. R. Astron. Soc. 2006, 372, 1366–1378. [Google Scholar] [CrossRef]
- Fedorova, E.; Hnatyk, B.; Del Popolo, A.; Vasylenko, A.; Voitsekhovskyi, V. Non-Thermal Emission from Radio-Loud AGN Jets: Radio vs. X-rays. Galaxies 2022, 10, 6. [Google Scholar] [CrossRef]
- Beckmann, V.; Shrader, C.R. Active Galactic Nuclei; Wiley-VCH Verlag GmbH & Co. KGaA: Weinheim, Germany, 2012. [Google Scholar]
- Wilson, A.S. X-ray emission processes in extragalactic jets, lobes and hot spots. New Astron. Rev. 2003, 47, 417–421. [Google Scholar] [CrossRef]
- Massaro, E.; Tramacere, A.; Perri, M.; Giommi, P.; Tosti, G. Log-parabolic spectra and particle acceleration in blazars. III. SSC emission in the TeV band from Mkn501. Astron. Astrophys. 2006, 448, 861–871. [Google Scholar] [CrossRef]
- Tramacere, A.; Giommi, P.; Perri, M.; Verrecchia, F.; Tosti, G. Swift observations of the very intense flaring activity of Mrk 421 during 2006. I. Phenomenological picture of electron acceleration and predictions for MeV/GeV emission. Astron. Astrophys. 2009, 501, 879–898. [Google Scholar] [CrossRef]
- Tramacere, A.; Massaro, E.; Taylor, A.M. Stochastic Acceleration and the Evolution of Spectral Distributions in Synchro-Self-Compton Sources: A Self-consistent Modeling of Blazars’ Flares. Astrophys. J. 2011, 739, 66. [Google Scholar] [CrossRef]
- Sahakyan, N.; Zargaryan, D.; Baghmanyan, V. On the gamma-ray emission from 3C 120. Astron. Astrophys. 2015, 574, A88. [Google Scholar] [CrossRef]
- Fabian, A.C.; Kara, E.; Parker, M.L. Relativistic Disc lines. In Proceedings of the Suzaku-MAXI 2014: Expanding the Frontiers of the X-ray Universe, Ehime University, Matsuyama, Japan, 19–22 February 2014; p. 279. [Google Scholar]
- Giommi, P.; Polenta, G.; Lähteenmäki, A.; Thompson, D.J.; Capalbi, M.; Cutini, S.; Gasparrini, D.; González-Nuevo, J.; León-Tavares, J.; López-Caniego, M.; et al. Simultaneous Planck, Swift, and Fermi observations of X-ray and γ-ray selected blazars. Astron. Astrophys. 2012, 541, A160. [Google Scholar] [CrossRef]
- Fabian, A.C. X-ray Reflections on AGN. In Proceedings of the The X-ray Universe 2005; Wilson, A., Ed.; ESA Special Publication: Madrid, Spain, 2006; Volume 604, p. 463. [Google Scholar]
- Fabian, A.C.; Ross, R.R. X-ray Reflection. Space Sci. Rev. 2010, 157, 167–176. [Google Scholar] [CrossRef]
- Ricci, C.; Ueda, Y.; Ichikawa, K.; Paltani, S.; Boissay, R.; Gandhi, P.; Stalevski, M.; Awaki, H. The narrow Fe Kα line and the molecular torus in active galactic nuclei: An IR/X-ray view. Astron. Astrophys. 2014, 567, A142. [Google Scholar] [CrossRef]
