Numerical Simulation of Ionospheric Disturbances Due to Rocket Plume and Its Influence on HF Radio Waves Propagation
Abstract
:1. Introduction
2. Kinetic Model
2.1. Neutral Gas Diffusion
2.2. Ion Chemical Reaction Process
2.3. Plasma Diffusion
2.4. 3D Ray Tracing
2.5. Experimental Parameter Setting
3. Simulation Results and Discussion
3.1. CO2 Releases Simulation Results
3.2. Simulation Results of Short-Wave Ray Tracing
4. Conclusions
- (1)
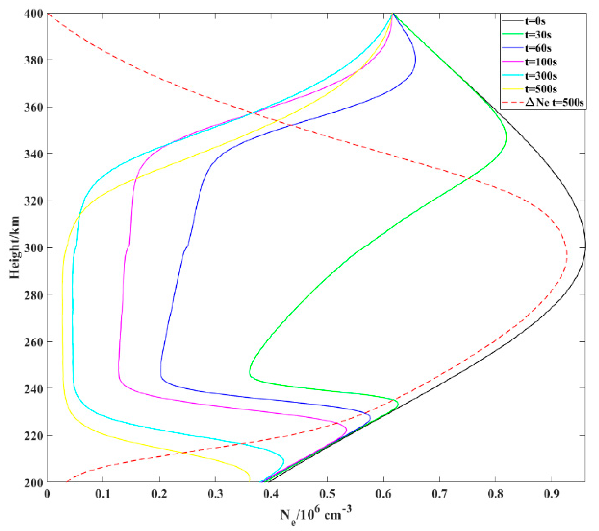
- The spatio-temporal distribution of ionospheric disturbances at 100 s, 300 s, 500 s and 700 s after the release of main chemical CO2 is simulated. Around 100 s after release, the spatial distribution of CO2 is a narrow ellipsoid at the bottom and wider at the top, which is due to the anisotropy of diffusion coefficient in the horizontal plane [24]. The vertical section of the east-west direction at y = 0 km is shaped like the flame of a candle, the concentration of the release is on the order of 106 cm−3 or above, and the horizontal section at z = 255 km is an approximate circle. After the release of CO2 for 100 s, the spatial distribution of electron density Ne is also similar to an ellipsoid, in which the upper is wide and the lower is narrow, but the vertical profile of electron density in the east-west direction at y = 0 km is approximately spindle-shaped. The horizontal section at z = 300 km is also close to a circle.
- (2)
- At the peak height of ionospheric electron density (~300 km), the electron density dissipates fastest and the radius of ionospheric hole is largest. We think that the reason for this phenomenon may be that the background atmospheric temperature increases with height increasing, and the diffusion coefficient of the release is positively correlated with the background atmospheric temperature. Thus, the diffusion coefficient of the released CO2 increases gradually as height increases [24]. The electron density increases at first and then decreases with the increase in height. The electron density is highest around 300 km, and the rate of ion chemical reaction with CO2 is fastest, so the radius of the ionospheric hole is largest at the peak height of ionospheric electron density.
- (3)
- By analyzing the ray tracing results, it can be found that the radio waves of 5 MHz are completely reflected by the ionosphere and cannot reach the ionospheric disturbance region. The radio waves of 6 MHz are completely reflected by the ionosphere and cannot reach the ionospheric disturbance zone at t = 100 s. With time going on, the volume of the cavity gradually increases and extends downward. More and more shortwave rays of 6 MHz with the elevation nearly 90° penetrate through the bottom of the ionospheric hole and finally return to the ground after complex refraction and reflection in the ionospheric disturbance zone. For the shortwave of 8 MHz, we find an interesting phenomenon that the “secondary focusing effect” occurs when the rays with an elevation range of 85~95° pass through the top of the cavity, and there is a “second focal point” at the height of about 400 km. However, this phenomenon is accidental and we believe that the “second focal point” is due to the reflection of HF shortwave on the walls of ionospheric holes. As time progresses, this phenomenon disappears at 300 s, and then there is only one focus. In addition, with the continuous increasing of incident frequency, the shortwaves of 10 MHz and 15 MHz will all penetrate the disturbance region and the ionosphere.
- (4)
- For the same incident frequency, with the increase in CO2 release time, the focusing effect of the radio wave is weakened gradually and the focus becomes higher; when the release time of CO2 remains the same, the focusing effect decreases with the increase in the radio signal frequency and the focus also rises.
