Three-Dimensional Quantum Black Holes: A Primer
Abstract
1. Overview
Road Map and High-Level Summary
2. Black Holes and Backreaction in 3D: A Perturbative Analysis
2.1. Three-Dimensional Black Holes and Conical Defects
2.2. Backreaction and Quantum Dressing
3. Braneworld Holography and Quantum Black Holes
3.1. AdS/CFT Dictionary and Holographic Renormalization
Holographic Renormalization
3.2. Braneworld Holography
3.3. Double Holography
- Bulk: The bulk perspective is that of classical dynamical gravity in coupled to an asymptotically ETW brane of tension . The simplest set-up assumes Einstein gravity plus a purely tensional brane; however, it is in principle possible to include higher-curvature corrections or fields to the bulk or brane actions. Israel junction conditions determine the location of the brane in the bulk, such that for a purely tensional brane, tuning the tension constitutes changing the position of the brane.
- Intermediate: The intermediate brane viewpoint describes induced dynamical gravity coupled to a UV cutoff UV, which further communicates with a boundary CFT (BCFT) via transparent boundary conditions. Bulk graviton fluctuations localize on the brane [13,14]. A subset of these graviton modes are light states with mass controlled by the tension; hence, the induced brane theory is an example of a massive theory of gravity. The remaining bulk graviton modes appear as a tower of Kaluza–Klein modes with masses set by the effective brane length scale .
- Boundary: Holographically, the bulk system has a dual description in terms of a with a boundary (where the brane intersects the boundary), i.e., a boundary . This set-up constitutes AdS/BCFT [57,58]. This perspective emerges when the brane gravity itself has a dual description in terms of a -dimensional conformal defect. Upon replacing the brane gravity by a conformal defect (by integrating out the bulk and brane), the boundary perspective is characterized by the on a fixed background, which is coupled to the defect. The boundary perspective is thus a UV/microscopic description of the bulk/brane gravity viewpoints.
3.4. Holographic Quantum Black Holes: A Conjecture
4. Quantum Black Hole Taxonomy
4.1. Bulk Geometry: AdS C-Metric
4.1.1. Horizons and Bulk Regularity
4.1.2. Karch–Randall Braneworld Construction
4.1.3. Karch–Randall Braneworld Holography
4.2. Quantum BTZ Black Holes
4.2.1. Static Quantum BTZ
4.2.2. Rotating Quantum BTZ
Bulk and Brane Geometry
Quantum Black Hole
4.2.3. Charged Quantum BTZ
Bulk and Brane Geometry
Induced Brane Theory
Quantum Black Hole
A Family of Charged Quantum Black Holes
- : for , is bounded above by 1, as . For , this upper bound is lowered to
- : for , covers the whole real line, approaching from above as and vice versa. Turning on , the maximum is
- : in the neutral case, the parameter range is equivalent to the case; however, for , thenwith
4.3. Quantum dS Black Holes
4.3.1. Bulk Set-Up
4.3.2. Quantum Schwarzschild–de Sitter
4.3.3. Quantum Kerr–de Sitter
Horizon Structure
4.4. Quantum Black Holes in Flat Space
4.4.1. Bulk Set-Up
4.4.2. Quantum Schwarzschild Black Hole
4.4.3. Quantum Kerr Black Hole
4.5. Horizon Structure
5. Quantum Black Hole Thermodynamics
5.1. Bulk Thermodynamics
Gravitational Path Integral Approach
5.2. Identifying Bulk and Brane Thermodynamics
5.3. Quantum BTZ Black Holes
5.3.1. Static Quantum BTZ
Entropy
The First Law of Thermodynamics
5.3.2. Rotating Quantum BTZ
5.3.3. Charged Quantum BTZ
5.4. Quantum dS Black Holes
5.4.1. Quantum Schwarzschild–de Sitter
Temperature
Entropy and the First Law
Nariai Limit
5.4.2. Quantum Kerr–de Sitter
5.5. Quantum Black Holes in Flat Space
5.5.1. Quantum Schwarzschild Black Hole
5.5.2. Quantum Kerr Black Hole
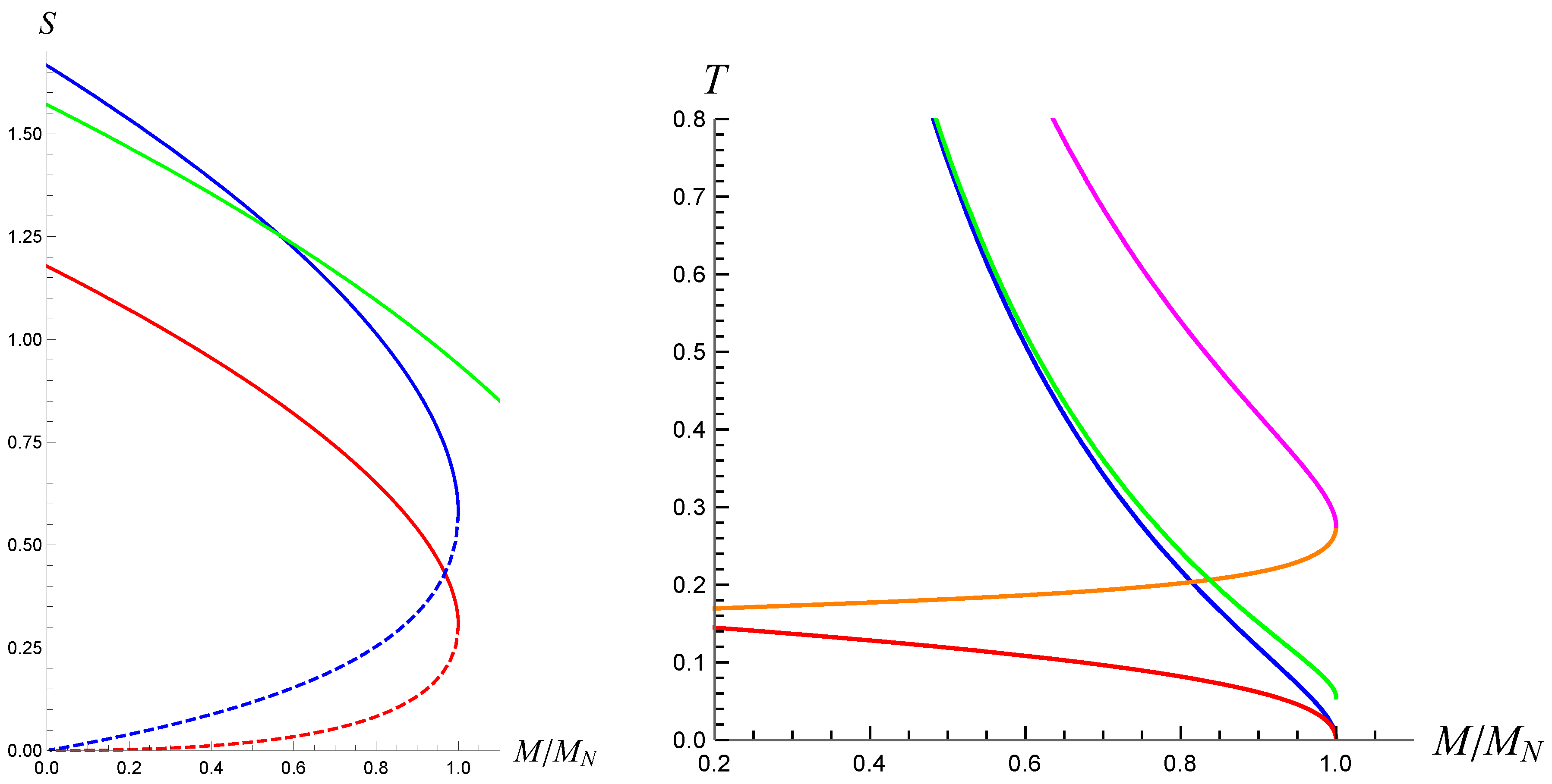
5.6. Extended Black Hole Thermodynamics
5.7. Quantum Reverse Isoperimetric Inequality
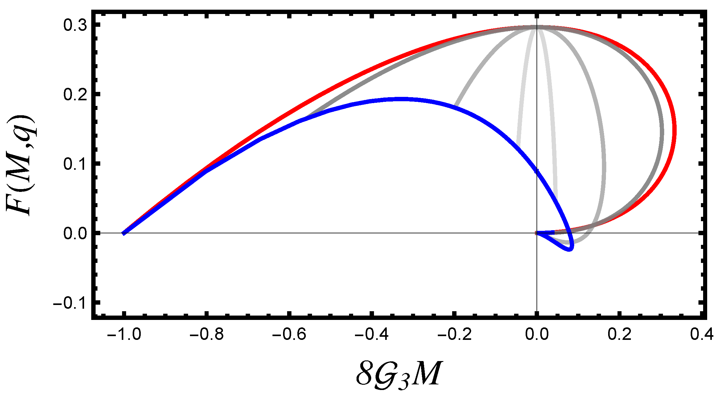
5.8. Phase Transitions of Quantum Black Holes
6. Braneworld Black Holes in Higher Dimensions
6.1. Higher-Dimensional Quantum Black Holes?
6.2. Predictions from Holography
6.3. Counterexamples
6.4. Evaporating Braneworld Black Holes
7. Outlook and Applications
7.1. Applications
7.1.1. Holographic Entanglement and Gravitational Entropy
7.1.2. The Entropy of Hawking Radiation
7.1.3. Holographic Complexity
- In the braneworld effective theory, CV admits a semi-classical expansion of the formwith the leading term being the complexity of the classical black hole, is the change in the volume due to the quantum backreaction, represents higher curvature terms akin to the Wald corrections to the Bekentein–Hawking entropy, and is the complexity of the bulk state defined on . Note that the structure of (302) resembles an expansion of the QES prescription (296). Furthermore, (302) does satisfy the late time growth (301), upon replacing S with the generalized entropy .
- Conversely, CA does not simplify to the classical three-dimensional CA proposal plus corrections. The action involves cancellations among the bulk, boundary, and joint terms, making the late-time growth highly sensitive to quantum effects. As a result, the late time behavior (301) is not reproduced. This discrepancy arises because the WdW patch extends to the singularity, whose structure is significantly altered by quantum backreaction, leading to substantial quantum contributions to CA.
