Observational Constraints on Dynamical Dark Energy Models
Abstract
1. Introduction
2. Cosmological Dark Energy Models
2.1. CDM Model
2.2. Dynamical Dark Energy Scalar Field CDM Models
- (i)
- The EoS parameter—For quintessence fields, , while for phantom fields, .
- (ii)
- The sign of the kinetic term—For quintessence fields, the kinetic term in the Lagrangian has a positive sign, while it is negative for phantom fields.
- (iii)
- The dynamics of the scalar field—The quintessence field rolls gradually to the minimum of its potential, while the phantom field rolls to the maximum of its potential.
- (iv)
- Temporal evolution of dark energy—For quintessence fields, the dark energy density remains almost unchanging with time, while it increases for phantom fields.
- (v)
- Forecasting the future of the universe—The quintessence models predict either an eternal expansion of the universe or a repeated collapse, depending on the spatial curvature of the universe. On the other hand, the phantom models predict the destruction of any gravitationally related structures in the universe. Depending on the asymptotic behavior of the Hubble parameter , the future scenarios of the universe are divided into a big rip for which for a finite future time ; a little rip for which at an infinite future time , and a pseudo rip for which for an infinite future time .
2.2.1. Quintessence Scalar Field
- (a)
- In the thawing models, the scalar field was too suppressed by the retarding effect of the Hubble expansion, represented by the term in Equation (9), until recently. This results in a much slower evolution of the scalar field compared to the Hubble expansion and the thawing scalar field manifests itself as the vacuum energy, with the EoS parameter ∼. The Hubble expansion rate decreases with time and, after it falls below , the scalar field begins to roll to the minimum of its potential, see Figure 2 (Right panel). The value of the EoS parameter for the scalar field thus increases over the time and becomes .
- (b)
- In the freezing models, the scalar field is always suppressed (it is damped), i.e., . Freezing scalar field models have so-called tracking solutions. According to tracking solutions, the quintessence component tracks the background EoS parameter (radiation in the radiation-dominated epoch and matter in the matter-dominated epoch) and eventually only recently grows to dominate the energy density in the universe. This leads to the accelerated expansion of the universe at late times, since the scalar field has a negative effective pressure. The tracker behavior allows the quintessence model to be insensitive to initial conditions. But this requires fine tuning of the potential energy, since ∼∼.
2.2.2. Phantom Scalar Field
2.3. Parameterized Dark Energy Models
2.3.1. wCdm Parameterization
2.3.2. XCDM Models
2.4. Quintessential Inflation Models
2.5. Interacting Dark Energy Models
2.5.1. Coupling of the First Type
2.5.2. Coupling of the Second Type
3. Constraints from Observational Data
3.1. Type Ia Supernovae
3.2. Cosmic Microwave Background Radiation Data
3.3. Large-Scale Structure Growth Rate Data
3.4. Baryon Acoustic Oscillations Data
3.5. Hubble Parameter Data
3.6. Quasar Angular Size Data
3.7. Gamma Ray Burst Distance Data
3.8. Starburst Galaxy Data
3.9. X-ray Gas Mass Fraction of Cluster Data
3.10. Reionization Data
3.11. Gravitational Lensing Data
3.12. Compact Radio Source Data
4. Summary and Results
- Results of constraints on the parameters of dynamical dark energy models
- For both the extended and ordinary quintessence CDM-RP models, constraints were obtained of and , using the SNe Ia + SNAP data, Caresia et al. [214].
- Constraints on the spatial curvature density parameter today to be at a confidence level in the spatially non-flat CDM-RP model as well as the XCDM model, from SNe Ia + + BAO data. More precise data are required to tighten the bounds on the parameters, Farooq et al. [255].
- In constraints on the model parameters of the CDM model, the XCDM model, and the CDM-RP model using galaxy cluster gas mass fraction data, is better constrained than , whose best-fit value is , corresponding to the standard spatially flat CDM model; however, the scalar field CDM model is not excluded [283].
- The deceleration–acceleration transition redshift was obtained as a result of the constraints on the parameters of the CDM-RP model from data [342].
- A likelihood analysis of the COBE-DMR sky maps to normalize the spatially flat CDM-RP model shows that this model remains an observationally viable alternative to the standard spatially flat CDM model [280].
- The upper bounds of eV and eV, respectively, for the spatially flat (spatially non-flat) CDM model and the spatially flat (spatially non-flat) CDM model were defined using CMB + BAO + SNe Ia and the Hubble Space Telescope prior observations. The inclusion of spatial curvature as a free parameter leads to a significant expansion of the confidence regions for and other parameters in spatially flat CDM models, but the corresponding differences are larger for both the spatially non-flat CDM and spatially non-flat CDM models [288].
- When the bispectrum component is included in the BAO + LSS data for the CDM model, a significant dynamical dark energy signal was achieved at a confidence level. Thus, the bispectrum can be a very useful tool for tracking and examining the possible dynamical features of dark energy and their influence on the LSS formation in the linear regime [321]. (The bispectrum component has been used by Solà et al. [187] before to study the running cosmic vacuum in the RVMs!)
- As a result of constraints on the parameters of the oCDM, XCDM (here CDM), and wCDM models by using the BAO + BBN + SNe Ia data the value of epoch at a 1 confidence level, which is consistent with the spatially flat universe; in the spatially flat XCDM model, the value of the dark energy EoS parameter at the present epoch at a 1 confidence level, which approximately equals the value of the EoS parameter for the CDM model; and values of the and in the CPL parameterization of the EoS parameter of the wCDM model and at 1 confidence level were obtained. The exclusion of the SNe Ia data from the joint data analysis does not significantly weaken the resulting constraints. This means that, when using a single external BBN prior, full-shape and BAO peak length scale data can provide reliable constraints independent of CMB temperature anisotropy constraints [332].
- Current X-ray temperature data on massive galaxies weakly constrain the and parameters of the wCDM model around the values of the wCDM model corresponding to the CDM model. In the analysis including data from the galaxy cluster number count + + CMB temperature anisotropy + BAO + SNe Ia, the values of and were obtained at a confidence level [390].
- In constraints on parameters in the spatially flat CDM model, the spatially closed CDM models with the RP and Sugra potentials using SNe Ia data, values of and , are quite different from those for the CDM. The quintessence scalar field creates more structures outside the filaments, lighter halos with higher internal velocity dispersion, as seen from N-body simulations performed by the authors to study the influence of quintessence on the distribution of matter on large scales [253].
- In the CDM-RP model in a spacetime with non-zero spatial curvature, the dynamical scalar field has an attractor solution in the curvature dominated epoch, while the energy density of the scalar field increases relative to that of the spatial curvature [252].
- In constraints on in the CDM-RP, the wCDM, and the spatially flat and spatially non-flat CDM models from measurements of , the value of the is found as follows: for the spatially flat and spatially non-flat CDM model, and ; for the wCDM model, ; for the CDM model, (at a 1 confidence level) [343].
- In constraints on the parameters of the spatially flat and non-flat CDM, XCDM, and CDM-RP models, as well as on the QSO radius–luminosity relation parameters from QSO reverberation measured, the parameters of the relation do not depend on the cosmological models considered and, therefore, the relation can be used to standardize the QSO data. Mutually consistent constraints on the cosmological parameters from , , and + BAO peak length scale data allow conducting the analysis from the + dataset as well as from the + BAO peak length scale + + datasets. Although the + cosmological constraints are weak, they slightly (at a ∼ confidence level) change the constraints from the + BAO peak length scale + + datasets [203].
- The quintessential inflation model with the generalized exponential potential including massive neutrinos that are non-minimally coupled with a scalar field obtains observational constraints on parameters using combinations of data: CMB + BAO (BOSS) + SNe Ia (SNLS). The upper bound on possible values of the sum of neutrino masses eV is significantly larger than in the spatially flat CDM model [177].
- Alleviation and resolving of the CDM model tensions
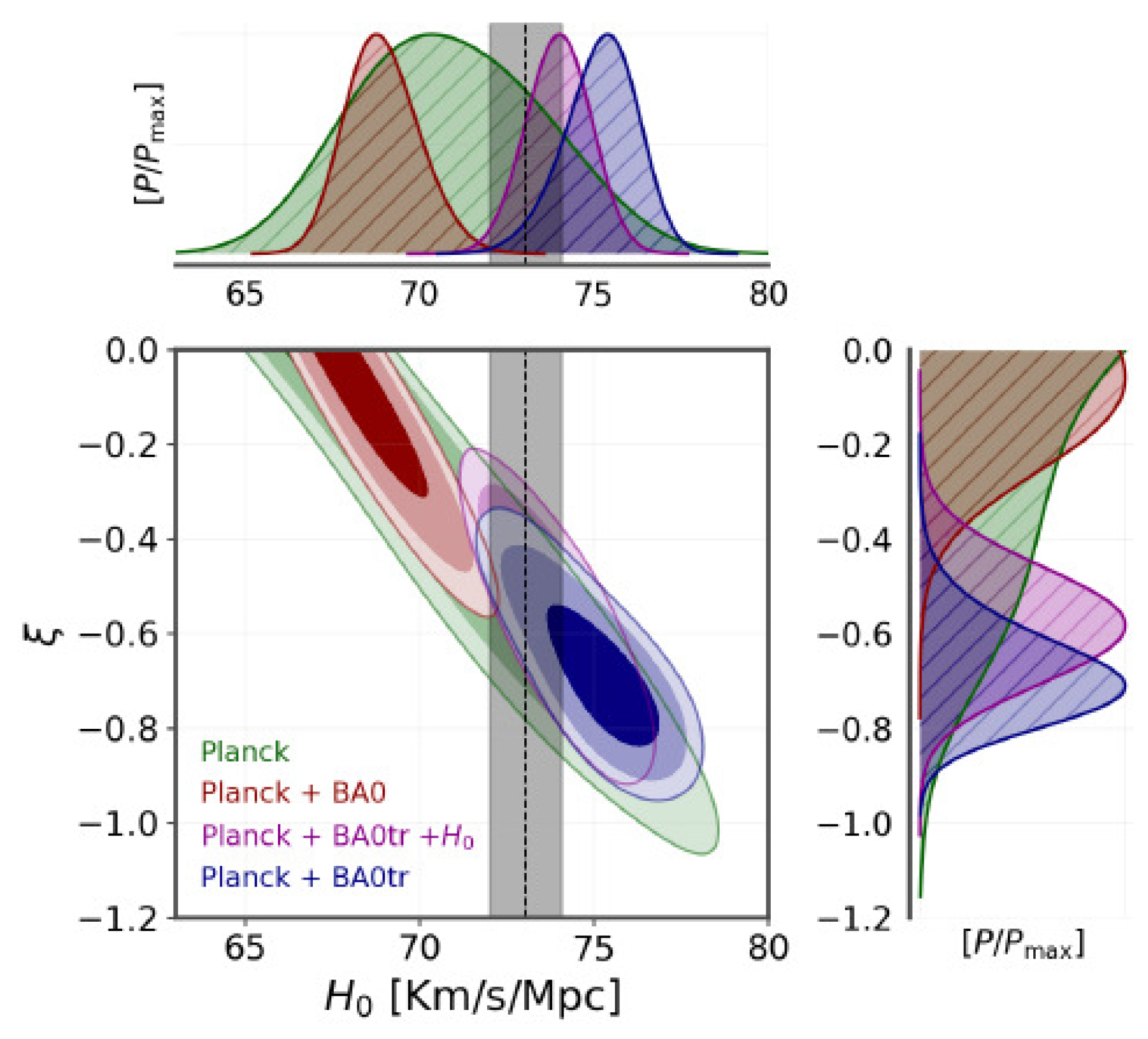
- The joint Planck + BAO (transversal) analysis agrees well with the measurements made by the SH0ES team and, applied to the IDE models, solves the Hubble constant tension [67].
- A larger value of the Hubble constant, i.e., alleviation of the Hubble constant tension (with a significance of 3.6), has been obtained for the spatially non-flat IDE models. Searches for other forms of the interaction function and the EoS for the dark energy component in IDE models are needed, which may further ease the tension of the Hubble constant [121].
- The lower multipole region of CMB + BAO (6dFGS, SDSS-MGS) in the spatially closed quintessential inflation CDM model reduces the tension between the Planck and the weak lensing constraints [330].
- The maximum of the likelihood in the constraint parameters in the CDM-RP model from the strong gravitational lensing data accords to the values of the matter density parameter at the present epoch and the model parameter , i.e., to the standard spatially flat CDM model. For the confidence level, and , while, for confidence level, and [389].
- In extended CDM- RP models with exponential coupling to the Ricci scalar, the projection of the ISW effect on the CMB temperature anisotropy is found to be considerably larger in the exponential case with respect to a quadratic non-minimal coupling. This reflects the fact that the effective gravitational constant depends exponentially on the dynamics of the scalar field [215].
- The value of the cosmological deceleration–acceleration transition is insensitive to the chosen model from the spatially flat and spatially non-flat CDM-RP, the XCDM, and the wCDM using data, and depend only on the assumed value of the Hubble constant . The weighted mean of these measurements is for [192].
- In contrast to the joint Planck + BAO analysis, where it is not possible to solve the Hubble constant tension, the joint Planck + BAO (transversal) analysis agrees well with the measurements made by the SH0ES team and, applied to the IDE models, solves the Hubble constant tension [67].
- Data preferences
- Planck 2018 CMB data favor spatially closed hypersurfaces in spatially non-flat IDE models at more than 99% CL (with a significance of 5) [121].
- The higher multipole region of the CMB temperature anisotropy data is in better agreement with the tilted spatially flat CDM model than with the spatially closed CDM model [330].
- Depending on the value of the Hubble constant as a prior and the cosmological model under consideration, the data provides evidence in favor of the spatially non-flat scalar field CDM model [331].
- The spatially closed quintessential inflation CDM model provides a better fit to the lower multipole region of CMB temperature anisotropy data +BAO (6dFGS, SDSS-MGS) data compared to that provided by the tilted spatially flat CDM model [330].
- In most of the tilted spatially flat and untilted spatially non-flat CDM, XCDM, and CDM-RP quintessential inflation models, the QSO data favor ∼0.5–0.6, while, in a combined analysis of QSO + + BAO, the values of the are shifted slightly towards larger values. A combined QSO + BAO peak length scale + dataset is consistent with the standard spatially flat CDM model, but favors slightly both the spatially closed hypersurfaces and the dynamical dark energy models [195].
- Depending on the chosen model (from spatially flat and spatially non-flat CDM, XCDM, and CDM-RP models) and dataset (from BAO + + QSO), the data slightly favor both the spatially closed hypersurfaces with at a confidence level and the dynamical dark energy models over the standard spatially flat CDM model at a slightly higher than confidence level. Furthermore, depending on the dataset and the model, the observational data favor a lower Hubble constant value than the one measured by the local data at a confidence level to confidence level [193].
- The analysis with the + BAO + QSO-AS + G + GRB dataset favors the spatially flat CDM model but also does not rule out dynamical dark energy models [352].
- The Hubble constant value is constrained in the spatially flat and spatially non-flat CDM, XCDM, and CDM-RP models using various combinations of datasets: BAO + SNe Ia . The BAO + SNe Ia dataset slightly favors the untilted spatially non-flat dynamical XCDM and CDM quintessential inflation models, as well as smaller Hubble constant values [297].
- Smaller angular scale SPTpol measurements (used jointly with only Planck CMB temperature anisotropy data or with the combination of Planck CMB temperature anisotropy data and non-CMB temperature anisotropy data) favor the untilted spatially closed models [303].
- The spatially flat CDM scalar field models could not be unambiguously preferred, from the DESI predictive data ( + + angular diameter distance ), over the standard CDM spatially flat model, the latter still being the most preferred dark energy model [320].
- CMB (Planck 2015) + BAO + SNe Ia + + LSS growth data slightly favor the spatially closed XCDM model over the spatially flat CDM model at a confidence level, while also being in better agreement with the untilted spatially flat XCDM model than with the spatially flat CDM model at the confidence level [326].
- The analysis of the BAO + SNe Ia+ angular diameter distance (using X-ray observations of the intracluster medium + radio observations of the Sunyaev–Zel’dovich effect of galaxy clusters) data favors the spatially flat CDM model but does not exclude the spatially flat CDM-RP model [391].
- SNe Ia + X-ray gas mass fraction of cluster data is preferable to the standard spatially flat CDM model, but the CDM model is not ruled out either [337].
- The spatially flat CDM model is the most preferable, but both dynamic dark energy models and space curvature are not ruled out [206].
- Combined analysis from QSO + + BAO data is consistent with the standard spatially flat CDM model, but slightly favors both closed spatial hypersurfaces and the untilted spatially non-flat CDM model [196].
- Constraints on the parameters in the spatially flat and non-flat CDM, XCDM, and CDM-RP models from three (ML, MS, and GL) () Dainotti-correlated sets of GRB measurements are weak, providing lower bounds on parameter , moderately favoring the non-zero spatial curvature, and largely consistent with both the currently accelerated cosmological expansion and with constraints determined on the basis of more reliable data [202].
- The relation parameters for QSO data are independent in models under investigation, from the spatially flat and non-flat CDM, XCDM, and CDM-RP models; therefore, QSO data seem to be standardizable through relation parameters. The constraints derived using QSO data are weak, slightly favoring the currently accelerating cosmological expansion, and are generally in the tension with the constraints derived from analysis of the measurements of the BAO peak length scale and the Hubble parameter [200].
- Constraints on the parameters of the spatially non-flat untilted CDM-RP inflation model were improved from a to a more than confidence level by combining by CMB (Planck 2015) + BAO + SNe Ia + + LSS data. CMB (Planck 2015) + BAO + SNe Ia + + LSS data favor a spatially closed universe with the spatial curvature contributing about two-thirds of a percent of the current total cosmological energy budget. The spatially flat tilted CDM inflation model is a better fit to the observational data than is the standard spatially flat tilted CDM model, i.e., current observational data allow for the possibility of dynamical dark energy in the universe. The spatially non-flat tilted CDM model better fits the DES bounds on the rms amplitude of mass fluctuations as a function of the parameter [291].
- The CDM model has a strong advantage, investigating both the minimally coupled with gravity scalar field spatially flat CDM-RP model and non-minimally coupled scalar field extended quintessence model with gravity (with the Ricci scalar), applying the dataset: the Pantheon SNe + BAO (6dFGS, SDSSLRG, BOSS-MGS, BOSS-LOWZ, WiggleZ, BOSS-CMASS, BOSS-DR12) + CMB + + RSD, when local measurements of the Hubble constant [13] are not taken into account and, conversely, this statement is weakened when local measurements of are included in the data analysis [221].
