A Multi-Channel Electromyography, Electrocardiography and Inertial Wireless Sensor Module Using Bluetooth Low-Energy
Abstract
1. Introduction
2. Related Work
3. Hardware and System Description
3.1. Circuit Implementation
- Microcontroller with integrated wireless transceiver. Using the versatile nRF52840 System-on-Chip (SoC) by Nordic Semiconductor, programmed to use the BLE radio protocol stack, it offers the needed wireless connectivity together with wired (USB) connectivity for battery charging, simplified and secure pairing, etc.
- Biopotential analog front-end. Based on the Texas Instruments’ ADS1293 highly integrated front-end (FE), which includes configurable digital filters, instrumentation amplifiers and ADCs, augmented with an external biasing network suited for both EMG and ECG signal acquisition through either DC or AC-coupled electrodes.
- Inertial platform. Made with the ultra-low-power LSM6DSO digital accelerometer and gyroscope by ST Microelectronics, it features an always-on accelerometer used to wake up the system when motion is detected, and is used to stream 6-axes motion data when the system is operational.
- Power supply. It consists of a lithium-polymer battery charger and a bunch of linear and switching regulators to provide power to the different subsystems only when actually needed, and designed to maximize energy efficiency.
3.2. System Operational Modes
- OFF: This is the lowest power state, with the system completely disabled, meant to be used for long-term storage, with a current drain comparable or lower than the battery self-discharge rate. It is entered upon request from the host, or when a low-battery condition is detected. It can only be exited by attaching the device to the battery charger. In this state, the CPU and accelerometer are programmed in the power-down state for lowest current consumption. The EMG front-end is not powered at all.
- IDLE: This is entered after a period of inactivity, i.e., after advertising for a long time without any BLE central requesting a connection. In this state the accelerometer is kept active in an ultra-low-power state and a low () sampling rate. When it detects a change in the acceleration measured on any of its three axes (e.g., when the sensor is rotated around an axis not parallel to gravity, or it is slightly shaked), it resets the CPU and moves the system to the advertising state. The EMG front-end is not powered at all as in the OFF state.
- ADVERTISING: This state is entered after a wake-up from IDLE, a reset from OFF, or after the host disconnects the BLE link. In this state the accelerometer is kept as in IDLE to prevent the advertising from timing out if there is movement, as is the EMG front-end, still unpowered. The CPU is timed from an external LFXO to reduce power consumption with respect to the internal RC oscillator.
- CONNECTED: Entered when a BLE central establishes a connection. In this state the hosts can control most of the functions of the sensor. By default, only the battery monitor is enabled, the LSM6DSO is powered down, while the ADS1293, which has a relatively long start-up time due to the high-value biasing resistors, is powered on and kept in stand-by awaiting for the host to request data streaming. The CPU is still timed by the LFXO.
- STREAMING: Entered when the host enables notifications for a specific service. In this state the requested data source is enabled at the prescribed data rate, and the uncompressed data stream is sent over the BLE link. For accurate data timestamping, the high-frequency crystal oscillator (HFXO) is kept active at all times and not only during radio activity as is done in the previous two states. This results in a slightly higher current consumption but it is necessary to ensure proper data synchronization.
