PossibleExistence of Dark-Matter-Admixed Pulsar in the Disk Region of the Milky Way Galaxy
Abstract
1. Introduction
2. Interior Spacetime
3. Study of Physical Properties
3.1. Energy Density and Pressure
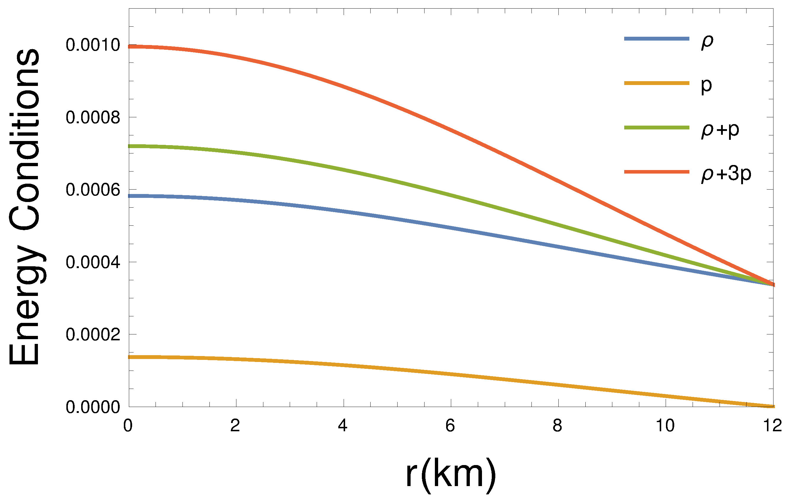
3.2. Energy Conditions
- (i)
- NEC:
- (ii)
- WEC: ,
- (iii)
- SEC: ,
- (iv)
- DEC:
3.3. Matching Conditions
3.4. Mass-Radius Relation and Surface Red-Shift
3.5. TOV Equation
3.6. Speed of Sound and Adiabatic Index
4. Discussion and Concluding Remarks
- (i)
- the singular isothermal sphere (SIS) profile for pulsars in the galactic halo region of different galaxies [73].
- (ii)
- the universal rotational curve (URC) profile for pulsars in the galactic halo region of Milky Way galaxy [75].
Author Contributions
Funding
Informed Consent Statement
Acknowledgments
Conflicts of Interest
References
- Leahy, D.; Ouyed, R. Supernova SN2006gy as a first ever Quark Nova? Mon. Not. R. Astron. Soc. 2008, 387, 1193. [Google Scholar] [CrossRef]
- Haensel, P.; Zdunik, Z.L.; Schaeffer, R. On Bianchi Type III String Cloud Universe Containing Strange Quark Matter. Astron. Astrophys. 1986, 160, 121. [Google Scholar]
- Alcock, C.; Farhi, E.; Olinto, A. On Bianchi Type III String Cloud Universe Containing Strange Quark Matter. Astrophys. J. 1986, 310, 261. [Google Scholar] [CrossRef]
- Farhi, E.; Jaffe, R.L. Strange matter. Phys. Rev. D 1984, 30, 2379. [Google Scholar] [CrossRef]
- Postnikov, S.; Prakash, M.; Lattimer, J.M. Tidal Love numbers of neutron and self-bound quark stars. Phys. Rev. D 2010, 82, 024016. [Google Scholar] [CrossRef]
- Dey, M.; Bombaci, I.; Dey, J.; Ray, S.; Samanta, B.C. Strange stars with realistic quark vector interaction and phenomenological density-dependent scalar potential. Phys. Lett. B 1998, 438, 123. [Google Scholar] [CrossRef]
- Lattimer, J.M.; Prakash, M. The Effective Chiral Model of Quantum Hadrodynamics Applied to Nuclear Matter and Neutron Stars. Phys. Rep. 2007, 442, 109. [Google Scholar] [CrossRef]
- Özel, F. The Effective Chiral Model of Quantum Hadrodynamics Applied to Nuclear Matter and Neutron Stars. Nature 2006, 441, 1115. [Google Scholar] [CrossRef]
- Özel, F.; Göver, T.; Psaitis, D. The black hole mass distribution in the galaxy. Astrophys. J. 2009, 693, 1775. [Google Scholar] [CrossRef]
- Özel, F.; Psaitis, D. Reconstructing the neutron-star equation of state from astrophysical measurements. Phys. Rev. D 2009, 80, 103003. [Google Scholar] [CrossRef]
- Özel, F.; Baym, G.; Göver, T. Astrophysical measurement of the equation of state of neutron star matter. Phys. Rev. D 2010, 82, 101301. [Google Scholar] [CrossRef]
- Göver, T.; Özel, F.; Cabrera-Lavers, A. The Distance, Mass, and Radius of the Neutron Star in 4U 1608-52. Astrophys. J. 2010, 712, 964. [Google Scholar] [CrossRef]
- Göver, T.; Wroblewski, P.; Camarota, L.; Özel, F. Measuring the basic parameters of neutron stars using model atmospheres. Astrophys. J. 2010, 719, 1807. [Google Scholar]