- Disadvantages of models to data
- Spatially non-flat CDM-RP quintessential inflation models predict a much lower fraction of neutral hydrogen at higher redshifts (from limits for ∼1), namely, at z∼8, are clearly contradictory to most current observation limits from distant QSO + GRB + LAE data [194].
- A serious disadvantage of spatially non-flat CDM-RP quintessential inflation models can be seen from the results obtained from the evolution of the photon escape fraction : in spatially non-flat models even at , given its limits. Such non-physical values indicate the possibility of excluding these models. (However, the Planck 2018 [13] reduction in the value of the in the six-parameter tilted flat CDM inflation model by about reconciles the predictions of the non-flat model with observations) [194].
- starburst galaxy apparent magnitude + QSO only(or) + BAO datasets favor the spatially flat CDM model, while at the same time do not rule out dynamical spatially flat and non-flat CDM-RP models [347].
- Constraints on the parameters of the spatially flat and non-flat CDM, XCDM, and CDM-RP models using SNe Ia (Pantheon + DES) + QSO + G data + BAO + favor dynamical dark energy and slightly spatially closed hypersurfaces; they do not preclude dark energy from being a cosmological constant and spatially flat hypersurfaces [201].
- Constraints on the parameters of the spatially non-flat untilted CDM-RP inflation model by CMB (Planck 2015) + BAO + SNe Ia + + LSS data do not provide such good agreement with the larger multipoles of CMB (Planck 2015) data as the spatially flat tilted CDM model [291].
- Failure and incompatibility of data
- CMB (Planck 2015) + BAO + SNe Ia + + LSS growth data are unable to rule out dynamical scalar field spatially flat CDM models [326].
- The dynamical untilted spatially non-flat XCDM model is not compatible with with higher multipoles of CMB temperature anisotropy data, as is the standard spatially flat CDM model [326].
- The parameters of the spatially flat CDM model could not be tightly constrained only by the current GRB data [365].
- There is a strong degeneracy between the model parameters and in the spatially flat CDM-RP model applying only LSS data. According to constraints from LSS growth rate + BAO + CMB data, and at a confidence level (the best-fit value for the model parameter is ) [317].
- Sensibility of various data
- Studying dark energy in the early universe using SNe Ia + WMAP + CBI + VSA + SDSS + HST data, the values and density parameter in the early universe at the confidence level are found. SNe Ia data are most sensitive to , while CMB temperature anisotropies and LSS growth rate are the best constraints of , Doran et al. [247].
- Expansion history data are not particularly sensitive to the dynamic effects of dark energy, while the data compilation BAO + LSS + CMB anisotropy is more sensitive [321].
- Consistency of constraint results with various data
- Constraints of the spatially flat CDM-RP model from radio galaxies FRIIb sources+redshift–angular size data are consistent both with the results obtained from the SNe Ia apparent magnitude data of [2,211] and with the results obtained from the compact radio source redshift–angular size [387], but they are less restrictive [388].
- Constraints on the parameters of the CDM-RP, the XCDM, and the CDM models from BAO + data. The BAO + data dataset is consistent with the standard spatially flat CDM model [331].
- Constraints on the parameters of the spatially flat and non-flat CDM, XCDM, and CDM-RP models using the higher-redshift GRB G + QSO are consistent with the currently accelerating cosmological expansion, as well as with the constraints obtained from the analysis of the + BAO peak length scale. From the analysis of the + BAO + QSO-AS + G + GRB dataset, the model-independent values of epoch and are obtained [352].
- In each dark energy model (from the spatially flat and untilted spatially non-flat CDM, XCDM, and scalar field CDM-RP quintessential inflation models), constraints on cosmological parameters from SPTpol measurements+ CMB temperature anisotropy and non-CMB temperature anisotropy measurements are largely consistent with one another [303].
- The dynamical untilted spatially non-flat XCDM model is compatible with the DES limits on the current value of the rms mass fluctuation amplitude as a [326].
- A large region of parameter space for the CDM models, with the RP and the pNGb potential models, is consistent with the SNe Ia data if , wherein the constraints on the model parameter of the RP potential is . The CDM model with the pNGb potential is constrained by the SNe Ia apparent magnitude + lensing measurements at a 2 confidence level [386].
- The constraints obtained from the QSOs + BAO + agree with the spatially flat CDM model as well as with spatially non-flat dynamical dark energy models [198].
- The data are consistent with the standard spatially flat CDM model while they do not rule out the spatially non-flat XCDM and spatially non-flat CDM models [192].
- The obtained values, as a result of constraints in CDM-RP, the wCDM, and the spatially flat and spatially non-flat CDM models by measurements, are more consistent with the smaller values determined from the recent CMB temperature anisotropy and BAO peak length scale data and with the values derived from the median statistics analysis of Huchra’s compilation of data [343].
- Constraints on spatially flat and non-flat CDM, XCDM, and CDM-RP models from GRB are consistent with the spatially flat CDM as well as with the spatially non-flat dynamical dark energy models [371].
- The second and third largest subsamples, SDSS-Chandra and XXL QSOs, which together account for about of total QSO data, appear to be standardized. Constraints on the cosmological parameters from these subsamples are weak and consistent with the standard spatially flat CDM model or with the constraints from the better-established cosmological probes [199].
- The quintessential inflation model with the generalized exponential potential is in good agreement with observations and represents a successful scheme for the unification of the primordial inflaton field causing inflation in the very early universe and dark energy causing the accelerated expansion of the universe at the present epoch [177].
- In quintessential inflation models, the early quintessence is characterized by a suppressed ability to cluster at small scales, as suggested by the compilation of data from WMAP + CBI + ACBAR + 2dFGRS + . Quintessential inflation models are compatible with these data for a constant spectral index of primordial density perturbations [269].
- Comparing constraints with various data
- Constraints on cosmological parameters in the spatially flat CDM model by joint datasets consisting of measurements of the age of the universe + SNe Ia + BAO are tighter than those obtained from datasets consisting of data on the lookback time + age of the universe [328].
- Constraints on cosmological parameters in the scalar field CDM-RP model from SVJ data [335]. Using the data, the constraints on the are more stringent than those on the model parameter . Constraints on the matter density are approximately as tight as the ones derived from the galaxy cluster gas mass fraction data [336] and from the SNe Ia apparent magnitude data [337].
- Constraints on the parameters of the CDM-RP, the XCDM, the wCDM, and the CDM models using BAO + SNe Ia data are more restrictive with the inclusion of eight new measurements than those derived by Chen and Ratra [338]. This analysis favors the standard spatially flat CDM model but does not exclude the scalar field CDM model [339].
- Constraints on the parameters of the CDM-RP, the XCDM, and the CDM models using data. data yield quite strong constraints on the parameters of the CDM model. The constraints derived from the measurements are almost as restrictive as those implied by the currently available lookback time observations and the GRB luminosity data, but more stringent than those based on the currently available galaxy cluster angular size data. However, they are less restrictive than those following from the joint analysis of SNe Ia + BAO. The joint analysis of the + SNe Ia + BAO favors the standard spatially flat CDM model but does not exclude the dynamical scalar field CDM model [338].
- Constraints on the parameters of the CDM-RP, the XCDM, and the CDM models with the inclusion of new measurement of Busca et al. are more restrictive than those derived by Farooq et al. The constraints depend on the Hubble constant prior to used in the analysis. The resulting constraints are more stringent than those which follow from measurements of the SNe Ia apparent magnitude of Suzuki et al. (2012). This joint analysis consisting of measurements of + SNe Ia + BAO favors the standard spatially flat CDM model but the dynamical scalar field CDM model is not excluded either [340].
- SNe Ia + + LSS growth rate data are consistent with the standard spatially flat CDM model, as well as with the spatially flat CDM-RP model [315].
- Constraints obtained in [336] on the parameters of the CDM model using Chandra measurements of X-ray gas mass fraction of the clusters are tighter than those derived from the SNe Ia apparent magnitude data [241,386], redshift–angular size data of [387,388], and gravitational lensing statistics [389]
- Constraints on the parameters of the spatially flat and non-flat CDM, XCDM, and CDM-RP models derived from the QSO data only are significantly weaker than those derived from the combined set of the BAO + , but are consistent with both of them [198].
- QSO data are significantly weaker but consistent with those from the combination of the + BAO data in tilted spatially flat and untilted spatially non-flat CDM, XCDM, and CDM-RP quintessential inflation models [196].
- Constraints on spatially flat and non-flat CDM, XCDM, and CDM-RP models from GRB data agree but are much weaker than those following from the BA + data [371].
- Constraints on the parameters of the spatially flat and non-flat CDM, XCDM, and CDM-RP models from the GRB data are consistent with the constraints obtained from the analysis of the BAO + but are less restrictive [369].
- Constraints on parameters in spatially flat and non-flat CDM, XCDM, and CDM-RP models from GRB + + BAO data take small changes in parameter constraints compared to the constraints from the + BAO data. The constraints from the GRBs only are more stringent than those from the + BAO dataset but are less precise [204].
- Constraints on the parameters of the CDM-RP, the XCDM, and the CDM models from the G are largely consistent but not as restrictive as those derived from the measurements of the BAO + SNe Ia + CMB temperature anisotropy [381].
- Subsets of full QSO data, limited by redshift 1.5–1.7, obey the relation in a way that is independent of the cosmological model (from the spatially flat and non-flat CDM, XCDM, and CDM-RP models) and can therefore be used to constrain the cosmological parameters. Constraints from these smaller subsets of lower redshift QSO data are generally consistent but much weaker than those inferred from the Hubble parameter + BAO measurements [197].
- WMAP + BAO + galaxy cluster gas mass fraction measurements give consistent and more accurate constraints on the parameters of the spatially flat CDM model than those derived from other data, wherein, constraints on the parameter , [327].
- Future measurements of the LSS growth rate in the near future will be able to constrain the spatially flat CDM-RP models with an accuracy of about 10%, considering the fiducial spatially flat CDM model, an improvement of almost an order of magnitude compared to those from currently available datasets. Constraints on the growth index parameter are more restrictive in the CDM model than in other models. In the CDM model, constraints on the growth index parameter are about a third tighter than in the wCDM and XCDM models [306].
- Model-independent estimate of the Hubble constant and matter density parameter at the present epoch
- Constraints on the parameters of the spatially flat and non-flat CDM, XCDM, and CDM-RP models from the + BAO + SNe Ia (Pantheon, DES, QSO) + G data provides almost model-independent estimates of the Hubble constant, the matter density parameter at the present epoch, and the characteristic linear size, respectively, as , , and pc. [383].
- The model-independent value of the Hubble constant and the parameter were obtained by using the + BAO + SNe Ia + QSO-AS + G + QSO + A118 (HzBSNQHMA) data in the spatially flat and non-flat CDM, XCDM, and CDM-RP models [206].
- An analysis of all starburst galaxy apparent magnitude + QSO only(or) + BAO datasets in the spatially flat and non-flat CDM, XCDM, and CDM-RP models leads to the relatively model-independent and restrictive estimates for the values of the parameter and the Hubble constant . Depending on the cosmological model, these estimates are consistent with a lower value of in the range of a to confidence level [347].
- Problems with QSO available data
- In constraints on the parameters of the spatially flat and spatially non-flat CDM, XCDM, and CDM-RP models using QSOs data, two- and three-parameter radius–luminosity relations do not depend on the assumed cosmological model; therefore, they can be used to standardize QSO data. The authors found for the two-parameter relation that the data subsets with low- and high- obey the same relation within the error bars. Extending the two-parameter relation to three parameters does not lead to the expected decrease in the intrinsic variance of the relation. None of the three-parameter relations provides a significantly better measurement fit than the two-parameter relation. The results obtained differ significantly from those found by Khadka et al. [200] from analysis of reverberation-measured QSOs [362].
- Constraints on the parameters of the spatially flat and non-flat CDM, XCDM, and CDM-RP models for the full QSO dataset; parameters of the X-ray and UV luminosity relation used to standardize these QSO data depends on the cosmological model and therefore cannot be used to constrain the cosmological parameters in these models [197].
- A compilation of the QSO X-ray and UV flux measurements [356] includes the QSO data that appear not to be standardized via the X-ray luminosity and the UV luminosity relation parameters that are dependent on both the cosmological model and the redshift, so it should not be used to constrain the model parameters [199].
5. Ongoing and Upcoming Cosmological Missions
6. Conclusions
Funding
Data Availability Statement
Acknowledgments
Conflicts of Interest
Abbreviations
| Abbreviation | Full Form |
| ACBAR | Arcminute Cosmology Bolometer Array Receiver |
| AIC | Akaike Information Criterion |
| BIC | Bayesian Information Criterion |
| BOSS | Baryon Oscillation Spectroscopic Survey |
| BAO | Baryon Acoustic Oscillations |
| BBN | Big Bang Nucleosynthesis |
| GRB | Gamma-ray Bursts |
| CBI | Cosmic Background Imager |
| CDM | Cold Dark Matter |
| CLASS | Cosmic Linear Anisotropy Solving System |
| COBE-DMR | Cosmic Background Explorer—Differential Microwave Radiometers |
| CPL | Chevallier–Polarsky–Linder |
| CMB | Cosmic Microwave Background Radiation |
| DES | Dark Energy Survey |
| DESI | Dark Energy Spectroscopic Instrument |
| DIC | Deviation Information Criterion |
| EoS | Equation of State |
| Euclid | Euclidean Space Telescope |
| FRII | Fanaroff–Riley Type II |
| FLRW | Friedmann–Lemaître–Robertson–Walker |
| HDM | Hot Dark Matter |
| HST | Hubble Space Telescope |
| HzBSNQHMA | + BAO + SNe Ia + QSO-AS + G + QSO + A118 |
| S | Starburst Galaxy |
| IDE | Interacting Dark Energy |
| ISW | Integrated Sachs–Wolfe |
| JBD | Jordan–Brans–Dicke |
| JLA | Joint Light-Curve Analysis |
| LAE | Lyman- Emitter |
| LSS | Large-Scale Structure |
| MCMC | Markov Chain Monte Carlo |
| MGS | Main Galaxy Sample |
| pNGb | Pseudo-Nambu–Goldstone Boson |
| QFT | Quantum Field Theory |
| QSO | Quasar |
| PR4 | Last Planck Data Release |
| RP | Ratra–Peebles |
| rms | root mean square |
| RSD | Redshift Space Distortion |
| RVM | Running Vacuum Model |
| SDSS | Sloan Digital Sky Survey |
| SNe Ia | Supernovae Ia |
| SNLS | Supernova Legacy Survey |
| SPTpol | South Pole Telescope Polarization |
| SVJ data | Simon, Verde, and Jimenez Data |
| UV | Ultraviolet |
| VSA | Very Small Array |
| wCDM | w Cold Dark Matter |
| WMAP | Wilkinson Microwave Anisotropy Probe |
| WDM | Warm Dark Matter |
| WFIRST | Wide-Field Infrared Survey Telescope |
| XCDM | X Cold Dark Matter |
| CDM | Lambda Cold Dark Matter |
| CDM | Phi Cold Dark Matter |
| oCDM | CDM Extension to Non-Flat Hypersurfaces |
| 2dFGRS | Two-Degree Field Galaxy Redshift Survey |
| 6dFGS | Six-Degree Field Galaxy Survey |
| 1 | For the latter model, the first Friedmann’s equation and the Klein–Gordon scalar field equation for these models are defined, respectively, as
|
| 2 | The observational constraints on a projection of the Integrated Sachs–Wolfe (ISW) effect on the CMB temperature anisotropy was obtained for a fixed value of the Jordan–Brans–Dicke (JBD) parameter at the present epoch , the latter being defined as
|
| 3 | This is performed by fixing at the present epoch the amplitude of the initial energy density fluctuations generated in the early inflation epoch for this model and comparing the model predictions of the large angular scale spatial anisotropy in the CMB radiation with observational data. The authors computed model predictions as a function of the model parameter , as well as other cosmological parameters, following Brax et al. [281], and then determined the normalization amplitude by comparing these predictions with the COBE-DMR CMB temperature anisotropy measurements of Bennett [5] and Gorski et al. [282]. |
References
- Riess, A.G.; Filippenko, A.V.; Challis, P.; Clocchiatti, A.; Diercks, A.; Garnavich, P.M.; Gilliland, R.L.; Hogan, C.J.; Jha, S.; Kirshner, R.P.; et al. Observational Evidence from Supernovae for an Accelerating Universe and a Cosmological Constant. Astron. J. 1998, 116, 1009–1038. [Google Scholar] [CrossRef]
- Perlmutter, S.; Aldering, G.; Goldhaber, G.; Knop, R.A.; Nugent, P.; Castro, P.G.; Deustua, S.; Fabbro, S.; Goobar, A.; Groom, D.E.; et al. Measurements of Ω and Λ from 42 High-Redshift Supernovae. Astron. Astrophys. 1999, 517, 565–586. [Google Scholar] [CrossRef]
- Riess, A.G.; Strolger, L.G.; Casertano, S.; Ferguson, H.C.; Mobasher, B.; Gold, B.; Challis, P.J.; Filippenko, A.V.; Jha, S.; Li, W.; et al. New Hubble Space Telescope Discoveries of Type Ia Supernovae at z >= 1: Narrowing Constraints on the Early Behavior of Dark Energy. Astron. Astrophys. 2007, 659, 98–121. [Google Scholar]
- Smoot, G.F.; Bennett, C.L.; Kogut, A.; Wright, E.; Aymon, J.; Boggess, N.; Cheng, E.; De Amici, G.; Gulkis, S.; Hauser, M.; et al. Structure in the COBE differential microwave radiometer first-year maps. Astron. Astrophys. 1992, 396, L1–L5. [Google Scholar] [CrossRef]
- Bennett, C.L.; Banday, A.; Gorski, K.M.; Hinshaw, G.; Jackson, P.; Keegstra, P.; Kogut, A.; Smoot, G.F.; Wilkinson, D.T.; Wright, E.L. Four year COBE DMR cosmic microwave background observations: Maps and basic results. Astrophys. J. Lett. 1996, 464, L1–L4. [Google Scholar] [CrossRef]
- Spergel, D.N.; Verde, L.; Peiris, H.V.; Komatsu, E.; Nolta, M.R.; Bennett, C.L.; Halpern, M.; Hinshaw, G.; Jarosik, N.; Kogut, A.; et al. First-Year Wilkinson Microwave Anisotropy Probe (WMAP) Observations: Determination of Cosmological Parameters. Astrophys. J. Suppl. 2003, 148, 175–194. [Google Scholar] [CrossRef]
- Spergel, D.N.; Bean, R.; Doré, O.; Nolta, M.R.; Bennett, C.L.; Dunkley, J.; Hinshaw, G.; Jarosik, N.; Komatsu, E.; Page, L.; et al. Three-Year Wilkinson Microwave Anisotropy Probe (WMAP) Observations: Implications for Cosmology. Astrophys. J. Suppl. 2007, 170, 377–408. [Google Scholar] [CrossRef]
- Hinshaw, G.; Weiland, J.L.; Hill, R.S.; Odegard, N.; Larson, D.; Bennett, C.L.; Dunkley, J.; Gold, B.; Greason, M.R.; Jarosik, N.; et al. Five-Year Wilkinson Microwave Anisotropy Probe Observations: Data Processing, Sky Maps, and Basic Results. Astrophys. J. Suppl. 2009, 180, 225–245. [Google Scholar] [CrossRef]
- Nolta, M.R.; Dunkley, J.; Hill, R.S.; Hinshaw, G.; Komatsu, E.; Larson, D.; Page, L.; Spergel, D.N.; Bennett, C.L.; Gold, B.; et al. Five-Year Wilkinson Microwave Anisotropy Probe Observations: Angular Power Spectra. Astrophys. J. Suppl. 2009, 1, 296–305. [Google Scholar] [CrossRef]
- Komatsu, E.; Smith, K.M.; Dunkley, J.; Bennett, C.L.; Gold, B.; Hinshaw, G.; Jarosik, N.; Larson, D.; Nolta, M.R.; Page, L.; et al. Seven-year Wilkinson Microwave Anisotropy Probe (WMAP) Observations: Cosmological Interpretation. Astrophys. J. Suppl. 2011, 192, 18. [Google Scholar] [CrossRef]
- Planck Collaboration; Ade, P.A.R.; Aghanim, N.; Armitage-Caplan, C.; Arnaud, M.; Ashdown, M.; Atrio-Barandela, F.; Aumont, J.; Baccigalupi, C.; Banday, A.J.; et al. Planck 2013 results. XVI. Cosmological parameters. Astron. Astrophys. 2014, 571, A16. [Google Scholar]
- Planck Collaboration; Ade, P.A.R.; Aghanim, N.; Arnaud, M.; Ashdown, M.; Aumont, J.; Baccigalupi, C.; Banday, A.J.; Barreiro, R.B.; Bartlett, J.G.; et al. Planck 2015 results. XIII. Cosmological parameters. Astron. Astrophys. 2016, 594, A13. [Google Scholar]
- Planck Collaboration; Aghanim, N.; Akrami, Y.; Ashdown, M.; Aumont, J.; Baccigalupi, C.; Ballardini, M.; Banday, A.J.; Barreiro, R.B.; Bartolo, N.; et al. Planck 2018 results. VI. Cosmological parameters. Astron. Astrophys. 2020, 641, A6. [Google Scholar]
- SDSS. 2001. Available online: http://www.sdss.org/ (accessed on 5 February 2024).