4. Data Communication and Processing
4.1. Protocol Description
4.2. Receiver-Side Processing
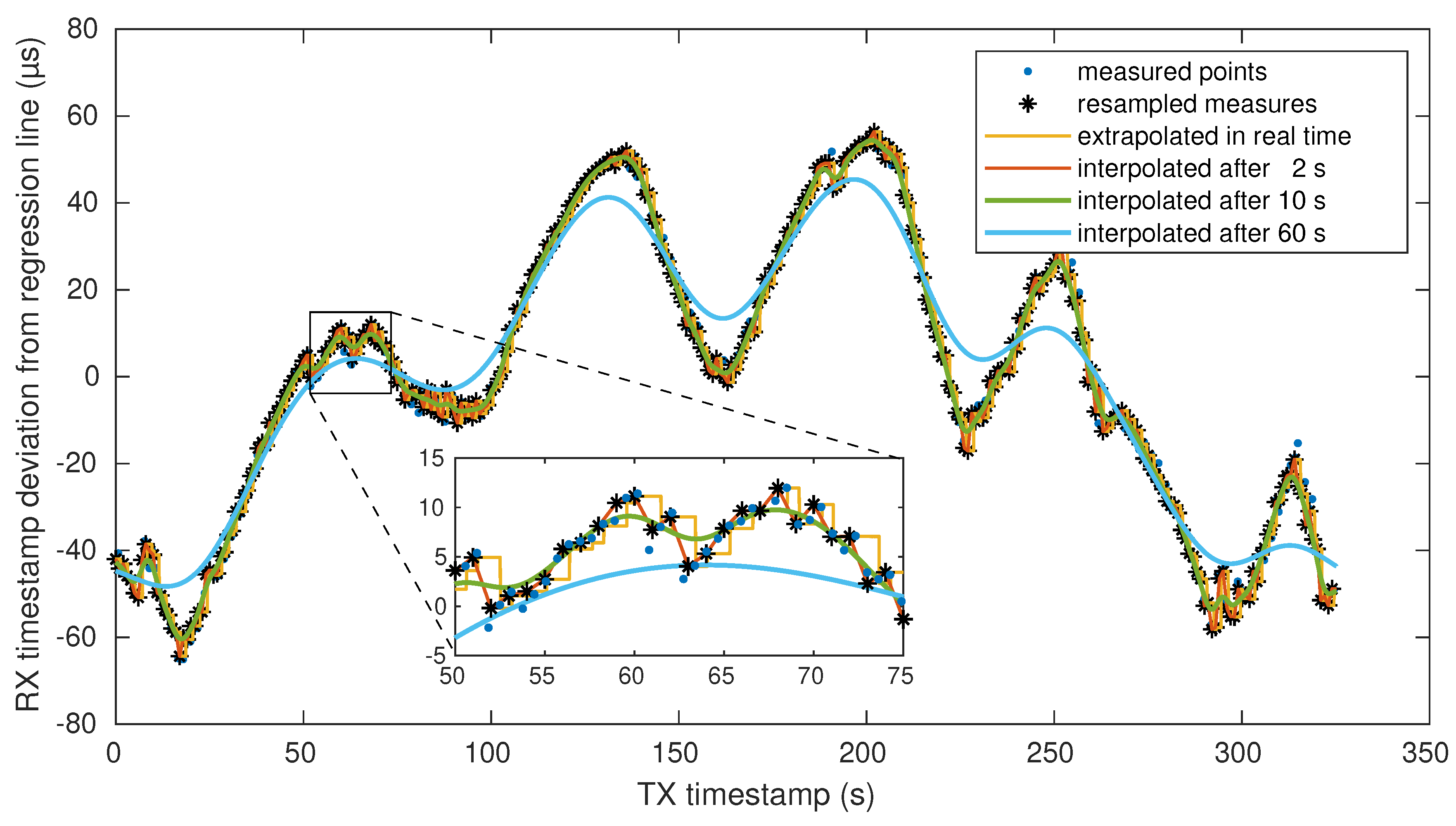
4.3. Clock Synchronization
5. Results
5.1. Frequency Response
5.2. Noise Floor
5.3. Latency and Synchronization
5.4. Current Consumption
5.5. Real-Life Example
6. Conclusions
Author Contributions
Funding
Conflicts of Interest
References
- Liu, S.; Liu, X.; Jiang, Y.; Wang, X.; Huang, P.; Wang, H.; Zhu, M.; Tan, J.; Li, P.; Lin, C.; et al. Flexible Non-contact Electrodes for Bioelectrical Signal Monitoring. In Proceedings of the 40th Annual International Conference IEEE Engineering in Medicine and Biology Society (EMBC), Honolulu, HI, USA, 18–21 July 2018; pp. 4305–4308. [Google Scholar]
- Magno, M.; Benini, L.; Spagnol, C.; Popovici, E. Wearable low power dry surface wireless sensor node for healthcare monitoring application. In Proceedings of the 2013 IEEE 9th International Conference on Wireless and Mobile Computing, Networking and Communications (WiMob), Lyon, France, 7–9 October 2013; pp. 189–195. [Google Scholar]
- McKhann, G.M.; Knopman, D.S.; Chertkow, H.; Hyman, B.T.; Jack, C.R.; Kawas, C.H.; Klunk, W.E.; Koroshetz, W.J.; Manly, J.J.; Mayeux, R.; et al. The diagnosis of dementia due to Alzheimer’s disease: Recommendations from the National Institute on Aging-Alzheimer’s Association workgroups on diagnostic guidelines for Alzheimer’s disease. Alzheimer’s Dement. 2011, 7, 263–269. [Google Scholar] [CrossRef]
- Hazzan, A.A.; Ploeg, J.; Shannon, H.; Raina, P.; Oremus, M. Association between caregiver quality of life and the care provided to persons with Alzheimer’s disease: Protocol for a systematic review. Syst. Rev. 2013, 2, 17. [Google Scholar] [CrossRef]
- Vuong, N.K.; Chan, S.; Lau, C.T.; Chan, S.Y.W.; Yap, P.L.K.; Chen, A.S.H. Preliminary results of using inertial sensors to detect dementia-related wandering patterns. In Proceedings of the 37th Annual International Conference IEEE Engineering in Medicine and Biology Society (EMBC), Milan, Italy, 25–29 August 2015; pp. 3703–3706. [Google Scholar]
- Sánchez, D.; Tentori, M.; Favela, J. Activity Recognition for the Smart Hospital. IEEE Intell. Syst. 2008, 23, 50–57. [Google Scholar] [CrossRef]
- Biagetti, G.; Crippa, P.; Falaschetti, L.; Luzzi, S.; Turchetti, C. Recognition of Daily Human Activities Using Accelerometer and sEMG Signals. In Intelligent Decision Technologies 2019; Czarnowski, I., Howlett, R.J., Jain, L.C., Eds.; Springer: Singapore, 2019; pp. 37–47. [Google Scholar]
- Ghasemzadeh, H.; Jafari, R.; Prabhakaran, B. A Body Sensor Network With Electromyogram and Inertial Sensors: Multimodal Interpretation of Muscular Activities. IEEE Trans. Inf. Technol. Biomed. 2010, 14, 198–206. [Google Scholar] [CrossRef]
- Nawab, S.H.; Roy, S.H.; Luca, C.J.D. Functional activity monitoring from wearable sensor data. In Proceedings of the 26th Annual International Conference IEEE Engineering in Medicine and Biology Society (EMBC), San Francisco, CA, USA, 1–4 September 2004; pp. 979–982. [Google Scholar]