- Heap, S.R.; Corcoran, M.F. Properties of the massive X-ray binary 4U 1700-37 = HD 153919. Astrophys. J. 1992, 387, 340. [Google Scholar] [CrossRef]
- Lattimer, J.M.; Prakash, M. Ultimate Energy Density of Observable Cold Baryonic Matter. Phys. Rev. Lett. 2005, 94, 111101. [Google Scholar] [CrossRef]
- Stickland, D.; Lloyd, C.; Radzuin-Woodham, A. The orbit of the supergiant component of VELA X-1 derived from IUE radial velocities. Mon. Not. R. Astron. Soc. 1997, 286, L21. [Google Scholar] [CrossRef]
- Orosz, J.A.; Kuulkers, E. The optical light curves of Cygnus X-2 (V1341 Cyg) and the mass of its neutron star. Mon. Not. R. Astron. Soc. 1999, 305, 132. [Google Scholar] [CrossRef]
- Kerkwijk, J.H.V.; van Paradijis, J.; Zuiderwijk, E.J. On the masses of neutron stars. Astrophysics 1995, 303, 497. [Google Scholar]
- Rahaman, F.; Maulik, R.; Yadav, A.K.; Ray, S.; Sharma, R. Singularity-free dark energy star. Gen. Relativ. Gravit. 2012, 44, 107. [Google Scholar] [CrossRef]
- Rahaman, F.; Sharma, S.; Ray, S.; Maulick, R.; Karar, I. Strange stars in Krori-Barua space-time. Eur. Phys. J. C 2012, 72, 2071. [Google Scholar] [CrossRef]
- Kalam, M.; Rahaman, F.; Ray, S.; Hossein, S.; Karar, I.; Naskar, J. Anisotropic strange star with de Sitter spacetime. Eur. Phys. J. C 2012, 72, 2248. [Google Scholar] [CrossRef]
- Kalam, M.; Usmani, A.A.; Rahaman, F.; Hossein, S.M. A Relativistic Model for Strange Quark Star. Int. J. Theor. Phys. 2013, 52, 3319. [Google Scholar] [CrossRef]
- Kalam, M.; Rahaman, F.; Hossein, M.; Ray, S. Central density dependent anisotropic compact stars. Eur. Phys. J. C 2013, 73, 2409. [Google Scholar] [CrossRef]
- Kalam, M.; Rahaman, F.; Molla, S.; Jafry, M.; Kayum, A.; Hossein, S. Analytical model of strange star in the low-mass X-ray binary 4U 1820-30. Eur. Phys. J. C 2014, 74, 2971. [Google Scholar] [CrossRef]
- Kalam, M.; Rahaman, F.; Molla, S.; Hossein, S.M. Anisotropic quintessence stars. Astrophys. Space Sci. 2014, 349, 865. [Google Scholar] [CrossRef]
- Kalam, M.; Hossein, S.M.; Molla, S. Possible radii of compact stars: A relativistic approach. Mod. Phys. Lett. A 2016, 31, 1650219. [Google Scholar] [CrossRef]
- Kalam, M.; Hossein, S.M.; Islam, R.; Molla, S. Relativistic model of neutron stars in X-ray binary. Mod. Phys. Lett. A 2017, 32, 1750012. [Google Scholar] [CrossRef]
- Jafry, M.A.K.; Molla, S.; Islam, R.; Kalam, M. Analytical model of massive Pulsar J0348+0432. Astrophys. Space Sci. 2017, 362, 188. [Google Scholar] [CrossRef]
- Hossein, S.; Rahaman, F.; Naskar, J.; Kalam, M.; Ray, S. Anisotropic Compact stars with variable cosmological constant. Int. J. Mod. Phys. D 2012, 21, 1250088. [Google Scholar] [CrossRef]
- Lobo, F. Gravitation, Dark Matter and Dark Energy: The Real Universe. Class. Quantum Grav. 2006, 23, 1525. [Google Scholar] [CrossRef]