- Dodelson, S.; Narayanan, V.K.; Tegmark, M.; Scranton, R.; Budavári, T.; Connolly, A.; Csabai, I.; Eisenstein, D.; Frieman, J.A.; Gunn, J.E.; et al. The Three-dimensional Power Spectrum from Angular Clustering of Galaxies in Early Sloan Digital Sky Survey Data. Astron. Astrophys. 2002, 572, 140–156. [Google Scholar] [CrossRef]
- 2dFGRS. 2002. Available online: http://www.mso.anu.edu.au/2dFGRS/ (accessed on 5 February 2024).
- Percival, W.J.; Cole, S.; Eisenstein, D.J.; Nichol, R.C.; Peacock, J.A.; Pope, A.C.; Szalay, A.S. Measuring the Baryon Acoustic Oscillation scale using the SDSS and 2dFGRS. Mon. Not. R. Astron. Soc. 2007, 381, 1053–1066. [Google Scholar] [CrossRef]
- DES. 2013. Available online: https://www.darkenergysurvey.org/ (accessed on 5 February 2024).
- Kwan, J.; Sánchez, C.; Clampitt, J.; Blazek, J.; Crocce, M.; Jain, B.; Zuntz, J.; Amara, A.; Becker, M.R.; Bernstein, G.M.; et al. Cosmology from large-scale galaxy clustering and galaxy-galaxy lensing with Dark Energy Survey Science Verification data. Mon. Not. R. Astron. Soc. 2017, 464, 4045–4062. [Google Scholar] [CrossRef]
- Eisenstein, D.J.; Zehavi, I.; Hogg, D.W.; Scoccimarro, R.; Blanton, M.R.; Nichol, R.C.; Scranton, R.; Seo, H.J.; Tegmark, M.; Zheng, Z.; et al. Detection of the Baryon Acoustic Peak in the Large-Scale Correlation Function of SDSS Luminous Red Galaxies. Astron. Astrophys. 2005, 633, 560–574. [Google Scholar] [CrossRef]
- Blake, C.; Kazin, E.A.; Beutler, F.; Davis, T.M.; Parkinson, D.; Brough, S.; Colless, M.; Contreras, C.; Couch, W.; Croom, S.; et al. The WiggleZ Dark Energy Survey: Mapping the distance-redshift relation with baryon acoustic oscillations. Mon. Not. R. Astron. Soc. 2011, 418, 1707–1724. [Google Scholar] [CrossRef]
- Beutler, F.; Blake, C.; Colless, M.; Jones, D.H.; Staveley-Smith, L.; Campbell, L.; Parker, Q.; Saunders, W.; Watson, F. The 6dF Galaxy Survey: Baryon acoustic oscillations and the local Hubble constant. Mon. Not. R. Astron. Soc. 2011, 416, 3017–3032. [Google Scholar] [CrossRef]
- Anderson, L.; Aubourg, É.; Bailey, S.; Beutler, F.; Bhardwaj, V.; Blanton, M.; Bolton, A.S.; Brinkmann, J.; Brownstein, J.R.; Burden, A.; et al. The clustering of galaxies in the SDSS-III Baryon Oscillation Spectroscopic Survey: Baryon acoustic oscillations in the Data Releases 10 and 11 Galaxy samples. Mon. Not. R. Astron. Soc. 2014, 441, 24–62. [Google Scholar] [CrossRef]
- Ross, A.J.; Samushia, L.; Howlett, C.; Percival, W.J.; Burden, A.; Manera, M. The clustering of the SDSS DR7 main Galaxy sample – I. A 4 per cent distance measure at z = 0.15. Mon. Not. R. Astron. Soc. 2015, 449, 835–847. [Google Scholar] [CrossRef]
- Alam, S.; Ata, M.; Bailey, S.; Beutler, F.; Bizyaev, D.; Blazek, J.A.; Bolton, A.S.; Brownstein, J.R.; Burden, A.; Chuang, C.H.; et al. The clustering of galaxies in the completed SDSS-III Baryon Oscillation Spectroscopic Survey: Cosmological analysis of the DR12 galaxy sample. Mon. Not. R. Astron. Soc. 2017, 470, 2617–2652. [Google Scholar] [CrossRef]
- Ata, M.; Baumgarten, F.; Bautista, J.; Beutler, F.; Bizyaev, D.; Blanton, M.R.; Blazek, J.A.; Bolton, A.S.; Brinkmann, J.; Brownstein, J.R.; et al. The clustering of the SDSS-IV extended Baryon Oscillation Spectroscopic Survey DR14 quasar sample: First measurement of baryon acoustic oscillations between redshift 0.8 and 2.2. Mon. Not. R. Astron. Soc. 2018, 473, 4773–4794. [Google Scholar] [CrossRef]
- HST. 1990. Available online: https://www.stsci.edu/hst (accessed on 5 February 2024).
- Stern, D.; Jimenez, R.; Verde, L.; Kamionkowski, M.; Stanford, S.A. Cosmic Chronometers: Constraining the Equation of State of Dark Energy. I: H(z) Measurements. JCAP 2010, 2, 8. [Google Scholar] [CrossRef]
- Riess, A.G.; Macri, L.; Casertano, S.; Lampeitl, H.; Ferguson, H.C.; Filippenko, A.V.; Jha, S.W.; Li, W.; Chornock, R. A 3% Solution: Determination of the Hubble Constant with the Hubble Space Telescope and Wide Field Camera 3. Astron. Astrophys. 2011, 730, 119. [Google Scholar] [CrossRef]
- Moresco, M.; Verde, L.; Pozzetti, L.; Jimenez, R.; Cimatti, A. New constraints on cosmological parameters and neutrino properties using the expansion rate of the Universe to z~1.75. JCAP 2012, 7, 53. [Google Scholar] [CrossRef]
- Zhang, C.; Zhang, H.; Yuan, S.; Liu, S.; Zhang, T.J.; Sun, Y.C. Four new observational H(z) data from luminous red galaxies in the Sloan Digital Sky Survey data release seven. Res. Astron. Astrophys. 2014, 14, 1221. [Google Scholar] [CrossRef]
- Delubac, T.; Bautista, J.E.; Busca, N.G.; Rich, J.; Kirkby, D.; Bailey, S.; Font-Ribera, A.; Slosar, A.; Lee, K.G.; Pieri, M.M.; et al. Baryon acoustic oscillations in the Lyα forest of BOSS DR11 quasars. Astron. Astrophys. 2015, 574, A59. [Google Scholar] [CrossRef]
- Moresco, M. Raising the bar: New constraints on the Hubble parameter with cosmic chronometers at z ∼ 2. Mon. Not. R. Astron. Soc. 2015, 450, L16–L20. [Google Scholar] [CrossRef]
- Moresco, M.; Pozzetti, L.; Cimatti, A.; Jimenez, R.; Maraston, C.; Verde, L.; Thomas, D.; Citro, A.; Tojeiro, R.; Wilkinson, D. A 6% measurement of the Hubble parameter at z∼0.45: Direct evidence of the epoch of cosmic re-acceleration. JCAP 2016, 5, 14. [Google Scholar] [CrossRef]
- Ratsimbazafy, A.L.; Loubser, S.I.; Crawford, S.M.; Cress, C.M.; Bassett, B.A.; Nichol, R.C.; Väisänen, P. Age-dating Luminous Red Galaxies observed with the Southern African Large Telescope. Mon. Not. R. Astron. Soc. 2017, 467, 3239–3254. [Google Scholar] [CrossRef]
- Peebles, P.J.E.; Ratra, B. The Cosmological constant and dark energy. Rev. Mod. Phys. 2003, 75, 559–606. [Google Scholar] [CrossRef]
- Copeland, E.J.; Sami, M.; Tsujikawa, S. Dynamics of dark energy. Int. J. Mod. Phys. 2006, D15, 1753–1936. [Google Scholar] [CrossRef]
- Frieman, J.; Turner, M.; Huterer, D. Dark Energy and the Accelerating Universe. Ann. Rev. Astron. Astrophys. 2008, 46, 385–432. [Google Scholar] [CrossRef]
- Caldwell, R.R.; Kamionkowski, M. The Physics of Cosmic Acceleration. Ann. Rev. Nucl. Part. Sci. 2009, 59, 397–429. [Google Scholar] [CrossRef]
- Tsujikawa, S. Modified gravity models of dark energy. Lect. Notes Phys. 2010, 800, 99–145. [Google Scholar]
- Tsujikawa, S. Dark energy: Investigation and modeling. arXiv 2010, arXiv:1004.1493. [Google Scholar]
- Weinberg, D.H.; Mortonson, M.J.; Eisenstein, D.J.; Hirata, C.; Riess, A.G.; Rozo, E. Observational probes of cosmic acceleration. Phys. Rept. 2013, 530, 87–255. [Google Scholar] [CrossRef]
- Yoo, J.; Watanabe, Y. Theoretical Models of Dark Energy. Int. J. Mod. Phys. 2012, D21, 1230002. [Google Scholar] [CrossRef]
- Rubin, V.C.; Thonnard, N.; Ford, W.K., Jr. Rotational properties of 21 SC galaxies with a large range of luminosities and radii, from NGC 4605 (R = 4kpc) to UGC 2885 (R = 122 kpc). Astrophys. J. 1980, 238, 471. [Google Scholar] [CrossRef]
- Rubakov, V.A. Cosmology. In Proceedings of the 2011 European School of High-Energy Physics (ESHEP 2011), Cheile Gradistei, Romania, 7–20 September 2011; pp. 151–195. [Google Scholar]
- Tristram, M.; Banday, A.J.; Douspis, M.; Garrido, X.; Górski, K.M.; Henrot-Versillé, S.; Ilić, S.; Keskitalo, R.; Lagache, G.; Lawrence, C.R.; et al. Cosmological parameters derived from the final (PR4) Planck data release. arXiv 2023, arXiv:2309.10034. [Google Scholar] [CrossRef]
- Silvestri, A.; Trodden, M. Approaches to Understanding Cosmic Acceleration. Rept. Prog. Phys. 2009, 72, 096901. [Google Scholar] [CrossRef]
- Lopez-Corredoira, M. History and Problems of the Standard Model in Cosmology. arXiv 2023, arXiv:2307.10606. [Google Scholar]
- Peebles, P.J.E. Principles of Physical Cosmology; Princeton University Press: Princeton, NJ, USA, 1994. [Google Scholar]
- Weinberg, S. Cosmology; Oxford University Press: Oxford, UK, 2008. [Google Scholar]
- Dodelson, S.; Schmidt, F. Modern Cosmology; Academic Press: London, UK, 2021. [Google Scholar]
- Baumann, D. Cosmology; Cambridge University Press: Cambridge, UK, 2022. [Google Scholar]
- Huterer, D. A Course in Cosmology; Cambridge University Press: Cambridge, UK, 2023. [Google Scholar]
- Carroll, S.M.; Press, W.H.; Turner, E.L. The cosmological constant. Annu. Rev. Astro. Astrophys. 1992, 30, 499–542. [Google Scholar] [CrossRef]
- Carroll, S.M. The Cosmological constant. Living Rev. Rel. 2001, 4, 1. [Google Scholar] [CrossRef]
- Martin, J. Everything You Always Wanted to Know about the Cosmological Constant Problem (But Were Afraid to Ask). C. R. Phys. 2012, 13, 566–665. [Google Scholar] [CrossRef]
- Padilla, A. Lectures on the Cosmological Constant Problem. arXiv 2015, arXiv:1502.05296. [Google Scholar]
- Deruelle, N.; Uzan, J.P. Relativity in Modern Physics; Oxford Graduate Texts; Oxford University Press: Oxford, UK, 2018. [Google Scholar]
- Weinberg, S. The Cosmological Constant Problem. Rev. Mod. Phys. 1989, 61, 1–23. [Google Scholar] [CrossRef]
- Weinberg, S. The Cosmological constant problems. In Sources and Detection of Dark Matter and Dark Energy in the Universe, Proceedings of the 4th International Symposium, DM 2000, Marina del Rey, CA, USA, 23–25 February 2000; Springer: Berlin, Germany, 2000; pp. 18–26. [Google Scholar]
- Padmanabhan, T. Cosmological constant: The Weight of the vacuum. Phys. Rept. 2003, 380, 235–320. [Google Scholar] [CrossRef]
- Di Valentino, E. Challenges of the Standard Cosmological Model. Universe 2022, 8, 399. [Google Scholar] [CrossRef]
- Abdalla, E.; Abellán, G.F.; Aboubrahim, A.; Agnello, A.; Akarsu, Ö.; Akrami, Y.; Alestas, G.; Aloni, D.; Amendola, L.; Anchordoqui, L.A.; et al. Cosmology intertwined: A review of the particle physics, astrophysics, and cosmology associated with the cosmological tensions and anomalies. J. High Energy Astrophys. 2022, 34, 49–211. [Google Scholar] [CrossRef]
- Peebles, P.J.E. Anomalies in physical cosmology. Ann. Phys. 2022, 447, 169159. [Google Scholar] [CrossRef]
- Perivolaropoulos, L.; Skara, F. Challenges for Λ CDM: An update. New Astron. Rev. 2022, 95, 101659. [Google Scholar] [CrossRef]
- Di Valentino, E.; Mena, O.; Pan, S.; Visinelli, L.; Yang, W.; Melchiorri, A.; Mota, D.F.; Riess, A.G.; Silk, J. In the realm of the Hubble tension—A review of solutions. Class. Quant. Grav. 2021, 38, 153001. [Google Scholar] [CrossRef]
- Bernui, A.; Di Valentino, E.; Giarè, W.; Kumar, S.; Nunes, R.C. Exploring the H0 tension and the evidence for dark sector interactions from 2D BAO measurements. Phys. Rev. D 2023, 107, 103531. [Google Scholar] [CrossRef]
- Niedermann, F.; Sloth, M.S. New Early Dark Energy as a solution to the H0 and S8 tensions. arXiv 2023, arXiv:2307.03481. [Google Scholar]
- Benaoum, H.B.; García, L.Á.; Castañeda, L. Early dark energy induced by non-linear electrodynamics. arXiv 2023, arXiv:2307.05917. [Google Scholar]
- Hoerning, G.A.; Landim, R.G.; Ponte, L.O.; Rolim, R.P.; Abdalla, F.B.; Abdalla, E. Constraints on interacting dark energy revisited: Implications for the Hubble tension. arXiv 2023, arXiv:2308.05807. [Google Scholar]
- Wei, J.J.; Melia, F. Investigating Cosmological Models and the Hubble Tension Using Localized Fast Radio Bursts. Astron. Astrophys. 2023, 955, 101. [Google Scholar] [CrossRef]
- Smith, T.L.; Poulin, V. Current small-scale CMB constraints to axion-like early dark energy. arXiv 2023, arXiv:2309.03265. [Google Scholar]
- Teixeira, E.M.; Daniel, R.; Frusciante, N.; van de Bruck, C. Forecasts on interacting dark energy with standard sirens. arXiv 2023, arXiv:2309.06544. [Google Scholar] [CrossRef]
- Raveri, M. Resolving the Hubble tension at late times with Dark Energy. arXiv 2023, arXiv:2309.06795. [Google Scholar]
- Kodama, T.; Shinohara, T.; Takahashi, T. Generalized early dark energy and its cosmological consequences. arXiv 2023, arXiv:2309.11272. [Google Scholar]
- Vagnozzi, S. Seven Hints That Early-Time New Physics Alone Is Not Sufficient to Solve the Hubble Tension. Universe 2023, 9, 393. [Google Scholar] [CrossRef]
- Fierz, M.; Pauli, W. On relativistic wave equations for particles of arbitrary spin in an electromagnetic field. Proc. R. Soc. Lond. 1939, A173, 211–232. [Google Scholar]
- Polchinski, J. String Theory. Vol. 1: An Introduction to the Bosonic String; Cambridge Monographs on Mathematical Physics; Cambridge University Press: Cambridge, UK, 2007. [Google Scholar]
- Arkani-Hamed, N.; Dimopoulos, S.; Dvali, G.R. The Hierarchy problem and new dimensions at a millimeter. Phys. Lett. 1998, B429, 263–272. [Google Scholar] [CrossRef]
- Dvali, G.R.; Gabadadze, G.; Porrati, M. 4-D gravity on a brane in 5-D Minkowski space. Phys. Lett. 2000, B485, 208–214. [Google Scholar] [CrossRef]
- Kamenshchik, A.Y.; Moschella, U.; Pasquier, V. An Alternative to quintessence. Phys. Lett. 2001, B511, 265–268. [Google Scholar] [CrossRef]
- Capozziello, S.; Carloni, S.; Troisi, A. Quintessence without scalar fields. Recent Res. Dev. Astron. Astrophys. 2003, 1, 625. [Google Scholar]
- Scherrer, R.J. Purely kinetic k-essence as unified dark matter. Phys. Rev. Lett. 2004, 93, 011301. [Google Scholar] [CrossRef]
- Nicolis, A.; Rattazzi, R.; Trincherini, E. The Galileon as a local modification of gravity. Phys. Rev. 2009, D79, 064036. [Google Scholar] [CrossRef]
- Shifman, M. Large Extra Dimensions: Becoming acquainted with an alternative paradigm. Int. J. Mod. Phys. 2010, A25, 199–225. [Google Scholar] [CrossRef]
- Khoury, J.; Wyman, M. N-Body Simulations of DGP and Degravitation Theories. Phys. Rev. 2009, D80, 064023. [Google Scholar] [CrossRef]
- Wang, S.; Wang, Y.; Li, M. Holographic Dark Energy. Phys. Rept. 2017, 696, 1–57. [Google Scholar] [CrossRef]
- Martens, P. Challenging Mysteries of the Universe with Gravity beyond General Relativity. Ph.D. Thesis, Kyoto University, Kyoto, Japan, 2023. [Google Scholar]
- Joyce, A.; Lombriser, L.; Schmidt, F. Dark Energy Versus Modified Gravity. Annu. Rev. Nucl. Part. Sci. 2016, 66, 95–122. [Google Scholar] [CrossRef]