7.1.4. Singularity Probes and Quantum Cosmic Censorship
7.1.5. Imprints of Quantum Backreaction beyond Thermal Equilibrium
Author Contributions
Funding
Acknowledgments
Conflicts of Interest
Appendix A. Conventions
Appendix A.1. Background Geometry
Appendix A.2. Hypersurface Geometry
Appendix A.3. Neumann Boundary Conditions and the Brane Equations of Motion
Appendix B. Holographic Regularization: A Detailed Summary
Appendix B.1. Fefferman-Graham Expansion and Einstein’s Equations
Appendix B.2. Perturbatively Solving Einstein’s Equations
Appendix B.3. Regulated Bulk Action
Regulated Action on Boundary
Appendix C. Braneworld Basics
Appendix C.1. Braneworld Bestiary

Appendix C.2. Stringy Connections
Appendix D. Geometric Elements of the C-Metric
Appendix D.1. C-Metric from Plebanski–Demianski
Appendix D.2. C-Metric Used for Braneworld Black Hole
Appendix D.3. Factorized C-Metric
Appendix D.4. Some Properties of the C-Metric
With Rotation
Appendix D.5. AdS C-Metric on the Poincaré Disk
Appendix D.5.1. Hyperbolic Disk
- Hyperbolic: Let be a radial coordinate and a hyperbolic angle. Then, the coordinate parametrizationleads to the induced two-dimensional geometry for
- Polar: Let be a radial coordinate and a polar angle. Thenyields the two-dimensional induced geometry
- Exponential: Let be a radial coordinate and a hyperbolic angle. With coordinatesthe induced two-dimensional metric is
Appendix D.5.2. AdS3 Foliations
Appendix D.5.3. dS3 Foliations
Appendix D.5.4. Flat Foliations
Appendix E. On-Shell Euclidean Action of AdS C-Metric
Appendix E.1. Geometry
Appendix E.2. On-Shell Euclidean Action
Appendix E.3. Thermodynamics in the Canonical Ensemble
| 1 | |
| 2 | There exist a set of AdS boundary conditions for which the boundary metric becomes dynamical [10]. |
| 3 | Going beyond the planar limit corresponds to including bulk quantum effects. |
| 4 | We will always work in units where the speed of light . |
| 5 | Since we have set , mass has dimensions of inverse length while has dimensions of length. |
| 6 | Unlike the higher-dimensional black holes, the BTZ black hole does not possess a curvature singularity at ; indeed, the curvature is constant everywhere. Rather, describes a timelike/causal singularity. |
| 7 | |
| 8 | The coordinate transformation (13) is now , and . |
| 9 | |
| 10 | For conical (A)dS, the attractive gravitational effect is a by-product of a negative Casimir energy density from (18), . This follows because a region of localized negative energy has a repulsive effect on its exterior; however, the further one enters the region, the repulsive effect is lessened. Thus, at finite r, there is an effective attraction from the Casimir energy [26]. |
| 11 | A concrete realization of AdS/CFT duality is that of super Yang–Mills theory, a superconformal field theory, which is dual to type IIB string theory on , where the ’t Hooft coupling controls the curvature scale of whilst the string coupling is . In the large-N limit, stringy interactions are thus suppressed and forces curvatures to be small, such that the string theory may be replaced by an effectively classical gravity. |
| 12 | In this section, we have set . |
| 13 | For bulk with conformal boundary , the d-dimensional field theory lives on a d-dimensional manifold that belongs to the conformal class of . By choosing an appropriate conformal, the field theory may be placed on . The choice of boundary metric fixes the boundary condition the bulk saddle-point geometry must obey and amounts to fixing the non-normalizable mode of the bulk graviton. |
| 14 | In principle, one would like to integrate , where is the other side of the asymptotic boundary. However, for , the entire analysis takes place near the region and breaks down far into the bulk to the region. Indeed, the expansion (24) is valid near the boundary. When , however, the three-dimensional Weyl tensor is identically zero everywhere, such that the perturbative expansion truncates and the -integration can be carried out explicitly, e.g., [19,50]. |
| 15 | A notion of double holography was proposed in a Randall–Sundrum set-up [26], where the analog of defect is given by two Euclidean CFTs, which is disconnected from the boundary viewpoint. |
| 16 | |
| 17 | Equally, , and thus the gravitational brane action is recognized as an expansion in small . Moreover, from the brane perspective, the short-distance UV cutoff of the CFT goes like such that the higher-derivative terms also correspond to an expansion in the UV cutoff. |
| 18 | |
| 19 | |
| 20 | There are other mechanisms to induce two-dimensional dilaton gravity on the brane without explicitly introducing a DGP term. These include, for example, using ‘wedge holography’ to uncover AdS- or dS-JT gravity [79,80,81,82], or via the holography of a deformed braneworld [83], which yields a host of dilaton-gravity models on a two-dimensional brane. |
| 21 | Indeed, a black hole will grow if in the background for a null generator of the horizon . A black hole thus remains static when . Since the brane stress tensor is proportional to the induced metric, the static condition translates to , i.e., the lies entirely on the brane, which occurs when the radial direction orthogonal to the black hole is tangent to the brane. |
| 22 | To see this, rearrange the bulk length scale (41) to find and . It follows that the only positive real root to the cubic occurs when . Moreover, cast in this way, it is clear the acceleration and negative curvature of counteract one another such that the restriction effectively removes the acceleration horizon. |
| 23 | |
| 24 | Note taking large is consistent with keeping small. Indeed, the large central charge limit has (equivalently, the semi-classical bulk limit for four-dimensional Planck length ), which is consistent for solutions with and when four-dimensional bulk quantum effects are neglected. |
| 25 | |
| 26 | Perturbative corrections to black hole solutions in semi-classical new massive gravity give rise to logarithmic terms in the blackening factor [93]. This suggests a resummation of the infinite tower of higher-derivative terms in the induced action (the term being that of new massive gravity) eliminates the logarithmic dependence. |
| 27 | This can be easily seen by performing the coordinate transformation and in the brane geometry (80). For large r, the component of the geometry diverges as . |
| 28 | In addition to the local counterterms in pure gravity, p-form fields (where corresponds to Maxwell) may require a local counterterm subtraction. As reported in [97], for a -dimensional bulk, when , there are no divergences, while a logarithmic divergence appears for , and there will be divergences for . Further, for with , derivatives of and its coupling to curvature appear in the conformal anomaly such that counterterms are needed for . Thus, the four-dimensional Maxwell action has no divergences as the IR cutoff . Such terms, however, contribute to the brane because the brane effective action keeps the cutoff finite and non-zero. |
| 29 | The rotating qBTZ metric (91) follows from the double replacement and such that . |
| 30 | By AdS ‘horizon’, we mean the null hypersurface infinitely far from the brane in spacelike directions, but it can nonetheless be reached by an observer in finite proper time. |
| 31 | |
| 32 | A first law for the charged C-metric with vanishing cosmological constant was derived in [122] using covariant phase space methods, where, moreover, ‘boost time’ was treated as canonical time. |
| 33 | More carefully, the projection of the bulk Killing vector is for projector . Consequently, the surface gravity on the brane coincides with the bulk surface gravity: , for projected covariant derivative , implies . |
| 34 | It is not obvious that Equation (205) is geometrically equal to the BTZ black hole entropy. Indeed, substituting into (205) does not yield the usual . This is because the qBTZ represents a family of black hole solutions and a specific must be chosen to match the classical black hole. Nonetheless, for any z, the relation (205) holds. |
| 35 | |
| 36 | Note for spacelike and timelike unit normals and , respectively. The binormal satisfies , and for bulk metric . |
| 37 | |
| 38 | The parametrization depends on , such that the range of the three branches is covered by imposing . |
| 39 | Start with , replace , , and , and then rearrange. |
| 40 | The thermodynamics of the rotating qBTZ solution follows from the reassignments and , such that , and . |
| 41 | |
| 42 | For , the real positive root to is , such that . Meanwhile, the real positive root for is . |
| 43 | The interpretation of the thermodynamic volume remains fairly mysterious. In simple cases, e.g., static black holes in , v coincides with the geometric volume occupied by the black hole, i.e., the amount of spacetime volume excluded by the black hole horizon. Generally, however, the thermodynamic volume (270) differs from the geometric volume [142,143,144]. |
| 44 | This is not to say the thermodynamic volume does not have a geometric character. Indeed, in classical gravity, the thermodynamic volume has a geometric definition in terms of Komar integrals. In this sense, moreover, the definition of the thermodynamic volume is independent of treating the cosmological constant as a thermodynamic variable. |
| 45 | |
| 46 | |
| 47 | Notably, the three branches described here do not coincide with branches , , and 2 characterizing the mass of the qBTZ [25]. A more detailed study of these phases, including a stability analysis and their critical behavior, was given in [124,170,171]. Interestingly, in a fixed c and V ensemble, phase transitions between cold and hot black holes occur, demonstrating continuous critical phenomena along the coexistence curve, with critical exponents that deviate from those observed in mean-field Van der Waals fluids [171]. |
| 48 | |
| 49 | |
| 50 | |
| 51 | To arrive at the second equality, use that in d-spacetime dimensions and the relation between the brane and bulk Newton’s constants (35). Then, for , . |
| 52 | Roughly, the argument of [69] is as follows. Consider super Yang–Mills theory on a sphere of radius R. There are weakly interacting states (‘glueballs’) with energies and strongly coupled states with energies . At large ’t Hooft coupling , AdS/CFT says the field theory is dual to closed string theory, where the glueball states correspond to perturbative string excitations in the ambient spacetime. Further, in this limit, the energy separation for weakly interacting states goes like . Hence, the glueball spectrum is lifted to infinite energy apart from the massless states dual to the supergravity modes of the string and gravitational perturbations dual to of the states. A caveat to this reasoning, however, is that in the flat space limit , the mass gap might disappear. |
| 53 | Fitzpatrick, Randall, and Wiseman also argue that the dynamical instability dual to semi-classical evaporation is unlikely to occur [69]. Even if it did, the timescales of the bulk Gregory–Laflamme instability and thermodynamic instability of the Schwarzschild black hole via Hawking radiation are different [209]. |
| 54 | |
