Binary Black Hole Spins: Model Selection with GWTC-3
Abstract
:1. Introduction
2. Models
2.1. MOBSE and Natal Kicks
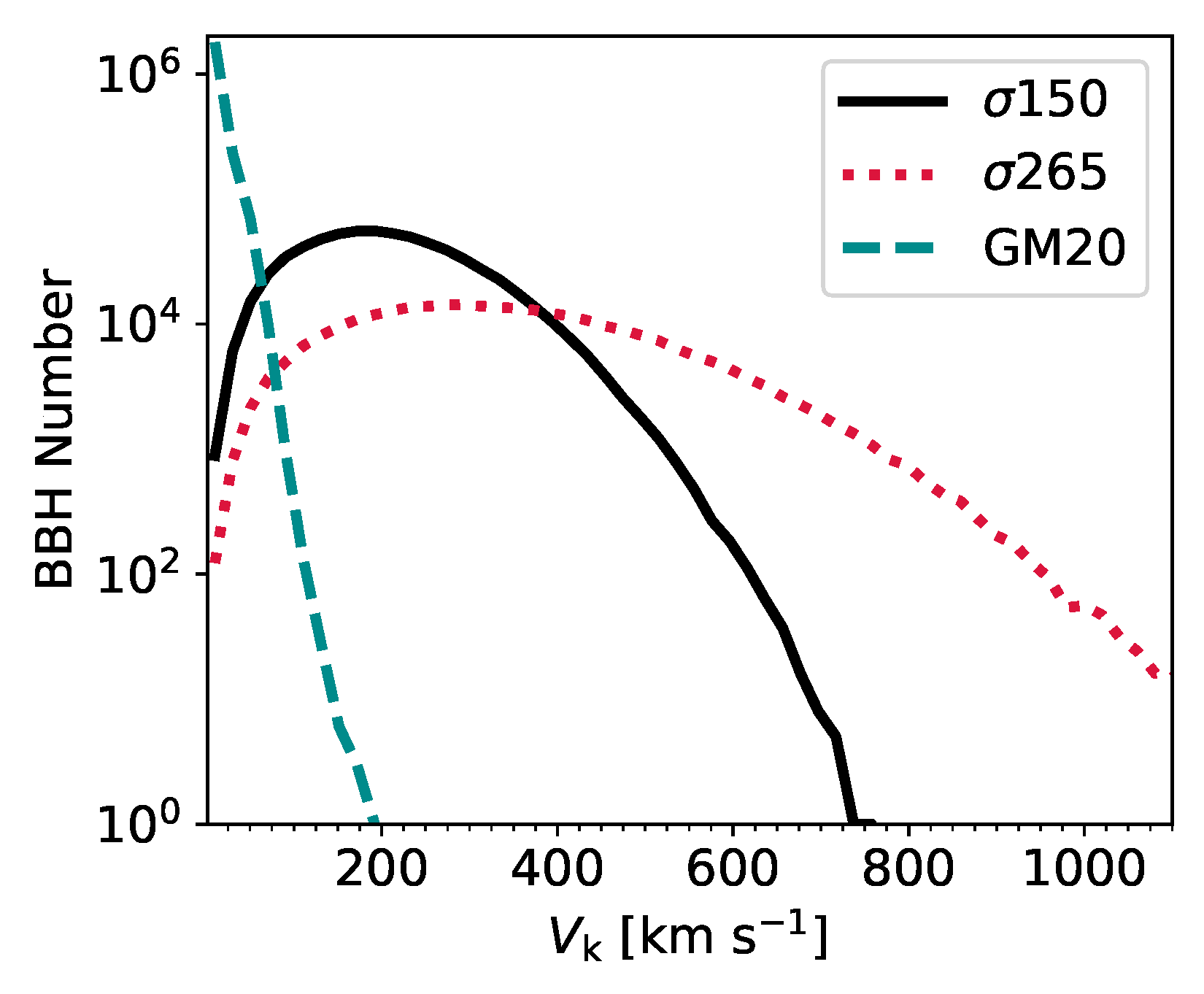
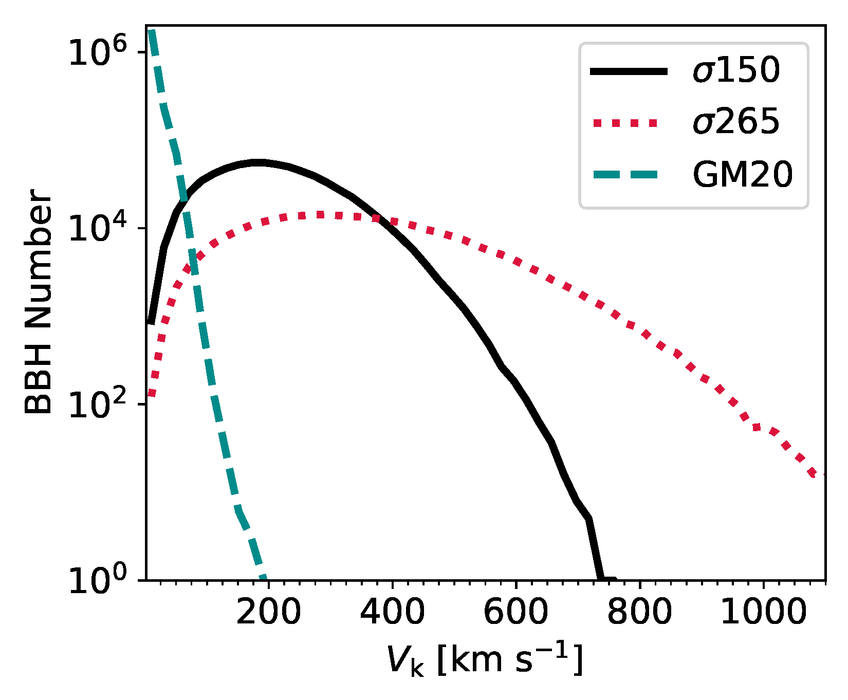
- A unified kick model, in which both neutron stars and BHs receive a kick , where is the mass of the ejecta and the mass of the compact remnant [108]. This model naturally produces low kicks for electron-capture, stripped, and ultrastripped supernovae [109,110]. This model is similar to the one presented by Bray and Eldridge [106] and Bray and Eldridge [107]. It is also analogous to the model by Fryer et al. [102] but with a relevant difference: GM20 normalizes the kick by the BH mass, while Fryer et al. [102] normalize it by the total final mass of the star. Hereafter, we call this model GM20.
- A model in which compact-object kicks are drawn from a Maxwellian curve with one-dimensional root-mean-square km s, consistent with observations of galactic pulsars [111]. This can be considered as an upper limit for BH natal kicks, because we assume that the natal kick distribution is the same for neutron stars and BHs, regardless of the larger BH mass. Hereafter, we name this model .