Author Contributions
Funding
Institutional Review Board Statement
Informed Consent Statement
Data Availability Statement
Conflicts of Interest
References
- Booker, H.G. A local reduction of F-region ionization due to missile transit. J. Geophys. Res. 1961, 66, 1073–1079. [Google Scholar] [CrossRef]
- Mendillo, M.; Hawkins, G.S.; Klobuchar, J.A. A Large-Scale Hole in the Ionosphere Caused by the Launch of Skylab. Science 1975, 187, 343–346. [Google Scholar] [CrossRef]
- Mendillo, M.; Hawkins, G.S.; Klobuchar, J.A. A sudden vanishing of the ionosphericFregion due to the launch of Skylab. J. Geophys. Res. Earth Surf. 1975, 80, 2217–2228. [Google Scholar] [CrossRef] [Green Version]
- Zinn, J.; Sutherland, C.; Stone, S.; Duncan, L.; Behnke, R. Ionospheric effects of rocket exhaust products—heao-c, skylab. J. Atmos. Terr. Phys. 1982, 44, 1143–1171. [Google Scholar] [CrossRef]
- Savastano, G.; Komjathy, A.; Shume, E.; Vergados, P.; Ravanelli, M.; Verkhoglyadova, O.; Meng, X.; Crespi, M. Advantages of Geostationary Satellites for Ionospheric Anomaly Studies: Ionospheric Plasma Depletion Following a Rocket Launch. Remote Sens. 2019, 11, 1734. [Google Scholar] [CrossRef] [Green Version]
- Hu, Y.; Zhao, Z.; Zhang, Y. Ionospheric disturbances produced by chemical releases and the resultant effects on short-wave ionospheric propagation. J. Geophys. Res. Earth Surf. 2011, 116, 395–402. [Google Scholar] [CrossRef]
- Zhao, H.; Feng, J.; Xu, Z.; Wu, J.; Wu, Z.; Xu, B.; Xue, K.; Xu, T.; Hu, Y. A temporal three-dimensional simulation of samarium release in the ionosphere. J. Geophys. Res. Space Phys. 2016, 121, 508–519. [Google Scholar] [CrossRef]
- Zhao, H.-S.; Xu, Z.-W.; Tang, W.; Xu, Z.-H.; Xue, K.; Xie, S.-Z.; Zheng, Y.-S.; Wu, J.; Zhang, J.-D. Electromagnetic Scattering by Artificial Plasma Clouds in the Ionosphere. IEEE Trans. Antennas Propag. 2020, 68, 4810–4819. [Google Scholar] [CrossRef]
- Schunk, R.W.; Szuszczewicz, E.P. Plasma expansion characteristics of ionized clouds in the ionosphere: Macroscopic formulation. J. Geophys. Res. 1991, 96, 1337–1349. [Google Scholar] [CrossRef]
- Hu, Y.G.; Zhao, Z.Y.; Zhang, Y.N. Study on ionospheric release effects of several typical chemicals. Acta Phys. Sin. 2010, 59, 8293–8303. [Google Scholar]
- Gatsonis, N.A.; Hastings, D.E. A three-dimensional model and initial time numerical simulation for an artificial plasma cloud in the ionosphere. J. Geophys. Res. 1991, 96, 7623–7639. [Google Scholar] [CrossRef]
- Mendillo, M.; Semeter, J.; Noto, J. Finite element simulation (FES): A computer modeling technique for studies of chemical modification of the ionosphere. Adv. Space Res. 1993, 13, 55–64. [Google Scholar] [CrossRef]
- Wang, Y. A Study on Ionospheric Effect of the Rocket Plume. Ph.D. thesis, Wuhan University, Wuhan, China, 2008. (In Chinese). [Google Scholar]
- Ferguson, E.E. Rate constants of thermal energy binary ion-molecule reactions of aeronomic interest. At. Data Nucl. Data Tables 1973, 12, 159–178. [Google Scholar] [CrossRef]
- Bernhardt, P.A. A critical comparison of ionospheric depletion chemicals. J. Geophys. Res. Space Phys. 1987, 92, 4617–4628. [Google Scholar] [CrossRef]
- Anderson, D.N.; Bernhardt, P.A. Modeling the effects of an H2 gas release on the equatorial ionosphere. J. Geophys. Res. Space Phys. 1978, 83, 4777–4790. [Google Scholar] [CrossRef]