- Slosar, A.; Davis, T.; Eisenstein, D.; Hložek, R.; Ishak-Boushaki, M.; Mandelbaum, R.; Marshall, P.; Sakstein, J.; White, M. Dark Energy and Modified Gravity. arXiv 2019, arXiv:1903.12016. [Google Scholar]
- Ishak, M. Testing General Relativity in Cosmology. Living Rev. Rel. 2019, 22, 1. [Google Scholar] [CrossRef]
- Sakharov, A. Cosmological transitions with changes in the signature of the metric. Sov. Phys. JETP 1984, 60, 214–218. [Google Scholar]
- Ishak, M. Remarks on the formulation of the cosmological constant/dark energy problems. Found. Phys. 2007, 37, 1470–1498. [Google Scholar] [CrossRef]
- Aiola, S.; Calabrese, E.; Maurin, L.; Naess, S.; Schmitt, B.L.; Abitbol, M.H.; Addison, G.E.; Ade, P.A.R.; Alonso, D.; Amiri, M.; et al. The Atacama Cosmology Telescope: DR4 maps and cosmological parameters. JCAP 2020, 2020, 47. [Google Scholar] [CrossRef]
- Steinhardt, P.J.; Wang, L.M.; Zlatev, I. Cosmological tracking solutions. Phys. Rev. 1999, D59, 123504. [Google Scholar] [CrossRef]
- Garriga, J.; Vilenkin, A. Solutions to the cosmological constant problems. Phys. Rev. D 2001, 64, 023517. [Google Scholar] [CrossRef]
- Dalal, N.; Abazajian, K.; Jenkins, E.; Manohar, A.V. Testing the Cosmic Coincidence Problem and the Nature of Dark Energy. Phys. Rev. Lett. 2001, 87, 141302. [Google Scholar] [CrossRef]
- Steinhardt, P.J. A quintessential introduction to dark energy. Philos. Trans. R. Soc. Lond. Ser. A Math. Phys. Eng. Sci. 2003, 361, 2497–2513. [Google Scholar] [CrossRef]
- Starkman, G.D.; Trotta, R. Why Anthropic Reasoning Cannot Predict Λ. Phys. Rev. Lett. 2006, 97, 201301. [Google Scholar] [CrossRef]
- Maor, I.; Krauss, L.; Starkman, G. Anthropic Arguments and the Cosmological Constant, with and without the Assumption of Typicality. Phys. Rev. Lett. 2008, 100, 041301. [Google Scholar] [CrossRef]
- Zheng, J.; Chen, Y.; Xu, T.; Zhu, Z.H. Diagnosing the cosmic coincidence problem and its evolution with recent observations. arXiv 2021, arXiv:2107.08916. [Google Scholar]
- Weinberg, S. Anthropic Bound on the Cosmological Constant. Phys. Rev. Lett. 1987, 59, 2607. [Google Scholar] [CrossRef]
- Barrow, J.D.; Tipler, F.J. The Anthropic Cosmological Principle; Oxford University Press: Oxford, UK, 1988. [Google Scholar]
- Vilenkin, A. Anthropic Approach to the Cosmological Constant Problems. Int. J. Theor. Phys. 2003, 42, 1193–1209. [Google Scholar] [CrossRef]
- Garriga, J.; Vilenkin, A. Anthropic Prediction for Λ and the Q Catastrophe. Prog. Theor. Phys. Suppl. 2006, 163, 245–257. [Google Scholar] [CrossRef][Green Version]
- Vilenkin, A. Anthropic predictions: The case of the cosmological constant. In Universe or Multiverse? Carr, B., Ed.; Cambridge University Press: Cambridge, UK, 2007; pp. 163–180. [Google Scholar]
- Velten, H.E.S.; vom Marttens, R.F.; Zimdahl, W. Aspects of the cosmological “coincidence problem”. Eur. Phys. J. C 2014, 74, 3160. [Google Scholar] [CrossRef]
- Riess, A.G.; Macri, L.M.; Hoffmann, S.L.; Scolnic, D.; Casertano, S.; Filippenko, A.V.; Tucker, B.E.; Reid, M.J.; Jones, D.O.; Silverman, J.M.; et al. A 2.4% Determination of the Local Value of the Hubble Constant. Astron. Astrophys. 2016, 826, 56. [Google Scholar] [CrossRef]
- Bonvin, V.; Courbin, F.; Suyu, S.H.; Marshall, P.J.; Rusu, C.E.; Sluse, D.; Tewes, M.; Wong, K.C.; Collett, T.; Fassnacht, C.D.; et al. New COSMOGRAIL time delays of HE 0435-1223: H0 to 3.8 per cent precision from strong lensing in a flat ΛCDM model. Mon. Not. R. Astron. Soc. 2017, 465, 4914–4930. [Google Scholar] [CrossRef]
- Riess, A.G.; Rodney, S.A.; Scolnic, D.M.; Shafer, D.L.; Strolger, L.G.; Ferguson, H.C.; Postman, M.; Graur, O.; Maoz, D.; Jha, S.W.; et al. Type Ia Supernova Distances at Redshift >1.5 from the Hubble Space Telescope Multi-cycle Treasury Programs: The Early Expansion Rate. Astron. Astrophys. 2018, 853, 126. [Google Scholar] [CrossRef]
- Birrer, S.; Treu, T.; Rusu, C.E.; Bonvin, V.; Fassnacht, C.D.; Chan, J.H.H.; Agnello, A.; Shajib, A.J.; Chen, G.C.F.; Auger, M.; et al. Cosmographic analysis of the doubly imaged quasar SDSS 1206+4332 and a new measurement of the Hubble constant. Mon. Not. R. Astron. Soc. 2019, 484, 4726–4753. [Google Scholar] [CrossRef]
- Riess, A.G.; Casertano, S.; Yuan, W.; Macri, L.M.; Scolnic, D. Large Magellanic Cloud Cepheid Standards Provide a 1% Foundation for the Determination of the Hubble Constant and Stronger Evidence for Physics beyond ΛCDM. Astrophys. J. 2019, 876, 85. [Google Scholar] [CrossRef]
- Riess, A.G.; Casertano, S.; Yuan, W.; Bowers, J.B.; Macri, L.; Zinn, J.C.; Scolnic, D. Cosmic Distances Calibrated to 1% Precision with Gaia EDR3 Parallaxes and Hubble Space Telescope Photometry of 75 Milky Way Cepheids Confirm Tension with ΛCDM. Astrophys. J. Lett. 2021, 908, L6. [Google Scholar] [CrossRef]
- Riess, A.G.; Yuan, W.; Macri, L.M.; Scolnic, D.; Brout, D.; Casertano, S.; Jones, D.O.; Murakami, Y.; Anand, G.S.; Breuval, L.; et al. A Comprehensive Measurement of the Local Value of the Hubble Constant with 1 km s−1 Mpc−1 Uncertainty from the Hubble Space Telescope and the SH0ES Team. Astrophys. J. Lett. 2022, 934, L7. [Google Scholar] [CrossRef]
- Joudaki, S.; Blake, C.; Heymans, C.; Choi, A.; Harnois-Deraps, J.; Hildebrandt, H.; Joachimi, B.; Johnson, A.; Mead, A.; Parkinson, D.; et al. CFHTLenS revisited: Assessing concordance with Planck including astrophysical systematics. Mon. Not. R. Astron. Soc. 2017, 465, 2033–2052. [Google Scholar] [CrossRef]
- Abbott, T.M.C.; Aguena, M.; Alarcon, A.; Allam, S.; Alves, O.; Amon, A.; Andrade-Oliveira, F.; Annis, J.; Avila, S.; Bacon, D.; et al. Dark Energy Survey Year 3 results: Cosmological constraints from galaxy clustering and weak lensing. Phys. Rev. D 2022, 105, 023520. [Google Scholar] [CrossRef]
- Philcox, O.H.E.; Ivanov, M.M. BOSS DR12 full-shape cosmology: ΛCDM constraints from the large-scale galaxy power spectrum and bispectrum monopole. Phys. Rev. D 2022, 105, 043517. [Google Scholar] [CrossRef]
- Nunes, R.C.; Vagnozzi, S. Arbitrating the S8 discrepancy with growth rate measurements from redshift-space distortions. Mon. Not. R. Astron. Soc. 2021, 505, 5427–5437. [Google Scholar] [CrossRef]
- Planck Collaboration; Aghanim, N.; Akrami, Y.; Ashdown, M.; Aumont, J.; Baccigalupi, C.; Ballardini, M.; Banday, A.J.; Barreiro, R.B.; Bartolo, N.; et al. Planck 2018 results. V. CMB power spectra and likelihoods. Astron. Astrophys. 2020, 641, A5. [Google Scholar]
- Di Valentino, E.; Melchiorri, A.; Silk, J. Planck evidence for a closed Universe and a possible crisis for cosmology. Nature Astron. 2019, 4, 196–203. [Google Scholar] [CrossRef]
- Di Valentino, E.; Melchiorri, A.; Mena, O.; Pan, S.; Yang, W. Interacting Dark Energy in a closed universe. Mon. Not. R. Astron. Soc. 2021, 502, L23–L28. [Google Scholar] [CrossRef]
- Vagnozzi, S.; Di Valentino, E.; Gariazzo, S.; Melchiorri, A.; Mena, O.; Silk, J. The galaxy power spectrum take on spatial curvature and cosmic concordance. Phys. Dark Univ. 2021, 33, 10085. [Google Scholar] [CrossRef]
- Vagnozzi, S.; Loeb, A.; Moresco, M. Eppur è piatto? The Cosmic Chronometers Take on Spatial Curvature and Cosmic Concordance. Astrophys. J. 2021, 908, 84. [Google Scholar] [CrossRef]
- Dhawan, S.; Alsing, J.; Vagnozzi, S. Non-parametric spatial curvature inference using late-Universe cosmological probes. Mon. Not. R. Astron. Soc. 2021, 506, L1–L5. [Google Scholar] [CrossRef]
- Ratra, B.; Peebles, P.J.E. Cosmological Consequences of a Rolling Homogeneous Scalar Field. Phys. Rev. 1988, D37, 3406. [Google Scholar] [CrossRef]
- Ratra, B.; Peebles, P.J.E. Cosmology with a time-variable cosmological constant. Astrophys. J. 1988, 325, L17–L20. [Google Scholar]
- Wetterich, C. Cosmologies with Variable Newton’s ‘Constant’. Nucl. Phys. 1988, B302, 645–667. [Google Scholar] [CrossRef]
- Brax, P.; Martin, J. Quintessence and the accelerating universe. arXiv 2002, arXiv:astro-ph/0210533. [Google Scholar]
- Linder, E.V. The Dynamics of Quintessence, The Quintessence of Dynamics. Gen. Rel. Grav. 2008, 40, 329–356. [Google Scholar] [CrossRef]
- Cai, Y.F.; Saridakis, E.N.; Setare, M.R.; Xia, J.Q. Quintom Cosmology: Theoretical implications and observations. Phys. Rept. 2010, 493, 1–60. [Google Scholar] [CrossRef]
- Amendola, L.; Tsujikawa, S. Dark Energy; Cambridge University Press: Cambridge, UK, 2015. [Google Scholar]
- Bahamonde, S.; Böhmer, C.G.; Carloni, S.; Copeland, E.J.; Fang, W.; Tamanini, N. Dynamical systems applied to cosmology: Dark energy and modified gravity. Phys. Rept. 2018, 775–777, 1–122. [Google Scholar] [CrossRef]
- Piras, D.; Lombriser, L. A representation learning approach to probe for dynamical dark energy in matter power spectra. arXiv 2023, arXiv:2310.10717. [Google Scholar]
- Frampton, P.H.; Ludwick, K.J.; Scherrer, R.J. The Little Rip. Phys. Rev. 2011, D84, 063003. [Google Scholar] [CrossRef]
- Caldwell, R.R.; Linder, E.V. The Limits of quintessence. Phys. Rev. Lett. 2005, 95, 141301. [Google Scholar] [CrossRef]
- Schimd, C.; Tereno, I.; Uzan, J.P.; Mellier, Y.; van Waerbeke, L.; Semboloni, E.; Hoekstra, H.; Fu, L.; Riazuelo, A. Tracking quintessence by cosmic shear—Constraints from virmos-descart and cfhtls and future prospects. Astron. Astrophys. 2007, 463, 405–421. [Google Scholar] [CrossRef]
- Vagnozzi, S.; Dhawan, S.; Gerbino, M.; Freese, K.; Goobar, A.; Mena, O. Constraints on the sum of the neutrino masses in dynamical dark energy models with w(z) ≥ −1 are tighter than those obtained in ΛCDM. Phys. Rev. D 2018, 98, 083501. [Google Scholar] [CrossRef]
- Caldwell, R.R. A Phantom menace? Phys. Lett. 2002, B545, 23–29. [Google Scholar] [CrossRef]
- Elizalde, E.; Nojiri, S.; Odintsov, S.D. Late-time cosmology in (phantom) scalar-tensor theory: Dark energy and the cosmic speed-up. Phys. Rev. 2004, D70, 043539. [Google Scholar] [CrossRef]
- Scherrer, R.J.; Sen, A.A. Phantom Dark Energy Models with a Nearly Flat Potential. Phys. Rev. 2008, D78, 067303. [Google Scholar] [CrossRef]
- Dutta, S.; Scherrer, R.J. Dark Energy from a Phantom Field Near a Local Potential Minimum. Phys. Lett. 2009, B676, 12–15. [Google Scholar] [CrossRef]
- Frampton, P.H.; Ludwick, K.J.; Scherrer, R.J. Pseudo-rip: Cosmological models intermediate between the cosmological constant and the little rip. Phys. Rev. 2012, D85, 083001. [Google Scholar] [CrossRef]
- Ludwick, K.J. The Viability of Phantom Dark Energy: A Brief Review. Mod. Phys. Lett. 2017, A32, 1730025. [Google Scholar] [CrossRef]
- Escamilla, L.A.; Giarè, W.; Di Valentino, E.; Nunes, R.C.; Vagnozzi, S. The state of the dark energy equation of state circa 2023. arXiv 2023, arXiv:2307.14802. [Google Scholar]
- Chiba, T.; De Felice, A.; Tsujikawa, S. Observational constraints on quintessence: Thawing, tracker, and scaling models. Phys. Rev. 2013, D87, 083505. [Google Scholar] [CrossRef]
- Lima, N.A.; Liddle, A.R.; Sahlén, M.; Parkinson, D. Reconstructing thawing quintessence with multiple datasets. Phys. Rev. D 2016, 93, 063506. [Google Scholar] [CrossRef]
- Zlatev, I.; Wang, L.M.; Steinhardt, P.J. Quintessence, cosmic coincidence, and the cosmological constant. Phys. Rev. Lett. 1999, 82, 896–899. [Google Scholar] [CrossRef]
- Linder, E.V. Quintessence’s last stand? Phys. Rev. 2015, D91, 063006. [Google Scholar] [CrossRef]
- Bag, S.; Mishra, S.S.; Sahni, V. New tracker models of dark energy. JCAP 2018, 8, 9. [Google Scholar] [CrossRef]
- Wetterich, C. The Cosmon model for an asymptotically vanishing time dependent cosmological ‘constant’. Astron. Astrophys. 1995, 301, 321–328. [Google Scholar]
- Amendola, L. Perturbations in a coupled scalar field cosmology. Mon. Not. R. Astron. Soc. 2000, 312, 521. [Google Scholar] [CrossRef]
- Amendola, L. Coupled quintessence. Phys. Rev. 2000, D62, 043511. [Google Scholar] [CrossRef]
- Zimdahl, W.; Pavon, D. Interacting quintessence. Phys. Lett. 2001, B521, 133–138. [Google Scholar] [CrossRef]
- Liu, X.; Tsujikawa, S.; Ichiki, K. Observational constraints on interactions between dark energy and dark matter with momentum and energy transfers. arXiv 2023, arXiv:2309.13946. [Google Scholar] [CrossRef]
- Di Valentino, E.; Melchiorri, A.; Mena, O.; Vagnozzi, S. Nonminimal dark sector physics and cosmological tensions. Phys. Rev. D 2020, 101, 063502. [Google Scholar] [CrossRef]
- Yang, W.; Pan, S.; Di Valentino, E.; Nunes, R.C.; Vagnozzi, S.; Mota, D.F. Tale of stable interacting dark energy, observational signatures, and the H0 tension. JCAP 2018, 9, 19. [Google Scholar] [CrossRef]
- Di Valentino, E.; Melchiorri, A.; Mena, O.; Vagnozzi, S. Interacting dark energy in the early 2020s: A promising solution to the H0 and cosmic shear tensions. Phys. Dark Univ. 2020, 30, 100666. [Google Scholar] [CrossRef]
- Nunes, R.C.; Di Valentino, E. Dark sector interaction and the supernova absolute magnitude tension. Phys. Rev. D 2021, 104, 063529. [Google Scholar] [CrossRef]
- Zhai, Y.; Giarè, W.; van de Bruck, C.; Di Valentino, E.; Mena, O.; Nunes, R.C. A consistent view of interacting dark energy from multiple CMB probes. JCAP 2023, 7, 32. [Google Scholar] [CrossRef]
- Pan, S.; Yang, W. On the interacting dark energy scenarios—The case for Hubble constant tension. arXiv 2023, arXiv:2310.07260. [Google Scholar]
- Starobinsky, A.A. A New Type of Isotropic Cosmological Models without Singularity. Phys. Lett. B 1980, 91, 99–102. [Google Scholar] [CrossRef]
- Guth, A.H. Inflationary universe: A possible solution to the horizon and flatness problems. Phys. Rev. D 1981, 23, 347–356. [Google Scholar] [CrossRef]
- Mukhanov, V.F.; Chibisov, G.V. Quantum Fluctuations and a Nonsingular Universe. JETP Lett. 1981, 33, 532–535. [Google Scholar]
- Starobinsky, A.A. Dynamics of Phase Transition in the New Inflationary Universe Scenario and Generation of Perturbations. Phys. Lett. B 1982, 117, 175–178. [Google Scholar] [CrossRef]