2.2. Spin Magnitude
2.2.1. Geneva (G) Model
2.2.2. MESA (M) Model
2.2.3. Fuller (F) Model
2.2.4. Maxwellian Model (Max)
2.3. Tidal Spin-Up
2.4. Spin Orientation
2.5. Setup of mobse Runs
- The first four models (hereafter, G, M, F, and Max) adopt the Geneva, Mesa, Fuller, and Maxwellian models for both the first- and second-born BHs;
- The other four models (hereafter, G_B21, M_B21, F_B21, and Max_B21) adopt the fits by Bavera et al. (2021, [115]) for the second-born BH and the Geneva, Mesa, Fuller, and Maxwellian models for the first-born BH.
| Model Name | Spin Magnitude | B21 | Kick Model |
|---|---|---|---|
| G | Geneva (G) | no | GM20, , |
| G_B21 | Geneva (G) | yes | GM20, , |
| M | MESA (M) | no | GM20, , |
| M_B21 | MESA (M) | yes | GM20, , |
| F | Fuller (F) | no | GM20, , |
| F_B21 | Fuller (F) | yes | GM20, , |
| Max | Maxwellian (Max) | no | GM20, , |
| Max_B21 | Maxwellian (Max) | yes | GM20, , |
2.6. Merger Rate Density
2.7. Hyperparametric Model Description
3. Hierarchical Bayesian Inference
4. Results
4.1. Masses
4.2. Spin Parameters
4.3. Model Selection
4.4. Importance of
5. Discussion
6. Summary
- Data from GWTC-3 do not support models in which the entire BH population has vanishingly small spins (model F).
- In contrast, models in which most spins are vanishingly small but that also include a subpopulation of tidally spun-up BHs (model F_B21) are a good match to the data.
- The models in which angular momentum transport is relatively inefficient (G and G_21) yield log-likelihood values that are lower than models with efficient angular momentum transport (M, M_B21, Max, and Max_B21).
- Models with large BH kicks ( and ) are favoured by our analysis with respect to low-kick models (G20).
- Our results show that the precessing spin parameter plays a crucial role in constraining the spin distribution of BBH mergers.
Author Contributions
Funding
Data Availability Statement
Acknowledgments
Conflicts of Interest
Appendix A. Delayed Model for Core-Collapse Supernovae

Appendix B. The Relation between χ and mCO in Our Models



Appendix C. Sample of Gravitational-Wave Events
- The (possible) neutron star–BH binary system GW190814;
- The BBH GW190521 (, Abbott et al. [6]), which can form only via dynamical interactions according to our models, e.g., [41,131,132]. This last event is so unlikely in our population-synthesis model that it pulls down the values of all the likelihoods making the comparison between models difficult to perform. Figure A5 shows for all events including GW190521, illustrating the gap in the match values.

| Name | q | z | |||
|---|---|---|---|---|---|
| GW150914 | 28.6 | 0.86 | −0.01 | 0.34 | 0.09 |
| GW151012 | 15.2 | 0.59 | 0.05 | 0.33 | 0.21 |
| GW151226 | 8.9 | 0.56 | 0.18 | 0.49 | 0.09 |
| GW170104 | 21.4 | 0.65 | −0.04 | 0.36 | 0.2 |
| GW170608 | 7.9 | 0.69 | 0.03 | 0.36 | 0.07 |
| GW170729 | 35.4 | 0.68 | 0.37 | 0.44 | 0.49 |
| GW170809 | 24.9 | 0.68 | 0.08 | 0.35 | 0.2 |
| GW170814 | 24.1 | 0.83 | 0.07 | 0.48 | 0.12 |
| GW170818 | 26.5 | 0.76 | −0.09 | 0.49 | 0.21 |
| GW170823 | 29.2 | 0.74 | 0.09 | 0.42 | 0.35 |
| GW190408_181802 | 18.3 | 0.75 | −0.03 | 0.39 | 0.29 |
| GW190412 | 13.3 | 0.28 | 0.25 | 0.3 | 0.15 |
| GW190413_052954 | 24.6 | 0.69 | −0.01 | 0.41 | 0.59 |
| GW190413_134308 | 33.0 | 0.69 | −0.03 | 0.56 | 0.71 |
| GW190421_213856 | 31.2 | 0.79 | −0.06 | 0.48 | 0.49 |
| GW190503_185404 | 30.2 | 0.65 | −0.03 | 0.38 | 0.27 |
| GW190512_180714 | 14.6 | 0.54 | 0.03 | 0.22 | 0.27 |
| GW190513_205428 | 21.6 | 0.5 | 0.11 | 0.31 | 0.37 |
| GW190517_055101 | 26.6 | 0.68 | 0.52 | 0.49 | 0.34 |
| GW190519_153544 | 44.5 | 0.61 | 0.31 | 0.44 | 0.44 |
| GW190521_074359 | 32.1 | 0.78 | 0.09 | 0.4 | 0.24 |
| GW190602_175927 | 49.1 | 0.71 | 0.07 | 0.42 | 0.47 |
| GW190620_030421 | 38.3 | 0.62 | 0.33 | 0.43 | 0.49 |
| GW190630_185205 | 24.9 | 0.68 | 0.1 | 0.32 | 0.18 |
| GW190701_203306 | 40.3 | 0.76 | −0.07 | 0.42 | 0.37 |
| GW190706_222641 | 42.7 | 0.58 | 0.28 | 0.38 | 0.71 |
| GW190707_093326 | 8.5 | 0.73 | −0.05 | 0.29 | 0.16 |
| GW190708_232457 | 13.2 | 0.76 | 0.02 | 0.29 | 0.18 |
| GW190720_000836 | 8.9 | 0.58 | 0.18 | 0.33 | 0.16 |
| GW190727_060333 | 28.6 | 0.8 | 0.11 | 0.47 | 0.55 |
| GW190728_064510 | 8.6 | 0.66 | 0.12 | 0.29 | 0.18 |
| GW190803_022701 | 27.3 | 0.75 | −0.03 | 0.44 | 0.55 |
| GW190828_063405 | 25.0 | 0.82 | 0.19 | 0.43 | 0.38 |
| GW190828_065509 | 13.3 | 0.43 | 0.08 | 0.3 | 0.3 |
| GW190910_112807 | 34.3 | 0.82 | 0.02 | 0.4 | 0.28 |
| GW190915_235702 | 25.3 | 0.69 | 0.02 | 0.55 | 0.3 |
| GW190924_021846 | 5.8 | 0.57 | 0.03 | 0.24 | 0.12 |
| GW190925_232845 | 15.8 | 0.73 | 0.11 | 0.39 | 0.19 |
| GW190930_133541 | 8.5 | 0.64 | 0.14 | 0.34 | 0.15 |
| GW191105_143521 | 7.8 | 0.72 | −0.02 | 0.3 | 0.23 |
| GW191109_010717 | 47.5 | 0.73 | −0.29 | 0.63 | 0.25 |
| GW191129_134029 | 7.3 | 0.63 | 0.06 | 0.26 | 0.16 |
| GW191204_171526 | 8.6 | 0.69 | 0.16 | 0.39 | 0.13 |
| GW191215_223052 | 18.4 | 0.73 | −0.04 | 0.5 | 0.35 |
| GW191216_213338 | 8.3 | 0.64 | 0.11 | 0.23 | 0.07 |
| GW191222_033537 | 33.8 | 0.79 | −0.04 | 0.41 | 0.51 |
| GW191230_180458 | 36.5 | 0.77 | −0.05 | 0.52 | 0.69 |
| GW200112_155838 | 27.4 | 0.81 | 0.06 | 0.39 | 0.24 |
| GW200128_022011 | 32.0 | 0.8 | 0.12 | 0.57 | 0.56 |
| GW200129_065458 | 27.2 | 0.85 | 0.11 | 0.52 | 0.18 |
| GW200202_154313 | 7.5 | 0.72 | 0.04 | 0.28 | 0.09 |
| GW200208_130117 | 27.7 | 0.73 | -0.07 | 0.38 | 0.4 |
| GW200209_085452 | 26.7 | 0.78 | −0.12 | 0.51 | 0.57 |
| GW200219_094415 | 27.6 | 0.77 | −0.08 | 0.48 | 0.57 |
| GW200224_222234 | 31.1 | 0.82 | 0.1 | 0.49 | 0.32 |
| GW200225_060421 | 14.2 | 0.73 | −0.12 | 0.53 | 0.22 |
| GW200302_015811 | 23.4 | 0.53 | 0.01 | 0.37 | 0.28 |