- Croft, T.A. Exact ray calculations in a quasi-parabolic ionosphere with no magnetic field. Radio Sci. 1968, 3, 69–74. [Google Scholar] [CrossRef]
- Davies, K.; Rush, C.M. High-frequency ray paths in ionospheric layers with horizontal gradients. Radio Sci. 1985, 20, 95–110. [Google Scholar] [CrossRef]
- Dyson, P.L.; Bennett, J.A. A model of the vertical distribution of the electron concentration in the ionosphere and its application to oblique propagation studies. J. Atmos. Terr. Phys. 1988, 50, 251–262. [Google Scholar] [CrossRef]
- Norman, R.J.; Cannon, P. A two-dimensional analytic ray tracing technique accommodating horizontal gradients. Radio Sci. 1997, 32, 387–396. [Google Scholar] [CrossRef]
- Haselgrove, J. Ray theory and a new method of ray tracing. Phys. Ionos. Proc. Phys. 1955, 23, 355–360. [Google Scholar]
- Jones, R.M. A three-dimensional ray-tracing computer program. Radio Sci. 1968, 3, 93–94. [Google Scholar] [CrossRef]
- Kelso, J.M. Ray Tracing in the ionosphere. Radio Sci 1968, 3, 1–12. [Google Scholar] [CrossRef]
- Lyu, H.J.; Fang, H.X.; Wang, S.C.; Gao, Z.; Meng, X. Numerical simulation of ionospheric modification by three representative chemical releases. Chin. J. Radio Sci. 2018, 33, 544–556, In Chinese. [Google Scholar] [CrossRef]
- Inston, H.H.; Curtis, A.R. A Ray-Tracing Program and its Application to the Computation of Frequency Deviations in a High-Frequency Signal. Radio Sci. 1968, 3, 27–32. [Google Scholar] [CrossRef]
- Zhu, J.; Fang, H.; Xia, F.; Wan, T.; Tan, X. Numerical Simulation of Ionospheric Disturbance Generated by Ballistic Missile. Adv. Math. Phys. 2019, 2019, 1–9. [Google Scholar] [CrossRef]
- Xu, Z.-W.; Zhao, H.-S.; Wu, J.; Feng, J.; Xu, B.; Zhang, Y.-B.; Xue, K.; Ma, Z.-Z. Temporal 3D refined simulation of SF6 release in the ionosphere. Adv. Space Res. 2017, 59, 1810–1819. [Google Scholar] [CrossRef]
- Zhao, H.-S.; Xu, Z.-W.; Wu, Z.-S.; Feng, J.; Wu, J.; Xu, B.; Xu, T.; Hu, Y.-L. A three-dimensional refined modeling for the effects of SF6 release in ionosphere. Acta Phys. Sin. 2016, 65, 261–271. [Google Scholar]










| Reaction Equation | Reaction Coefficient/cm3s−1 | |
|---|---|---|
| 1 | ||
| 2 |
Publisher’s Note: MDPI stays neutral with regard to jurisdictional claims in published maps and institutional affiliations. |
© 2022 by the authors. Licensee MDPI, Basel, Switzerland. This article is an open access article distributed under the terms and conditions of the Creative Commons Attribution (CC BY) license (https://creativecommons.org/licenses/by/4.0/).
Share and Cite
Gong, H.; Fang, H.; Li, Z. Numerical Simulation of Ionospheric Disturbances Due to Rocket Plume and Its Influence on HF Radio Waves Propagation. Universe 2022, 8, 331. https://doi.org/10.3390/universe8060331
Gong H, Fang H, Li Z. Numerical Simulation of Ionospheric Disturbances Due to Rocket Plume and Its Influence on HF Radio Waves Propagation. Universe. 2022; 8(6):331. https://doi.org/10.3390/universe8060331
Chicago/Turabian StyleGong, Hongwei, Hanxian Fang, and Zeyun Li. 2022. "Numerical Simulation of Ionospheric Disturbances Due to Rocket Plume and Its Influence on HF Radio Waves Propagation" Universe 8, no. 6: 331. https://doi.org/10.3390/universe8060331
APA StyleGong, H., Fang, H., & Li, Z. (2022). Numerical Simulation of Ionospheric Disturbances Due to Rocket Plume and Its Influence on HF Radio Waves Propagation. Universe, 8(6), 331. https://doi.org/10.3390/universe8060331