- Bronnikov, K.; Fabris, J.C. Regular Phantom Black Holes. Phys. Rev. Lett. 2006, 96, 251101. [Google Scholar] [CrossRef] [PubMed]
- Maurya, S.K.; Gupta, Y.K.; Ray, S.; Deb, D. Generalised model for anisotropic compact stars. Eur. Phys. J. C 2016, 76, 266. [Google Scholar] [CrossRef]
- Dayanandan, B.; Maurya, S.K.; Gupta, Y.K.; Smitha, T.T. Anisotropic generalization of Matese & Whitman solution for compact star models in general relativity. Astrophys. Space Sci. 2016, 361, 160. [Google Scholar]
- Maharaja, S.D.; Sunzub, J.M.; Ray, S. Some simple models for quark stars. Eur. Phys. J. Plus 2014, 129, 3. [Google Scholar] [CrossRef]
- Ngubelanga, S.; Maharaj, S.D.; Ray, S. Compact stars with quadratic equation of state. Astrophys. Space Sci. 2015, 357, 74. [Google Scholar] [CrossRef]
- Paul, B.C.; Chattopadhyay, P.K.; Karmakar, S. Relativistic Anisotropic Star and its Maximum Mass in Higher Dimensions. Astrophys. Space Sci. 2015, 356, 327. [Google Scholar] [CrossRef][Green Version]
- Pant, N.; Pradhan, N.; Murad, M.H. A class of super dense stars models using charged analogues of Hajj-Boutros type relativistic fluid solutions. Int. J. Theor. Phys. 2014, 53, 11. [Google Scholar] [CrossRef]
- Bhar, P.; Singh, K.N.; Sarkar, N.; Rahaman, F. A comparative study on generalized model of anisotropic compact star satisfying the Karmarkar condition. Eur. Phys. J. C 2017, 77, 9. [Google Scholar] [CrossRef]
- Kalam, M.; Hossein, S.M.; Molla, S. Neutron stars: A relativistic study. Res. Astron. Astrophys. 2018, 18, 025. [Google Scholar] [CrossRef]
- Molla, S.; Islam, R.; Jafry, M.A.K.; Kalam, M. Analytical model of compact star in low-mass X-ray binary with de Sitter spacetime. Res. Astron. Astrophys. 2019, 19, 026. [Google Scholar] [CrossRef]
- Islam, R.; Molla, S.; Kalam, M. Analytical model of strange star in Durgapal spacetime. Astrophys. Space Sci. 2019, 364, 112. [Google Scholar] [CrossRef]
- Hendi, S.H.; Bordbar, G.H.; Eslam Panha, B.; Panahiyan, S. Modified TOV in gravity’s rainbow: Properties of neutron stars and dynamical stability conditions. J. Cosmol. Astropart. Phys. 2016, 9, 013. [Google Scholar] [CrossRef]
- Hendi, S.H.; Bordbar, G.H.; Eslam Panha, B.; Panahiyan, S. Neutron stars structure in the context of massive gravity. J. Cosmol. Astropart. Phys. 2017, 7, 004. [Google Scholar] [CrossRef]
- Panah, B.E.; Bordbar, G.H.; Hendi, S.H.; Ruffini, R.; Rezaei, Z.; Moradi, R. Expansion of Magnetic Neutron Stars in an Energy (in)Dependent Spacetime. Astrophys. J. 2017, 848, 24. [Google Scholar] [CrossRef]
- Zwicky, F. Comparative Analysis of Existing and Alternative Version of the Special Theory of Relativity. Helv. Phys. Acta 1933, 6, 110. [Google Scholar]
- Zwicky, F. Republication of: The Redshift of Extragalactic Nebulae. Gen. Relativ. Gravit. 2009, 41, 207. [Google Scholar] [CrossRef]