- Linde, A.D. A New Inflationary Universe Scenario: A Possible Solution of the Horizon, Flatness, Homogeneity, Isotropy and Primordial Monopole Problems. Phys. Lett. B 1982, 108, 389–393. [Google Scholar] [CrossRef]
- Linde, A.D. Chaotic Inflation. Phys. Lett. B 1983, 129, 177–181. [Google Scholar] [CrossRef]
- Lucchin, F.; Matarrese, S.; Pollock, M.D. Inflation with a Nonminimally Coupled Scalar Field. Phys. Lett. B 1986, 167, 163–168. [Google Scholar] [CrossRef]
- Lucchin, F.; Matarrese, S. Power-law inflation. Phys. Rev. 1985, D32, 1316–1322. [Google Scholar] [CrossRef]
- Lucchin, F.; Matarrese, S. Kinematical properties of generalized inflation. Phys. Lett. B 1985, 164, 282–286. [Google Scholar] [CrossRef]
- Dodelson, S. Modern Cosmology; Academic Press: Amsterdam, The Netherlands, 2003. [Google Scholar]
- Gorbunov, D.S.; Rubakov, V.A. Introduction to the Theory of the Early Universe: Cosmological Perturbations and Inflationary Theory; World Scientific: Hackensack, NJ, USA, 2011. [Google Scholar]
- Mukhanov, V. Physical Foundations of Cosmology; Cambridge University Press: Cambridge, UK, 2005. [Google Scholar]
- Senatore, L. Lectures on Inflation. In Proceedings of the Theoretical Advanced Study Institute in Elementary Particle Physics: New Frontiers in Fields and Strings, Boulder, CO, USA, 1–26 June 2015. [Google Scholar]
- Peebles, P.J.E.; Vilenkin, A. Quintessential inflation. Phys. Rev. D 1999, 59, 063505. [Google Scholar] [CrossRef]
- Rubio, J.; Wetterich, C. Emergent scale symmetry: Connecting inflation and dark energy. Phys. Rev. D 2017, 96, 063509. [Google Scholar] [CrossRef]
- Ratra, B. Inflation in a closed universe. Phys. Rev. 2017, D96, 103534. [Google Scholar] [CrossRef]
- Geng, C.Q.; Lee, C.C.; Sami, M.; Saridakis, E.N.; Starobinsky, A.A. Observational constraints on successful model of quintessential Inflation. JCAP 2017, 6, 11. [Google Scholar] [CrossRef]
- Akrami, Y.; Kallosh, R.; Linde, A.; Vardanyan, V. Dark energy, α-attractors, and large-scale structure surveys. JCAP 2018, 6, 41. [Google Scholar] [CrossRef]
- Dimopoulos, K.; Owen, C. Quintessential Inflation with α-attractors. JCAP 2017, 6, 27. [Google Scholar] [CrossRef]
- Shapiro, I.L.; Sola, J.; Espana-Bonet, C.; Ruiz-Lapuente, P. Variable cosmological constant as a Planck scale effect. Phys. Lett. B 2003, 574, 149–155. [Google Scholar] [CrossRef]
- Sola, J.; Gomez-Valent, A.; de Cruz Pérez, J. Dynamical dark energy: Scalar fields and running vacuum. Mod. Phys. Lett. A 2017, 32, 1750054. [Google Scholar] [CrossRef]
- Moreno-Pulido, C.; Peracaula, J.S. Equation of state of the running vacuum. Eur. Phys. J. C 2022, 82, 1137. [Google Scholar] [CrossRef]
- Sola Peracaula, J. The cosmological constant problem and running vacuum in the expanding universe. Philos. Trans. R. Soc. A 2022, 380, 20210182. [Google Scholar] [CrossRef]
- Solà Peracaula, J.; Gómez-Valent, A.; de Cruz Perez, J.; Moreno-Pulido, C. Running vacuum against the H0 and σ8 tensions. EPL 2021, 134, 19001. [Google Scholar] [CrossRef]
- Sola Peracaula, J.; Gomez-Valent, A.; de Cruz Perez, J.; Moreno-Pulido, C. Running Vacuum in the Universe: Phenomenological Status in Light of the Latest Observations, and Its Impact on the σ8 and H0 Tensions. Universe 2023, 9, 262. [Google Scholar] [CrossRef]
- Sola, J.; Gomez-Valent, A.; de Cruz Pérez, J. Hints of dynamical vacuum energy in the expanding Universe. Astrophys. J. Lett. 2015, 811, L14. [Google Scholar] [CrossRef]
- Solà, J.; Gómez-Valent, A.; de Cruz Pérez, J. First evidence of running cosmic vacuum: Challenging the concordance model. Astrophys. J. 2017, 836, 43. [Google Scholar] [CrossRef]
- Solà Peracaula, J.; de Cruz Pérez, J.; Gomez-Valent, A. Possible signals of vacuum dynamics in the Universe. Mon. Not. R. Astron. Soc. 2018, 478, 4357–4373. [Google Scholar] [CrossRef]
- Moreno-Pulido, C.; Sola, J. Running vacuum in quantum field theory in curved spacetime: Renormalizing ρvac without ∼m4 terms. Eur. Phys. J. C 2020, 80, 692. [Google Scholar] [CrossRef]
- Moreno-Pulido, C.; Sola Peracaula, J. Renormalizing the vacuum energy in cosmological spacetime: Implications for the cosmological constant problem. Eur. Phys. J. C 2022, 82, 551. [Google Scholar] [CrossRef]
- Nojiri, S.; Odintsov, S.; Oikonomou, V. Modified gravity theories on a nutshell: Inflation, bounce and late-time evolution. Phys. Rep. 2017, 692, 1–104. [Google Scholar] [CrossRef]
- Farooq, O.; Madiyar, F.R.; Crandall, S.; Ratra, B. Hubble Parameter Measurement Constraints on the Redshift of the Deceleration–acceleration Transition, Dynamical Dark Energy, and Space Curvature. Astrophys. J. 2017, 835, 26. [Google Scholar] [CrossRef]
- Ryan, J.; Chen, Y.; Ratra, B. Baryon acoustic oscillation, Hubble parameter, and angular size measurement constraints on the Hubble constant, dark energy dynamics, and spatial curvature. Mon. Not. R. Astron. Soc. 2019, 488, 3844–3856. [Google Scholar] [CrossRef]
- Mitra, S.; Park, C.G.; Choudhury, T.R.; Ratra, B. First study of reionization in tilted flat and untilted non-flat dynamical dark energy inflation models. Mon. Not. R. Astron. Soc. 2019, 487, 5118–5128. [Google Scholar] [CrossRef]
- Khadka, N.; Ratra, B. Using quasar X-ray and UV flux measurements to constrain cosmological model parameters. Mon. Not. R. Astron. Soc. 2020, 497, 263–278. [Google Scholar] [CrossRef]
- Khadka, N.; Ratra, B. Quasar X-ray and UV flux, baryon acoustic oscillation, and Hubble parameter measurement constraints on cosmological model parameters. Mon. Not. R. Astron. Soc. 2020, 492, 4456–4468. [Google Scholar] [CrossRef]
- Khadka, N.; Ratra, B. Determining the range of validity of quasar X-ray and UV flux measurements for constraining cosmological model parameters. Mon. Not. R. Astron. Soc. 2021, 502, 6140–6156. [Google Scholar] [CrossRef]
- Khadka, N.; Yu, Z.; Zajaček, M.; Martinez-Aldama, M.L.; Czerny, B.; Ratra, B. Standardizing reverberation-measured Mg II time-lag quasars, by using the radius–luminosity relation, and constraining cosmological model parameters. Mon. Not. R. Astron. Soc. 2021, 508, 4722–4737. [Google Scholar] [CrossRef]
- Khadka, N.; Ratra, B. Do quasar X-ray and UV flux measurements provide a useful test of cosmological models? Mon. Not. R. Astron. Soc. 2022, 510, 2753–2772. [Google Scholar] [CrossRef]
- Khadka, N.; Martínez-Aldama, M.L.; Zajaček, M.; Czerny, B.; Ratra, B. Do reverberation-measured Hβ quasars provide a useful test of cosmology? Mon. Not. R. Astron. Soc. 2022, 513, 1985. [Google Scholar] [CrossRef]
- Cao, S.; Ryan, J.; Ratra, B. Using Pantheon and DES supernova, baryon acoustic oscillation, and Hubble parameter data to constrain the Hubble constant, dark energy dynamics, and spatial curvature. Mon. Not. R. Astron. Soc. 2021, 504, 300–310. [Google Scholar] [CrossRef]
- Cao, S.; Khadka, N.; Ratra, B. Standardizing Dainotti-correlated gamma-ray bursts, and using them with standardized Amati-correlated gamma-ray bursts to constrain cosmological model parameters. Mon. Not. R. Astron. Soc. 2022, 510, 2928–2947. [Google Scholar] [CrossRef]
- Cao, S.; Zajaček, M.; Panda, S.; Martínez-Aldama, M.L.; Czerny, B.; Ratra, B. Standardizing reverberation-measured C iv time-lag quasars, and using them with standardized Mg ii quasars to constrain cosmological parameters. Mon. Not. R. Astron. Soc. 2022, 516, 1721–1740. [Google Scholar] [CrossRef]
- Cao, S.; Dainotti, M.; Ratra, B. Standardizing Platinum Dainotti-correlated gamma-ray bursts, and using them with standardized Amati-correlated gamma-ray bursts to constrain cosmological model parameters. Mon. Not. R. Astron. Soc. 2022, 512, 439–454. [Google Scholar] [CrossRef]
- Cao, S.; Dainotti, M.; Ratra, B. Gamma-ray burst data strongly favour the three-parameter fundamental plane (Dainotti) correlation over the two-parameter one. Mon. Not. R. Astron. Soc. 2022, 516, 1386–1405. [Google Scholar] [CrossRef]
- Cao, S.; Ratra, B. Using lower-redshift, non-CMB, data to constrain the Hubble constant and other cosmological parameters. Mon. Not. R. Astron. Soc. 2022, 513, 5686–5700. [Google Scholar] [CrossRef]
- Gariazzo, S.; Di Valentino, E.; Mena, O.; Nunes, R.C. Late-time interacting cosmologies and the Hubble constant tension. Phys. Rev. D 2022, 106, 023530. [Google Scholar] [CrossRef]
- Yang, W.; Pan, S.; Mena, O.; Di Valentino, E. On the dynamics of a dark sector coupling. JHEAP 2023, 40, 19–40. [Google Scholar] [CrossRef]
- Spergel, D.N. The dark side of cosmology: Dark matter and dark energy. Science 2015, 347, 1100–1102. [Google Scholar] [CrossRef]
- Brout, D.; Scolnic, D.; Popovic, B.; Riess, A.G.; Carr, A.; Zuntz, J.; Kessler, R.; Davis, T.M.; Hinton, S.; Jones, D.; et al. The Pantheon+ Analysis: Cosmological Constraints. Astron. Astrophys. 2022, 938, 110. [Google Scholar] [CrossRef]
- Riess, A.G.; Strolger, L.G.; Tonry, J.; Casertano, S.; Ferguson, H.C.; Mobasher, B.; Challis, P.; Filippenko, A.V.; Jha, S.; Li, W.; et al. Type Ia Supernova Discoveries at z > 1 from the Hubble Space Telescope: Evidence for Past Deceleration and Constraints on Dark Energy Evolution. Astron. Astrophys. 2004, 607, 665–687. [Google Scholar]
- Scolnic, D.M.; Jones, D.O.; Rest, A.; Pan, Y.C.; Chornock, R.; Foley, R.J.; Huber, M.E.; Kessler, R.; Narayan, G.; Riess, A.G.; et al. The Complete Light-curve Sample of Spectroscopically Confirmed SNe Ia from Pan-STARRS1 and Cosmological Constraints from the Combined Pantheon Sample. Astron. Astrophys. 2018, 859, 101. [Google Scholar] [CrossRef]
- Madhavacheril, M.S.; Qu, F.J.; Sherwin, B.D.; MacCrann, N.; Li, Y.; Abril-Cabezas, I.; Ade, P.A.R.; Aiola, S.; Alford, T.; Amiri, M.; et al. The Atacama Cosmology Telescope: DR6 Gravitational Lensing Map and Cosmological Parameters. arXiv 2023, arXiv:2304.05203. [Google Scholar] [CrossRef]
- Caresia, P.; Matarrese, S.; Moscardini, L. Constraints on extended quintessence from high-redshift supernovae. Astrophys. J. 2004, 605, 21–29. [Google Scholar] [CrossRef]
- Pettorino, V.; Baccigalupi, C.; Mangano, G. Extended quintessence with an exponential coupling. JCAP 2005, 1, 14. [Google Scholar] [CrossRef]
- Nesseris, S.; Perivolaropoulos, L. The Limits of Extended Quintessence. Phys. Rev. D 2007, 75, 023517. [Google Scholar] [CrossRef]
- Hrycyna, O.; Szydlowski, M. Non-minimally coupled scalar field cosmology on the phase plane. JCAP 2009, 4, 26. [Google Scholar] [CrossRef]
- Li, B.; Mota, D.F.; Barrow, J.D. N-body simulations for extended quintessence models. Astrophys. J. 2011, 728, 109. [Google Scholar] [CrossRef][Green Version]
- Fan, Y.; Wu, P.; Yu, H. Spherical collapse in the extended quintessence cosmological models. Phys. Rev. D 2015, 92, 083529. [Google Scholar] [CrossRef]
- Fan, Y.; Wu, P.; Yu, H. Cosmological perturbations of non-minimally coupled quintessence in the metric and Palatini formalisms. Phys. Lett. B 2015, 746, 230–236. [Google Scholar] [CrossRef]
- Davari, Z.; Marra, V.; Malekjani, M. Cosmological constrains on minimally and non-minimally coupled scalar field models. Mon. Not. R. Astron. Soc. 2020, 491, 1920–1933. [Google Scholar] [CrossRef]
- Figueroa, D.G.; Florio, A.; Opferkuch, T.; Stefanek, B.A. Lattice simulations of non-minimally coupled scalar fields in the Jordan frame. SciPost Phys. 2023, 15, 77. [Google Scholar] [CrossRef]
- Caldwell, R.R.; Kamionkowski, M.; Weinberg, N.N. Phantom energy and cosmic doomsday. Phys. Rev. Lett. 2003, 91, 071301. [Google Scholar] [CrossRef]
- Ferreira, P.G.; Joyce, M. Cosmology with a primordial scaling field. Phys. Rev. 1998, D58, 023503. [Google Scholar] [CrossRef]
- Brax, P.; Martin, J. Quintessence and supergravity. Phys. Lett. B 1999, 468, 40–45. [Google Scholar] [CrossRef]
- Sahni, V.; Wang, L.M. A New cosmological model of quintessence and dark matter. Phys. Rev. 2000, D62, 103517. [Google Scholar] [CrossRef]
- Barreiro, T.; Copeland, E.J.; Nunes, N.J. Quintessence arising from exponential potentials. Phys. Rev. 2000, D61, 127301. [Google Scholar] [CrossRef]
- Albrecht, A.; Skordis, C. Phenomenology of a realistic accelerating universe using only Planck scale physics. Phys. Rev. Lett. 2000, 84, 2076–2079. [Google Scholar] [CrossRef]
- Urena-Lopez, L.A.; Matos, T. A New cosmological tracker solution for quintessence. Phys. Rev. 2000, D62, 081302. [Google Scholar]
- Chang, H.Y.; Scherrer, R.J. Reviving Quintessence with an Exponential Potential. arXiv 2016, arXiv:1608.03291. [Google Scholar]
- Frieman, J.A.; Hill, C.T.; Stebbins, A.; Waga, I. Cosmology with ultralight pseudo Nambu-Goldstone bosons. Phys. Rev. Lett. 1995, 75, 2077–2080. [Google Scholar] [CrossRef] [PubMed]
- Barger, V.; Gao, Y.; Marfatia, D. Accelerating cosmologies tested by distance measures. Phys. Lett. 2007, B648, 127–132. [Google Scholar] [CrossRef][Green Version]
- Chevallier, M.; Polarski, D. Accelerating universes with scaling dark matter. Int. J. Mod. Phys. 2001, D10, 213–224. [Google Scholar] [CrossRef]
- Linder, E.V. Exploring the expansion history of the universe. Phys. Rev. Lett. 2003, 90, 091301. [Google Scholar] [CrossRef]
- Ratra, B. Quantum Mechanics of Exponential Potential Inflation. Phys. Rev. D 1989, 40, 3939. [Google Scholar] [CrossRef]
- Ratra, B. Restoration of Spontaneously Broken Continuous Symmetries in de Sitter Space-Time. Phys. Rev. D 1985, 31, 1931–1955. [Google Scholar] [CrossRef]
- Bettoni, D.; Rubio, J. Quintessential Inflation: A Tale of Emergent and Broken Symmetries. Galaxies 2022, 10, 22. [Google Scholar] [CrossRef]
- Ratra, B.; Peebles, P.J.E. Inflation in an open universe. Phys. Rev. 1995, D52, 1837–1894. [Google Scholar] [CrossRef]
- Chitov, G.Y.; August, T.; Natarajan, A.; Kahniashvili, T. Mass Varying Neutrinos, Quintessence, and the Accelerating Expansion of the Universe. Phys. Rev. D 2011, 83, 045033. [Google Scholar] [CrossRef]
- Mandal, S.; Chitov, G.Y.; Avsajanishvili, O.; Singha, B.; Kahniashvili, T. Mass varying neutrinos with different quintessence potentials. JCAP 2021, 5, 18. [Google Scholar] [CrossRef]