- Spulber, I.; Georgiou, P.; Eftekhar, A.; Toumazou, C.; Duffell, L.; Bergmann, J.; McGregor, A.; Mehta, T.; Hernandez, M.; Burdett, A. Frequency analysis of wireless accelerometer and EMG sensors data: Towards discrimination of normal and asymmetric walking pattern. In Proceedings of the 2012 IEEE International Symposium on Circuits and Systems (ISCAS), Seoul, Korea, 20–23 May 2012; pp. 2645–2648. [Google Scholar]
- Roy, S.H.; Cheng, M.S.; Chang, S.S.; Moore, J.; Luca, G.D.; Nawab, S.H.; Luca, C.J.D. A Combined sEMG and Accelerometer System for Monitoring Functional Activity in Stroke. IEEE Trans. Neural Syst. Rehabil. Eng. 2009, 17, 585–594. [Google Scholar] [CrossRef] [PubMed]
- Wang, Q.; Chen, X.; Chen, R.; Chen, Y.; Zhang, X. Electromyography-Based Locomotion Pattern Recognition and Personal Positioning Toward Improved Context-Awareness Applications. IEEE Trans. Syst. Man Cybern. Syst. 2013, 43, 1216–1227. [Google Scholar] [CrossRef]
- Zhang, X.; Chen, X.; Li, Y.; Lantz, V.; Wang, K.; Yang, J. A Framework for Hand Gesture Recognition Based on Accelerometer and EMG Sensors. IEEE Trans. Syst. Man Cybern. Part A Syst. Humans 2011, 41, 1064–1076. [Google Scholar] [CrossRef]
- Tosi, J.; Taffoni, F.; Santacatterina, M.; Sannino, R.; Formica, D. Performance Evaluation of Bluetooth Low Energy: A Systematic Review. Sensors 2017, 17, 2898. [Google Scholar] [CrossRef]
- Wang, Y.Z.; Wang, Y.P.; Wu, Y.C.; Yang, C.H. A 12.6 mW, 573-2901 kS/s Reconfigurable Processor for Reconstruction of Compressively Sensed Physiological Signals. IEEE J. Solid-State Circuits 2019, 54, 2907–2916. [Google Scholar] [CrossRef]
- Tu, Y.H.; Yao, K.W.; Huang, M.H.; Lin, Y.Y.; Chi, H.Y.; Cheng, P.M.; Tsai, P.Y.; Shiue, M.T.; Liu, C.N.; Cheng, K.H.; et al. A body sensor node SoC for ECG/EMG applications with compressed sensing and wireless powering. In Proceedings of the 2017 International Symposium on VLSI Design, Automation and Test (VLSI-DAT), Hsinchu, Taiwan, 24–27 April 2017. [Google Scholar]
- Karlsson, J.S.; Wiklund, U.; Berglin, L.; Östlund, M.; Karlsson, M.; Bäcklund, T.; Lindecrantz, K.; Sandsjö, L. Wireless monitoring of heart rate and electromyographic signals using a smart T-shirt. In Proceedings of the International Workshop on Wearable Micro and Nanosystems for Personalised Health, Valencia, Spain, 21–23 May 2008. [Google Scholar]
- Dow, H.K.; Huang, I.J.; Rieger, R.; Kuo, K.C.; Guo, L.Y.; Pao, S.J. A Bio-Sensing System-on-Chip and Software for Smart Clothes. In Proceedings of the 2019 IEEE International Conference on Consumer Electronics (ICCE), Las Vegas, NV, USA, 11–13 January 2019. [Google Scholar]
- Biagetti, G.; Crippa, P.; Orcioni, S.; Turchetti, C. Surface EMG Fatigue Analysis by Means of Homomorphic Deconvolution. In Mobile Networks for Biometric Data Analysis; Springer International Publishing: Cham, Switzerland, 2016; pp. 173–188. [Google Scholar]