- Ludlam, R.M.; Miller, J.M.; Bachetti, M.; Barret, D.; Bostrom, A.C.; Cackett, E.M.; Degenaar, N.; Di Salvo, T.; Natalucci, L.; Tomsick, J.A.; et al. A Hard Look at the Neutron Stars and Accretion Disks in 4U 1636-53, GX 17+2, and 4U 1705-44 with NuStar. Astrophys. J. 2017, 836, 140. [Google Scholar] [CrossRef]
- García, J.; Kallman, T.R. X-ray Reflected Spectra from Accretion Disk Models. I. Constant Density Atmospheres. Astrophys. J. 2010, 718, 695–706. [Google Scholar] [CrossRef]
- García, J.; Dauser, T.; Reynolds, C.S.; Kallman, T.R.; McClintock, J.E.; Wilms, J.; Eikmann, W. X-Ray Reflected Spectra from Accretion Disk Models. III. A Complete Grid of Ionized Reflection Calculations. Astrophys. J. 2013, 768, 146. [Google Scholar] [CrossRef]
- Willingale, R.; Starling, R.L.C.; Beardmore, A.P.; Tanvir, N.R.; O’Brien, P.T. Calibration of X-ray absorption in our Galaxy. Mon. Not. R. Astron. Soc. 2013, 431, 394–404. [Google Scholar] [CrossRef]
- Janiak, M.; Sikora, M.; Moderski, R. Application of the spine-layer jet radiation model to outbursts in the broad-line radio galaxy 3C 120. Mon. Not. R. Astron. Soc. 2016, 458, 2360–2370. [Google Scholar] [CrossRef]
- Lubiński, P.; Beckmann, V.; Gibaud, L.; Paltani, S.; Papadakis, I.; Ricci, C.; Soldi, S.; Turler, M.; Walter, R.; Zdziarski, A.A. A comprehensive analysis of the hard X-ray spectra of bright Seyfert galaxies. Mon. Not. R. Astron. Soc. 2016, 458, 2454–2475. [Google Scholar] [CrossRef]
- Gofford, J.; Reeves, J.N.; Tombesi, F.; Braito, V.; Turner, T.J.; Miller, L.; Cappi, M. The Suzaku view of highly ionized outflows in AGN – I. Statistical detection and global absorber properties. Mon. Not. R. Astron. Soc. 2013, 430, 60–80. [Google Scholar] [CrossRef]
- Middei, R.; Bianchi, S.; Marinucci, A.; Matt, G.; Petrucci, P.O.; Tamborra, F.; Tortosa, A. Relations between phenomenological and physical parameters in the hot coronae of AGNs computed with the MoCA code. Astron. Astrophys. 2019, 630, A131. [Google Scholar] [CrossRef]
- de Jong, S.; Beckmann, V.; Mattana, F. The nature of the multi-wavelength emission of 3C 111. Astron. Astrophys. 2012, 545, A90. [Google Scholar] [CrossRef]
- Fukazawa, Y.; Finke, J.; Stawarz, Ł.; Tanaka, Y.; Itoh, R.; Tokuda, S. Suzaku Observations of γ-Ray Bright Radio Galaxies: Origin of the X-Ray Emission and Broadband Modeling. Astrophys. J. 2015, 798, 74. [Google Scholar] [CrossRef]
- Kardashev, N.S.; Novikov, I.D.; Shatskiy, A.A. Astrophysics of Wormholes. Int. J. Mod. Phys. D 2007, 16, 909–926. [Google Scholar] [CrossRef]
- Damour, T.; Solodukhin, S.N. Wormholes as black hole foils. Phys. Rev. D 2007, 76, 024016. [Google Scholar] [CrossRef]
- Gyulchev, G.; Kunz, J.; Nedkova, P.; Vetsov, T.; Yazadjiev, S. Observational signatures of strongly naked singularities: Image of the thin accretion disk. Eur. Phys. J. C 2020, 80, 1017. [Google Scholar] [CrossRef]