- Rubin, V.C.; Ford, W.K., Jr. Rotation of the Andromeda Nebula from a Spectroscopic Survey of Emission Regions. Astrophys. J. 1970, 159, 379. [Google Scholar] [CrossRef]
- Olive, K.A. TASI Lectures on Dark Matter. arXiv 2003, arXiv:astro-ph/0301505. [Google Scholar]
- Munoz, C. Dark Matter Detection in the Light of Recent Experimental Results. Int. J. Mod. Phys. A 2004, 19, 3093. [Google Scholar] [CrossRef]
- Taoso, M.; Bertone, G.; Masiero, A. Dark matter candidates: A ten-point test. J. Cosmol. Astropart. Phys. 2008, 3, 022. [Google Scholar] [CrossRef]
- Lopes, I.; Silk, J. Probing the existence of a dark matter isothermal core using gravity modes. Astrophys. J. 2010, 722, L95. [Google Scholar] [CrossRef]
- Kouvaris, C.; Tinyakov, P. Can neutron stars constrain dark matter? Phys. Rev. D 2010, 82, 063531. [Google Scholar] [CrossRef]
- Turck-Chièze, S.; Lopes, I. Solar-stellar astrophysics and dark matter. Res. Astron. Astrophys. 2012, 12, 1107. [Google Scholar] [CrossRef]
- Lopes, I.; Silk, J. A particle dark matter footprint on the first generation of stars. Astrophys. J. 2014, 786, 25. [Google Scholar] [CrossRef][Green Version]
- Lopes, I.; Kadota, K.; Silk, J. Constraint on light dipole dark matter from helioseismology. Astrophys. J. Lett. 2014, 780, 2. [Google Scholar] [CrossRef]
- Brito, R.; Cardoso, V.; Okawa, H. Accretion of Dark Matter by Stars. Phys. Rev. Lett. 2015, 115, 111301. [Google Scholar] [CrossRef]
- Brito, R.; Cardoso, V.; Macedo, C.F.B.; Okawa, H.; Palenzuela, C. Interaction between bosonic dark matter and stars. Phys. Rev. D 2016, 93, 044045. [Google Scholar] [CrossRef]
- Martins, A.; Lopes, I.; Casanellas, J.; Martins, A.; Lopes, I.; Casanellas, J. Asteroseismic constraints on asymmetric dark matter: Light particles with an effective spin-dependent coupling. Phys. Rev. D 2017, 95, 023507. [Google Scholar] [CrossRef]
- Li, A.; Huang, F.; Xu, R.X. Too massive neutron stars: The role of dark matter? Astropart. Phys. 2012, 37, 70. [Google Scholar] [CrossRef]
- Li, X.; Wang, F.; Cheng, K.S. Gravitational effects of condensate dark matter on compact stellar objects. J. Cosmol. Astropart. Phys. 2012, 10, 031. [Google Scholar] [CrossRef]
- Panotopoulos, G.; Lopes, I. Gravitational effects of condensed dark matter on strange stars. Phys. Rev. D 2017, 96, 023002. [Google Scholar] [CrossRef]
- Narain, G.; Schaffner-Bielich, J.; Mishustin, I.N. Compact stars made of fermionic dark matter. Phys. Rev. D 2006, 74, 063003. [Google Scholar] [CrossRef]
- Leung, S.C.; Chu, M.C.; Lin, L.M. Equilibrium structure and radial oscillations of dark matter admixed neutron stars. Phys. Rev. D 2012, 85, 103528. [Google Scholar] [CrossRef]
- Mukhopadhyay, P.; Schaffner-Bielich, J. Quark stars admixed with dark matter. Phys. Rev. D 2016, 93, 083009. [Google Scholar] [CrossRef]
- Panotopoulos, G.; Lopes, I. Radial oscillations of strange quark stars admixed with condensed dark matter. Phys. Rev. D 2017, 96, 083004–083013. [Google Scholar] [CrossRef]