| GW200311_115853 | 26.6 | 0.82 | −0.02 | 0.45 | 0.23 |
| GW200316_215756 | 8.8 | 0.6 | 0.13 | 0.29 | 0.22 |
References
- Aasi, J.; Abbott, B.P.; Abbott, R.; Abbott, T.; Abernathy, M.R.; Ackley, K.; Adams, C.; Adams, T.; Addesso, P.; Adhikari, R.X.; et al. Advanced LIGO. Class. Quantum Gravity 2015, 32, 074001. [Google Scholar] [CrossRef]
- Acernese, F.; Agathos, M.; Agatsuma, K.; Aisa, D.; Allemandou, N.; Allocca, A.; Amarni, J.; Astone, P.; Balestri, G.; Ballardin, G.; et al. Advanced Virgo: A second-generation interferometric gravitational wave detector. Class. Quantum Gravity 2015, 32, 024001. [Google Scholar] [CrossRef]
- Abbott, B.P.; Abbott, R.; Abbott, T.D.; Abraham, S.; Acernese, F.; Ackley, K.; Adams, C.; Adhikari, R.X.; Adya, V.B.; Affeldt, C.; et al. GWTC-1: A Gravitational-Wave Transient Catalog of Compact Binary Mergers Observed by LIGO and Virgo during the First and Second Observing Runs. Phys. Rev. X 2019, 9, 031040. [Google Scholar] [CrossRef]
- Abbott, R.; Abbott, T.D.; Abraham, S.; Acernese, F.; Ackley, K.; Adams, A.; Adams, C.; Adhikari, R.X.; Adya, V.B.; Affeldt, C.; et al. GWTC-2: Compact Binary Coalescences Observed by LIGO and Virgo during the First Half of the Third Observing Run. Phys. Rev. X 2021, 11, 021053. [Google Scholar] [CrossRef]
- Abbott, R.; Abbott, T.D.; Acernese, F.; Ackley, K.; Adams, C.; Adhikari, N.; Adhikari, R.X.; Adya, V.B.; Affeldt, C.; Agarwal, D.; et al. GWTC-2.1: Deep Extended Catalog of Compact Binary Coalescences Observed by LIGO and Virgo During the First Half of the Third Observing Run. arXiv 2021, arXiv:2108.01045. [Google Scholar]
- Abbott, R.; Abbott, T.D.; Acernese, F.; Ackley, K.; Adams, C.; Adhikari, N.; Adhikari, R.X.; Adya, V.B.; Affeldt, C.; Agarwal, D.; et al. GWTC-3: Compact Binary Coalescences Observed by LIGO and Virgo During the Second Part of the Third Observing Run. arXiv 2021, arXiv:2111.03606. [Google Scholar] [CrossRef]
- Abbott, R.; Abbott, T.D.; Acernese, F.; Ackley, K.; Adams, C.; Adhikari, N.; Adhikari, R.X.; Adya, V.B.; Affeldt, C.; Agarwal, D.; et al. The population of merging compact binaries inferred using gravitational waves through GWTC-3. arXiv 2021, arXiv:2111.03634. [Google Scholar] [CrossRef]
- Abbott, R.; Abbott, T.D.; Abraham, S.; Acernese, F.; Ackley, K.; Adams, C.; Adhikari, R.X.; Adya, V.B.; Affeldt, C.; Agathos, M.; et al. GW190412: Observation of a binary-black-hole coalescence with asymmetric masses. Phys. Rev. D 2020, 102, 043015. [Google Scholar] [CrossRef]
- Farr, W.M.; Stevenson, S.; Miller, M.C.; Mandel, I.; Farr, B.; Vecchio, A. Distinguishing spin-aligned and isotropic black hole populations with gravitational waves. Nature 2017, 548, 426–429. [Google Scholar] [CrossRef]
- Farr, B.; Holz, D.E.; Farr, W.M. Using Spin to Understand the Formation of LIGO and Virgo’s Black Holes. ApJL 2018, 854, L9. [Google Scholar] [CrossRef]
- Wysocki, D.; Lange, J.; O’Shaughnessy, R. Reconstructing phenomenological distributions of compact binaries via gravitational wave observations. Phys. Rev. D 2019, 100, 043012. [Google Scholar] [CrossRef]
- Roulet, J.; Zaldarriaga, M. Constraints on binary black hole populations from LIGO-Virgo detections. MNRAS 2019, 484, 4216–4229. [Google Scholar] [CrossRef]
- Miller, S.; Callister, T.A.; Farr, W.M. The Low Effective Spin of Binary Black Holes and Implications for Individual Gravitational-wave Events. ApJS 2020, 895, 128. [Google Scholar] [CrossRef]
- Abbott, B.P.; Abbott, R.; Abbott, T.D.; Abernathy, M.R.; Acernese, F.; Ackley, K.; Adams, C.; Adams, T.; Addesso, P.; Adhikari, R.X.; et al. GW151226: Observation of Gravitational Waves from a 22-Solar-Mass Binary Black Hole Coalescence. Phys. Rev. Lett. 2016, 116, 241103. [Google Scholar] [CrossRef] [PubMed]
- Tiwari, V.; Fairhurst, S.; Hannam, M. Constraining Black Hole Spins with Gravitational-wave Observations. Astrophys. J. 2018, 868, 140. [Google Scholar] [CrossRef]
- Venumadhav, T.; Zackay, B.; Roulet, J.; Dai, L.; Zaldarriaga, M. New binary black hole mergers in the second observing run of Advanced LIGO and Advanced Virgo. Phys. Rev. D 2020, 101, 083030. [Google Scholar] [CrossRef]
- Olsen, S.; Venumadhav, T.; Mushkin, J.; Roulet, J.; Zackay, B.; Zaldarriaga, M. New binary black hole mergers in the LIGO-Virgo O3a data. Phys. Rev. D 2022, 106, 043009. [Google Scholar] [CrossRef]
- Callister, T.A.; Farr, W.M.; Renzo, M. State of the Field: Binary Black Hole Natal Kicks and Prospects for Isolated Field Formation after GWTC-2. Astrophys. J. 2021, 920, 157. [Google Scholar] [CrossRef]
- Hoy, C.; Thompson, J.E.; Fairhurst, S.; Raymond, V.; Colleoni, M.; Zimmerman, A. General-relativistic precession in a black-hole binary. Nature 2022, 610, 652–655. [Google Scholar] [CrossRef]
- Callister, T.A.; Miller, S.J.; Chatziioannou, K.; Farr, W.M. No evidence that the majority of black holes in binaries have zero spin. arXiv 2022, arXiv:2205.08574. [Google Scholar] [CrossRef]
- Gerosa, D.; Kesden, M.; Berti, E.; O’Shaughnessy, R.; Sperhake, U. Resonant-plane locking and spin alignment in stellar-mass black-hole binaries: A diagnostic of compact-binary formation. Phys. Rev. D 2013, 87, 104028. [Google Scholar] [CrossRef]
- Stevenson, S.; Ohme, F.; Fairhurst, S. Distinguishing Compact Binary Population Synthesis Models Using Gravitational Wave Observations of Coalescing Binary Black Holes. Astrophys. J. 2015, 810, 58. [Google Scholar] [CrossRef]
- Rodriguez, C.L.; Zevin, M.; Pankow, C.; Kalogera, V.; Rasio, F.A. Illuminating Black Hole Binary Formation Channels with Spins in Advanced LIGO. Astrophys. J. Lett. 2016, 832, L2. [Google Scholar] [CrossRef]
- Stevenson, S.; Berry, C.P.L.; Mandel, I. Hierarchical analysis of gravitational-wave measurements of binary black hole spin-orbit misalignments. Mon. Not. R. Astron. Soc. 2017, 471, 2801–2811. [Google Scholar] [CrossRef]