- Popov, V.S.; Karnakov, B.M.; Mur, V.D. Lorentz ionization of atoms in a strong magnetic field. Sov. J. Exp. Theor. Phys. 1999, 88, 902–912. [Google Scholar] [CrossRef]
- Tripathi, A.; Zhou, B.; Abdikamalov, A.B.; Ayzenberg, D.; Bambi, C. Search for traversable wormholes in active galactic nuclei using X-ray data. Phys. Rev. D 2020, 101, 064030. [Google Scholar] [CrossRef]
- Boettcher, M.; Reimer, A.; Sweeney, K.; Prakash, A. Leptonic and Hadronic Modeling of Fermi-Detected Blazar. Astrophys. J. 2013, 768, 54–68. [Google Scholar] [CrossRef]
- Cherenkov Telescope Array Consortium; Acharya, B.S.; Agudo, I.; Al Samarai, I.; Alfaro, R.; Alfaro, J.; Alispach, C.; Alves Batista, R.; Amans, J.P.; Amato, E.; et al. Science with the Cherenkov Telescope Array; World Scientific Publishing: Singapore, 2019. [Google Scholar] [CrossRef]







| N | Dates | Dataset | , keV | K | |
|---|---|---|---|---|---|
| 1 | 09/2002 | EPIC | - | - | - |
| 2 | 08/2003 | EPIC + JEM-X + ISGRI | 3.0 ± 1.5 | 189 ± 86 | 0.97 ± 0.10 (ISGRI) 0.75 ± 0.15 (JEMX) |
| 3 | 02/2006 | XIS + JEM-X + ISGRI | 3.6 ± 1.5 | 105 | 1.2 ± 0.4 (ISGRI) 1.0 ± 0.2 (JEMX) |
| 4 | 03–07/2007 | XRT + BAT + ISGRI | - | - | 1.03 ± 0.19 (ISGRI) 1.0 ± 0.2 (BAT) |
| 5 | 07–08/2008 | XRT + BAT + ISGRI | 2.1 ± 0.5 | 36 ± 23 | 0.8 ± 0.1 (ISGRI) 1.1 (BAT) |
| 6 | 08/2011 | XRT + BAT + ISGRI | <1.15 | 90 | 0.95 ± 0.06 (ISGRI) 0.8 ± 0.2 (BAT) |
| 7 | 01/2012 | XRT + BAT | 3.4 ± 2.0 | 67 | 2.0 |
| 8 | 02/2012 | XIS + XRT + BAT | >3.0 | >105 | 0.62 ± 0.08 |
| 9 | 03/2012 | XRT + BAT | 2.2 ± 0.5 | 50 ± 13 | 0.8 |
| 10 | 04/2012 | XRT + BAT | - | - | 1.3 ± 0.4 |
| 11 | 12/2012–03/2013 | XRT + BAT + ISGRI | - | - | 0.9 ± 0.2 (ISGRI) 0.6 (BAT) |
| 12 | 02/2013 | EPIC + BAT + ISGRI | - | - | 1.03 ± 0.18 (ISGRI) 0.83 ± 0.18 (BAT) |
| 13 | 10/2014 | XRT + ISGRI | 3.4 ± 0.9 | 25 | 1.2 ± 0.2 |
| 14 | 04/2016 | XRT + BAT + ISGRI | 3.6 ± 1.3 | 37 ± 10 | 0.6 |
| 15 | 07–09/2016 | XRT + BAT + ISGRI | 4.0 ± 1.2 | 39 ± 14 | 0.7 ± 0.1 (BAT), 1.0 ± 0.2 (ISGRI) |
| 16 | 11–12/2016 | XRT + BAT + ISGRI | 0.1 | 124 | 0.9 (BAT) 1.3 ± 0.6 (ISGRI) |
| 17 | 01–03/2017 | XRT + BAT + ISGRI | 2.1 ± 0.7 | 37 ± 18 | 1.6 ± 0.4 (BAT) 0.9 (ISGRI) |
| 18 | 12/2020 | XRT + BAT + ISGRI | - | - | 0.53 ± 0.09 (BAT) 1.9 |
| 19 | 11/2021 | XRT + BAT | - | - | 2.4 ± 1.1 |
| 20 | 01/2022 | XRT + BAT | - | - | 0.5 ± 0.2 |
| Variance | 2.21 | 12.04 | - | ||
| N | N, 10 cm | E, keV | kT, keV | lg | ||
|---|---|---|---|---|---|---|
| 1 | 2.0 ± 0.3 | 2.0 | unc. | 10 | 3.4 | 239.1/247 |
| 2 | 1.67 ± 0.18 | <0.01 | 33 | 9.5 ± 0.2 | 4.1 ± 0.1 | 1567.5/1257 |
| 3 | 1.68 | <0.03 | 22 | 8.2 ± 0.3 | 3.6 ± 0.1 | 1170.7/970 |
| 4 | 1.36 ± 0.16 | 1.8 ± 1.2 | 23 | 8.1 ± 0.5 | 3.5 | 51.7/44 |