- Leung, S.C.; Chu, M.C.; Lin, L.M. Dark light, dark matter, and the misalignment mechanism. Phys. Rev. D 2011, 84, 107301. [Google Scholar] [CrossRef]
- Spergel, D.N.; Steinhardt, P.J. Observational evidence for self-interacting cold dark matter. Phys. Rev. Lett. 2000, 84, 3760. [Google Scholar] [CrossRef]
- Sandin, F.; Ciarcelluti, P. Effects of mirror dark matter on neutron stars. Astropart. Phys. 2009, 32, 278. [Google Scholar] [CrossRef]
- Mukhopadhyay, S.; Atta, D.; Imam, K.; Basu, D.N.; Samanta, C. Compact bifluid hybrid stars: Hadronic matter mixed with self-interacting fermionic asymmetric dark matter. Eur. Phys. J. C 2017, 77, 440. [Google Scholar] [CrossRef]
- Rezaei, Z. Study of Dark-Matter Admixed Neutron Stars using the Equation of State from the Rotational Curves of Galaxies. Astrophys. J. 2017, 835, 33. [Google Scholar] [CrossRef]
- Rezaei, Z. Double dark-matter admixed neutron star. Int. J. Mod. Phys. D 2018, 27, 1950002. [Google Scholar] [CrossRef]
- Takisa, P.M.; Leeuw, L.L.; Maharaj, S.D. Model of compact star with ordinary and dark matter. Astrophys. Space Sci. 2020, 365, 164. [Google Scholar] [CrossRef]
- Molla, S.; Ghosh, B.; Kalam, M. Does dark matter admixed pulsar exists? Eur. Phys. J. Plus 2020, 135, 362. [Google Scholar] [CrossRef]
- Lelli, F.; McGaugh, S.S.; Schombert, J.M. SPARC: Mass models for 175 disk galaxies with Spitzer photometry and accurate rotation curves. Astrophys. J. 2016, 152, 157. [Google Scholar] [CrossRef]
- Rahman, N.; Molla, S.; Kalam, M. Possible existence of dark matter admixed pulsar. Eur. Phys. J. Plus 2020, 135, 637. [Google Scholar] [CrossRef]
- Maccio, A.V.; Stinson, G.; Brook, C.B.; Wadsley, J.; Couchman, H.M.P.; Shen, S.; Gibson, B.K.; Quinn, T. Halo expansion in cosmological hydro simulations: Toward a baryonic solution of the cusp/core problem in massive spirals. Astrophys. J. Lett. 2012, 744, L9. [Google Scholar] [CrossRef]
- Castignani, G.; Frusciante, N.; Vernieri, D.; Salucci, P. The density profiles of dark matter halos in spiral galaxies. Nat. Sci. 2012, 4, 265. [Google Scholar] [CrossRef]
- Navarro, J.F.; Frenk, C.S.; White, S.D.M. The Structure of Cold Dark Matter Halos. Astrophys. J. 1996, 462, 563. [Google Scholar] [CrossRef]
- Razeira, M.; Mesquita, A. Accretion of dark matter in neutron stars. Int. J. Mod. Phys. E 2011, 20, 109–116. [Google Scholar] [CrossRef]
- Takisa, P.M.; Maharaj, S.D.; Leeuw, L.L. Effect of electric charge on conformal compacts stars. Eur. Phys. J. C 2019, 79, 8. [Google Scholar] [CrossRef]
- Matondo, D.K.; Maharaj, S.D.; Ray, S. Relativistic stars with conformal symmetry. Eur. Phys. J. C 2018, 78, 437. [Google Scholar] [CrossRef]
- Maurya, S.K.; Gupta, Y.K.; Ray, S.; Chowdhury, S.R. Spherically symmetric charged compact stars. Eur. Phys. J. C 2015, 75, 389. [Google Scholar] [CrossRef]