- Podariu, S.; Ratra, B. Supernovae Ia constraints on a time variable cosmological ‘constant’. Astrophys. J. 2000, 532, 109–117. [Google Scholar] [CrossRef]
- Binetruy, P. Models of dynamical supersymmetry breaking and quintessence. Phys. Rev. D 1999, 60, 063502. [Google Scholar] [CrossRef]
- Perrotta, F.; Baccigalupi, C.; Matarrese, S. Extended quintessence. Phys. Rev. D 1999, 61, 023507. [Google Scholar] [CrossRef]
- Baccigalupi, C.; Matarrese, S.; Perrotta, F. Tracking extended quintessence. Phys. Rev. D 2000, 62, 123510. [Google Scholar] [CrossRef]
- Tonry, J.L.; Schmidt, B.P.; Barris, B.; Candia, P.; Challis, P.; Clocchiatti, A.; Coil, A.L.; Filippenko, A.V.; Garnavich, P.; Hogan, C.; et al. Cosmological Results from High-z Supernovae. Astron. Astrophys. 2003, 594, 1–24. [Google Scholar]
- Aldering, G.; Akerlof, C.W.; Amanullah, R.; Astier, P.; Barrelet, E.; Bebek, C.; Bergstrom, L.; Bercovitz, J.; Bernstein, G.M.; Bester, M.; et al. Overview of the Supernova/Acceleration Probe (SNAP). Proc. SPIE Int. Soc. Opt. Eng. 2002, 4835, 146. [Google Scholar]
- Doran, M.; Karwan, K.; Wetterich, C. Observational constraints on the dark energy density evolution. JCAP 2005, 11, 7. [Google Scholar] [CrossRef]
- Readhead, A.C.S.; Mason, B.S.; Contaldi, C.R.; Pearson, T.J.; Bond, J.R.; Myers, S.T.; Padin, S.; Sievers, J.L.; Cartwright, J.K.; Shepherd, M.C.; et al. Extended Mosaic Observations with the Cosmic Background Imager. Astron. Astrophys. 2004, 609, 498–512. [Google Scholar] [CrossRef]
- Rebolo, R.; Battye, R.A.; Carreira, P.; Cleary, K.; Davies, R.D.; Davis, R.J.; Dickinson, C.; Genova-Santos, R.; Grainge, K.; Gutiérrez, C.M.; et al. Cosmological parameter estimation using Very Small Array data out to l = 1500. Mon. Not. R. Astron. Soc. 2004, 353, 747–759. [Google Scholar] [CrossRef]
- Tegmark, M.; Strauss, M.A.; Blanton, M.R.; Abazajian, K.; Dodelson, S.; Sandvik, H.; Wang, X.; Weinberg, D.H.; Zehavi, I.; Bahcall, N.A.; et al. Cosmological parameters from SDSS and WMAP. Phys. Rev. D 2004, 69, 103501. [Google Scholar] [CrossRef]
- Freedman, W.L.; Madore, B.F.; Gibson, B.K.; Ferrarese, L.; Kelson, D.D.; Sakai, S.; Mould, J.R.; Kennicutt, R.C., Jr.; Ford, H.C.; Graham, J.A.; et al. Final Results from the Hubble Space Telescope Key Project to Measure the Hubble Constant. Astron. Astrophys. 2001, 553, 47–72. [Google Scholar]
- Pavlov, A.; Westmoreland, S.; Saaidi, K.; Ratra, B. Nonflat time-variable dark energy cosmology. Phys. Rev. D 2013, 88, 123513. [Google Scholar] [CrossRef]
- Fuzfa, A.; Alimi, J.M. Some impacts of quintessence models on cosmic structure formation. AIP Conf. Proc. 2006, 861, 858–866. [Google Scholar]
- Astier, P.; Guy, J.; Regnault, N.; Pain, R.; Aubourg, E.; Balam, D.; Basa, S.; Carlberg, R.G.; Fabbro, S.; Fouchez, D.; et al. The Supernova Legacy Survey: Measurement of ΩM, ΩΛ and w from the first year data set. Astron. Astrophys. 2006, 447, 31–48. [Google Scholar] [CrossRef]
- Farooq, O.; Mania, D.; Ratra, B. Observational constraints on non-flat dynamical dark energy cosmological models. Astrophys. Space Sci. 2015, 357, 11. [Google Scholar] [CrossRef]
- Suzuki, N.; Rubin, D.; Lidman, C.; Aldering, G.; Amanullah, R.; Barbary, K.; Barrientos, L.F.; Botyanszki, J.; Brodwin, M.; Connolly, N.; et al. The Hubble Space Telescope Cluster Supernova Survey. V. Improving the Dark-energy Constraints above z > 1 and Building an Early-type-hosted Supernova Sample. Astron. Astrophys. 2012, 746, 85. [Google Scholar]
- Simon, J.; Verde, L.; Jimenez, R. Constraints on the redshift dependence of the dark energy potential. Phys. Rev. D 2005, 71, 123001. [Google Scholar] [CrossRef]
- Gaztanaga, E.; Cabre, A.; Hui, L. Clustering of Luminous Red Galaxies IV: Baryon Acoustic Peak in the Line-of-Sight Direction and a Direct Measurement of H(z). Mon. Not. R. Astron. Soc. 2009, 399, 1663–1680. [Google Scholar] [CrossRef]
- Percival, W.J.; Reid, B.A.; Eisenstein, D.J.; Bahcall, N.A.; Budavari, T.; Frieman, J.A.; Fukugita, M.; Gunn, J.E.; Ivezić, Ž.; Knapp, G.R.; et al. Baryon acoustic oscillations in the Sloan Digital Sky Survey Data Release 7 galaxy sample. Mon. Not. R. Astron. Soc. 2010, 401, 2148–2168. [Google Scholar] [CrossRef]
- Farooq, O.; Crandall, S.; Ratra, B. Binned Hubble parameter measurements and the cosmological deceleration-acceleration transition. Phys. Lett. B 2013, 726, 72–82. [Google Scholar] [CrossRef]
- Blomqvist, M.; du Mas des Bourboux, H.; Busca, N.G.; de Sainte Agathe, V.; Rich, J.; Balland, C.; Bautista, J.E.; Dawson, K.; Font-Ribera, A.; Guy, J.; et al. Baryon acoustic oscillations from the cross-correlation of Lyα absorption and quasars in eBOSS DR14. Astron. Astrophys 2019, 629, A86. [Google Scholar] [CrossRef]
- Halder, A.; Pandey, M. Probing the effects of primordial black holes on 21-cm EDGES signal along with interacting dark energy and dark matter–baryon scattering. Mon. Not. R. Astron. Soc. 2021, 508, 3446–3454. [Google Scholar] [CrossRef]
- Cooke, R.J.; Pettini, M.; Steidel, C.C. One Percent Determination of the Primordial Deuterium Abundance. Astrophys. J. 2018, 855, 102. [Google Scholar] [CrossRef]
- Camarena, D.; Marra, V. On the use of the local prior on the absolute magnitude of Type Ia supernovae in cosmological inference. Mon. Not. R. Astron. Soc. 2021, 504, 5164–5171. [Google Scholar] [CrossRef]
- Doran, M.; Lilley, M.J.; Schwindt, J.; Wetterich, C. Quintessence and the separation of CMB peaks. Astrophys. J. 2001, 559, 501–506. [Google Scholar] [CrossRef]
- de Bernardis, P.; Ade, P.A.R.; Bock, J.J.; Bond, J.R.; Borrill, J.; Boscaleri, A.; Coble, K.; Crill, B.P.; de Gasperis, G.; de Troia, G.; et al. First results from the BOOMERanG experiment. AIP Conf. Proc. 2001, 555, 85–94. [Google Scholar]
- Hanany, S.; Ade, P.; Balbi, A.; Bock, J.; Borrill, J.; Boscaleri, A.; de Bernardis, P.; Ferreira, P.G.; Hristov, V.V.; Jaffe, A.H.; et al. MAXIMA-1: A Measurement of the Cosmic Microwave Background Anisotropy on Angular Scales of 10′-5°. Astrophys. J. Lett 2000, 545, L5–L9. [Google Scholar] [CrossRef]
- Hebecker, A.; Wetterich, C. Natural quintessence? Phys. Lett. B 2001, 497, 281–288. [Google Scholar] [CrossRef]
- Caldwell, R.R.; Doran, M.; Mueller, C.M.; Schafer, G.; Wetterich, C. Early quintessence in light of WMAP. Astrophys. J. Lett. 2003, 591, L75–L78. [Google Scholar] [CrossRef]
- Hinshaw, G.; Spergel, D.N.; Verde, L.; Hill, R.S.; Meyer, S.S.; Barnes, C.; Bennett, C.L.; Halpern, M.; Jarosik, N.; Kogut, A.; et al. First-Year Wilkinson Microwave Anisotropy Probe (WMAP) Observations: The Angular Power Spectrum. Astrophys. J. Suppl. 2003, 148, 135–159. [Google Scholar] [CrossRef]
- Kogut, A.; Spergel, D.N.; Barnes, C.; Bennett, C.L.; Halpern, M.; Hinshaw, G.; Jarosik, N.; Limon, M.; Meyer, S.S.; Page, L.; et al. First-Year Wilkinson Microwave Anisotropy Probe (WMAP) Observations: Temperature-Polarization Correlation. Astrophys. J. Suppl. 2003, 148, 161–173. [Google Scholar] [CrossRef]
- Pearson, T.J.; Mason, B.S.; Readhead, A.C.S.; Shepherd, M.C.; Sievers, J.L.; Udomprasert, P.S.; Cartwright, J.K.; Farmer, A.J.; Padin, S.; Myers, S.T.; et al. The Anisotropy of the Microwave Background to l = 3500: Mosaic Observations with the Cosmic Background Imager. Astron. Astrophys. 2003, 591, 556–574. [Google Scholar] [CrossRef][Green Version]
- Mason, B.S.; Pearson, T.J.; Readhead, A.C.S.; Shepherd, M.C.; Sievers, J.; Udomprasert, P.S.; Cartwright, J.K.; Farmer, A.J.; Padin, S.; Myers, S.T.; et al. The Anisotropy of the Microwave Background to l = 3500: Deep Field Observations with the Cosmic Background Imager. Astron. Astrophys. 2003, 591, 540–555. [Google Scholar] [CrossRef]
- Kuo, C.L.; Ade, P.A.R.; Bock, J.J.; Cantalupo, C.; Daub, M.D.; Goldstein, J.; Holzapfel, W.L.; Lange, A.E.; Lueker, M.; Newcomb, M.; et al. High-Resolution Observations of the Cosmic Microwave Background Power Spectrum with ACBAR. Astron. Astrophys. 2004, 600, 32–51. [Google Scholar] [CrossRef]
- Percival, W.J.; Baugh, C.M.; Bland-Hawthorn, J.; Bridges, T.; Cannon, R.; Cole, S.; Colless, M.; Collins, C.; Couch, W.; Dalton, G.; et al. The 2dF Galaxy Redshift Survey: The power spectrum and the matter content of the Universe. Mon. Not. R. Astron. Soc. 2001, 327, 1297–1306. [Google Scholar] [CrossRef]
- Peacock, J.A.; Cole, S.; Norberg, P.; Baugh, C.M.; Bland-Hawthorn, J.; Bridges, T.; Cannon, R.D.; Colless, M.; Collins, C.; Couch, W.; et al. A measurement of the cosmological mass density from clustering in the 2dF Galaxy Redshift Survey. Nature 2001, 410, 169–173. [Google Scholar] [CrossRef]
- Verde, L.; Heavens, A.F.; Percival, W.J.; Matarrese, S.; Baugh, C.M.; Bland-Hawthorn, J.; Bridges, T.; Cannon, R.; Cole, S.; Colless, M.; et al. The 2dF Galaxy Redshift Survey: The bias of galaxies and the density of the Universe. Mon. Not. R. Astron. Soc. 2002, 335, 432–440. [Google Scholar] [CrossRef]
- Gnedin, N.Y.; Hamilton, A.J.S. Matter power spectrum from the Lyman-alpha forest: Myth or reality? Mon. Not. R. Astron. Soc. 2002, 334, 107–116. [Google Scholar] [CrossRef][Green Version]
- Croft, R.A.C.; Weinberg, D.H.; Bolte, M.; Burles, S.; Hernquist, L.; Katz, N.; Kirkman, D.; Tytler, D. Towards a precise measurement of matter clustering: Lyman alpha forest data at redshifts 2-4. Astrophys. J. 2002, 581, 20–52. [Google Scholar] [CrossRef]
- Mukherjee, P.; Banday, A.J.; Riazuelo, A.; Gorski, K.M.; Ratra, B. COBE-DMR-Normalized dark energy cosmogony. Astrophys. J. 2003, 598, 767–778. [Google Scholar] [CrossRef]
- Brax, P.; Martin, J.; Riazuelo, A. Quintessence model building. In Proceedings of the 6th Workshop on Non-Perturbative Quantum Chromodynamics, Paris, France, 5–9 June 2001; pp. 315–325. [Google Scholar]
- Gorski, K.M.; Ratra, B.; Stompor, R.; Sugiyama, N.; Banday, A.J. COBE—DMR normalized open CDM cosmogonies. Astrophys. J. Suppl. 1998, 114, 1–30. [Google Scholar] [CrossRef][Green Version]
- Samushia, L.; Ratra, B. Constraints on Dark Energy from Galaxy Cluster Gas Mass Fraction versus Redshift data. Astrophys. J. Lett. 2008, 680, L1–L4. [Google Scholar] [CrossRef]
- Allen, S.W.; Rapetti, D.A.; Schmidt, R.W.; Ebeling, H.; Morris, G.; Fabian, A.C. Improved constraints on dark energy from Chandra X-ray observations of the largest relaxed galaxy clusters. Mon. Not. R. Astron. Soc. 2008, 383, 879–896. [Google Scholar] [CrossRef]
- Gott, J.R., III; Vogeley, M.S.; Podariu, S.; Ratra, B. Median statistics, H(0), and the accelerating universe. Astrophys. J. 2001, 549, 1–17. [Google Scholar] [CrossRef]
- Chen, G.; Gott, J.R., III; Ratra, B. Non-Gaussian error distribution of Hubble constant measurements. Publ. Astron. Soc. Pac. 2003, 115, 1269–1279. [Google Scholar] [CrossRef]
- Fields, B.; Sarkar, S. Big-Bang nucleosynthesis (2006 Particle Data Group mini-review). J. Phys. G. 2006, 33, 220. [Google Scholar]
- Chen, Y.; Ratra, B.; Biesiada, M.; Li, S.; Zhu, Z.H. Constraints on non-flat cosmologies with massive neutrinos after Planck 2015. Astrophys. J. 2016, 829, 61. [Google Scholar] [CrossRef]
- Planck Collaboration; Adam, R.; Ade, P.A.R.; Aghanim, N.; Alves, M.I.R.; Arnaud, M.; Ashdown, M.; Aumont, J.; Baccigalupi, C.; Banday, A.J.; et al. Planck 2015 results. X. Diffuse component separation: Foreground maps. Astron. Astrophys. 2016, 594, A10. [Google Scholar] [CrossRef]
- Betoule, M.; Kessler, R.; Guy, J.; Mosher, J.; Hardin, D.; Biswas, R.; Astier, P.; El-Hage, P.; Konig, M.; Kuhlmann, S.; et al. Improved cosmological constraints from a joint analysis of the SDSS-II and SNLS supernova samples. Astron.Astrophys. 2014, 568, A22. [Google Scholar] [CrossRef]
- Park, C.G.; Ratra, B. Observational constraints on the tilted spatially-flat and the untilted nonflat ϕCDM dynamical dark energy inflation models. Astrophys. J. 2018, 868, 83. [Google Scholar] [CrossRef]
- Planck Collaboration; Aghanim, N.; Akrami, Y.; Ashdown, M.; Aumont, J.; Baccigalupi, C.; Ballardini, M.; Banday, A.J.; Barreiro, R.B.; Bartolo, N.; et al. Planck intermediate results. LI. Features in the cosmic microwave background temperature power spectrum and shifts in cosmological parameters. Astron. Astrophys. 2017, 607, A95. [Google Scholar]
- Font-Ribera, A.; McDonald, P.; Mostek, N.; Reid, B.A.; Seo, H.J.; Slosar, A. DESI and other dark energy experiments in the era of neutrino mass measurements. JCAP 2014, 1405, 23. [Google Scholar] [CrossRef]
- Ooba, J.; Ratra, B.; Sugiyama, N. Planck 2015 constraints on spatially-flat dynamical dark energy models. Astrophys. Space Sci. 2019, 364, 176. [Google Scholar] [CrossRef]
- Blas, D.; Lesgourgues, J.; Tram, T. The Cosmic Linear Anisotropy Solving System (CLASS). Part II: Approximation schemes. JCAP 2011, 2011, 34. [Google Scholar] [CrossRef]
- Audren, B.; Lesgourgues, J.; Benabed, K.; Prunet, S. Conservative constraints on early cosmology with MONTE PYTHON. JCAP 2013, 2013, 1. [Google Scholar] [CrossRef]
- Park, C.G.; Ratra, B. Measuring the Hubble constant and spatial curvature from supernova apparent magnitude, baryon acoustic oscillation, and Hubble parameter data. Astrophys. Space Sci. 2019, 364, 134. [Google Scholar] [CrossRef]
- Wyithe, J.S.B.; Bolton, J.S. Near-zone sizes and the rest-frame extreme ultraviolet spectral index of the highest redshift quasars. Mon. Not. R. Astron. Soc. 2011, 412, 1926. [Google Scholar] [CrossRef]
- Becker, G.D.; Bolton, J.S. New Measurements of the Ionizing Ultraviolet Background over 2 < z < 5 and Implications for Hydrogen Reionization. Mon. Not. R. Astron. Soc. 2013, 436, 1023. [Google Scholar]
- Songaila, A.; Cowie, L.L. The Evolution of Lyman Limit Absorption Systems to Redshift Six. Astrophys. J. 2010, 721, 1448–1466. [Google Scholar] [CrossRef]
- Prochaska, J.X.; O’Meara, J.M.; Worseck, G. A Definitive Survey for Lyman Limit Systems at z ~ 3.5 with the Sloan Digital Sky Survey. Astron. Astrophys. 2010, 718, 392–416. [Google Scholar] [CrossRef]