| 55 | The appeal of the large-D limit is that the effective dynamics of the (bulk) black hole horizon is encoded in a set of two partial differential equations which can be solved numerically and quickly. A large-D expansion of the Israel junction conditions is then used to determine the location of the brane intersecting the bulk black hole, and it amounts to imposing a simple pair of Neumann boundary conditions. Note, however, a limitation of the large-D effective theory is that the induced brane theory is not well characterized by a -dimensional gravity. This is because with these limits, the induced theory has large corrections on the brane from the higher-derivative terms such that the brane gravity behaves more like a D-dimensional theory. A possible interpretation is that the induced theory describes a semi-classical theory where backreaction effects are large. |
| 56 | |
| 57 | See also [239] for a similar treatment in the context of braneworlds. |
| 58 | |
| 59 | |
| 60 | The homology constraint for the RT surfaces depends on which perspective in double holography is being employed [262]. |
| 61 | |
| 62 | |
| 63 | |
| 64 | A notion of weak quantum cosmic censorship may directly follow from ‘cryptographic censorship’ [313]: a theorem that states when the time evolution operator of a holographic CFT is approximately pseudorandom on a code subspace, there must be an event horizon in the corresponding bulk dual. Incidentally, certain types of singularities are compatible with approximately pseudorandom time evolution, and thus, by cryptographic censorship, are hidden behind event horizons. |
| 65 | The connection between hydrodynamics and chaos in 2+1 dimensional Einstein gravity is subtle, because metric fluctuations are pure gauge. This issue is alleviated in braneworld models as they typically contain a massive graviton. Furthermore, a general hydrodynamic framework for chaotic dynamics in 1+1 CFTs has been established [320], linking it to the field theory of soft modes associated with holomorphic and antiholomorphic parameterizations. For further discussion in the context of classical BTZ black holes, see [321]. |
| 66 | The asymptotic boundary also lives at ; however, we restrict ourselves to the region near . |
| 67 | |
| 68 | |
| 69 | |
| 70 | Recall that for general dimension d, the analysis only applies near , where the Weyl tensor of the bulk spacetime vanishes. Consequently, -integration is performed around . Alternatively, when , since the three-dimensional Weyl tensor is identically zero everywhere, the perturbative expansion truncates and the -integration can be carried out explicitly (see, e.g., [19,50]). |
| 71 | Note that naively, is not valid when . The correct term can be found by performing the analysis explicitly when , yielding . Similarly, (which we did not explicitly compute; see [19]) has the coefficient in front replaced with when . |
| 72 | To see this, write , and then use the contracted Bianchi identity and . |
| 73 | Historically, the RS models assumed a five-dimensional bulk and four-dimensional brane. More generally, the bulk need not be restricted to five dimensions, e.g., in this review, we consider a four-dimensional bulk AdS spacetime and three-dimensional branes. |
| 74 | Simply, KK excitations are light, have non-vanishing momentum along the extra dimension, and become suppressed near the brane, essentially decoupling from matter fields on the brane. Gravitational interactions between the matter fields are mediated by the ‘zero mode’. |
| 75 | Garriga and Tanaka [324] applied a similar perturbative analysis to the RS-I scenario and found the effective linearized gravity on either brane to be Brans–Dicke theory (with different Brans–Dicke parameters), where the Brans–Dicke scalar, i.e,. the ‘radion’ captures the displacement between the branes. |
| 76 | |
| 77 | A coordinate rescaling brings us to the in Section 6. |
| 78 | Historically, the original C-metric belonged to a classification of types of black hole solutions to Einstein–Maxwell theory owed to Levi–Civita in 1918 [332]. These solutions we rediscovered in the 1960s and further classified, particularly by Ehlers and Kundt [333], giving the naming scheme of black holes of A, B and C-type metrics. It was not until 1970 that Kinnersley and Walker understood the C-metric as an accelerated black hole [334]. In 1976, Plebanski and Demianski [89] showed how the C-metric is embedded in a larger family of algebraic type-D solutions. For more on the history and aspects of the C-metric, see [121]. |
| 79 | |
| 80 | Hong and Teo note that the only way to remove the closed timelike curves is when the angular velocity of the conical singularities have the same constant value along the entire axis of symmetry [340]. |
| 81 | The cubic can be solved by introducing and expressed in depressed form, , with , , and discriminant . For , has three distinct real roots. For example, for , three real roots exist when [23]. For , will have one real and two complex roots. |
| 82 | |
| 83 | This relation follows from having set the periodicity (A115), such that the coordinate range for is to , where is the angular deficit associated with the other conical singularities at . |
| 84 | |
| 85 | In particular, for , then , while for , then . Meanwhile, for , one has , and , such that . |
| 86 | It is also useful to and . |
References
- Birrell, N.D.; Davies, P.C.W. Quantum Fields in Curved Space; Cambridge Monographs on Mathematical Physics; Cambridge University Press: Cambridge, UK, 1984. [Google Scholar]
- Wald, R.M. Quantum Field Theory in Curved Space-Time and Black Hole Thermodynamics; Chicago Lectures in Physics; University of Chicago Press: Chicago, IL, USA, 1995. [Google Scholar]
- Page, D.N.; Geilker, C.D. Indirect Evidence for Quantum Gravity. Phys. Rev. Lett. 1981, 47, 979–982. [Google Scholar] [CrossRef]
- Polyakov, A.M. Quantum Geometry of Bosonic Strings. Phys. Lett. B 1981, 103, 207–210. [Google Scholar] [CrossRef]
- Christensen, S.M.; Fulling, S.A. Trace Anomalies and the Hawking Effect. Phys. Rev. D 1977, 15, 2088–2104. [Google Scholar] [CrossRef]
- Maldacena, J.M. The Large N limit of superconformal field theories and supergravity. Adv. Theor. Math. Phys. 1998, 2, 231–252. [Google Scholar] [CrossRef]
- ’t Hooft, G. Dimensional reduction in quantum gravity. Conf. Proc. C 1993, 930308, 284–296. [Google Scholar]
- Susskind, L. The World as a hologram. J. Math. Phys. 1995, 36, 6377–6396. [Google Scholar] [CrossRef]
- Hubeny, V.E.; Marolf, D.; Rangamani, M. Hawking radiation in large N strongly-coupled field theories. Class. Quant. Grav. 2010, 27, 095015. [Google Scholar] [CrossRef]
- Compere, G.; Marolf, D. Setting the boundary free in AdS/CFT. Class. Quant. Grav. 2008, 25, 195014. [Google Scholar] [CrossRef]
- de Haro, S.; Skenderis, K.; Solodukhin, S.N. Gravity in warped compactifications and the holographic stress tensor. Class. Quant. Grav. 2001, 18, 3171–3180. [Google Scholar] [CrossRef]
- Arkani-Hamed, N.; Dimopoulos, S.; Dvali, G.R. The Hierarchy problem and new dimensions at a millimeter. Phys. Lett. B 1998, 429, 263–272. [Google Scholar] [CrossRef]
- Randall, L.; Sundrum, R. A Large mass hierarchy from a small extra dimension. Phys. Rev. Lett. 1999, 83, 3370–3373. [Google Scholar] [CrossRef]
- Randall, L.; Sundrum, R. An Alternative to compactification. Phys. Rev. Lett. 1999, 83, 4690–4693. [Google Scholar] [CrossRef]
- Karch, A.; Randall, L. Locally localized gravity. J. High Energy Phys. 2001, 2001, 8. [Google Scholar] [CrossRef]
- Karch, A.; Randall, L. Open and closed string interpretation of SUSY CFT’s on branes with boundaries. J. High Energy Phys. 2001, 2001, 63. [Google Scholar] [CrossRef]
- Kraus, P.; Larsen, F.; Siebelink, R. The gravitational action in asymptotically AdS and flat space-times. Nucl. Phys. B 1999, 563, 259–278. [Google Scholar] [CrossRef]
- Emparan, R.; Johnson, C.V.; Myers, R.C. Surface terms as counterterms in the AdS / CFT correspondence. Phys. Rev. D 1999, 60, 104001. [Google Scholar] [CrossRef]
- de Haro, S.; Solodukhin, S.N.; Skenderis, K. Holographic reconstruction of space-time and renormalization in the AdS / CFT correspondence. Commun. Math. Phys. 2001, 217, 595–622. [Google Scholar] [CrossRef]
- Skenderis, K. Lecture notes on holographic renormalization. Class. Quant. Grav. 2002, 19, 5849–5876. [Google Scholar] [CrossRef]
- Papadimitriou, I.; Skenderis, K. AdS / CFT correspondence and geometry. IRMA Lect. Math. Theor. Phys. 2005, 8, 73–101. [Google Scholar] [CrossRef]
- Emparan, R.; Fabbri, A.; Kaloper, N. Quantum black holes as holograms in AdS brane worlds. J. High Energy Phys. 2002, 2002, 43. [Google Scholar] [CrossRef]
- Emparan, R.; Horowitz, G.T.; Myers, R.C. Exact description of black holes on branes. J. High Energy Phys. 2000, 2000, 7. [Google Scholar] [CrossRef]
- Emparan, R.; Horowitz, G.T.; Myers, R.C. Exact description of black holes on branes. 2. Comparison with BTZ black holes and black strings. J. High Energy Phys. 2000, 2000, 21. [Google Scholar] [CrossRef]
- Emparan, R.; Frassino, A.M.; Way, B. Quantum BTZ black hole. J. High Energy Phys. 2020, 2020, 137. [Google Scholar] [CrossRef]
- Emparan, R.; Pedraza, J.F.; Svesko, A.; Tomašević, M.; Visser, M.R. Black holes in dS3. J. High Energy Phys. 2022, 2022, 73. [Google Scholar] [CrossRef]
- Panella, E.; Svesko, A. Quantum Kerr-de Sitter black holes in three dimensions. J. High Energy Phys. 2023, 2023, 127. [Google Scholar] [CrossRef]
- Deser, S.; Jackiw, R.; ’t Hooft, G. Three-Dimensional Einstein Gravity: Dynamics of Flat Space. Ann. Phys. 1984, 152, 220. [Google Scholar] [CrossRef]
- Deser, S.; Jackiw, R. Three-Dimensional Cosmological Gravity: Dynamics of Constant Curvature. Ann. Phys. 1984, 153, 405–416. [Google Scholar] [CrossRef]
- Banados, M.; Teitelboim, C.; Zanelli, J. The Black hole in three-dimensional space-time. Phys. Rev. Lett. 1992, 69, 1849–1851. [Google Scholar] [CrossRef]
- Banados, M.; Henneaux, M.; Teitelboim, C.; Zanelli, J. Geometry of the (2+1) black hole. Phys. Rev. D 1993, 48, 1506–1525, Erratum in Phys. Rev. D 2013, 88, 069902. [Google Scholar] [CrossRef]
- Souradeep, T.; Sahni, V. Quantum effects near a point mass in (2+1)-Dimensional gravity. Phys. Rev. D 1992, 46, 1616–1633. [Google Scholar] [CrossRef]
- Soleng, H.H. Inverse square law of gravitation in (2+1) dimensional space-time as a consequence of Casimir energy. Phys. Scr. 1993, 48, 649–652. [Google Scholar] [CrossRef]
- Tanaka, T. Classical black hole evaporation in Randall–Sundrum infinite brane world. Prog. Theor. Phys. Suppl. 2003, 148, 307–316. [Google Scholar] [CrossRef]
- Ross, S.F.; Mann, R.B. Gravitationally collapsing dust in (2+1)-dimensions. Phys. Rev. D 1993, 47, 3319–3322. [Google Scholar] [CrossRef]
- de Buyl, S.; Detournay, S.; Giribet, G.; Ng, G.S. Baby de Sitter black holes and dS3/CFT2. J. High Energy Phys. 2014, 2014, 20. [Google Scholar] [CrossRef]
- Nutku, Y. Exact solutions of topologically massive gravity with a cosmological constant. Class. Quant. Grav. 1993, 10, 2657–2661. [Google Scholar] [CrossRef]
- Anninos, D. Sailing from Warped AdS(3) to Warped dS(3) in Topologically Massive Gravity. J. High Energy Phys. 2010, 2010, 46. [Google Scholar] [CrossRef]