| 5 | 1.59 | <0.84 | 44 | 8.8 ± 0.8 | 3.8 | 195.6/207 |
| 6 | 1.44 | 2.1 ± 0.9 | 23 | 8.4 ± 0.5 | 3.7 | 144.8/120 |
| 7 | 1.85 ± 0.19 | <2.1 | 71 | 29 | >3.65 | 101.2/119 |
| 8 | 2.09 ± 0.03 | <0.09 | 121 | 36 | 3.9 ± 0.1 | 2457.1/2035 |
| 9 | 2.9 ± 0.4 | <5.0 | unc. | <6.0 | <2.1 | 101.8/80 |
| 10 | 1.97 ± 0.18 | <3.7 | >51 | >7.0 | 3.4 | 44.1/45 |
| 11 | 2.0 ± 0.13 | 0.9 ± 0.5 | >326 | >24.0 | 3.8 ± 0.2 | 284.3/265 |
| 12 | 1.3 ± 0.1 | <0.11 | 27 | 9.1 ± 0.3 | 3.8 ± 0.1 | 162.6/146 |
| 13 | 3.3 ± 0.5 | <14.8 | 25 | <20.0 | 3.1 | 232.4/124 |
| 14 | 1.31 ± 0.04 | <1.2 | unc. | 47 ± 15 | 3.9 ± 0.2 | 195.2/200 |
| 15 | >2.07 | <4.5 | 11 | <48 | 2.0 | 280.2/256 |
| 16 | 2.06 ± 0.15 | <0.53 | >37 | >8.6 | 3.7 ± 0.2 | 161.5/133 |
| 17 | 1.75 ± 0.09 | <2.0 | unc. | >6.6 | 3.7 ± 0.3 | 90.8/90 |
| 18 | 1.28 | <1.6 | 2.1 ± 0.9 | <3.6 | 1.7 ± 0.4 | 132.9/130 |
| 19 | >1.2 | <5.3 | >1.9 | <60.0 | >2.2 | 90.3/124 |
| 20 | >1.7 | 16.2 | unc. | <3.0 | >3.8 | 138.7/133 |
| Var. | 28.5 | 3400.6 | 344.2 | 111.8 | 11.0 | - |
| N | , keV | , keV | EW, keV | , % |
|---|---|---|---|---|
| 1 | 6.38 | <0.15 | 0.06 ± 0.01 | 0.6 |
| 2 | 6.41 ± 0.02 | 0.05 ± 0.02 | 0.04 ± 0.01 | 1.7 × 10 |
| 3 | 6.38 ± 0.03 | 0.08 ± 0.02 | 0.04 ± 0.01 | 9.5 × 10 |
| 4 | 6.4 | <0.15 | 0.08 ± 0.07 | 43.7 |
| 5 | 6.25 ± 0.18 | <0.2 | 0.07 ± 0.06 | 3.5 |
| 6 | 6.52 | <0.2 | 0.09 ± 0.06 | 15.5 |
| 7 | 6.33 ± 0.20 | <0.2 | 0.04 ± 0.03 | 76.0 |
| 8 | 6.38 ± 0.02 | 0.06 ± 0.02 | 0.05 ± 0.01 | 1.0 × 10 |
| 9 | 6.41 ± 0.11 | <0.13 | 0.05 ± 0.03 | 46 |
| 10 | 6.4 | <0.07 | <0.09 | 75 |
| 11 | 6.4 ± 0.09 | <0.12 | 0.06 ± 0.02 | 0.59 |
| 12 | 6.41 | <0.2 | 0.042 ± 0.003 | 5.9 × 10 |
| 13 | 6.4 | <0.2 | <0.05 | 81.8 |
| 14 | 6.42 ± 0.16 | <0.3 | 0.15 ± 0.02 | 19.6 |
| 15 | 6.4 | <0.09 | <0.001 | 99.5 |
| 16 | 6.33 ± 0.15 | <0.17 | 0.07 ± 0.01 | 31.8 |
| 17 | 6.28 | <0.1 | 0.05 ± 0.05 | 42.7 |
| 18 | 6.26 ± 0.15 | <0.15 | 0.06 ± 0.05 | 29.6 |
| 19 | 6.4 | <0.2 | <0.02 | 93.5 |
| 20 | 6.4 | <0.2 | <0.07 | 75.8 |
| Var. | 0.65 | 0.25 | 3.67 | - |
| N | F | F | |||
|---|---|---|---|---|---|
| 1 | 1.1 ± 0.3 | 9.2 ± 0.3 | 0.3 ± 0.1 | 5.4 | <9.6 |
| 2 | 1.0 ± 0.1 | 9.6 ± 0.1 | 0.2 ± 0.1 | 3.6 | <10.0 |
| 3 | 4.60 ± 0.02 | 4.55 ± 0.02 | 0.14 ± 0.02 | 2.5 | <8.8 |
| 4 | 2.1 ± 0.5 | 7.4 ± 0.5 | <0.9 | >10.0 | <10.0 |
| 5 | 3.6 ± 0.2 | 6.9 ± 0.2 | 0.4 ± 0.2 | 7.2 | <10.1 |
| 6 | 2.1 ± 0.2 | 7.4 ± 0.2 | 0.4 ± 0.2 | 7.2 | <9.0 |
| 7 | 2.1 ± 0.2 | 6.9 ± 0.2 | <0.3 | <9.0 | <9.0 |
| 8 | 5.30 ± 0.03 | 6.80 ± 0.03 | 0.15 ± 0.03 | 2.7 | <11.7 |
| 9 | 6.7 ± 0.2 | 4.1 ± 0.2 | 0.3 ± 0.2 | 5.4 | <10.5 |
| 10 | 1.7 ± 0.5 | 7.0 ± 0.5 | <0.5 | <9.3 | <9.0 |
| 11 | 1.3 ± 0.3 | 10.2 ± 0.3 | <0.4 | <11.8 | <11.8 |