- Talbot, C.; Thrane, E. Determining the population properties of spinning black holes. Phys. Rev. D 2017, 96, 023012. [Google Scholar] [CrossRef]
- Fishbach, M.; Holz, D.E. Where Are LIGO’s Big Black Holes? Astrophys. J. Lett. 2017, 851, L25. [Google Scholar] [CrossRef]
- Vitale, S.; Lynch, R.; Sturani, R.; Graff, P. Use of gravitational waves to probe the formation channels of compact binaries. Class. Quantum Gravity 2017, 34, 03LT01. [Google Scholar] [CrossRef]
- Zevin, M.; Pankow, C.; Rodriguez, C.L.; Sampson, L.; Chase, E.; Kalogera, V.; Rasio, F.A. Constraining Formation Models of Binary Black Holes with Gravitational-wave Observations. Astrophys. J. 2017, 846, 82. [Google Scholar] [CrossRef]
- Barrett, J.W.; Gaebel, S.M.; Neijssel, C.J.; Vigna-Gómez, A.; Stevenson, S.; Berry, C.P.L.; Farr, W.M.; Mandel, I. Accuracy of inference on the physics of binary evolution from gravitational-wave observations. Mon. Not. R. Astron. Soc. 2018, 477, 4685–4695. [Google Scholar] [CrossRef]
- Taylor, S.R.; Gerosa, D. Mining gravitational-wave catalogs to understand binary stellar evolution: A new hierarchical Bayesian framework. Phys. Rev. D 2018, 98, 083017. [Google Scholar] [CrossRef]
- Fragione, G.; Kocsis, B. Effective spin distribution of black hole mergers in triples. Mon. Not. R. Astron. Soc. 2020, 493, 3920–3931. [Google Scholar] [CrossRef]
- Arca Sedda, M.; Benacquista, M. Using final black hole spins and masses to infer the formation history of the observed population of gravitational wave sources. Mon. Not. R. Astron. Soc. 2019, 482, 2991–3010. [Google Scholar] [CrossRef]
- Bouffanais, Y.; Mapelli, M.; Gerosa, D.; Di Carlo, U.N.; Giacobbo, N.; Berti, E.; Baibhav, V. Constraining the Fraction of Binary Black Holes Formed in Isolation and Young Star Clusters with Gravitational-wave Data. ApJL 2019, 886, 25. [Google Scholar] [CrossRef]
- Bouffanais, Y.; Mapelli, M.; Santoliquido, F.; Giacobbo, N.; Iorio, G.; Costa, G. Constraining accretion efficiency in massive binary stars with LIGO -Virgo black holes. Mon. Not. R. Astron. Soc. 2021, 505, 3873–3882. [Google Scholar] [CrossRef]
- Bouffanais, Y.; Mapelli, M.; Santoliquido, F.; Giacobbo, N.; Di Carlo, U.N.; Rastello, S.; Artale, M.C.; Iorio, G. New insights on binary black hole formation channels after GWTC-2: Young star clusters versus isolated binaries. Mon. Not. R. Astron. Soc. 2021, 507, 5224–5235. [Google Scholar] [CrossRef]
- Kimball, C.; Talbot, C.; Berry, C.P.; Zevin, M.; Thrane, E.; Kalogera, V.; Williams, D. Evidence for Hierarchical Black Hole Mergers in the Second LIGO–Virgo Gravitational Wave Catalog. Astrophys. J. Lett. 2021, 915, L35. [Google Scholar] [CrossRef]
- Kimball, C.; Talbot, C.; Berry, C.P.L.; Carney, M.; Zevin, M.; Thrane, E.; Kalogera, V. Black Hole Genealogy: Identifying Hierarchical Mergers with Gravitational Waves. ApJL 2020, 900, 177. [Google Scholar] [CrossRef]
- Baibhav, V.; Gerosa, D.; Berti, E.; Wong, K.W.K.; Helfer, T.; Mould, M. The mass gap, the spin gap, and the origin of merging binary black holes. Phys. Rev. D 2020, 102, 043002. [Google Scholar] [CrossRef]
- Arca Sedda, M.; Mapelli, M.; Spera, M.; Benacquista, M.; Giacobbo, N. Fingerprints of Binary Black Hole Formation Channels Encoded in the Mass and Spin of Merger Remnants. Astrophys. J. 2020, 894, 133. [Google Scholar] [CrossRef]
- Zevin, M.; Bavera, S.S.; Berry, C.P.L.; Kalogera, V.; Fragos, T.; Marchant, P.; Rodriguez, C.L.; Antonini, F.; Holz, D.E.; Pankow, C. One Channel to Rule Them All? Constraining the Origins of Binary Black Holes Using Multiple Formation Pathways. Astrophys. J. 2021, 910, 152. [Google Scholar] [CrossRef]
- Mapelli, M.; Dall’Amico, M.; Bouffanais, Y.; Giacobbo, N.; Arca Sedda, M.; Artale, M.C.; Ballone, A.; Di Carlo, U.N.; Iorio, G.; Santoliquido, F.; et al. Hierarchical black hole mergers in young, globular and nuclear star clusters: The effect of metallicity, spin and cluster properties. Mon. Not. R. Astron. Soc. 2021, 505, 339–358. [Google Scholar] [CrossRef]
- Mapelli, M.; Bouffanais, Y.; Santoliquido, F.; Arca Sedda, M.; Artale, M.C. The cosmic evolution of binary black holes in young, globular, and nuclear star clusters: Rates, masses, spins, and mixing fractions. Mon. Not. R. Astron. Soc. 2022, 511, 5797–5816. [Google Scholar] [CrossRef]
- Tagawa, H.; Haiman, Z.; Bartos, I.; Kocsis, B.; Omukai, K. Signatures of hierarchical mergers in black hole spin and mass distribution. Mon. Not. R. Astron. Soc. 2021, 507, 3362–3380. [Google Scholar] [CrossRef]
- Gayathri, V.; Yang, Y.; Tagawa, H.; Haiman, Z.; Bartos, I. Black Hole Mergers of AGN Origin in LIGO-Virgo’s O1-O3a Observing Periods. Astrophys. J. Lett. 2021, 920, L42. [Google Scholar] [CrossRef]
- Gerosa, D.; Giacobbo, N.; Vecchio, A. High Mass but Low Spin: An Exclusion Region to Rule Out Hierarchical Black Hole Mergers as a Mechanism to Populate the Pair-instability Mass Gap. Astrophys. J. 2021, 915, 56. [Google Scholar] [CrossRef]
- Gompertz, B.P.; Nicholl, M.; Schmidt, P.; Pratten, G.; Vecchio, A. Constraints on compact binary merger evolution from spin-orbit misalignment in gravitational-wave observations. Mon. Not. R. Astron. Soc. 2022, 511, 1454–1461. [Google Scholar] [CrossRef]
- Fryer, C.L.; Kalogera, V. Theoretical Black Hole Mass Distributions. Astrophys. J. 2001, 554, 548–560. [Google Scholar] [CrossRef]
- Heger, A.; Fryer, C.L.; Woosley, S.E.; Langer, N.; Hartmann, D.H. How Massive Single Stars End Their Life. Astrophys. J. 2003, 591, 288–300. [Google Scholar] [CrossRef]