- Bousso, R.; Maloney, A.; Strominger, A. Conformal vacua and entropy in de Sitter space. Phys. Rev. D 2002, 65, 104039. [Google Scholar] [CrossRef]
- Steif, A.R. The Quantum stress tensor in the three-dimensional black hole. Phys. Rev. D 1994, 49, 585–589. [Google Scholar] [CrossRef]
- Shiraishi, K.; Maki, T. Quantum fluctuation of stress tensor and black holes in three dimensions. Phys. Rev. D 1994, 49, 5286–5294. [Google Scholar] [CrossRef]
- Lifschytz, G.; Ortiz, M. Scalar field quantization on the (2+1)-dimensional black hole background. Phys. Rev. D 1994, 49, 1929–1943. [Google Scholar] [CrossRef]
- Martinez, C.; Zanelli, J. Back reaction of a conformal field on a three-dimensional black hole. Phys. Rev. D 1997, 55, 3642–3646. [Google Scholar] [CrossRef]
- Casals, M.; Fabbri, A.; Martínez, C.; Zanelli, J. Quantum dress for a naked singularity. Phys. Lett. B 2016, 760, 244–248. [Google Scholar] [CrossRef]
- Casals, M.; Fabbri, A.; Martínez, C.; Zanelli, J. Quantum-corrected rotating black holes and naked singularities in (2+1) dimensions. Phys. Rev. D 2019, 99, 104023. [Google Scholar] [CrossRef]
- Gubser, S.S.; Klebanov, I.R.; Polyakov, A.M. Gauge theory correlators from noncritical string theory. Phys. Lett. B 1998, 428, 105–114. [Google Scholar] [CrossRef]
- Witten, E. Anti-de Sitter space and holography. Adv. Theor. Math. Phys. 1998, 2, 253–291. [Google Scholar] [CrossRef]
- Fefferman, C.; Graham, C.R. Conformal invariants. In Élie Cartan et les Mathématiques D’aujourd’hui—Lyon, 25–29 Juin 1984; Number S131 in Astérisque; Société Mathématique de France: Paris, France, 1985. [Google Scholar]
- Fefferman, C.; Graham, C.R. The ambient metric. Ann. Math. Stud. 2011, 178, 1–128. [Google Scholar]
- Skenderis, K.; Solodukhin, S.N. Quantum effective action from the AdS / CFT correspondence. Phys. Lett. B 2000, 472, 316–322. [Google Scholar] [CrossRef]
- Elvang, H.; Hadjiantonis, M. A Practical Approach to the Hamilton-Jacobi Formulation of Holographic Renormalization. J. High Energy Phys. 2016, 2016, 46. [Google Scholar] [CrossRef]
- Bueno, P.; Emparan, R.; Llorens, Q. Higher-curvature Gravities from Braneworlds and the Holographic c-theorem. Phys. Rev. D 2022, 106, 044012. [Google Scholar] [CrossRef]
- Israel, W. Singular hypersurfaces and thin shells in general relativity. Nuovo Cim. B 1966, 44, 1–14, Erratum in Nuovo Cim. B 1967, 48, 463. [Google Scholar] [CrossRef]
- Chen, H.Z.; Myers, R.C.; Neuenfeld, D.; Reyes, I.A.; Sandor, J. Quantum Extremal Islands Made Easy, Part I: Entanglement on the Brane. J. High Energy Phys. 2020, 2020, 166. [Google Scholar] [CrossRef]
- Emparan, R. Black hole entropy as entanglement entropy: A Holographic derivation. J. High Energy Phys. 2006, 2006, 12. [Google Scholar] [CrossRef]
- Myers, R.C.; Pourhasan, R.; Smolkin, M. On Spacetime Entanglement. J. High Energy Phys. 2013, 2013, 13. [Google Scholar] [CrossRef]
- Takayanagi, T. Holographic Dual of BCFT. Phys. Rev. Lett. 2011, 107, 101602. [Google Scholar] [CrossRef]
- Fujita, M.; Takayanagi, T.; Tonni, E. Aspects of AdS/BCFT. J. High Energy Phys. 2011, 2011, 43. [Google Scholar] [CrossRef]
- Karch, A.; Sun, H.; Uhlemann, C.F. Double holography in string theory. J. High Energy Phys. 2022, 2022, 12. [Google Scholar] [CrossRef]
- Omiya, H.; Wei, Z. Causal structures and nonlocality in double holography. J. High Energy Phys. 2022, 2022, 128. [Google Scholar] [CrossRef]
- Neuenfeld, D.; Srivastava, M. On the causality paradox and the Karch-Randall braneworld as an EFT. J. High Energy Phys. 2023, 2023, 164. [Google Scholar] [CrossRef]
- Duff, M.J.; Liu, J.T. Complementarity of the Maldacena and Randall-Sundrum pictures. Phys. Rev. Lett. 2000, 85, 2052–2055. [Google Scholar] [CrossRef]
- Duff, M.J. Quantum corrections to the schwarzschild solution. Phys. Rev. D 1974, 9, 1837–1839. [Google Scholar] [CrossRef]
- Tanahashi, N.; Tanaka, T. Black holes in braneworld models. Prog. Theor. Phys. Suppl. 2011, 189, 227–268. [Google Scholar] [CrossRef]
- Chen, H.Z.; Myers, R.C.; Neuenfeld, D.; Reyes, I.A.; Sandor, J. Quantum Extremal Islands Made Easy, Part II: Black Holes on the Brane. J. High Energy Phys. 2020, 2020, 25. [Google Scholar] [CrossRef]
- Bruni, M.; Germani, C.; Maartens, R. Gravitational collapse on the brane. Phys. Rev. Lett. 2001, 87, 231302. [Google Scholar] [CrossRef] [PubMed]
- Kudoh, H.; Tanaka, T.; Nakamura, T. Small localized black holes in brane world: Formulation and numerical method. Phys. Rev. D 2003, 68, 024035. [Google Scholar] [CrossRef]
- Kudoh, H. Six-dimensional localized black holes: Numerical solutions. Phys. Rev. D 2004, 69, 104019, Erratum in Phys. Rev. D 2004, 70, 029901. [Google Scholar] [CrossRef]
- Fitzpatrick, A.L.; Randall, L.; Wiseman, T. On the existence and dynamics of braneworld black holes. J. High Energy Phys. 2006, 2006, 33. [Google Scholar] [CrossRef]
- Yoshino, H. On the existence of a static black hole on a brane. J. High Energy Phys. 2009, 2009, 68. [Google Scholar] [CrossRef]
- Figueras, P.; Wiseman, T. Gravity and large black holes in Randall-Sundrum II braneworlds. Phys. Rev. Lett. 2011, 107, 081101. [Google Scholar] [CrossRef]
- Emparan, R.; Luna, R.; Suzuki, R.; Tomašević, M.; Way, B. Holographic duals of evaporating black holes. J. High Energy Phys. 2023, 2023, 182. [Google Scholar] [CrossRef]
- Henningson, M.; Skenderis, K. The Holographic Weyl anomaly. J. High Energy Phys. 1998, 1998, 23. [Google Scholar] [CrossRef]
- Carlip, S. Dynamics of asymptotic diffeomorphisms in (2+1)-dimensional gravity. Class. Quant. Grav. 2005, 22, 3055–3060. [Google Scholar] [CrossRef]
- Nguyen, K. Holographic boundary actions in AdS3/CFT2 revisited. J. High Energy Phys. 2021, 2021, 218. [Google Scholar] [CrossRef]
- Dvali, G. Black Holes and Large N Species Solution to the Hierarchy Problem. Fortsch. Phys. 2010, 58, 528–536. [Google Scholar] [CrossRef]
- Jackiw, R. Lower Dimensional Gravity. Nucl. Phys. B 1985, 252, 343–356. [Google Scholar] [CrossRef]
- Teitelboim, C. Gravitation and Hamiltonian Structure in Two Space-Time Dimensions. Phys. Lett. B 1983, 126, 41–45. [Google Scholar] [CrossRef]
- Geng, H. Aspects of AdS2 quantum gravity and the Karch-Randall braneworld. J. High Energy Phys. 2022, 2022, 24. [Google Scholar] [CrossRef]
- Geng, H.; Karch, A.; Perez-Pardavila, C.; Raju, S.; Randall, L.; Riojas, M.; Shashi, S. Jackiw-Teitelboim Gravity from the Karch-Randall Braneworld. Phys. Rev. Lett. 2022, 129, 231601. [Google Scholar] [CrossRef]
- Bhattacharjee, A.; Saha, M. JT gravity from holographic reduction of 3D asymptotically flat spacetime. J. High Energy Phys. 2023, 2023, 138. [Google Scholar] [CrossRef]
- Aguilar-Gutierrez, S.E.; Patra, A.K.; Pedraza, J.F. Entangled universes in dS wedge holography. J. High Energy Phys. 2023, 2023, 156. [Google Scholar] [CrossRef]
- Neuenfeld, D.; Svesko, A.; Sybesma, W. Liouville gravity at the end of the world: Deformed defects in AdS/BCFT. J. High Energy Phys. 2024, 2024, 215. [Google Scholar] [CrossRef]
- Callan, C.G., Jr.; Giddings, S.B.; Harvey, J.A.; Strominger, A. Evanescent black holes. Phys. Rev. D 1992, 45, R1005. [Google Scholar] [CrossRef] [PubMed]
- Russo, J.G.; Susskind, L.; Thorlacius, L. The Endpoint of Hawking radiation. Phys. Rev. D 1992, 46, 3444–3449. [Google Scholar] [CrossRef]
- Susskind, L.; Thorlacius, L.; Uglum, J. The Stretched horizon and black hole complementarity. Phys. Rev. D 1993, 48, 3743–3761. [Google Scholar] [CrossRef]
- Fiola, T.M.; Preskill, J.; Strominger, A.; Trivedi, S.P. Black hole thermodynamics and information loss in two-dimensions. Phys. Rev. D 1994, 50, 3987–4014. [Google Scholar] [CrossRef]
- Emparan, R.; Horowitz, G.T.; Myers, R.C. Black holes radiate mainly on the brane. Phys. Rev. Lett. 2000, 85, 499–502. [Google Scholar] [CrossRef] [PubMed]
- Plebanski, J.F.; Demianski, M. Rotating, charged, and uniformly accelerating mass in general relativity. Ann. Phys. 1976, 98, 98–127. [Google Scholar] [CrossRef]
- Podolsky, J. Accelerating black holes in anti-de Sitter universe. Czech. J. Phys. 2002, 52, 1–10. [Google Scholar] [CrossRef]
- Emparan, R.; Frassino, A.M.; Sasieta, M.; Tomašević, M. Holographic complexity of quantum black holes. J. High Energy Phys. 2022, 2022, 204. [Google Scholar] [CrossRef]
- Cremonini, S.; Liu, J.T.; Szepietowski, P. Higher Derivative Corrections to R-charged Black Holes: Boundary Counterterms and the Mass-Charge Relation. J. High Energy Phys. 2010, 2010, 42. [Google Scholar] [CrossRef]
- Chernicoff, M.; Giribet, G.; Moreno, J.; Oliva, J.; Rojas, R.; Torres, C.R.d.A. Quantum backreactions in (A)dS3 massive gravity and logarithmic asymptotic behavior. Phys. Rev. D 2024, 110, 044021. [Google Scholar] [CrossRef]
- Caldarelli, M.M.; Cognola, G.; Klemm, D. Thermodynamics of Kerr-Newman-AdS black holes and conformal field theories. Class. Quant. Grav. 2000, 17, 399–420. [Google Scholar] [CrossRef]
- Gibbons, G.W.; Perry, M.J.; Pope, C.N. The First law of thermodynamics for Kerr-anti-de Sitter black holes. Class. Quant. Grav. 2005, 22, 1503–1526. [Google Scholar] [CrossRef]
- Lemos, J.P.S.; Luz, P. All fundamental electrically charged thin shells in general relativity: From star shells to tension shell black holes, regular black holes, and beyond. Phys. Rev. D 2021, 103, 104046. [Google Scholar] [CrossRef]
- Taylor, M. More on counterterms in the gravitational action and anomalies. arXiv 2000, arXiv:0002125. [Google Scholar]
- Climent, A.; Emparan, R.; Hennigar, R.A. Chemical Potential and Charge in Quantum Black Holes. J. High Energy Phys. 2024, 2024, 150. [Google Scholar] [CrossRef]
- Feng, Y.; Ma, H.; Mann, R.B.; Xue, Y.; Zhang, M. Quantum Charged Black Holes. arXiv 2024, arXiv:2404.07192. [Google Scholar] [CrossRef]
- Martinez, C.; Teitelboim, C.; Zanelli, J. Charged rotating black hole in three space-time dimensions. Phys. Rev. D 2000, 61, 104013. [Google Scholar] [CrossRef]
- Emparan, R.; Gregory, R.; Santos, C. Black holes on thick branes. Phys. Rev. D 2001, 63, 104022. [Google Scholar] [CrossRef]
- Maldacena, J. Vacuum decay into Anti de Sitter space. arXiv 2010, arXiv:1012.0274. [Google Scholar]
- Barbon, J.L.F.; Rabinovici, E. Holography of AdS vacuum bubbles. J. High Energy Phys. 2010, 2010, 123. [Google Scholar] [CrossRef]
- Barbon, J.L.F.; Rabinovici, E. AdS Crunches, CFT Falls And Cosmological Complementarity. J. High Energy Phys. 2011, 2011, 44. [Google Scholar] [CrossRef]
- Coleman, S.R.; De Luccia, F. Gravitational Effects on and of Vacuum Decay. Phys. Rev. D 1980, 21, 3305. [Google Scholar] [CrossRef]
- Nariai, H. On a New Cosmological Solution of Einstein’s Field Equations of Gravitation. Gen. Relativ. Gravit. 1999, 31, 963–971. [Google Scholar] [CrossRef]
- Booth, I.S.; Mann, R.B. Cosmological pair production of charged and rotating black holes. Nucl. Phys. B 1999, 539, 267–306. [Google Scholar] [CrossRef]
- Bhattacharya, S. Kerr-de Sitter spacetime, Penrose process and the generalized area theorem. Phys. Rev. D 2018, 97, 084049. [Google Scholar] [CrossRef]
- Anninos, D.; de Buyl, S.; Detournay, S. Holography For a De Sitter-Esque Geometry. J. High Energy Phys. 2011, 2011, 3. [Google Scholar] [CrossRef]
- Climent, A.; Hennigar, R.; Panella, E.; Svesko, A. Unpublished Work.