- Maurya, S.K.; Banerjee, A.; Jasim, M.K.; Kumar, J.; Prasad, A.K.; Pradhan, A. Anisotropic compact stars in the Buchdahl model: A comprehensive study. Phys. Rev. D 2019, 99, 044029. [Google Scholar] [CrossRef]
- Dayanandana, B.; Maurya, S.K.; Smitha, T.T. Modeling of charged anisotropic compact stars in general relativity. Eur. Phys. J. A 2017, 53, 141. [Google Scholar] [CrossRef]
- Maurya, S.K. Relativistic modeling of compact stars for anisotropic matter distribution. Eur. Phys. J. A 2017, 53, 89. [Google Scholar] [CrossRef]
- Gedela, S.; Bisht, R.K.; Pant, N. Stellar modeling of PSR J1614-2230 using the Karmakar condition. Eur. Phys. J. A 2018, 54, 207. [Google Scholar] [CrossRef]
- Singh, K.N.; Pant, N.; Govender, M. Anisotropic compact stars in Karmarkar spacetime. Chin. Phys. C 2017, 41, 015103. [Google Scholar] [CrossRef]
- Rahaman, F.; Maharaj, S.D.; Sardar, I.H.; Chakraborty, K. Conformally symmetric relativistic star. Mod. Phys. Lett. A 2017, 32, 1750053. [Google Scholar] [CrossRef]
- Jasim, M.K.; Maurya, S.K.; Gupta, Y.K.; Dayanandan, B. Well behaved anisotropic compact star models in general relativity. Astrophys. Space Sci. 2016, 361, 352. [Google Scholar] [CrossRef]
- Takisa, P.M.; Maharaj, S.D. Anisotropic charged core envelope star. Astrophys. Space Sci. 2016, 361, 262. [Google Scholar]
- Maurya, S.K.; Jasim, M.K.; Gupta, Y.K.; Smitha, T.T. Relativistic Polytropic Models for Neutral Stars with Vanishing Pressure Anisotropy. Astrophys. Space Sci. 2016, 361, 163. [Google Scholar] [CrossRef]
- Singh, K.N.; Pradhan, N.; Pant, N. New interior solution describing relativistic fluid sphere. Pramana J. Phys. 2017, 89, 23. [Google Scholar] [CrossRef]
- Heintzmann, H. Newtonian Time in General Relativity. Z. Phys. 1969, 228, 489. [Google Scholar] [CrossRef]
- Barranco, J.; Bernal, A.; Nunez, D. Dark matter equation of state from rotational curves of galaxies. arXiv 2015, arXiv:1301.6785V1. [Google Scholar] [CrossRef]
- Buchdahl, H.A. General Relativistic Fluid Spheres. Phys. Rev. 1959, 116, 1027. [Google Scholar] [CrossRef]
- Haensel, P.; Lasopa, J.P.; Zdunik, J.L. Maximum redshift and minimum rotation period of neutron stars. Nucl. Phys. Proc. Suppl. 2000, 80, 1110. [Google Scholar]
- Herrera, L. Cracking of self-gravitating compact objects. Phys. Lett. A 1992, 165, 206. [Google Scholar] [CrossRef]
- Abreu, H.; Hernandez, H.; Nunez, L.A. Sound Speeds, Cracking and Stability of Self-Gravitating Anisotropic Compact Objects. Class. Quantum Gravit. 2007, 24, 4631. [Google Scholar] [CrossRef]
- Chandrasekhar, S. The Dynamical Instability of Gaseous Masses Approaching the Schwarzschild Limit in General Relativity. Astrophys. J. 1964, 140, 417. [Google Scholar] [CrossRef]
- Bardeen, J.M.; Thorne, K.S.; Meltzer, D.W. Catalog of methods for studying the normal modes of radial pulsation of general relativistic stellar models. Astrophys. J. 1966, 145, 505. [Google Scholar] [CrossRef]