- Mukhopadhyay, S.C. Wearable Sensors for Human Activity Monitoring: A Review. IEEE Sens. J. 2015, 15, 1321–1330. [Google Scholar] [CrossRef]
- Crippa, P.; Curzi, A.; Falaschetti, L.; Turchetti, C. Multi-Class ECG Beat Classification Based on a Gaussian Mixture Model of Karhunen-Loève Transform. Int. J. Simul. Sci. Technol. 2015, 16, 2.1–2.10. [Google Scholar]
- Brunelli, D.; Tadesse, A.M.; Vodermayer, B.; Nowak, M.; Castellini, C. Low-cost wearable multichannel surface EMG acquisition for prosthetic hand control. In Proceedings of the 6th Int. Workshop on Advances in Sensors and Interfaces, Gallipoli, Italy, 18–19 June 2015; pp. 94–99. [Google Scholar]
- Biagetti, G.; Crippa, P.; Curzi, A.; Orcioni, S.; Turchetti, C. A Multi-class ECG Beat Classifier Based on the Truncated KLT Representation. In Proceedings of the 2014 European Modelling Symposium, Pisa, Italy, 21–23 October 2014; pp. 93–98. [Google Scholar]
- Castroflorio, T.; Mesin, L.; Tartaglia, G.; Sforza, C.; Farina, D. Use of Electromyographic and Electrocardiographic Signals to Detect Sleep Bruxism Episodes in a Natural Environment. IEEE J. Biomed. Health Inform. 2013, 17, 994–1001. [Google Scholar] [CrossRef]
- Chou, C.C.; Tseng, S.Y.; Chua, E.; Lee, Y.C.; Fang, W.C.; Huang, H.C. Advanced ECG processor with HRV analysis for real-time portable health monitoring. In Proceedings of the 2011 IEEE International Conference on Consumer Electronics, Berlin, Germany, 6–8 September 2011; pp. 172–175. [Google Scholar]
- Lee, S.Y.; Koo, K.H.; Lee, Y.; Lee, J.H.; Kim, J.H. Spatiotemporal analysis of EMG signals for muscle rehabilitation monitoring system. In Proceedings of the 2013 IEEE 2nd Global Conference on Consumer Electronics, Tokyo, Japan, 1–4 October 2013; pp. 1–2. [Google Scholar]
- Biagetti, G.; Crippa, P.; Falaschetti, L.; Orcioni, S.; Turchetti, C. A Rule Based Framework for Smart Training Using sEMG Signal. In Intelligent Decision Technologies; Smart Innovation, Systems and Technologies; Springer International Publishing: Cham, Switzerland, 2015; pp. 89–99. [Google Scholar]
- Chang, K.M.; Liu, S.H.; Wu, X.H. A wireless sEMG recording system and its application to muscle fatigue detection. Sensors 2012, 12, 489–499. [Google Scholar] [CrossRef]
- Fukuda, T.Y.; Echeimberg, J.O.; Pompeu, J.E.; Lucareli, P.R.G.; Garbelotti, S.; Gimenes, R.; Apolinário, A. Root mean square value of the electromyographic signal in the isometric torque of the quadriceps, hamstrings and brachial biceps muscles in female subjects. J. Appl. Res. 2010, 10, 32–39. [Google Scholar]
- Pantelopoulos, A.; Bourbakis, N. A survey on wearable biosensor systems for health monitoring. In Proceedings of the 30th Annual International Conference IEEE Engineering in Medicine and Biology Society (EMBC), Vancouver, BC, Canada, 20–24 August 2008; pp. 4887–4890. [Google Scholar]