- Bekenstein, J.D. Black holes and the second law. Lett. Nuovo Cim. 1972, 4, 737–740. [Google Scholar] [CrossRef]
- Bekenstein, J.D. Black holes and entropy. Phys. Rev. D 1973, 7, 2333–2346. [Google Scholar] [CrossRef]
- Hawking, S.W. Particle Creation by Black Holes. Commun. Math. Phys. 1975, 43, 199–220, Erratum in Commun. Math. Phys. 1976, 46, 206. [Google Scholar] [CrossRef]
- Hawking, S.W. Black Holes and Thermodynamics. Phys. Rev. D 1976, 13, 191–197. [Google Scholar] [CrossRef]
- Bardeen, J.M.; Carter, B.; Hawking, S.W. The Four laws of black hole mechanics. Commun. Math. Phys. 1973, 31, 161–170. [Google Scholar] [CrossRef]
- Hawking, S.W.; Page, D.N. Thermodynamics of Black Holes in anti-De Sitter Space. Commun. Math. Phys. 1983, 87, 577. [Google Scholar] [CrossRef]
- Podolsky, J.; Ortaggio, M.; Krtous, P. Radiation from accelerated black holes in an anti-de Sitter universe. Phys. Rev. D 2003, 68, 124004. [Google Scholar] [CrossRef]
- Appels, M.; Gregory, R.; Kubiznak, D. Thermodynamics of Accelerating Black Holes. Phys. Rev. Lett. 2016, 117, 131303. [Google Scholar] [CrossRef]
- Appels, M.; Gregory, R.; Kubiznak, D. Black Hole Thermodynamics with Conical Defects. J. High Energy Phys. 2017, 2017, 116. [Google Scholar] [CrossRef]
- Anabalón, A.; Appels, M.; Gregory, R.; Kubizňák, D.; Mann, R.B.; Ovgün, A. Holographic Thermodynamics of Accelerating Black Holes. Phys. Rev. D 2018, 98, 104038. [Google Scholar] [CrossRef]
- Appels, M. Thermodynamics of Accelerating Black Holes. PhD Thesis, Department of Mathematical, Durham University, Durham, UK, 2018. [Google Scholar]
- Ball, A.; Miller, N. Accelerating black hole thermodynamics with boost time. Class. Quant. Grav. 2021, 38, 145031. [Google Scholar] [CrossRef]
- Gibbons, G.W.; Hawking, S.W. Action Integrals and Partition Functions in Quantum Gravity. Phys. Rev. D 1977, 15, 2752–2756. [Google Scholar] [CrossRef]
- Kudoh, H.; Kurita, Y. Thermodynamics of four-dimensional black objects in the warped compactification. Phys. Rev. D 2004, 70, 084029. [Google Scholar] [CrossRef]
- Myers, R.C.; Ruan, S.M.; Ugajin, T. Double Holography of Entangled Universes. J. High Energy Phys. 2024, 2024, 35. [Google Scholar] [CrossRef]
- Bekenstein, J.D. Generalized second law of thermodynamics in black hole physics. Phys. Rev. D 1974, 9, 3292–3300. [Google Scholar] [CrossRef]
- Wald, R.M. Black hole entropy is the Noether charge. Phys. Rev. D 1993, 48, R3427–R3431. [Google Scholar] [CrossRef]
- Iyer, V.; Wald, R.M. Some properties of Noether charge and a proposal for dynamical black hole entropy. Phys. Rev. D 1994, 50, 846–864. [Google Scholar] [CrossRef]
- Jacobson, T.; Kang, G.; Myers, R.C. On black hole entropy. Phys. Rev. D 1994, 49, 6587–6598. [Google Scholar] [CrossRef] [PubMed]
- Susskind, L.; Uglum, J. Black hole entropy in canonical quantum gravity and superstring theory. Phys. Rev. D 1994, 50, 2700–2711. [Google Scholar] [CrossRef] [PubMed]
- Solodukhin, S.N. Entanglement entropy of black holes. Living Rev. Rel. 2011, 14, 8. [Google Scholar] [CrossRef]
- Cooperman, J.H.; Luty, M.A. Renormalization of Entanglement Entropy and the Gravitational Effective Action. J. High Energy Phys. 2014, 2014, 45. [Google Scholar] [CrossRef]
- Pedraza, J.F.; Svesko, A.; Sybesma, W.; Visser, M.R. Semi-classical thermodynamics of quantum extremal surfaces in Jackiw-Teitelboim gravity. J. High Energy Phys. 2021, 2021, 134. [Google Scholar] [CrossRef]
- Svesko, A.; Verheijden, E.; Verlinde, E.P.; Visser, M.R. Quasi-local energy and microcanonical entropy in two-dimensional nearly de Sitter gravity. J. High Energy Phys. 2022, 2022, 75. [Google Scholar] [CrossRef]
- Frassino, A.M.; Hennigar, R.A.; Pedraza, J.F.; Svesko, A. Quantum inequalities for quantum black holes. arXiv 2024, arXiv:2406.17860. [Google Scholar]
- Spradlin, M.; Strominger, A.; Volovich, A. Les Houches lectures on de Sitter space. In Proceedings of the Les Houches Summer School: Session 76: Euro Summer School on Unity of Fundamental Physics: Gravity, Gauge Theory and Strings, Les Houches, France, 30 July–31 August 2001; Volume 10, pp. 423–453. [Google Scholar]
- Morvan, E.K.; van der Schaar, J.P.; Visser, M.R. On the Euclidean Action of de Sitter Black Holes and Constrained Instantons. SciPost Phys. 2022, 14, 22. [Google Scholar] [CrossRef]
- Morvan, E.K.; van der Schaar, J.P.; Visser, M.R. Action, entropy and pair creation rate of charged black holes in de Sitter space. arXiv 2022, arXiv:2212.12713. [Google Scholar] [CrossRef]
- Draper, P.; Farkas, S. de Sitter black holes as constrained states in the Euclidean path integral. Phys. Rev. D 2022, 105, 126022. [Google Scholar] [CrossRef]
- Bousso, R.; Hawking, S.W. Pair creation of black holes during inflation. Phys. Rev. D 1996, 54, 6312–6322. [Google Scholar] [CrossRef]
- Kastor, D.; Ray, S.; Traschen, J. Enthalpy and the Mechanics of AdS Black Holes. Class. Quant. Grav. 2009, 26, 195011. [Google Scholar] [CrossRef]
- Dolan, B.P. The cosmological constant and the black hole equation of state. Class. Quant. Grav. 2011, 28, 125020. [Google Scholar] [CrossRef]
- Cvetic, M.; Gibbons, G.W.; Kubiznak, D.; Pope, C.N. Black Hole Enthalpy and an Entropy Inequality for the Thermodynamic Volume. Phys. Rev. D 2011, 84, 024037. [Google Scholar] [CrossRef]
- Johnson, C.V. Thermodynamic Volumes for AdS-Taub-NUT and AdS-Taub-Bolt. Class. Quant. Grav. 2014, 31, 235003. [Google Scholar] [CrossRef]
- Chamblin, A.; Emparan, R.; Johnson, C.V.; Myers, R.C. Charged AdS black holes and catastrophic holography. Phys. Rev. D 1999, 60, 064018. [Google Scholar] [CrossRef]
- Kubiznak, D.; Mann, R.B. P-V criticality of charged AdS black holes. J. High Energy Phys. 2012, 2012, 33. [Google Scholar] [CrossRef]
- Kubiznak, D.; Mann, R.B. Black hole chemistry. Can. J. Phys. 2015, 93, 999–1002. [Google Scholar] [CrossRef]
- Johnson, C.V. Holographic Heat Engines. Class. Quant. Grav. 2014, 31, 205002. [Google Scholar] [CrossRef]
- Kubiznak, D.; Mann, R.B.; Teo, M. Black hole chemistry: Thermodynamics with Lambda. Class. Quant. Grav. 2017, 34, 063001. [Google Scholar] [CrossRef]
- Dolan, B.P. Bose condensation and branes. J. High Energy Phys. 2014, 2014, 179. [Google Scholar] [CrossRef]
- Kastor, D.; Ray, S.; Traschen, J. Chemical Potential in the First Law for Holographic Entanglement Entropy. J. High Energy Phys. 2014, 2014, 120. [Google Scholar] [CrossRef]
- Caceres, E.; Nguyen, P.H.; Pedraza, J.F. Holographic entanglement entropy and the extended phase structure of STU black holes. J. High Energy Phys. 2015, 2015, 184. [Google Scholar] [CrossRef]
- Karch, A.; Robinson, B. Holographic Black Hole Chemistry. J. High Energy Phys. 2015, 2015, 73. [Google Scholar] [CrossRef]
- Caceres, E.; Nguyen, P.H.; Pedraza, J.F. Holographic entanglement chemistry. Phys. Rev. D 2017, 95, 106015. [Google Scholar] [CrossRef]
- Rosso, F.; Svesko, A. Novel aspects of the extended first law of entanglement. J. High Energy Phys. 2020, 2020, 8. [Google Scholar] [CrossRef]
- Frassino, A.M.; Pedraza, J.F.; Svesko, A.; Visser, M.R. Higher-Dimensional Origin of Extended Black Hole Thermodynamics. Phys. Rev. Lett. 2023, 130, 161501. [Google Scholar] [CrossRef]
- Penrose, R. Structure of space-time. In Proceedings of the Battelle Rencontres, Seattle, WA, USA, 16–31 July 1967; pp. 121–235. [Google Scholar]
- Penrose, R. Gravitational collapse: The role of general relativity. Riv. Nuovo Cim. 1969, 1, 252–276. [Google Scholar] [CrossRef]
- Amo, M.; Frassino, A.M.; Hennigar, R.A. Entropy Bounds for Rotating AdS Black Holes. Phys. Rev. Lett. 2023, 131, 241401. [Google Scholar] [CrossRef] [PubMed]
- Klemm, D. Four-dimensional black holes with unusual horizons. Phys. Rev. D 2014, 89, 084007. [Google Scholar] [CrossRef]
- Hennigar, R.A.; Kubizňák, D.; Mann, R.B. Entropy Inequality Violations from Ultraspinning Black Holes. Phys. Rev. Lett. 2015, 115, 031101. [Google Scholar] [CrossRef]
- Hennigar, R.A.; Kubizňák, D.; Mann, R.B.; Musoke, N. Ultraspinning limits and super-entropic black holes. J. High Energy Phys. 2015, 2015, 96. [Google Scholar] [CrossRef]
- Appels, M.; Cuspinera, L.; Gregory, R.; Krtouš, P.; Kubizňák, D. Are “Superentropic” black holes superentropic? J. High Energy Phys. 2020, 2020, 195. [Google Scholar] [CrossRef]
- Frassino, A.M.; Mann, R.B.; Mureika, J.R. Lower-Dimensional Black Hole Chemistry. Phys. Rev. D 2015, 92, 124069. [Google Scholar] [CrossRef]
- Johnson, C.V. Instability of super-entropic black holes in extended thermodynamics. Mod. Phys. Lett. A 2020, 35, 2050098. [Google Scholar] [CrossRef]
- Johnson, C.V.; Martin, V.L.; Svesko, A. Microscopic description of thermodynamic volume in extended black hole thermodynamics. Phys. Rev. D 2020, 101, 086006. [Google Scholar] [CrossRef]
- Maldacena, J.M.; Strominger, A. AdS(3) black holes and a stringy exclusion principle. J. High Energy Phys. 1998, 1998, 5. [Google Scholar] [CrossRef]
- Birmingham, D.; Sachs, I.; Solodukhin, S.N. Relaxation in conformal field theory, Hawking-Page transition, and quasinormal normal modes. Phys. Rev. D 2003, 67, 104026. [Google Scholar] [CrossRef]
- Frassino, A.M.; Pedraza, J.F.; Svesko, A.; Visser, M.R. Reentrant phase transitions of quantum black holes. Phys. Rev. D 2024, 109, 124040. [Google Scholar] [CrossRef]
- Johnson, C.V.; Nazario, R. Specific Heats for Quantum BTZ Black Holes in Extended Thermodynamics. arXiv 2023, arXiv:2310.12212. [Google Scholar]
- Hosseini Mansoori, S.A.; Pedraza, J.F.; Rafiee, M. Criticality and thermodynamic geometry of quantum BTZ black holes. arXiv 2024, arXiv:2403.13063. [Google Scholar]