| 12 | 3.00 ± 0.04 | 8.40 ± 0.04 | 0.24 ± 0.01 | 4.3 | <11.7 |
| 13 | 6.2 ± 0.3 | 2.8 ± 0.3 | <0.4 | <9.3 | <9.3 |
| 14 | <1.0 | 10.3 ± 0.5 | 0.6 ± 0.5 | 10.8 | <11.3 |
| 15 | 7.6 ± 0.2 | 2.0 ± 0.2 | <0.2 | <9.8 | <9.8 |
| 16 | 3.0 ± 0.2 | 8.2 ± 0.2 | 0.4 ± 0.2 | 7.2 | <10.8 |
| 17 | 3.4 ± 0.2 | 7.5 ± 0.2 | 0.2 ± 0.1 | 3.6 | <10.5 |
| 18 | 7.9 ± 0.2 | 1.8 ± 0.2 | <0.3 | <9.9 | <9.9 |
| 19 | 7.8 ± 0.4 | 0.8 ± 0.4 | <0.5 | <9.0 | <9.0 |
| 20 | 2.3 ± 0.6 | 4.4 ± 0.6 | <0.7 | <7.3 | <7.3 |
| Var. | 404.8 | 650.1 | 2.27 | - | - |
| Param. | lg | EW | |||||||
|---|---|---|---|---|---|---|---|---|---|
| 0.0 | 0.24 | 0.33 | 0.36 ± 0.21 | 0.08 | −0.06 ± 0.24 | −0.3 | 0.27 | −0.31 | |
| 1 | −0.27 | 0.21 | 0.25 | −0.5 | 0.39 | −0.07 | −0.21 | 0.38 | |
| −0.27 | 1 | 0.05 | −0.06 | 0.33 | −0.47 | −0.58 | 0.48 | −0.46 | |
| 0.21 | 0.05 | 1 | 0.99 | −0.2 | 0.28 | 0.22 | −0.29 ± 0.07 | 0.41 | |
| 0.25 | −0.06 | 0.99 | 1 | −0.22 | 0.32 | 0.23 | −0.3 ± 0.07 | 0.42 ± 0.05 | |
| −0.5 | 0.33 | −0.2 | −0.22 | 1 | 0.02 ± 0.2 | −0.23 ± 0.13 | 0.03 | 0.34 | |
| lg | 0.39 | −0.47 | 0.28 | 0.32 | 0.02 ± 0.2 | 1 | 0.28 ± 0.17 | -0.74 | 0.65 |
| EW | −0.07 | −0.58 | 0.22 | 0.23 | −0.23 ± 0.13 | 0.28 ± 0.17 | 1 | −0.58 ± 0.08 | 0.62 ± 0.1 |
| −0.21 | 0.48 | −0.29 ± 0.07 | −0.3 ± 0.07 | 0.03 | −0.74 | −0.58 ± 0.08 | 1 | −0.9 | |
| 0.38 | −0.46 | 0.41 | 0.420.05 | 0.34 | 0.65 | 0.62 ± 0.1 | −0.9 | 1 | |
| −0.24 ± 0.08 | −0.36 | 0.01 | 0.05 ± 0.07 | 0.34 | 0.24 | 0.8 ± 0.14 | −0.5 ± 0.12 | 0.42 |
Disclaimer/Publisher’s Note: The statements, opinions and data contained in all publications are solely those of the individual author(s) and contributor(s) and not of MDPI and/or the editor(s). MDPI and/or the editor(s) disclaim responsibility for any injury to people or property resulting from any ideas, methods, instructions or products referred to in the content. |
© 2023 by the authors. Licensee MDPI, Basel, Switzerland. This article is an open access article distributed under the terms and conditions of the Creative Commons Attribution (CC BY) license (https://creativecommons.org/licenses/by/4.0/).
Share and Cite
Fedorova, E.; Del Popolo, A. 3C 120 Disk/Corona vs. Jet Variability in X-rays. Universe 2023, 9, 212. https://doi.org/10.3390/universe9050212
Fedorova E, Del Popolo A. 3C 120 Disk/Corona vs. Jet Variability in X-rays. Universe. 2023; 9(5):212. https://doi.org/10.3390/universe9050212
Chicago/Turabian StyleFedorova, Elena, and Antonio Del Popolo. 2023. "3C 120 Disk/Corona vs. Jet Variability in X-rays" Universe 9, no. 5: 212. https://doi.org/10.3390/universe9050212
APA StyleFedorova, E., & Del Popolo, A. (2023). 3C 120 Disk/Corona vs. Jet Variability in X-rays. Universe, 9(5), 212. https://doi.org/10.3390/universe9050212