- Henning, J.W.; Sayre, J.T.; Reichardt, C.L.; Ade, P.A.R.; Anderson, A.J.; Austermann, J.E.; Beall, J.A.; Bender, A.N.; Benson, B.A.; Bleem, L.E.; et al. Measurements of the Temperature and E-mode Polarization of the CMB from 500 Square Degrees of SPTpol Data. Astron. Astrophys. 2018, 852, 97. [Google Scholar] [CrossRef]
- Park, C.G.; Ratra, B. Using SPT polarization, Planck 2015, and non-CMB data to constrain tilted spatially-flat and untilted nonflat ΛCDM, XCDM, and ϕCDM dark energy inflation cosmologies. Phys. Rev. D 2020, 101, 083508. [Google Scholar] [CrossRef]
- Chen, L.; Huang, Q.G.; Wang, K. Distance priors from Planck final release. J. Cosmol. Astropart. Phys. 2019, 2019, 28. [Google Scholar] [CrossRef]
- Nesseris, S.; Pantazis, G.; Perivolaropoulos, L. Tension and constraints on modified gravity parametrizations of Geff(z) from growth rate and Planck data. Phys. Rev. D 2017, 96, 023542. [Google Scholar] [CrossRef]
- Pavlov, A.; Samushia, L.; Ratra, B. Forecasting cosmological parameter constraints from near-future space-based galaxy surveys. Astrophys. J. 2012, 760, 19. [Google Scholar] [CrossRef][Green Version]
- Orsi, A.; Baugh, C.; Lacey, C.; Cimatti, A.; Wang, Y.; Zamorani, G. Probing dark energy with future redshift surveys: A comparison of emission line and broad-band selection in the near-infrared. Mon. Not. R. Astron. Soc. 2010, 405, 1006–1024. [Google Scholar] [CrossRef][Green Version]
- Geach, J.E.; Cimatti, A.; Percival, W.; Wang, Y.; Guzzo, L.; Zamorani, G.; Rosati, P.; Pozzetti, L.; Orsi, A.; Baugh, C.M.; et al. Empirical Hα emitter count predictions for dark energy surveys. Mon. Not. R. Astron. Soc. 2010, 402, 1330–1338. [Google Scholar] [CrossRef]
- Percival, W.J.; Schaefer, B.M. Galaxy peculiar velocities and evolution-bias. Mon. Not. R. Astron. Soc. 2008, 385, 78. [Google Scholar] [CrossRef][Green Version]
- Guzzo, L.; Pierleoni, M.; Meneux, B.; Branchini, E.; Le Fèvre, O.; Marinoni, C.; Garilli, B.; Blaizot, J.; De Lucia, G.; Pollo, A.; et al. A test of the nature of cosmic acceleration using galaxy redshift distortions. Nature 2008, 451, 541–544. [Google Scholar] [CrossRef]
- Blake, C.; Davis, T.; Poole, G.B.; Parkinson, D.; Brough, S.; Colless, M.; Contreras, C.; Couch, W.; Croom, S.; Drinkwater, M.J.; et al. The WiggleZ Dark Energy Survey: Testing the cosmological model with baryon acoustic oscillations at z = 0.6. Mon. Not. R. Astron. Soc. 2011, 415, 2892–2909. [Google Scholar] [CrossRef]
- Blake, C.; Brough, S.; Colless, M.; Contreras, C.; Couch, W.; Croom, S.; Davis, T.; Drinkwater, M.J.; Forster, K.; Gilbank, D.; et al. The WiggleZ Dark Energy Survey: The growth rate of cosmic structure since redshift z = 0.9. Mon. Not. R. Astron. Soc. 2011, 415, 2876–2891. [Google Scholar] [CrossRef]
- Reid, B.A.; Samushia, L.; White, M.; Percival, W.J.; Manera, M.; Padmanabhan, N.; Ross, A.J.; Sánchez, A.G.; Bailey, S.; Bizyaev, D.; et al. The clustering of galaxies in the SDSS-III Baryon Oscillation Spectroscopic Survey: Measurements of the growth of structure and expansion rate at z = 0.57 from anisotropic clustering. Mon. Not. R. Astron. Soc. 2012, 426, 2719–2737. [Google Scholar] [CrossRef]
- Anderson, L.; Aubourg, E.; Bailey, S.; Bizyaev, D.; Blanton, M.; Bolton, A.S.; Brinkmann, J.; Brownstein, J.R.; Burden, A.; Cuesta, A.J.; et al. The clustering of galaxies in the SDSS-III Baryon Oscillation Spectroscopic Survey: Baryon acoustic oscillations in the Data Release 9 spectroscopic galaxy sample. Mon. Not. R. Astron. Soc. 2012, 427, 3435–3467. [Google Scholar] [CrossRef]
- Pavlov, A.; Farooq, O.; Ratra, B. Cosmological constraints from large-scale structure growth rate measurements. Phys. Rev. D 2014, 90, 023006. [Google Scholar] [CrossRef]
- Samushia, L.; Percival, W.J.; Raccanelli, A. Interpreting large-scale redshift-space distortion measurements. Mon. Not. R. Astron. Soc. 2012, 420, 2102–2119. [Google Scholar] [CrossRef]
- Avsajanishvili, O.; Arkhipova, N.A.; Samushia, L.; Kahniashvili, T. Growth Rate in the Dynamical Dark Energy Models. Eur. Phys. J. 2014, C74, 3127. [Google Scholar] [CrossRef][Green Version]
- Gupta, G.; Sen, S.; Sen, A.A. GCG Parametrization for Growth Function and Current Constraints. JCAP 2012, 1204, 28. [Google Scholar] [CrossRef]
- Giostri, R.; Vargas dos Santos, M.; Waga, I.; Reis, R.R.R.; Calvão, M.O.; Lago, B.L. From cosmic deceleration to acceleration: New constraints from SN Ia and BAO/CMB. JCAP 2012, 3, 27. [Google Scholar] [CrossRef]
- Avsajanishvili, O.; Huang, Y.; Samushia, L.; Kahniashvili, T. The observational constraints on the flat ϕCDM models. Eur. Phys. J. 2018, C78, 773. [Google Scholar] [CrossRef]
- Sola Peracaula, J.; Gomez-Valent, A.; de Cruz Pérez, J. Signs of Dynamical Dark Energy in Current Observations. Phys. Dark Univ. 2019, 25, 100311. [Google Scholar] [CrossRef]
- Gil-Marín, H.; Percival, W.J.; Verde, L.; Brownstein, J.R.; Chuang, C.H.; Kitaura, F.S.; Rodríguez-Torres, S.A.; Olmstead, M.D. The clustering of galaxies in the SDSS-III Baryon Oscillation Spectroscopic Survey: RSD measurement from the power spectrum and bispectrum of the DR12 BOSS galaxies. Mon. Not. R. Astron. Soc. 2017, 465, 1757–1788. [Google Scholar] [CrossRef]
- Gil-Marín, H.; Guy, J.; Zarrouk, P.; Burtin, E.; Chuang, C.H.; Percival, W.J.; Ross, A.J.; Ruggeri, R.; Tojerio, R.; Zhao, G.B.; et al. The clustering of the SDSS-IV extended Baryon Oscillation Spectroscopic Survey DR14 quasar sample: Structure growth rate measurement from the anisotropic quasar power spectrum in the redshift range 0.8 < z < 2.2. Mon. Not. R. Astron. Soc. 2018, 477, 1604–1638. [Google Scholar]
- Mohammad, F.G.; Bianchi, D.; Percival, W.J.; de la Torre, S.; Guzzo, L.; Granett, B.R.; Branchini, E.; Bolzonella, M.; Garilli, B.; Scodeggio, M.; et al. The VIMOS Public Extragalactic Redshift Survey (VIPERS). Unbiased clustering estimate with VIPERS slit assignment. Astron. Astrophys. 2018, 619, A17. [Google Scholar] [CrossRef]
- Hildebrandt, H.; Viola, M.; Heymans, C.; Joudaki, S.; Kuijken, K.; Blake, C.; Erben, T.; Joachimi, B.; Klaes, D.; Miller, L.; et al. KiDS-450: Cosmological parameter constraints from tomographic weak gravitational lensing. Mon. Not. R. Astron. Soc. 2017, 465, 1454–1498. [Google Scholar] [CrossRef]
- Park, C.G.; Ratra, B. Observational constraints on the tilted flat-XCDM and the untilted nonflat XCDM dynamical dark energy inflation parameterizations. Astrophys. Space Sci. 2019, 364, 82. [Google Scholar] [CrossRef]
- Samushia, L.; Ratra, B. Constraints on dark energy from baryon acoustic peak and galaxy cluster gas mass measurements. Astrophys. J. 2009, 703, 1904–1910. [Google Scholar] [CrossRef][Green Version]
- Samushia, L.; Dev, A.; Jain, D.; Ratra, B. Constraints on dark energy from the lookback time versus redshift test. Phys. Lett. B 2010, 693, 509–514. [Google Scholar] [CrossRef]
- Capozziello, S.; Cardone, V.F.; Funaro, M.; Andreon, S. Constraining dark energy models using the lookback time to galaxy clusters and the age of the Universe. Phys. Rev. D 2004, 70, 123501. [Google Scholar] [CrossRef]
- Ooba, J.; Ratra, B.; Sugiyama, N. Planck 2015 Constraints on the Nonflat ϕCDM Inflation Model. Astrophys. J. 2018, 866, 68. [Google Scholar] [CrossRef]
- Ryan, J.; Doshi, S.; Ratra, B. Constraints on dark energy dynamics and spatial curvature from Hubble parameter and baryon acoustic oscillation data. Mon. Not. R. Astron. Soc. 2018, 480, 759–767. [Google Scholar] [CrossRef]
- Chudaykin, A.; Ivanov, M.M.; Simonović, M. Optimizing large-scale structure data analysis with the theoretical error likelihood. Phys. Rev. D 2021, 103, 043525. [Google Scholar] [CrossRef]
- Nunes, R.C.; Yadav, S.K.; Jesus, J.F.; Bernui, A. Cosmological parameter analyses using transversal BAO data. Mon. Not. R. Astron. Soc. 2020, 497, 2133–2141. [Google Scholar] [CrossRef]
- de Carvalho, E.; Bernui, A.; Avila, F.; Novaes, C.P.; Nogueira-Cavalcante, J.P. BAO angular scale at zeff = 0.11 with the SDSS blue galaxies. Astron. Astrophys. 2021, 649, A20. [Google Scholar] [CrossRef]
- Samushia, L.; Ratra, B. Cosmological Constraints from Hubble Parameter versus Redshift Data. Astrophys. J. Lett. 2006, 650, L5–L8. [Google Scholar] [CrossRef][Green Version]
- Chen, G.; Ratra, B. Constraints on scalar-field dark energy from galaxy cluster gas mass fraction versus redshift. Astrophys. J. Lett. 2004, 612, L1–L4. [Google Scholar] [CrossRef]
- Wilson, K.M.; Chen, G.; Ratra, B. Supernova ia and galaxy cluster gas mass fraction constraints on dark energy. Mod. Phys. Lett. A 2006, 21, 2197–2204. [Google Scholar] [CrossRef]
- Chen, G.; Ratra, B. Median statistics and the Hubble constant. Publ. Astron. Soc. Pac. 2011, 123, 1127–1132. [Google Scholar] [CrossRef]
- Farooq, O.; Mania, D.; Ratra, B. Hubble parameter measurement constraints on dark energy. Astrophys. J. 2013, 764, 138. [Google Scholar] [CrossRef]
- Farooq, O.; Ratra, B. Constraints on dark energy from the Lyα forest baryon acoustic oscillations measurement of the redshift 2.3 Hubble parameter. Phys. Lett. B 2013, 723, 1–6. [Google Scholar] [CrossRef]
- Busca, N.G.; Delubac, T.; Rich, J.; Bailey, S.; Font-Ribera, A.; Kirkby, D.; Le Goff, J.M.; Pieri, M.M.; Slosar, A.; Aubourg, É.; et al. Baryon acoustic oscillations in the Lyα forest of BOSS quasars. Astron. Astrophys. 2013, 552, A96. [Google Scholar] [CrossRef]
- Farooq, O.; Ratra, B. Hubble parameter measurement constraints on the cosmological deceleration-acceleration transition redshift. Astrophys. J. Lett. 2013, 766, L7. [Google Scholar] [CrossRef]
- Chen, Y.; Kumar, S.; Ratra, B. Determining the Hubble constant from Hubble parameter measurements. Astrophys. J. 2017, 835, 86. [Google Scholar] [CrossRef]
- Chuang, C.H.; Wang, Y. Modelling the anisotropic two-point galaxy correlation function on small scales and single-probe measurements of H(z), DA(z) and f(z)σ8(z) from the Sloan Digital Sky Survey DR7 luminous red galaxies. Mon. Not. R. Astron. Soc. 2013, 435, 255–262. [Google Scholar] [CrossRef]
- Cao, S.; Biesiada, M.; Jackson, J.; Zheng, X.; Zhao, Y.; Zhu, Z.H. Measuring the speed of light with ultra-compact radio quasars. JCAP 2017, 2, 12. [Google Scholar] [CrossRef]
- Cao, S.; Zheng, X.; Biesiada, M.; Qi, J.; Chen, Y.; Zhu, Z.H. Ultra-compact structure in intermediate-luminosity radio quasars: Building a sample of standard cosmological rulers and improving the dark energy constraints up to z ~ 3. Astron. Astrophys. 2017, 606, A15. [Google Scholar] [CrossRef]
- Cao, S.; Ryan, J.; Ratra, B. Cosmological constraints from H ii starburst galaxy apparent magnitude and other cosmological measurements. Mon. Not. R. Astron. Soc. 2020, 497, 3191–3203. [Google Scholar] [CrossRef]
- Chávez, R.; Terlevich, R.; Terlevich, E.; Bresolin, F.; Melnick, J.; Plionis, M.; Basilakos, S. The L-σ relation for massive bursts of star formation. Mon. Not. R. Astron. Soc. 2014, 442, 3565–3597. [Google Scholar] [CrossRef]
- Chávez, R.; Plionis, M.; Basilakos, S.; Terlevich, R.; Terlevich, E.; Melnick, J.; Bresolin, F.; González-Morán, A.L. Constraining the dark energy equation of state with H II galaxies. Mon. Not. R. Astron. Soc. 2016, 462, 2431–2439. [Google Scholar] [CrossRef]
- Risaliti, G.; Lusso, E. A Hubble Diagram for Quasars. Astrophys. J. 2015, 815, 33. [Google Scholar] [CrossRef]
- Risaliti, G.; Lusso, E. Cosmological constraints from the Hubble diagram of quasars at high redshifts. Nature Astron. 2019, 3, 272–277. [Google Scholar] [CrossRef]
- Cao, S.; Ryan, J.; Khadka, N.; Ratra, B. Cosmological constraints from higher redshift gamma-ray burst, H ii starburst galaxy, and quasar (and other) data. Mon. Not. R. Astron. Soc. 2021, 501, 1520–1538. [Google Scholar] [CrossRef]
- Wang, J.S.; Wang, F.Y.; Cheng, K.S.; Dai, Z.G. Measuring dark energy with the Eiso − Ep correlation of gamma-ray bursts using model-independent methods. Astron. Astrophys. 2016, 585, A68. [Google Scholar] [CrossRef]
- Dirirsa, F.F.; Razzaque, S.; Piron, F.; Arimoto, M.; Axelsson, M.; Kocevski, D.; Longo, F.; Ohno, M.; Zhu, S. Spectral analysis of Fermi-LAT gamma-ray bursts with known redshift and their potential use as cosmological standard candles. Astrophys. J. 2019, 887, 13. [Google Scholar] [CrossRef]
- González-Morán, A.L.; Chávez, R.; Terlevich, R.; Terlevich, E.; Bresolin, F.; Fernández-Arenas, D.; Plionis, M.; Basilakos, S.; Melnick, J.; Telles, E. Independent cosmological constraints from high-z H II galaxies. Mon. Not. R. Astron. Soc. 2019, 487, 4669–4694. [Google Scholar] [CrossRef]
- Lusso, E.; Risaliti, G.; Nardini, E.; Bargiacchi, G.; Benetti, M.; Bisogni, S.; Capozziello, S.; Civano, F.; Eggleston, L.; Elvis, M.; et al. Quasars as standard candles. III. Validation of a new sample for cosmological studies. Astron. Astrophys. 2020, 642, A150. [Google Scholar] [CrossRef]
- Abbott, T.M.C.; Allam, S.; Andersen, P.; Angus, C.; Asorey, J.; Avelino, A.; Avila, S.; Bassett, B.A.; Bechtol, K.; Bernstein, G.M.; et al. First Cosmology Results using Type Ia Supernovae from the Dark Energy Survey: Constraints on Cosmological Parameters. Astrophys. J. 2019, 872, L30. [Google Scholar] [CrossRef]
- Brout, D.; Scolnic, D.; Kessler, R.; D’Andrea, C.B.; Davis, T.M.; Gupta, R.R.; Hinton, S.R.; Kim, A.G.; Lasker, J.; Lidman, C.; et al. First Cosmology Results Using SNe Ia from the Dark Energy Survey: Analysis, Systematic Uncertainties, and Validation. Astron. Astrophys. 2019, 874, 150. [Google Scholar] [CrossRef]
- Homayouni, Y.; Trump, J.R.; Grier, C.J.; Horne, K.; Shen, Y.; Brandt, W.N.; Dawson, K.S.; Alvarez, G.F.; Green, P.J.; Hall, P.B.; et al. The Sloan Digital Sky Survey Reverberation Mapping Project: Mg II Lag Results from Four Years of Monitoring. Astron. Astrophys. 2020, 901, 55. [Google Scholar] [CrossRef]
- Yu, Z.; Martini, P.; Penton, A.; Davis, T.M.; Malik, U.; Lidman, C.; Tucker, B.E.; Sharp, R.; Kochanek, C.S.; Peterson, B.M.; et al. OzDES Reverberation Mapping Programme: The first Mg II lags from 5 yr of monitoring. Mon. Not. R. Astron. Soc. 2021, 507, 3771–3788. [Google Scholar] [CrossRef]