- Gunasekaran, S.; Mann, R.B.; Kubiznak, D. Extended phase space thermodynamics for charged and rotating black holes and Born-Infeld vacuum polarization. J. High Energy Phys. 2012, 2012, 110. [Google Scholar] [CrossRef]
- Altamirano, N.; Kubiznak, D.; Mann, R.B. Reentrant phase transitions in rotating anti–de Sitter black holes. Phys. Rev. D 2013, 88, 101502. [Google Scholar] [CrossRef]
- Frassino, A.M.; Kubiznak, D.; Mann, R.B.; Simovic, F. Multiple Reentrant Phase Transitions and Triple Points in Lovelock Thermodynamics. J. High Energy Phys. 2014, 2014, 80. [Google Scholar] [CrossRef]
- Ahmed, M.B.; Cong, W.; Kubiznak, D.; Mann, R.B.; Visser, M.R. Holographic CFT phase transitions and criticality for rotating AdS black holes. J. High Energy Phys. 2023, 2023, 142. [Google Scholar] [CrossRef]
- Frassino, A.M.; Rocha, J.V.; Sanna, A.P. Weak cosmic censorship and the rotating quantum BTZ black hole. J. High Energy Phys. 2024, 2024, 226. [Google Scholar] [CrossRef]
- Anderson, P.R.; Hiscock, W.A.; Samuel, D.A. Stress-energy tensor of quantized scalar fields in static spherically symmetric space-times. Phys. Rev. D 1995, 51, 4337–4358. [Google Scholar] [CrossRef]
- Hawking, S.W.; Hertog, T.; Reall, H.S. Trace anomaly driven inflation. Phys. Rev. D 2001, 63, 083504. [Google Scholar] [CrossRef]
- Herzog, C.P.; Huang, K.W. Stress Tensors from Trace Anomalies in Conformal Field Theories. Phys. Rev. D 2013, 87, 081901. [Google Scholar] [CrossRef]
- Fabbri, A.; Farese, S.; Navarro-Salas, J.; Olmo, G.J.; Sanchis-Alepuz, H. Semiclassical zero-temperature corrections to Schwarzschild spacetime and holography. Phys. Rev. D 2006, 73, 104023. [Google Scholar] [CrossRef]
- Fabbri, A.; Farese, S.; Navarro-Salas, J.; Olmo, G.J.; Sanchis-Alepuz, H. Static quantum corrections to the Schwarzschild spacetime. J. Phys. Conf. Ser. 2006, 33, 457–462. [Google Scholar] [CrossRef]
- Ho, P.M.; Matsuo, Y. Static Black Holes With Back Reaction From Vacuum Energy. Class. Quant. Grav. 2018, 35, 065012. [Google Scholar] [CrossRef]
- Arrechea, J.; Barceló, C.; Carballo-Rubio, R.; Garay, L.J. Schwarzschild geometry counterpart in semiclassical gravity. Phys. Rev. D 2020, 101, 064059. [Google Scholar] [CrossRef]
- Beltrán-Palau, P.; del Río, A.; Navarro-Salas, J. Quantum corrections to the Schwarzschild metric from vacuum polarization. Phys. Rev. D 2023, 107, 085023. [Google Scholar] [CrossRef]
- Cai, R.G.; Cao, L.M.; Ohta, N. Black Holes in Gravity with Conformal Anomaly and Logarithmic Term in Black Hole Entropy. J. High Energy Phys. 2010, 2010, 82. [Google Scholar] [CrossRef]
- Fernandes, P.G.S. Rotating black holes in semiclassical gravity. Phys. Rev. D 2023, 108, L061502. [Google Scholar] [CrossRef]
- Astorino, M. Accelerating black hole in 2+1 dimensions and 3+1 black (st)ring. J. High Energy Phys. 2011, 2011, 114. [Google Scholar] [CrossRef]
- Xu, W.; Meng, K.; Zhao, L. Accelerating BTZ spacetime. Class. Quant. Grav. 2012, 29, 155005. [Google Scholar] [CrossRef]
- Arenas-Henriquez, G.; Gregory, R.; Scoins, A. On acceleration in three dimensions. J. High Energy Phys. 2022, 2022, 63. [Google Scholar] [CrossRef]
- Arenas-Henriquez, G.; Cisterna, A.; Diaz, F.; Gregory, R. Accelerating Black Holes in 2+1 dimensions: Holography revisited. J. High Energy Phys. 2023, 2023, 122. [Google Scholar] [CrossRef]
- Tian, J.; Lai, T. Aspects of three-dimensional C-metric. J. High Energy Phys. 2024, 2024, 79. [Google Scholar] [CrossRef]
- Camps, J.; Emparan, R. A New Class of Accelerating Black Hole Solutions. Phys. Rev. D 2010, 82, 024009. [Google Scholar] [CrossRef]
- Kodama, H. Accelerating a Black Hole in Higher Dimensions. Prog. Theor. Phys. 2008, 120, 371–411. [Google Scholar] [CrossRef][Green Version]
- Chamblin, A.; Hawking, S.W.; Reall, H.S. Brane world black holes. Phys. Rev. D 2000, 61, 065007. [Google Scholar] [CrossRef]
- Gregory, R. Black string instabilities in Anti-de Sitter space. Class. Quant. Grav. 2000, 17, L125–L132. [Google Scholar] [CrossRef]
- Gregory, R.; Laflamme, R. Black strings and p-branes are unstable. Phys. Rev. Lett. 1993, 70, 2837–2840. [Google Scholar] [CrossRef]
- Gregory, R.; Laflamme, R. The Instability of charged black strings and p-branes. Nucl. Phys. B 1994, 428, 399–434. [Google Scholar] [CrossRef]
- Emparan, R.; Garcia-Bellido, J.; Kaloper, N. Black hole astrophysics in AdS brane worlds. J. High Energy Phys. 2003, 2003, 79. [Google Scholar] [CrossRef]
- Chamblin, A.; Karch, A. Hawking and Page on the brane. Phys. Rev. D 2005, 72, 066011. [Google Scholar] [CrossRef]
- Hubeny, V.E.; Marolf, D.; Rangamani, M. Hawking radiation from AdS black holes. Class. Quant. Grav. 2010, 27, 095018. [Google Scholar] [CrossRef]
- Tanahashi, N.; Tanaka, T. Time-symmetric initial data of large brane-localized black hole in RS-II model. J. High Energy Phys. 2008, 2008, 41. [Google Scholar] [CrossRef]
- Gregory, R.; Ross, S.F.; Zegers, R. Classical and quantum gravity of brane black holes. J. High Energy Phys. 2008, 2008, 29. [Google Scholar] [CrossRef]
- Figueras, P.; Lucietti, J.; Wiseman, T. Ricci solitons, Ricci flow, and strongly coupled CFT in the Schwarzschild Unruh or Boulware vacua. Class. Quant. Grav. 2011, 28, 215018. [Google Scholar] [CrossRef]
- Abdolrahimi, S.; Cattoen, C.; Page, D.N.; Yaghoobpour-Tari, S. Large Randall-Sundrum II Black Holes. Phys. Lett. B 2013, 720, 405–409. [Google Scholar] [CrossRef]
- Abdolrahimi, S.; Cattoën, C.; Page, D.N.; Yaghoobpour-Tari, S. Spectral methods in general relativity and large Randall-Sundrum II black holes. J. Cosmol. Astropart. Phys. 2013, 2013, 39. [Google Scholar] [CrossRef]
- Figueras, P.; Tunyasuvunakool, S. CFTs in rotating black hole backgrounds. Class. Quant. Grav. 2013, 30, 125015. [Google Scholar] [CrossRef][Green Version]
- Banerjee, S.; Danielsson, U.; Giri, S. Dark bubbles and black holes. J. High Energy Phys. 2021, 2021, 158. [Google Scholar] [CrossRef]
- Biggs, W.D.; Santos, J.E. Rotating Black Holes in Randall-Sundrum II Braneworlds. Phys. Rev. Lett. 2022, 128, 021601. [Google Scholar] [CrossRef]
- Fabbri, A.; Procopio, G.P. Quantum effects in black holes from the Schwarzschild black string? Class. Quant. Grav. 2007, 24, 5371–5382. [Google Scholar] [CrossRef][Green Version]
- Hirayama, T.; Kang, G. Stable black strings in anti-de Sitter space. Phys. Rev. D 2001, 64, 064010. [Google Scholar] [CrossRef]
- Page, D.N. Thermal Stress Tensors in Static Einstein Spaces. Phys. Rev. D 1982, 25, 1499. [Google Scholar] [CrossRef]
- Emparan, R.; Suzuki, R.; Tanabe, K. The large D limit of General Relativity. J. High Energy Phys. 2013, 2013, 9. [Google Scholar] [CrossRef]
- Bhattacharyya, S.; De, A.; Minwalla, S.; Mohan, R.; Saha, A. A membrane paradigm at large D. J. High Energy Phys. 2016, 2016, 76. [Google Scholar] [CrossRef][Green Version]
- Emparan, R.; Herzog, C.P. Large D limit of Einstein’s equations. Rev. Mod. Phys. 2020, 92, 045005. [Google Scholar] [CrossRef]
- Emparan, R.; Licht, D.; Suzuki, R.; Tomašević, M.; Way, B. Black tsunamis and naked singularities in AdS. J. High Energy Phys. 2022, 2022, 90. [Google Scholar] [CrossRef]
- Sorkin, R.D. On the Entropy of the Vacuum outside a Horizon. In Proceedings of the 10th International Conference on General Relativity and Gravitation, Padova, Italy, 4–9 July 1983; Volume 2, pp. 734–736. [Google Scholar]
- Bombelli, L.; Koul, R.K.; Lee, J.; Sorkin, R.D. A Quantum Source of Entropy for Black Holes. Phys. Rev. D 1986, 34, 373–383. [Google Scholar] [CrossRef]
- Srednicki, M. Entropy and area. Phys. Rev. Lett. 1993, 71, 666–669. [Google Scholar] [CrossRef]
- Frolov, V.P.; Novikov, I. Dynamical origin of the entropy of a black hole. Phys. Rev. D 1993, 48, 4545–4551. [Google Scholar] [CrossRef]
- Callan, C.G., Jr.; Wilczek, F. On geometric entropy. Phys. Lett. B 1994, 333, 55–61. [Google Scholar] [CrossRef]
- Sakharov, A.D. Vacuum quantum fluctuations in curved space and the theory of gravitation. Dokl. Akad. Nauk Ser. Fiz. 1967, 177, 70–71. [Google Scholar] [CrossRef]
- Visser, M. Sakharov’s induced gravity: A Modern perspective. Mod. Phys. Lett. A 2002, 17, 977–992. [Google Scholar] [CrossRef]
- Jacobson, T. Black hole entropy and induced gravity. arXiv 1994, arXiv:9404039. [Google Scholar]
- Frolov, V.P.; Fursaev, D.V.; Zelnikov, A.I. Statistical origin of black hole entropy in induced gravity. Nucl. Phys. B 1997, 486, 339–352. [Google Scholar] [CrossRef]
- Frolov, V.P.; Fursaev, D.V. Mechanism of generation of black hole entropy in Sakharov’s induced gravity. Phys. Rev. D 1997, 56, 2212–2225. [Google Scholar] [CrossRef]
- Ryu, S.; Takayanagi, T. Holographic derivation of entanglement entropy from AdS/CFT. Phys. Rev. Lett. 2006, 96, 181602. [Google Scholar] [CrossRef]
- Ryu, S.; Takayanagi, T. Aspects of Holographic Entanglement Entropy. J. High Energy Phys. 2006, 2006, 45. [Google Scholar] [CrossRef]
- Lewkowycz, A.; Maldacena, J. Generalized gravitational entropy. J. High Energy Phys. 2013, 2013, 90. [Google Scholar] [CrossRef]
- Takayanagi, T.; Tamaoka, K. Gravity Edges Modes and Hayward Term. J. High Energy Phys. 2020, 2020, 167. [Google Scholar] [CrossRef]
- Botta-Cantcheff, M.; Martinez, P.J.; Zarate, J.F. Rényi entropies and area operator from gravity with Hayward term. J. High Energy Phys. 2020, 2020, 227. [Google Scholar] [CrossRef]
- Kastikainen, J.; Svesko, A. Gravitational Rényi entropy from corner terms. Phys. Rev. D 2024, 109, 126017. [Google Scholar] [CrossRef]