- Belczynski, K.; Bulik, T.; Fryer, C.L.; Ruiter, A.; Valsecchi, F.; Vink, J.S.; Hurley, J.R. On the Maximum Mass of Stellar Black Holes. Astrophys. J. 2010, 714, 1217–1226. [Google Scholar] [CrossRef]
- Mapelli, M.; Zampieri, L.; Ripamonti, E.; Bressan, A. Dynamics of stellar black holes in young star clusters with different metallicities—I. Implications for X-ray binaries. Mon. Not. R. Astron. Soc. 2013, 429, 2298–2314. [Google Scholar] [CrossRef]
- Fragos, T.; McClintock, J.E. The Origin of Black Hole Spin in Galactic Low-mass X-Ray Binaries. Astrophys. J. 2015, 800, 17. [Google Scholar] [CrossRef]
- Marchant, P.; Langer, N.; Podsiadlowski, P.; Tauris, T.M.; Moriya, T.J. A new route towards merging massive black holes. Astron. Astrophys. 2016, 588, A50. [Google Scholar] [CrossRef]
- Eldridge, J.J.; Stanway, E.R. BPASS predictions for binary black hole mergers. Mon. Not. R. Astron. Soc. 2016, 462, 3302–3313. [Google Scholar] [CrossRef]
- De Mink, S.E.; Mandel, I. The chemically homogeneous evolutionary channel for binary black hole mergers: Rates and properties of gravitational-wave events detectable by advanced LIGO. Mon. Not. R. Astron. Soc. 2016, 460, 3545–3553. [Google Scholar] [CrossRef]
- Spera, M.; Mapelli, M. Very massive stars, pair-instability supernovae and intermediate-mass black holes with the sevn code. Mon. Not. R. Astron. Soc. 2017, 470, 4739–4749. [Google Scholar] [CrossRef]
- Bavera, S.S.; Fragos, T.; Qin, Y.; Zapartas, E.; Neijssel, C.J.; Mandel, I.; Batta, A.; Gaebel, S.M.; Kimball, C.; Stevenson, S. The origin of spin in binary black holes. Predicting the distributions of the main observables of Advanced LIGO. Astron. Astrophys. 2020, 635, A97. [Google Scholar] [CrossRef]
- Belczynski, K.; Klencki, J.; Fields, C.E.; Olejak, A.; Berti, E.; Meynet, G.; Fryer, C.L.; Holz, D.E.; O’Shaughnessy, R.; Brown, D.A.; et al. Evolutionary roads leading to low effective spins, high black hole masses, and O1/O2 rates for LIGO/Virgo binary black holes. Astron. Astrophys. 2020, 636, A104. [Google Scholar] [CrossRef]
- Fragione, G.; Kocsis, B.; Rasio, F.A.; Silk, J. Repeated Mergers, Mass-gap Black Holes, and Formation of Intermediate-mass Black Holes in Dense Massive Star Clusters. Astrophys. J. 2022, 927, 231. [Google Scholar] [CrossRef]
- Mandel, I.; Müller, B.; Riley, J.; de Mink, S.E.; Vigna-Gómez, A.; Chattopadhyay, D. Binary population synthesis with probabilistic remnant mass and kick prescriptions. Mon. Not. R. Astron. Soc. 2021, 500, 1380–1384. [Google Scholar] [CrossRef]
- Fryer, C.L.; Olejak, A.; Belczynski, K. The Effect of Supernova Convection On Neutron Star and Black Hole Masses. Astrophys. J. 2022, 931, 94. [Google Scholar] [CrossRef]
- Olejak, A.; Fryer, C.L.; Belczynski, K.; Baibhav, V. The role of supernova convection for the lower mass gap in the isolated binary formation of gravitational wave sources. Mon. Not. R. Astron. Soc. 2022, 516, 2252–2271. [Google Scholar] [CrossRef]
- Chattopadhyay, D.; Hurley, J.; Stevenson, S.; Raidani, A. Dynamical double black holes and their host cluster properties. Mon. Not. R. Astron. Soc. 2022, 513, 4527–4555. [Google Scholar] [CrossRef]
- van Son, L.A.C.; de Mink, S.E.; Renzo, M.; Justham, S.; Zapartas, E.; Breivik, K.; Callister, T.; Farr, W.M.; Conroy, C. No Peaks without Valleys: The Stable Mass Transfer Channel for Gravitational-wave Sources in Light of the Neutron Star—Black Hole Mass Gap. Astrophys. J. 2022, 940, 184. [Google Scholar] [CrossRef]
- Briel, M.M.; Stevance, H.F.; Eldridge, J.J. Understanding the high-mass binary black hole population from stable mass transfer and super-Eddington accretion in BPASS. arXiv 2022, arXiv:2206.13842. [Google Scholar] [CrossRef]
- Stevenson, S.; Clarke, T.A. Constraints on the contributions to the observed binary black hole population from individual evolutionary pathways in isolated binary evolution. Mon. Not. R. Astron. Soc. 2022. [Google Scholar] [CrossRef]
- Broekgaarden, F.S.; Berger, E.; Stevenson, S.; Justham, S.; Mandel, I.; Chruślińska, M.; van Son, L.A.C.; Wagg, T.; Vigna-Gómez, A.; de Mink, S.E.; et al. Impact of massive binary star and cosmic evolution on gravitational wave observations—II. Double compact object rates and properties. Mon. Not. R. Astron. Soc. 2022, 516, 5737–5761. [Google Scholar] [CrossRef]
- Broekgaarden, F.S.; Stevenson, S.; Thrane, E. Signatures of Mass Ratio Reversal in Gravitational Waves from Merging Binary Black Holes. Astrophys. J. 2022, 938, 45. [Google Scholar] [CrossRef]
- Qin, Y.; Fragos, T.; Meynet, G.; Andrews, J.; Sørensen, M.; Song, H.F. The spin of the second-born black hole in coalescing binary black holes. Astron. Astrophys. 2018, 616, A28. [Google Scholar] [CrossRef]
- Qin, Y.; Fragos, T.; Meynet, G.; Marchant, P.; Kalogera, V.; Andrews, J.; Sørensen, M.; Song, H.F. The black hole spin in coalescing binary black holes and high-mass X-ray binaries. IAU Symposium 2019, 346, 426–432. [Google Scholar] [CrossRef]
- Fuller, J.; Ma, L. Most Black Holes Are Born Very Slowly Rotating. Astrophys. J. Lett. 2019, 881, L1. [Google Scholar] [CrossRef]
- Olejak, A.; Belczynski, K. The Implications of High Black Hole Spins for the Origin of Binary Black Hole Mergers. Astrophys. J. Lett. 2021, 921, L2. [Google Scholar] [CrossRef]
- Stevenson, S. Biases in Estimates of Black Hole Kicks from the Spin Distribution of Binary Black Holes. Astrophys. J. Lett. 2022, 926, L32. [Google Scholar] [CrossRef]
- Maeder, A.; Meynet, G. The Evolution of Rotating Stars. Ann. Rev. Astron. Astrophys. 2000, 38, 143–190. [Google Scholar] [CrossRef]
- Cantiello, M.; Mankovich, C.; Bildsten, L.; Christensen-Dalsgaard, J.; Paxton, B. Angular Momentum Transport within Evolved Low-mass Stars. Astrophys. J. 2014, 788, 93. [Google Scholar] [CrossRef]