- Martínez-Aldama, M.L.; Czerny, B.; Kawka, D.; Karas, V.; Panda, S.; Zajaček, M.; Życki, P.T. Can Reverberation-measured Quasars Be Used for Cosmology? Astron. Astrophys. 2019, 883, 170. [Google Scholar] [CrossRef]
- Khadka, N.; Zajaček, M.; Panda, S.; Martínez-Aldama, M.L.; Ratra, B. Consistency study of high- and low-accreting Mg ii quasars: No significant effect of the Fe ii to Mg ii flux ratio on the radius–luminosity relation dispersion. Mon. Not. R. Astron. Soc. 2022, 515, 3729–3748. [Google Scholar] [CrossRef]
- Martínez-Aldama, M.L.; Zajaček, M.; Czerny, B.; Panda, S. Scatter Analysis along the Multidimensional Radius-Luminosity Relations for Reverberation-mapped Mg II Sources. Astron. Astrophys. 2020, 903, 86. [Google Scholar] [CrossRef]
- Zajaček, M.; Czerny, B.; Martinez-Aldama, M.L.; Rałowski, M.; Olejak, A.; Przyłuski, R.; Panda, S.; Hryniewicz, K.; Śniegowska, M.; Naddaf, M.H.; et al. Time Delay of Mg II Emission Response for the Luminous Quasar HE 0435-4312: Toward Application of the High-accretor Radius-Luminosity Relation in Cosmology. Astron. Astrophys. 2021, 912, 10. [Google Scholar] [CrossRef]
- Samushia, L.; Ratra, B. Constraining dark energy with gamma-ray bursts. Astrophys. J. 2010, 714, 1347–1354. [Google Scholar] [CrossRef][Green Version]
- Kowalski, M.; Rubin, D.; Aldering, G.; Agostinho, R.J.; Amadon, A.; Amanullah, R.; Balland, C.; Barbary, K.; Blanc, G.; Challis, P.J.; et al. Improved Cosmological Constraints from New, Old, and Combined Supernova Data Sets. Astron. Astrophys. 2008, 686, 749–778. [Google Scholar] [CrossRef]
- Schaefer, B.E. The Hubble Diagram to Redshift >6 from 69 Gamma-Ray Bursts. Astrophys. J. 2007, 660, 16–46. [Google Scholar] [CrossRef]
- Wang, Y. Model-Independent Distance Measurements from Gamma-Ray Bursts and Constraints on Dark Energy. Phys. Rev. D 2008, 78, 123532. [Google Scholar] [CrossRef]
- Khadka, N.; Ratra, B. Constraints on cosmological parameters from gamma-ray burst peak photon energy and bolometric fluence measurements and other data. Mon. Not. R. Astron. Soc. 2020, 499, 391–403. [Google Scholar] [CrossRef]
- Amati, L.; Frontera, F.; Tavani, M.; in’t Zand, J.J.M.; Antonelli, A.; Costa, E.; Feroci, M.; Guidorzi, C.; Heise, J.; Masetti, N.; et al. Intrinsic spectra and energetics of BeppoSAX Gamma-Ray Bursts with known redshifts. Astron. Astrophys. 2002, 390, 81–89. [Google Scholar] [CrossRef]
- Khadka, N.; Luongo, O.; Muccino, M.; Ratra, B. Do gamma-ray burst measurements provide a useful test of cosmological models? JCAP 2021, 9, 42. [Google Scholar] [CrossRef]
- Fenimore, E.E.; Ramirez-Ruiz, E. Redshifts for 220 BATSE gamma-ray bursts determined by variability and the cosmological consequences. arXiv 2017, arXiv:astro-ph/0004176. [Google Scholar]
- Hu, J.P.; Wang, F.Y.; Dai, Z.G. Measuring cosmological parameters with a luminosity-time correlation of gamma-ray bursts. Mon. Not. R. Astron. Soc. 2021, 507, 730–742. [Google Scholar] [CrossRef]
- Wang, F.Y.; Hu, J.P.; Zhang, G.Q.; Dai, Z.G. Standardized Long Gamma-Ray Bursts as a Cosmic Distance Indicator. Astrophys. J. 2022, 924, 97. [Google Scholar] [CrossRef]
- Dainotti, M.G.; Cardone, V.F.; Capozziello, S. A time-luminosity correlation for Gamma Ray Bursts in the X-rays. Mon. Not. R. Astron. Soc. 2008, 391, 79. [Google Scholar] [CrossRef]
- Dainotti, M.G.; Willingale, R.; Capozziello, S.; Fabrizio Cardone, V.; Ostrowski, M. Discovery of a Tight Correlation for Gamma-ray Burst Afterglows with “Canonical” Light Curves. Astrophys. J. 2010, 722, L215–L219. [Google Scholar] [CrossRef]
- Dainotti, M.G.; Lenart, A.; Sarracino, G.; Nagataki, S.; Capozziello, S.; Fraija, N. The X-ray fundamental plane of the Platinum Sample, the Kilonovae and the SNe Ib/c associated with GRBs. Astrophys. J. 2020, 904, 97. [Google Scholar] [CrossRef]
- Dainotti, M.G.; Nagataki, S.; Maeda, K.; Postnikov, S.; Pian, E. A study of gamma ray bursts with afterglow plateau phases associated with supernovae. Astron. Astrophys. 2017, 600, A98. [Google Scholar] [CrossRef]
- Dainotti, M.G.; Lenart, A.L.; Fraija, N.; Nagataki, S.; Warren, D.C.; De Simone, B.; Srinivasaragavan, G.; Mata, A. Closure relations during the plateau emission of Swift GRBs and the fundamental plane. Publ. Astron. Soc. Jap. 2021, 73, 970–1000. [Google Scholar] [CrossRef]
- Dainotti, M.G.; Omodei, N.; Srinivasaragavan, G.P.; Vianello, G.; Willingale, R.; O’Brien, P.; Nagataki, S.; Petrosian, V.; Nuygen, Z.; Hernandez, X.; et al. On the Existence of the Plateau Emission in High-energy Gamma-Ray Burst Light Curves Observed by Fermi-LAT. Astrophys. J. Suppl. 2021, 255, 13. [Google Scholar] [CrossRef]
- Mania, D.; Ratra, B. Constraints on dark energy from H II starburst galaxy apparent magnitude versus redshift data. Phys. Lett. B 2012, 715, 9–14. [Google Scholar] [CrossRef]
- Siegel, E.R.; Guzman, R.; Gallego, J.P.; Orduna Lopez, M.; Rodriguez Hidalgo, P. Towards a precision cosmology from starburst galaxies at z > 2. Mon. Not. R. Astron. Soc. 2005, 356, 1117–1122. [Google Scholar] [CrossRef]
- Cao, S.; Ryan, J.; Ratra, B. Cosmological constraints from H ii starburst galaxy, quasar angular size, and other measurements. Mon. Not. R. Astron. Soc. 2022, 509, 4745–4757. [Google Scholar] [CrossRef]
- González-Morán, A.L.; Chávez, R.; Terlevich, E.; Terlevich, R.; Fernández-Arenas, D.; Bresolin, F.; Plionis, M.; Melnick, J.; Basilakos, S.; Telles, E. Independent cosmological constraints from high-z H II galaxies: New results from VLT-KMOS data. Mon. Not. R. Astron. Soc. 2021, 505, 1441–1457. [Google Scholar] [CrossRef]
- Allen, S.W.; Schmidt, R.W.; Ebeling, H.; Fabian, A.C.; van Speybroeck, L. Constraints on dark energy from Chandra observations of the largest relaxed galaxy clusters. Mon. Not. R. Astron. Soc. 2004, 353, 457. [Google Scholar] [CrossRef]
- Waga, I.; Frieman, J.A. New constraints from high redshift supernovae and lensing statistics upon scalar field cosmologies. Phys. Rev. D 2000, 62, 043521. [Google Scholar] [CrossRef]
- Chen, G.; Ratra, B. Cosmological constraints from compact radio source angular size versus redshift data. Astrophys. J. 2003, 582, 586–589. [Google Scholar] [CrossRef][Green Version]
- Podariu, S.; Daly, R.A.; Mory, M.P.; Ratra, B. Radio galaxy redshift-angular size data constraints on dark energy. Astrophys. J. 2003, 584, 577–579. [Google Scholar] [CrossRef]
- Chae, K.H.; Chen, G.; Ratra, B.; Lee, D.W. Constraints on scalar—Field dark energy from the Cosmic Lens All—Sky Survey gravitational lens statistics. Astrophys. J. Lett. 2004, 607, L71–L74. [Google Scholar] [CrossRef][Green Version]
- Campanelli, L.; Fogli, G.L.; Kahniashvili, T.; Marrone, A.; Ratra, B. Galaxy cluster number count data constraints on cosmological parameters. Eur. Phys. J. C 2012, 72, 2218. [Google Scholar] [CrossRef][Green Version]
- Chen, Y.; Ratra, B. Galaxy cluster angular size data constraints on dark energy. Astron. Astrophys. 2012, 543, A104. [Google Scholar] [CrossRef]
- Bonamente, M.; Joy, M.K.; La Roque, S.J.; Carlstrom, J.E.; Reese, E.D.; Dawson, K.S. Determination of the Cosmic Distance Scale from Sunyaev-Zel’dovich Effect and Chandra X-ray Measurements of High Redshift Galaxy Clusters. Astrophys. J. 2006, 647, 25–54. [Google Scholar] [CrossRef]
- Maoz, D.; Bahcall, J.N.; Schneider, D.P.; Bahcall, N.A.; Djorgovski, S.; Doxsey, R.; Gould, A.; Kirhakos, S.; Meylan, G.; Yanny, B. The Hubble space telescope snapshot survey. 4. A Summary of the search for gravitationally lensed quasars. Astrophys. J. 1993, 409, 28–41. [Google Scholar] [CrossRef]
- Falco, E.E. HST observations of gravitational lens systems. In Gravitational Lenses in the Universe, Proceedings of the 31st Liège International Astrophysical Colloquium, Liège, Belgium, 21–25 June 1993; Surdej, J., Fraipont-Caro, D., Gosset, E., Refsdal, S., Remy, M., Eds.; Universite de Liege, Institut d’Astrophysique: Liège, Belgium, 1993. [Google Scholar]
- Crampton, D.; Morbey, C.L.; Le Fevre, O.; Hammer, F.; Tresse, L.; Lilly, S.J.; Schade, D.J. Surveys for Z > 1 field galaxies. arXiv 1994, arXiv:astro-ph/9410041. [Google Scholar]
- Kochanek, C.S.; Falco, E.E.; Schild, R. The FKS gravitational lens survey. Astrophys. J. 1995, 452, 109–139. [Google Scholar] [CrossRef][Green Version]
- Jaunsen, A.O.; Jablonski, M.; Pettersen, B.R.; Stabell, R. The not gl survey for multiply imaged quasars. Astron. Astrophys. 1995, 300, 323. [Google Scholar]
- Riess, A.G.; Press, W.H.; Kirshner, R.P. A Precise distance indicator: Type Ia supernova multicolor light curve shapes. Astrophys. J. 1996, 473, 88. [Google Scholar] [CrossRef]
- Garnavich, P.M.; Jha, S.; Challis, P.; Clocchiatti, A.; Diercks, A.; Filippenko, A.V.; Gilliland, R.L.; Hogan, C.J.; Kirshner, R.P.; Leibundgut, B.; et al. Supernova Limits on the Cosmic Equation of State. Astron. Astrophys. 1998, 509, 74–79. [Google Scholar] [CrossRef]
- Myers, S.T.; Jackson, N.J.; Browne, I.W.A.; de Bruyn, A.G.; Pearson, T.J.; Readhead, A.C.S.; Wilkinson, P.N.; Biggs, A.D.; Blandford, R.D.; Fassnacht, C.D.; et al. The Cosmic Lens All-Sky Survey—I.Source selection and observations. Mon. Not. R. Astron. Soc. 2003, 341, 1–12. [Google Scholar] [CrossRef]
- Browne, I.W.A.; Wilkinson, P.N.; Jackson, N.J.F.; Myers, S.T.; Fassnacht, C.D.; Koopmans, L.V.E.; Marlow, D.R.; Norbury, M.; Rusin, D.; Sykes, C.M.; et al. The Cosmic Lens All-Sky Survey—II. Gravitational lens candidate selection and follow-up. Mon. Not. R. Astron. Soc. 2003, 341, 13–32. [Google Scholar] [CrossRef]
- Gurvits, L.I.; Kellermann, K.I.; Frey, S. The “angular size-redshift” relation for compact radio structures in quasars and radio galaxies. Astron. Astrophys. 1999, 342, 378. [Google Scholar]
- Atteia, J.L.; Cordier, B.; Wei, J. The SVOM mission. Int. J. Mod. Phys. D 2022, 31, 2230008. [Google Scholar] [CrossRef]
- Amati, L.; O’Brien, P.T.; Götz, D.; Bozzo, E.; Santangelo, A.; Tanvir, N.; Frontera, F.; Mereghetti, S.; Osborne, J.P.; Blain, A.; et al. The THESEUS space mission: Science goals, requirements and mission concept. Exp. Astron. 2021, 52, 183–218. [Google Scholar] [CrossRef]
- Fardon, R.; Nelson, A.E.; Weiner, N. Dark energy from mass varying neutrinos. JCAP 2004, 10, 5. [Google Scholar] [CrossRef]
- Peccei, R.D. Neutrino models of dark energy. Phys. Rev. 2005, D71. [Google Scholar] [CrossRef]
- Chitov, G.Y. Quintessence, Neutrino Masses and Unification of the Dark Sector. arXiv 2013, arXiv:1112.4798. [Google Scholar] [CrossRef]
- Asaka, T.; Shaposhnikov, M. The νMSM, dark matter and baryon asymmetry of the universe. Phys. Lett. B 2005, 620, 17–26. [Google Scholar] [CrossRef]
- Asaka, T.; Blanchet, S.; Shaposhnikov, M. The nuMSM, dark matter and neutrino masses. Phys. Lett. B 2005, 631, 151–156. [Google Scholar] [CrossRef]
- Bezrukov, F.; Shaposhnikov, M. The Standard Model Higgs boson as the inflaton. Phys. Lett. B 2008, 659, 703–706. [Google Scholar] [CrossRef]
- Shaposhnikov, M.; Tkachev, I. The νMSM, inflation, and dark matter. Phys. Lett. B 2006, 639, 414–417. [Google Scholar] [CrossRef]
- Dimopoulos, K.; Valle, J.W.F. Modeling quintessential inflation. Astropart. Phys. 2002, 18, 287–306. [Google Scholar] [CrossRef]









































































| Name | Form | Reference |
|---|---|---|
| Ratra-Peebles | ; | Ratra and Peebles [126] |
| () | ||
| Exponential | ; | Wetterich [127], Ratra and Peebles [125], |
| () | Lucchin and Matarrese [168], Ferreira and Joyce [224] | |
| Zlatev-Wang-Steinhardt | Zlatev et al. [147] | |
| Sugra | ; | Brax and Martin [225] |
| () | ||
| Sahni-Wang | ; | Sahni and Wang [226] |
| (, ) | ||
| Barreiro-Copeland-Nunes | ; | Barreiro et al. [227] |
| (, ) | ||
| Albrecht-Skordis | ; | Albrecht and Skordis [228] |
| (A, , ) | ||
| Urẽna-López-Matos | ; | Urena-Lopez and Matos [229] |
| (, ) | ||
| Inverse exponent potential | Caldwell and Linder [135] | |
| Chang-Scherrer | ; | Chang and Scherrer (2016) [230] |
| () |
| Name | Form | Reference |
|---|---|---|
| Fifth power | Scherrer and Sen [140] | |
| Inverse square power | Scherrer and Sen [140] | |
| Exponent | ; () | Scherrer and Sen [140] |
| Quadratic | Dutta and Scherrer [141] | |
| Gaussian | ; () | Dutta and Scherrer [141] |
| Pseudo-Nambu–Goldstone boson (pNGb) | ; () | Frieman et al. [231] |
| Inverse hyperbolic cosine | ; () | Dutta and Scherrer [141] |
Disclaimer/Publisher’s Note: The statements, opinions and data contained in all publications are solely those of the individual author(s) and contributor(s) and not of MDPI and/or the editor(s). MDPI and/or the editor(s) disclaim responsibility for any injury to people or property resulting from any ideas, methods, instructions or products referred to in the content. |
© 2024 by the authors. Licensee MDPI, Basel, Switzerland. This article is an open access article distributed under the terms and conditions of the Creative Commons Attribution (CC BY) license (https://creativecommons.org/licenses/by/4.0/).
Share and Cite
Avsajanishvili, O.; Chitov, G.Y.; Kahniashvili, T.; Mandal, S.; Samushia, L. Observational Constraints on Dynamical Dark Energy Models. Universe 2024, 10, 122. https://doi.org/10.3390/universe10030122
Avsajanishvili O, Chitov GY, Kahniashvili T, Mandal S, Samushia L. Observational Constraints on Dynamical Dark Energy Models. Universe. 2024; 10(3):122. https://doi.org/10.3390/universe10030122
Chicago/Turabian StyleAvsajanishvili, Olga, Gennady Y. Chitov, Tina Kahniashvili, Sayan Mandal, and Lado Samushia. 2024. "Observational Constraints on Dynamical Dark Energy Models" Universe 10, no. 3: 122. https://doi.org/10.3390/universe10030122
APA StyleAvsajanishvili, O., Chitov, G. Y., Kahniashvili, T., Mandal, S., & Samushia, L. (2024). Observational Constraints on Dynamical Dark Energy Models. Universe, 10(3), 122. https://doi.org/10.3390/universe10030122