- Kastikainen, J.; Svesko, A. Cornering gravitational entropy. J. High Energy Phys. 2024, 2024, 160. [Google Scholar] [CrossRef]
- Lashkari, N.; McDermott, M.B.; Van Raamsdonk, M. Gravitational dynamics from entanglement ‘thermodynamics’. J. High Energy Phys. 2014, 2014, 195. [Google Scholar] [CrossRef]
- Faulkner, T.; Guica, M.; Hartman, T.; Myers, R.C.; Van Raamsdonk, M. Gravitation from Entanglement in Holographic CFTs. J. High Energy Phys. 2014, 2014, 51. [Google Scholar] [CrossRef]
- Haehl, F.M.; Hijano, E.; Parrikar, O.; Rabideau, C. Higher Curvature Gravity from Entanglement in Conformal Field Theories. Phys. Rev. Lett. 2018, 120, 201602. [Google Scholar] [CrossRef]
- Swingle, B.; Van Raamsdonk, M. Universality of Gravity from Entanglement. arXiv 2014, arXiv:1405.2933. [Google Scholar]
- Agón, C.A.; Cáceres, E.; Pedraza, J.F. Bit threads, Einstein’s equations and bulk locality. J. High Energy Phys. 2021, 2021, 193. [Google Scholar] [CrossRef]
- Agón, C.A.; Pedraza, J.F. Quantum bit threads and holographic entanglement. J. High Energy Phys. 2022, 2022, 180. [Google Scholar] [CrossRef]
- Cooper, S.; Neuenfeld, D.; Rozali, M.; Wakeham, D. Brane dynamics from the first law of entanglement. J. High Energy Phys. 2020, 2020, 23. [Google Scholar] [CrossRef]
- Jacobson, T. Thermodynamics of space-time: The Einstein equation of state. Phys. Rev. Lett. 1995, 75, 1260–1263. [Google Scholar] [CrossRef]
- Parikh, M.K.; Sarkar, S. Beyond the Einstein Equation of State: Wald Entropy and Thermodynamical Gravity. Entropy 2016, 18, 119. [Google Scholar] [CrossRef]
- Guedens, R.; Jacobson, T.; Sarkar, S. Horizon entropy and higher curvature equations of state. Phys. Rev. D 2012, 85, 064017. [Google Scholar] [CrossRef]
- Parikh, M.; Svesko, A. Einstein’s equations from the stretched future light cone. Phys. Rev. D 2018, 98, 026018. [Google Scholar] [CrossRef]
- Parikh, M.; Sarkar, S.; Svesko, A. Local first law of gravity. Phys. Rev. D 2020, 101, 104043. [Google Scholar] [CrossRef]
- Svesko, A. Equilibrium to Einstein: Entanglement, Thermodynamics, and Gravity. Phys. Rev. D 2019, 99, 086006. [Google Scholar] [CrossRef]
- Engelhardt, N.; Wall, A.C. Quantum Extremal Surfaces: Holographic Entanglement Entropy beyond the Classical Regime. J. High Energy Phys. 2015, 2015, 73. [Google Scholar] [CrossRef]
- Dong, X. Holographic Entanglement Entropy for General Higher Derivative Gravity. J. High Energy Phys. 2014, 2014, 44. [Google Scholar] [CrossRef]
- Camps, J. Generalized entropy and higher derivative Gravity. J. High Energy Phys. 2014, 2014, 70. [Google Scholar] [CrossRef]
- Hawking, S.; Maldacena, J.M.; Strominger, A. DeSitter entropy, quantum entanglement and AdS / CFT. J. High Energy Phys. 2001, 2001, 1. [Google Scholar] [CrossRef]
- Fursaev, D.V. Black hole thermodynamics, induced gravity and gravity in brane worlds. In Proceedings of the International Conference on Quantization, Gauge Theory, and Strings: Conference Dedicated to the Memory of Professor Efim Fradkin, Moscow, Russia, 5–10 June 2000; Volume 6, pp. 462–470. [Google Scholar]
- Jacobson, T. On the nature of black hole entropy. AIP Conf. Proc. 1999, 493, 85–97. [Google Scholar] [CrossRef][Green Version]
- Hawking, S.W. Breakdown of Predictability in Gravitational Collapse. Phys. Rev. D 1976, 14, 2460–2473. [Google Scholar] [CrossRef]
- Page, D.N. Information in black hole radiation. Phys. Rev. Lett. 1993, 71, 3743–3746. [Google Scholar] [CrossRef]
- Penington, G. Entanglement Wedge Reconstruction and the Information Paradox. J. High Energy Phys. 2020, 2020, 2. [Google Scholar] [CrossRef]
- Almheiri, A.; Engelhardt, N.; Marolf, D.; Maxfield, H. The entropy of bulk quantum fields and the entanglement wedge of an evaporating black hole. J. High Energy Phys. 2019, 2019, 63. [Google Scholar] [CrossRef]
- Almheiri, A.; Hartman, T.; Maldacena, J.; Shaghoulian, E.; Tajdini, A. Replica Wormholes and the Entropy of Hawking Radiation. J. High Energy Phys. 2020, 2020, 13. [Google Scholar] [CrossRef]
- Penington, G.; Shenker, S.H.; Stanford, D.; Yang, Z. Replica wormholes and the black hole interior. J. High Energy Phys. 2022, 2022, 205. [Google Scholar] [CrossRef]
- Goto, K.; Hartman, T.; Tajdini, A. Replica wormholes for an evaporating 2D black hole. J. High Energy Phys. 2021, 04, 289. [Google Scholar] [CrossRef]
- Pedraza, J.F.; Svesko, A.; Sybesma, W.; Visser, M.R. Microcanonical action and the entropy of Hawking radiation. Phys. Rev. D 2022, 105, 126010. [Google Scholar] [CrossRef]
- Almheiri, A.; Mahajan, R.; Maldacena, J.; Zhao, Y. The Page curve of Hawking radiation from semiclassical geometry. J. High Energy Phys. 2020, 2020, 149. [Google Scholar] [CrossRef]
- Dvali, G.R.; Gabadadze, G.; Porrati, M. 4-D gravity on a brane in 5-D Minkowski space. Phys. Lett. B 2000, 485, 208–214. [Google Scholar] [CrossRef]
- Neuenfeld, D. Homology conditions for RT surfaces in double holography. Class. Quant. Grav. 2022, 39, 075009. [Google Scholar] [CrossRef]
- Lee, J.H.; Neuenfeld, D.; Shukla, A. Bounds on gravitational brane couplings and tomography in AdS3 black hole microstates. J. High Energy Phys. 2022, 2022, 139. [Google Scholar] [CrossRef]
- Geng, H.; Karch, A.; Perez-Pardavila, C.; Raju, S.; Randall, L.; Riojas, M.; Shashi, S. Entanglement phase structure of a holographic BCFT in a black hole background. J. High Energy Phys. 2022, 2022, 153. [Google Scholar] [CrossRef]
- Karch, A.; Perez-Pardavila, C.; Riojas, M.; Youssef, M. Subregion entropy for the doubly-holographic global black string. J. High Energy Phys. 2023, 2023, 195. [Google Scholar] [CrossRef]
- Geng, H.; Nomura, Y.; Sun, H.Y. Information paradox and its resolution in de Sitter holography. Phys. Rev. D 2021, 103, 126004. [Google Scholar] [CrossRef]
- Geng, H.; Karch, A. Massive islands. J. High Energy Phys. 2020, 2020, 121. [Google Scholar] [CrossRef]
- Geng, H. Revisiting Recent Progress in the Karch-Randall Braneworld. arXiv 2023, arXiv:2306.15671. [Google Scholar]
- Geng, H.; Karch, A.; Perez-Pardavila, C.; Raju, S.; Randall, L.; Riojas, M.; Shashi, S. Inconsistency of islands in theories with long-range gravity. J. High Energy Phys. 2022, 2022, 182. [Google Scholar] [CrossRef]
- Czech, B. Einstein Equations from Varying Complexity. Phys. Rev. Lett. 2018, 120, 031601. [Google Scholar] [CrossRef] [PubMed]
- Caputa, P.; Magan, J.M. Quantum Computation as Gravity. Phys. Rev. Lett. 2019, 122, 231302. [Google Scholar] [CrossRef]
- Susskind, L. Complexity and Newton’s Laws. Front. Phys. 2020, 8, 262. [Google Scholar] [CrossRef]
- Pedraza, J.F.; Russo, A.; Svesko, A.; Weller-Davies, Z. Lorentzian Threads as Gatelines and Holographic Complexity. Phys. Rev. Lett. 2021, 127, 271602. [Google Scholar] [CrossRef] [PubMed]
- Pedraza, J.F.; Russo, A.; Svesko, A.; Weller-Davies, Z. Sewing spacetime with Lorentzian threads: Complexity and the emergence of time in quantum gravity. J. High Energy Phys. 2022, 2022, 93. [Google Scholar] [CrossRef]
- Pedraza, J.F.; Russo, A.; Svesko, A.; Weller-Davies, Z. Computing spacetime. Int. J. Mod. Phys. D 2022, 31, 2242010. [Google Scholar] [CrossRef]
- Carrasco, R.; Pedraza, J.F.; Svesko, A.; Weller-Davies, Z. Gravitation from optimized computation: Einstein and beyond. J. High Energy Phys. 2023, 2023, 167. [Google Scholar] [CrossRef]
- Susskind, L. Entanglement is not enough. Fortsch. Phys. 2016, 64, 49–71. [Google Scholar] [CrossRef]
- Stanford, D.; Susskind, L. Complexity and Shock Wave Geometries. Phys. Rev. D 2014, 90, 126007. [Google Scholar] [CrossRef]
- Susskind, L. Computational Complexity and Black Hole Horizons. Fortsch. Phys. 2016, 64, 24–43. [Google Scholar] [CrossRef]
- Brown, A.R.; Roberts, D.A.; Susskind, L.; Swingle, B.; Zhao, Y. Complexity, action, and black holes. Phys. Rev. D 2016, 93, 086006. [Google Scholar] [CrossRef]
- Brown, A.R.; Roberts, D.A.; Susskind, L.; Swingle, B.; Zhao, Y. Holographic Complexity Equals Bulk Action? Phys. Rev. Lett. 2016, 116, 191301. [Google Scholar] [CrossRef] [PubMed]
- Swingle, B. Entanglement Renormalization and Holography. Phys. Rev. D 2012, 86, 065007. [Google Scholar] [CrossRef]
- Swingle, B. Constructing holographic spacetimes using entanglement renormalization. arXiv 2012, arXiv:1209.3304. [Google Scholar]
- Bao, N.; Penington, G.; Sorce, J.; Wall, A.C. Beyond Toy Models: Distilling Tensor Networks in Full AdS/CFT. J. High Energy Phys. 2019, 2019, 69. [Google Scholar] [CrossRef]
- Jahn, A.; Eisert, J. Holographic tensor network models and quantum error correction: A topical review. Quantum Sci. Technol. 2021, 6, 033002. [Google Scholar] [CrossRef]
- Belin, A.; Myers, R.C.; Ruan, S.M.; Sárosi, G.; Speranza, A.J. Does Complexity Equal Anything? Phys. Rev. Lett. 2022, 128, 081602. [Google Scholar] [CrossRef]
- Belin, A.; Myers, R.C.; Ruan, S.M.; Sárosi, G.; Speranza, A.J. Complexity equals anything II. J. High Energy Phys. 2023, 2023, 154. [Google Scholar] [CrossRef]
- Hernandez, J.; Myers, R.C.; Ruan, S.M. Quantum extremal islands made easy. Part III. Complexity on the brane. J. High Energy Phys. 2021, 2021, 173. [Google Scholar] [CrossRef]
- Chen, B.; Liu, Y.; Yu, B. Holographic complexity of rotating quantum black holes. J. High Energy Phys. 2024, 2024, 55. [Google Scholar] [CrossRef]
- Aguilar-Gutierrez, S.E.; Craps, B.; Hernandez, J.; Khramtsov, M.; Knysh, M.; Shukla, A. Holographic complexity: Braneworld gravity versus the Lloyd bound. J. High Energy Phys. 2024, 2024, 173. [Google Scholar] [CrossRef]
- Carrasco, R.; Pedraza, J.F.; Svesko, A. Work in progress.