- Fuller, J.; Piro, A.L.; Jermyn, A.S. Slowing the spins of stellar cores. Mon. Not. R. Astron. Soc. 2019, 485, 3661–3680. [Google Scholar] [CrossRef]
- Zahn, J.P. Circulation and turbulence in rotating stars. Astron. Astrophys. 1992, 265, 115–132. [Google Scholar]
- Ekström, S.; Georgy, C.; Eggenberger, P.; Meynet, G.; Mowlavi, N.; Wyttenbach, A.; Granada, A.; Decressin, T.; Hirschi, R.; Frischknecht, U.; et al. Grids of stellar models with rotation. I. Models from 0.8 to 120 M⊙ at solar metallicity (Z = 0.014). Astron. Astrophys. 2012, 537, A146. [Google Scholar] [CrossRef]
- Limongi, M.; Chieffi, A. Presupernova Evolution and Explosive Nucleosynthesis of Rotating Massive Stars in the Metallicity Range −3 ≤ [Fe/H] ≤ 0. Astrophys. J. Suppl. 2018, 237, 13. [Google Scholar] [CrossRef]
- Costa, G.; Girardi, L.; Bressan, A.; Marigo, P.; Rodrigues, T.S.; Chen, Y.; Lanza, A.; Goudfrooij, P. Mixing by overshooting and rotation in intermediate-mass stars. Mon. Not. R. Astron. Soc. 2019, 485, 4641–4657. [Google Scholar] [CrossRef]
- Spruit, H.C. Dynamo action by differential rotation in a stably stratified stellar interior. Astron. Astrophys. 2002, 381, 923–932. [Google Scholar] [CrossRef]
- Mosser, B.; Goupil, M.J.; Belkacem, K.; Marques, J.P.; Beck, P.G.; Bloemen, S.; De Ridder, J.; Barban, C.; Deheuvels, S.; Elsworth, Y.; et al. Spin down of the core rotation in red giants. Astron. Astrophys. 2012, 548, A10. [Google Scholar] [CrossRef]
- Gehan, C.; Mosser, B.; Michel, E.; Samadi, R.; Kallinger, T. Core rotation braking on the red giant branch for various mass ranges. Astron. Astrophys. 2018, 616, A24. [Google Scholar] [CrossRef]
- Aerts, C.; Mathis, S.; Rogers, T.M. Angular Momentum Transport in Stellar Interiors. Ann. Rev. Astron. Astrophys. 2019, 57, 35–78. [Google Scholar] [CrossRef]
- Reynolds, C.S. Observational Constraints on Black Hole Spin. Ann. Rev. Astron. Astrophys. 2021, 59, 117–154. [Google Scholar] [CrossRef]
- Miller-Jones, J.C.A.; Bahramian, A.; Orosz, J.A.; Mandel, I.; Gou, L.; Maccarone, T.J.; Neijssel, C.J.; Zhao, X.; Ziółkowski, J.; Reid, M.J.; et al. Cygnus X-1 contains a 21-solar mass black hole—Implications for massive star winds. Science 2021, 371, 1046–1049. [Google Scholar] [CrossRef]
- Fishbach, M.; Kalogera, V. Apples and Oranges: Comparing Black Holes in X-ray Binaries and Gravitational-wave Sources. Astrophys. J. Lett. 2022, 929, L26. [Google Scholar] [CrossRef]
- Shafee, R.; McClintock, J.E.; Narayan, R.; Davis, S.W.; Li, L.X.; Remillard, R.A. Estimating the Spin of Stellar-Mass Black Holes by Spectral Fitting of the X-ray Continuum. Astrophys. J. 2006, 636, L113–L116. [Google Scholar] [CrossRef]
- Motta, S.E.; Belloni, T.M.; Stella, L.; Muñoz-Darias, T.; Fender, R. Precise mass and spin measurements for a stellar-mass black hole through X-ray timing: The case of GRO J1655-40. Mon. Not. R. Astron. Soc. 2014, 437, 2554–2565. [Google Scholar] [CrossRef]
- Kushnir, D.; Zaldarriaga, M.; Kollmeier, J.A.; Waldman, R. GW150914: Spin-based constraints on the merger time of the progenitor system. Mon. Not. R. Astron. Soc. 2016, 462, 844–849. [Google Scholar] [CrossRef]
- Hotokezaka, K.; Piran, T. Implications of the Low Binary Black Hole Aligned Spins Observed by LIGO. Astrophys. J. 2017, 842, 111. [Google Scholar] [CrossRef]
- Zaldarriaga, M.; Kushnir, D.; Kollmeier, J.A. The expected spins of gravitational wave sources with isolated field binary progenitors. Mon. Not. R. Astron. Soc. 2018, 473, 4174–4178. [Google Scholar] [CrossRef]
- Gerosa, D.; Berti, E.; O’Shaughnessy, R.; Belczynski, K.; Kesden, M.; Wysocki, D.; Gladysz, W. Spin orientations of merging black holes formed from the evolution of stellar binaries. Phys. Rev. D 2018, 98, 084036. [Google Scholar] [CrossRef]
- Stegmann, J.; Antonini, F. Flipping spins in mass transferring binaries and origin of spin-orbit misalignment in binary black holes. Phys. Rev. D 2021, 103, 063007. [Google Scholar] [CrossRef]
- Kalogera, V. Spin-Orbit Misalignment in Close Binaries with Two Compact Objects. Astrophys. J. 2000, 541, 319–328. [Google Scholar] [CrossRef]
- Mapelli, M.; Giacobbo, N.; Ripamonti, E.; Spera, M. The cosmic merger rate of stellar black hole binaries from the Illustris simulation. Mon. Not. R. Astron. Soc. 2017, 472, 2422–2435. [Google Scholar] [CrossRef]
- Giacobbo, N.; Mapelli, M.; Spera, M. Merging black hole binaries: The effects of progenitor’s metallicity, mass-loss rate and Eddington factor. Mon. Not. R. Astron. Soc. 2018, 474, 2959–2974. [Google Scholar] [CrossRef]
- Hurley, J.R.; Pols, O.R.; Tout, C.A. Comprehensive analytic formulae for stellar evolution as a function of mass and metallicity. Mon. Not. R. Astron. Soc. 2000, 315, 543–569. [Google Scholar] [CrossRef]
- Hurley, J.R.; Tout, C.A.; Pols, O.R. Evolution of binary stars and the effect of tides on binary populations. Mon. Not. R. Astron. Soc. 2002, 329, 897–928. [Google Scholar] [CrossRef]
- Vink, J.S.; de Koter, A.; Lamers, H.J.G.L.M. Mass-loss predictions for O and B stars as a function of metallicity. Astron. Astrophys. 2001, 369, 574–588. [Google Scholar] [CrossRef]
- Giacobbo, N.; Mapelli, M. The progenitors of compact-object binaries: Impact of metallicity, common envelope and natal kicks. Mon. Not. R. Astron. Soc. 2018, 480, 2011–2030. [Google Scholar] [CrossRef]
- Giacobbo, N.; Mapelli, M. The impact of electron-capture supernovae on merging double neutron stars. Mon. Not. R. Astron. Soc. 2019, 482, 2234–2243. [Google Scholar] [CrossRef]
- Fryer, C.L.; Belczynski, K.; Wiktorowicz, G.; Dominik, M.; Kalogera, V.; Holz, D.E. Compact Remnant Mass Function: Dependence on the Explosion Mechanism and Metallicity. Astrophys. J. 2012, 749, 91. [Google Scholar] [CrossRef]