- Knutsen, H. On the stability and physical properties of an exact relativistic model for a superdense star. Mon. Not. R. Astron. Soc. 1988, 232, 163. [Google Scholar] [CrossRef]
- Mak, M.K.; Harko, T. Isotropic stars in general relativity. Eur. Phys. J. C 2013, 73, 2585. [Google Scholar] [CrossRef]
- Ho, W.C.G.; Espinoza, C.M.; Antonopoulou, D.; Andersson, N. Pinning down the superfluid and measuring masses using pulsar glitches. Sci. Adv. 2015, 1, e1500578. [Google Scholar] [CrossRef]









| PSR | Distanc (kpc) | Observed Mass [103] | Radius from Model (km) | Compactness from Model | Red-Shift from Model | 
|---|---|---|---|---|---|
| J 0045-7319 | 57 | 
| PSR | Distance (kpc) | Equation of State | Observed Mass [103] | Radius from Model (km) | Compactness from Model | Red-Shift from Model | 
|---|---|---|---|---|---|---|
| J 0537-6910 | 52.122 | BSk 20 | ||||
| J 0537-6910 | 52.122 | BSk 21 | ||||
| J 0537-6910 | 52.122 | APR | 
| Dark Matter Profile | Radius from Model (km) | Compactness from Model | Red-Shift from Model | 
|---|---|---|---|
| NFW | |||
| URC | |||
| SIS | 
| Equation of State | Dark Matter Profile | Radius from Model (km) | Compactness from Model | RedShift from Model | 
|---|---|---|---|---|
| BSk 20 | NFW | |||
| BSk 20 | URC | |||
| BSk 20 | SIS | |||
| BSk 21 | NFW | |||
| BSk 21 | URC | |||
| BSk 21 | SIS | |||
| APR | NFW | |||
| APR | URC | |||
| APR | SIS | 
| Dark Matter Profile | a (in km) | C | m | K | (in kpc) | (in | (in kpc) | (in ) | 
|---|---|---|---|---|---|---|---|---|
| NFW | * | 20 | * | * | ||||
| URC | * | * | * | |||||
| SIS | * | * | * | * | 
| Publisher’s Note: MDPI stays neutral with regard to jurisdictional claims in published maps and institutional affiliations. | 
© 2022 by the authors. Licensee MDPI, Basel, Switzerland. This article is an open access article distributed under the terms and conditions of the Creative Commons Attribution (CC BY) license (https://creativecommons.org/licenses/by/4.0/).
Share and Cite
Rahman, N.; Murshid, M.; Molla, S.; Kalam, M. PossibleExistence of Dark-Matter-Admixed Pulsar in the Disk Region of the Milky Way Galaxy. Universe 2022, 8, 652. https://doi.org/10.3390/universe8120652
Rahman N, Murshid M, Molla S, Kalam M. PossibleExistence of Dark-Matter-Admixed Pulsar in the Disk Region of the Milky Way Galaxy. Universe. 2022; 8(12):652. https://doi.org/10.3390/universe8120652
Chicago/Turabian StyleRahman, Nilofar, Masum Murshid, Sajahan Molla, and Mehedi Kalam. 2022. "PossibleExistence of Dark-Matter-Admixed Pulsar in the Disk Region of the Milky Way Galaxy" Universe 8, no. 12: 652. https://doi.org/10.3390/universe8120652
APA StyleRahman, N., Murshid, M., Molla, S., & Kalam, M. (2022). PossibleExistence of Dark-Matter-Admixed Pulsar in the Disk Region of the Milky Way Galaxy. Universe, 8(12), 652. https://doi.org/10.3390/universe8120652
 
        


 
       