- Penrose, R. Gravitational Collapse. In Gravitational Radiation and Gravitational Collapse; Dewitt-Morette, C., Ed.; Springer: Dordrecht, The Netherlands, 1974; Volume 64, p. 82. [Google Scholar]
- Penrose, R. Singularities and time asymmetry. In General Relativity: An Einstein Centenary Survey; Cambridge University Press: Cambridge, UK, 1980; pp. 581–638. [Google Scholar]
- Simpson, M.; Penrose, R. Internal instability in a Reissner-Nordstrom black hole. Int. J. Theor. Phys. 1973, 7, 183–197. [Google Scholar] [CrossRef]
- Poisson, E.; Israel, W. Internal structure of black holes. Phys. Rev. D 1990, 41, 1796–1809. [Google Scholar] [CrossRef]
- Lanir, A.; Ori, A.; Zilberman, N.; Sela, O.; Maline, A.; Levi, A. Analysis of quantum effects inside spherical charged black holes. Phys. Rev. D 2019, 99, 061502. [Google Scholar] [CrossRef]
- Zilberman, N.; Levi, A.; Ori, A. Quantum fluxes at the inner horizon of a spherical charged black hole. Phys. Rev. Lett. 2020, 124, 171302. [Google Scholar] [CrossRef]
- Dias, O.J.C.; Reall, H.S.; Santos, J.E. The BTZ black hole violates strong cosmic censorship. J. High Energy Phys. 2019, 2019, 97. [Google Scholar] [CrossRef]
- Hollands, S.; Wald, R.M.; Zahn, J. Quantum instability of the Cauchy horizon in Reissner–Nordström–deSitter spacetime. Class. Quant. Grav. 2020, 37, 115009. [Google Scholar] [CrossRef]
- Emparan, R.; Tomašević, M. Strong cosmic censorship in the BTZ black hole. J. High Energy Phys. 2020, 2020, 38. [Google Scholar] [CrossRef]
- Kolanowski, M.; Tomašević, M. Singularities in 2D and 3D quantum black holes. J. High Energy Phys. 2023, 2023, 102. [Google Scholar] [CrossRef]
- Wald, R. Gedanken experiments to destroy a black hole. Ann. Phys. 1974, 82, 548–556. [Google Scholar] [CrossRef]
- Sorce, J.; Wald, R.M. Gedanken experiments to destroy a black hole. II. Kerr-Newman black holes cannot be overcharged or overspun. Phys. Rev. D 2017, 96, 104014. [Google Scholar] [CrossRef]
- Penrose, R. Naked singularities. Annals N. Y. Acad. Sci. 1973, 224, 125–134. [Google Scholar] [CrossRef]
- Huisken, G.; Ilmanen, T. The Inverse Mean Curvature Flow and the Riemannian Penrose Inequality. J. Differ. Geom. 2001, 59, 353–437. [Google Scholar] [CrossRef]
- Bray, H.L. Proof of the Riemannian Penrose Inequality Using the Positive Mass Theorem. J. Differ. Geom. 2001, 59, 177–267. [Google Scholar] [CrossRef]
- Bray, H.L.; Lee, D.A. On the Riemannian Penrose inequality in dimensions less than 8. Duke Math. J. 2009, 148, 81–106. [Google Scholar] [CrossRef]
- Mars, M. Present status of the Penrose inequality. Class. Quant. Grav. 2009, 26, 193001. [Google Scholar] [CrossRef]
- Itkin, I.; Oz, Y. Penrose Inequality for Asymptotically AdS Spaces. Phys. Lett. B 2012, 708, 307–308. [Google Scholar] [CrossRef][Green Version]
- Folkestad, r. Penrose Inequality as a Constraint on the Low Energy Limit of Quantum Gravity. Phys. Rev. Lett. 2023, 130, 121501. [Google Scholar] [CrossRef] [PubMed]
- Bousso, R.; Shahbazi-Moghaddam, A.; Tomasevic, M. Quantum Penrose Inequality. Phys. Rev. Lett. 2019, 123, 241301. [Google Scholar] [CrossRef] [PubMed]
- Bousso, R.; Shahbazi-Moghaddam, A.; Tomašević, M. Quantum Information Bound on the Energy. Phys. Rev. D 2019, 100, 126010. [Google Scholar] [CrossRef]
- Engelhardt, N.; Folkestad, r.; Levine, A.; Verheijden, E.; Yang, L. Cryptographic Censorship. arXiv 2024, arXiv:2402.03425. [Google Scholar]
- Berti, E.; Cardoso, V.; Starinets, A.O. Quasinormal modes of black holes and black branes. Class. Quant. Grav. 2009, 26, 163001. [Google Scholar] [CrossRef]
- Konoplya, R.A.; Zhidenko, A. Quasinormal modes of black holes: From astrophysics to string theory. Rev. Mod. Phys. 2011, 83, 793–836. [Google Scholar] [CrossRef]
- Horowitz, G.T.; Hubeny, V.E. Quasinormal modes of AdS black holes and the approach to thermal equilibrium. Phys. Rev. D 2000, 62, 024027. [Google Scholar] [CrossRef]
- Cartwright, C.; Gürsoy, U.; Pedraza, J.F.; Planella Planas, G. Perturbing a quantum black hole. arXiv 2024, arXiv:2408.08010. [Google Scholar]
- Grozdanov, S.; Schalm, K.; Scopelliti, V. Black hole scrambling from hydrodynamics. Phys. Rev. Lett. 2018, 120, 231601. [Google Scholar] [CrossRef]
- Blake, M.; Davison, R.A.; Grozdanov, S.; Liu, H. Many-body chaos and energy dynamics in holography. J. High Energy Phys. 2018, 2018, 35. [Google Scholar] [CrossRef]
- Haehl, F.M.; Rozali, M. Effective Field Theory for Chaotic CFTs. J. High Energy Phys. 2018, 2018, 118. [Google Scholar] [CrossRef]
- Cartwright, C. An example of the convergence of hydrodynamics in strong external fields. arXiv 2024, arXiv:2403.12638. [Google Scholar] [CrossRef]
- Grozdanov, S.; Kovtun, P.K.; Starinets, A.O.; Tadić, P. The complex life of hydrodynamic modes. J. High Energy Phys. 2019, 2019, 97. [Google Scholar] [CrossRef]
- Sasaki, M.; Shiromizu, T.; Maeda, K.i. Gravity, stability and energy conservation on the Randall-Sundrum brane world. Phys. Rev. D 2000, 62, 024008. [Google Scholar] [CrossRef]
- Garriga, J.; Tanaka, T. Gravity in the brane world. Phys. Rev. Lett. 2000, 84, 2778–2781. [Google Scholar] [CrossRef] [PubMed]
- Csaki, C.; Erlich, J.; Hollowood, T.J.; Shirman, Y. Universal aspects of gravity localized on thick branes. Nucl. Phys. B 2000, 581, 309–338. [Google Scholar] [CrossRef]
- Karch, A.; Randall, L. Localized gravity in string theory. Phys. Rev. Lett. 2001, 87, 061601. [Google Scholar] [CrossRef] [PubMed]
- DeWolfe, O.; Freedman, D.Z.; Ooguri, H. Holography and defect conformal field theories. Phys. Rev. D 2002, 66, 025009. [Google Scholar] [CrossRef]
- Aharony, O.; DeWolfe, O.; Freedman, D.Z.; Karch, A. Defect conformal field theory and locally localized gravity. J. High Energy Phys. 2003, 2003, 30. [Google Scholar] [CrossRef]
- Polchinski, J. Dirichlet Branes and Ramond-Ramond charges. Phys. Rev. Lett. 1995, 75, 4724–4727. [Google Scholar] [CrossRef]
- Horowitz, G.T.; Strominger, A. Black strings and P-branes. Nucl. Phys. B 1991, 360, 197–209. [Google Scholar] [CrossRef]
- Gubser, S.S. AdS / CFT and gravity. Phys. Rev. D 2001, 63, 084017. [Google Scholar] [CrossRef]
- Levi-Civita, T. Ds2 einsteiniani in campi newtoniani. Atti Accad. Nazl. Lincei 1918, 27. [Google Scholar]
- Ehlers, J.; Kundt, W. Exact Solutions of the Gravitational Field Equations; John Wiley & Sons: Hoboken, NJ, USA, 1962. [Google Scholar]
- Kinnersley, W.; Walker, M. Uniformly accelerating charged mass in general relativity. Phys. Rev. D 1970, 2, 1359–1370. [Google Scholar] [CrossRef]
- Griffiths, J.B.; Podolsky, J. A New look at the Plebanski-Demianski family of solutions. Int. J. Mod. Phys. D 2006, 15, 335–370. [Google Scholar] [CrossRef]
- Podolsky, J.; Griffiths, J.B. Accelerating Kerr-Newman black holes in (anti-)de Sitter space-time. Phys. Rev. D 2006, 73, 044018. [Google Scholar] [CrossRef]
- Griffiths, J.B.; Krtous, P.; Podolsky, J. Interpreting the C-metric. Class. Quant. Grav. 2006, 23, 6745–6766. [Google Scholar] [CrossRef]
- Podolsky, J.; Vratny, A. New improved form of black holes of type D. Phys. Rev. D 2021, 104, 084078. [Google Scholar] [CrossRef]
- Hong, K.; Teo, E. A New form of the C metric. Class. Quant. Grav. 2003, 20, 3269–3277. [Google Scholar] [CrossRef]
- Hong, K.; Teo, E. A New form of the rotating C-metric. Class. Quant. Grav. 2005, 22, 109–118. [Google Scholar] [CrossRef][Green Version]
- Bonnor, W.B. Closed timelike curves in general relativity. Int. J. Mod. Phys. D 2003, 12, 1705–1708. [Google Scholar] [CrossRef]
- Hubeny, V.E.; Marolf, D.; Rangamani, M. Black funnels and droplets from the AdS C-metrics. Class. Quant. Grav. 2010, 27, 025001. [Google Scholar] [CrossRef]
- Costa, S.S. A Description of several coordinate systems for hyperbolic spaces. arXiv 2001, arXiv:0112039. [Google Scholar]
- Dias, O.J.C.; Lemos, J.P.S. Pair of accelerated black holes in anti-de Sitter background: AdS C metric. Phys. Rev. D 2003, 67, 064001. [Google Scholar] [CrossRef]
- Balasubramanian, V.; Kraus, P. A Stress tensor for Anti-de Sitter gravity. Commun. Math. Phys. 1999, 208, 413–428. [Google Scholar] [CrossRef]
















Disclaimer/Publisher’s Note: The statements, opinions and data contained in all publications are solely those of the individual author(s) and contributor(s) and not of MDPI and/or the editor(s). MDPI and/or the editor(s) disclaim responsibility for any injury to people or property resulting from any ideas, methods, instructions or products referred to in the content. |
© 2024 by the authors. Licensee MDPI, Basel, Switzerland. This article is an open access article distributed under the terms and conditions of the Creative Commons Attribution (CC BY) license (https://creativecommons.org/licenses/by/4.0/).
Share and Cite
Panella, E.; Pedraza, J.F.; Svesko, A. Three-Dimensional Quantum Black Holes: A Primer. Universe 2024, 10, 358. https://doi.org/10.3390/universe10090358
Panella E, Pedraza JF, Svesko A. Three-Dimensional Quantum Black Holes: A Primer. Universe. 2024; 10(9):358. https://doi.org/10.3390/universe10090358
Chicago/Turabian StylePanella, Emanuele, Juan F. Pedraza, and Andrew Svesko. 2024. "Three-Dimensional Quantum Black Holes: A Primer" Universe 10, no. 9: 358. https://doi.org/10.3390/universe10090358
APA StylePanella, E., Pedraza, J. F., & Svesko, A. (2024). Three-Dimensional Quantum Black Holes: A Primer. Universe, 10(9), 358. https://doi.org/10.3390/universe10090358