- Mapelli, M.; Spera, M.; Montanari, E.; Limongi, M.; Chieffi, A.; Giacobbo, N.; Bressan, A.; Bouffanais, Y. Impact of the Rotation and Compactness of Progenitors on the Mass of Black Holes. Astrophys. J. 2020, 888, 76. [Google Scholar] [CrossRef]
- Özel, F.; Psaltis, D.; Narayan, R.; McClintock, J.E. The Black Hole Mass Distribution in the Galaxy. Astrophys. J. 2010, 725, 1918–1927. [Google Scholar] [CrossRef]
- Farr, W.M.; Sravan, N.; Cantrell, A.; Kreidberg, L.; Bailyn, C.D.; Mandel, I.; Kalogera, V. The Mass Distribution of Stellar-mass Black Holes. Astrophys. J. 2011, 741, 103. [Google Scholar] [CrossRef]
- Bray, J.C.; Eldridge, J.J. Neutron star kicks and their relationship to supernovae ejecta mass. Mon. Not. R. Astron. Soc. 2016, 461, 3747–3759. [Google Scholar] [CrossRef]
- Bray, J.C.; Eldridge, J.J. Neutron star kicks - II. Revision and further testing of the conservation of momentum ‘kick’ model. Mon. Not. R. Astron. Soc. 2018, 480, 5657–5672. [Google Scholar] [CrossRef]
- Giacobbo, N.; Mapelli, M. Revising Natal Kick Prescriptions in Population Synthesis Simulations. Astrophys. J. 2020, 891, 141. [Google Scholar] [CrossRef]
- Tauris, T.M.; Langer, N.; Podsiadlowski, P. Ultra-stripped supernovae: Progenitors and fate. Mon. Not. R. Astron. Soc. 2015, 451, 2123–2144. [Google Scholar] [CrossRef]
- Tauris, T.M.; Kramer, M.; Freire, P.C.C.; Wex, N.; Janka, H.T.; Langer, N.; Podsiadlowski, P.; Bozzo, E.; Chaty, S.; Kruckow, M.U.; et al. Formation of Double Neutron Star Systems. Astrophys. J. 2017, 846, 170. [Google Scholar] [CrossRef]
- Hobbs, G.; Lorimer, D.R.; Lyne, A.G.; Kramer, M. A statistical study of 233 pulsar proper motions. Mon. Not. R. Astron. Soc. 2005, 360, 974–992. [Google Scholar] [CrossRef]
- Repetto, S.; Igoshev, A.P.; Nelemans, G. The Galactic distribution of X-ray binaries and its implications for compact object formation and natal kicks. Mon. Not. R. Astron. Soc. 2017, 467, 298–310. [Google Scholar] [CrossRef]
- Atri, P.; Miller-Jones, J.C.A.; Bahramian, A.; Plotkin, R.M.; Jonker, P.G.; Nelemans, G.; Maccarone, T.J.; Sivakoff, G.R.; Deller, A.T.; Chaty, S.; et al. Potential kick velocity distribution of black hole X-ray binaries and implications for natal kicks. Mon. Not. R. Astron. Soc. 2019, 489, 3116–3134. [Google Scholar] [CrossRef]
- Hut, P. Tidal evolution in close binary systems. Astron. Astrophys. 1981, 99, 126–140. [Google Scholar]
- Bavera, S.S.; Zevin, M.; Fragos, T. Approximations of the Spin of Close Black Hole-Wolf-Rayet Binaries. Res. Notes Am. Astron. Soc. 2021, 5, 127. [Google Scholar] [CrossRef]
- Maccarone, T.J.; Kundu, A.; Zepf, S.E.; Rhode, K.L. A black hole in a globular cluster. Nature 2007, 445, 183–185. [Google Scholar] [CrossRef]
- Paxton, B.; Schwab, J.; Bauer, E.B.; Bildsten, L.; Blinnikov, S.; Duffell, P.; Farmer, R.; Goldberg, J.A.; Marchant, P.; Sorokina, E.; et al. Modules for Experiments in Stellar Astrophysics (MESA): Convective Boundaries, Element Diffusion, and Massive Star Explosions. Astrophys. J. Suppl. 2018, 234, 34. [Google Scholar] [CrossRef]
- Kroupa, P. On the variation of the initial mass function. Mon. Not. R. Astron. Soc. 2001, 322, 231–246. [Google Scholar] [CrossRef]
- Santoliquido, F.; Mapelli, M.; Giacobbo, N.; Bouffanais, Y.; Artale, M.C. The cosmic merger rate density of compact objects: Impact of star formation, metallicity, initial mass function, and binary evolution. Mon. Not. R. Astron. Soc. 2021, 502, 4877–4889. [Google Scholar] [CrossRef]
- Sana, H.; de Mink, S.E.; de Koter, A.; Langer, N.; Evans, C.J.; Gieles, M.; Gosset, E.; Izzard, R.G.; Le Bouquin, J.B.; Schneider, F.R.N. Binary Interaction Dominates the Evolution of Massive Stars. Science 2012, 337, 444. [Google Scholar] [CrossRef]
- Claeys, J.S.W.; Pols, O.R.; Izzard, R.G.; Vink, J.; Verbunt, F.W.M. Theoretical uncertainties of the Type Ia supernova rate. Astron. Astrophys. 2014, 563, A83. [Google Scholar] [CrossRef]
- Iorio, G.; Mapelli, M.; Costa, G.; Spera, M.; Escobar, G.J.; Sgalletta, C.; Trani, A.A.; Korb, E.; Santoliquido, F.; Dall’Amico, M.; et al. Compact object mergers: Exploring uncertainties from stellar and binary evolution with SEVN. Mon. Not. R. Astron. Soc. 2023, 524, 426–470. [Google Scholar] [CrossRef]
- Santoliquido, F.; Mapelli, M.; Bouffanais, Y.; Giacobbo, N.; Di Carlo, U.N.; Rastello, S.; Artale, M.C.; Ballone, A. The Cosmic Merger Rate Density Evolution of Compact Binaries Formed in Young Star Clusters and in Isolated Binaries. Astrophys. J. 2020, 898, 152. [Google Scholar] [CrossRef]
- Aghanim, N.; Akrami, Y.; Ashdown, M.; Aumont, J.; Baccigalupi, C.; Ballardini, M.; Banday, A.J.; Barreiro, R.B.; Bartolo, N.; Basak, S.; et al. Planck 2018 results. VI. Cosmological parameters. Astron. Astrophys. 2020, 641, A6. [Google Scholar] [CrossRef]
- Madau, P.; Fragos, T. Radiation Backgrounds at Cosmic Dawn: X-rays from Compact Binaries. Astrophys. J. 2017, 840, 39. [Google Scholar] [CrossRef]
- Loredo, T.J. Accounting for Source Uncertainties in Analyses of Astronomical Survey Data. In Proceedings of the Bayesian Inference and Maximum Entropy Methods in Science and Engineering: 24th International Workshop on Bayesian Inference and Maximum Entropy Methods in Science and Engineering, Garching, Germany, 25–30 July 2004; Fischer, R., Preuss, R., Toussaint, U.V., Eds.; American Institute of Physics Conference Series. Volume 735, pp. 195–206. [Google Scholar] [CrossRef]
- Mandel, I.; Farr, W.M.; Gair, J.R. Extracting distribution parameters from multiple uncertain observations with selection biases. Mon. Not. R. Astron. Soc. 2019, 486, 1086–1093. [Google Scholar] [CrossRef]
- Thrane, E.; Talbot, C. An introduction to Bayesian inference in gravitational-wave astronomy: Parameter estimation, model selection, and hierarchical models. Pub. Astron. Soc. Aus. 2019, 36, e010. [Google Scholar] [CrossRef]
- Patton, R.A.; Sukhbold, T.; Eldridge, J.J. Comparing compact object distributions from mass- and presupernova core structure-based prescriptions. Mon. Not. R. Astron. Soc. 2022, 511, 903–913. [Google Scholar] [CrossRef]
- Schneider, F.R.N.; Podsiadlowski, P.; Laplace, E. Bimodal Black Hole Mass Distribution and Chirp Masses of Binary Black Hole Mergers. Astrophys. J. Lett. 2023, 950, L9. [Google Scholar] [CrossRef]
- Di Carlo, U.N.; Giacobbo, N.; Mapelli, M.; Pasquato, M.; Spera, M.; Wang, L.; Haardt, F. Merging black holes in young star clusters. Mon. Not. R. Astron. Soc. 2019, 487, 2947–2960. [Google Scholar] [CrossRef]
- Dall’Amico, M.; Mapelli, M.; Di Carlo, U.N.; Bouffanais, Y.; Rastello, S.; Santoliquido, F.; Ballone, A.; Arca Sedda, M. GW190521 formation via three-body encounters in young massive star clusters. Mon. Not. R. Astron. Soc. 2021, 508, 3045–3054. [Google Scholar] [CrossRef]
- Antonini, F.; Gieles, M.; Dosopoulou, F.; Chattopadhyay, D. Coalescing black hole binaries from globular clusters: Mass distributions and comparison to gravitational wave data from GWTC-3. Mon. Not. R. Astron. Soc. 2023, 522, 466–476. [Google Scholar] [CrossRef]
- Biscoveanu, S.; Isi, M.; Vitale, S.; Varma, V. New Spin on LIGO-Virgo Binary Black Holes. Phys. Rev. Lett. 2021, 126, 171103. [Google Scholar] [CrossRef] [PubMed]
- Roulet, J.; Chia, H.S.; Olsen, S.; Dai, L.; Venumadhav, T.; Zackay, B.; Zaldarriaga, M. Distribution of effective spins and masses of binary black holes from the LIGO and Virgo O1-O3a observing runs. Phys. Rev. D 2021, 104, 083010. [Google Scholar] [CrossRef]
- Galaudage, S.; Talbot, C.; Nagar, T.; Jain, D.; Thrane, E.; Mandel, I. Building Better Spin Models for Merging Binary Black Holes: Evidence for Nonspinning and Rapidly Spinning Nearly Aligned Subpopulations. Astrophys. J. Lett. 2021, 921, L15. [Google Scholar] [CrossRef]
- Tong, H.; Galaudage, S.; Thrane, E. Population properties of spinning black holes using the gravitational-wave transient catalog 3. Phys. Rev. D 2022, 106, 103019. [Google Scholar] [CrossRef]
- Abbott, T.D.; Abraham, S.; Acernese, F.; Ackley, K.; Adams, C.; Buikema, A.; Adhikari, R.X.; Adya, V.B.; Affeldt, C.; Agathos, M.; et al. Open data from the first and second observing runs of Advanced LIGO and Advanced Virgo. SoftwareX 2021, 13, 100658. [Google Scholar] [CrossRef]
- Abbott, R.; Abe, H.; Acernese, F.; Ackley, K.; Adhicary, S.; Adhikari, N.; Adhikari, R.X.; et al. [The LIGO Scientific Collaboration, The Virgo Collaboration, The KAGRA Collaboration] Open data from the third observing run of LIGO, Virgo, KAGRA and GEO. arXiv 2023, arXiv:2302.03676. [Google Scholar] [CrossRef]
- Harris, C.R.; Millman, K.J.; van der Walt, S.J.; Gommers, R.; Virtanen, P.; Cournapeau, D.; Wieser, E.; Taylor, J.; Berg, S.; Smith, N.J.; et al. Array programming with NumPy. Nature 2020, 585, 357–362. [Google Scholar] [CrossRef]
- Virtanen, P.; Gommers, R.; Oliphant, T.E.; Haberland, M.; Reddy, T.; Cournapeau, D.; Burovski, E.; Peterson, P.; Weckesser, W.; Bright, J.; et al. SciPy 1.0: Fundamental Algorithms for Scientific Computing in Python. Nat. Methods 2020, 17, 261–272. [Google Scholar] [CrossRef]
- Hunter, J.D. Matplotlib: A 2D graphics environment. Comput. Sci. Eng. 2007, 9, 90–95. [Google Scholar] [CrossRef]





| b | Z | |||
|---|---|---|---|---|
| 2.258 | 16.0 | 24.2 | 0.13 | |
| 3.578 | 31.0 | 37.8 | 0.25 | |
| 2.434 | 18.0 | 27.7 | 0.0 | |
| 3.666 | 32.0 | 38.8 | 0.25 |
| Z | |||||
|---|---|---|---|---|---|
| 0.115 | - | - | ∞ | ||
| 0.105 | - | - | ∞ | ||
| 0.050 | 0.165 | ||||
| 0.125 | - | - | ∞ |
| Model Name | GM20 | 150 | 265 |
|---|---|---|---|
| G | −1 | 149 | 145 |
| G_B21 | −12 | 150 | 141 |
| M | 0 | 162 | 171 |
| M_B21 | 36 | 232 | 232 |
| F | −∞ | −∞ | −∞ |
| F_B21 | 88 | 250 | 242 |
| Max | 92 | 255 | 254 |
| Max_B21 | 106 | 257 | 250 |
| Model Name | GM20 | 150 | 265 |
|---|---|---|---|
| G | 35 | 146 | 147 |
| G_B21 | 47 | 149 | 154 |
| M | 141 | 192 | 190 |
| M_B21 | 130 | 199 | 180 |
| F | 85 | 146 | 138 |
| F_B21 | 185 | 207 | 180 |
| Max | 161 | 208 | 155 |
| Max_B21 | 160 | 206 | 200 |
Disclaimer/Publisher’s Note: The statements, opinions and data contained in all publications are solely those of the individual author(s) and contributor(s) and not of MDPI and/or the editor(s). MDPI and/or the editor(s) disclaim responsibility for any injury to people or property resulting from any ideas, methods, instructions or products referred to in the content. |
© 2023 by the authors. Licensee MDPI, Basel, Switzerland. This article is an open access article distributed under the terms and conditions of the Creative Commons Attribution (CC BY) license (https://creativecommons.org/licenses/by/4.0/).
Share and Cite
Périgois, C.; Mapelli, M.; Santoliquido, F.; Bouffanais, Y.; Rufolo, R. Binary Black Hole Spins: Model Selection with GWTC-3. Universe 2023, 9, 507. https://doi.org/10.3390/universe9120507
Périgois C, Mapelli M, Santoliquido F, Bouffanais Y, Rufolo R. Binary Black Hole Spins: Model Selection with GWTC-3. Universe. 2023; 9(12):507. https://doi.org/10.3390/universe9120507
Chicago/Turabian StylePérigois, Carole, Michela Mapelli, Filippo Santoliquido, Yann Bouffanais, and Roberta Rufolo. 2023. "Binary Black Hole Spins: Model Selection with GWTC-3" Universe 9, no. 12: 507. https://doi.org/10.3390/universe9120507
APA StylePérigois, C., Mapelli, M., Santoliquido, F., Bouffanais, Y., & Rufolo, R. (2023). Binary Black Hole Spins: Model Selection with GWTC-3. Universe, 9(12), 507. https://doi.org/10.3390/universe9120507