- Oh, J.; Kwon, M.; Kim, Y.; Kim, J.; Lee, S.; Kim, J. Development and evaluation of myoelectric driving interface. In Proceedings of the 2013 IEEE International Conference on Consumer Electronics, Las Vegas, NV, USA, 11–14 January 2013; pp. 248–249. [Google Scholar]
- Son, J.; Kim, B.; Park, M. Lumbar cushion based real-time ECG sensing system for monitoring driver’s state. In Proceedings of the 2015 IEEE International Conference on Consumer Electronics, Las Vegas, NV, USA, 9–12 January 2015; pp. 261–262. [Google Scholar]
- Burns, A.; Doheny, E.P.; Greene, B.R.; Foran, T.; Leahy, D.; O’Donovan, K.; McGrath, M.J. SHIMMER: An extensible platform for physiological signal capture. In Proceedings of the 2010 Annual International Conference IEEE Engineering in Medicine and Biology Society (EMBC), Buenos Aires, Argentina, 31 August–4 September 2010; pp. 3759–3762. [Google Scholar]
- Kobayashi, H. EMG/ECG acquisition system with online adjustable parameters using ZigBee wireless technology. Electron. Commun. Jpn. 2013, 96, 1–10. [Google Scholar] [CrossRef]
- Biagetti, G.; Crippa, P.; Falaschetti, L.; Orcioni, S.; Turchetti, C. Wireless surface electromyograph and electrocardiograph system on 802.15.4. IEEE Trans. Consum. Electron. 2016, 62, 258–266. [Google Scholar] [CrossRef]
- Naranjo-Hernández, D.; Roa, L.M.; Reina-Tosina, J.; Estudillo-Valderrama, M.A. SoM: A Smart Sensor for Human Activity Monitoring and Assisted Healthy Ageing. IEEE Trans. Biomed. Eng. 2012, 59, 3177–3184. [Google Scholar] [CrossRef]
- Rodriguez-Martin, D.; Samà, A.; Perez-Lopez, C.; Català, A.; Cabestany, J.; Rodriguez-Molinero, A. SVM-based posture identification with a single waist-located triaxial accelerometer. Expert Syst. Appl. 2013, 40, 7203–7211. [Google Scholar] [CrossRef]
- Mannini, A.; Intille, S.S.; Rosenberger, M.; Sabatini, A.M.; Haskell, W. Activity recognition using a single accelerometer placed at the wrist or ankle. Med. Sci. Sport. Exerc. 2013, 45, 2193–2203. [Google Scholar] [CrossRef]
- Torres-Huitzil, C.; Nuno-Maganda, M. Robust smartphone-based human activity recognition using a tri-axial accelerometer. In Proceedings of the 2015 IEEE 6th Latin American Symposium on Circuits Systems, Montevideo, Uruguay, 24–27 February 2015; pp. 1–4. [Google Scholar]
- Miao, F.; He, Y.; Liu, J.; Li, Y.; Ayoola, I. Identifying typical physical activity on smartphone with varying positions and orientations. BioMedical Eng. Online 2015, 14, 32. [Google Scholar] [CrossRef]
- Anguita, D.; Ghio, A.; Oneto, L.; Parra, X.; Reyes-Ortiz, J.L. Energy Efficient Smartphone-Based Activity Recognition using Fixed-Point Arithmetic. J. Univers. Comput. Sci. 2013, 19, 1295–1314. [Google Scholar]
- Dernbach, S.; Das, B.; Krishnan, N.C.; Thomas, B.L.; Cook, D.J. Simple and Complex Activity Recognition through Smart Phones. In Proceedings of the 8th International Conference on Intelligent Environments, Guanajuato, Mexico, 26–29 June 2012; pp. 214–221. [Google Scholar]
- Khan, A.M.; Lee, Y.K.; Lee, S.Y.; Kim, T.S. Human Activity Recognition via an Accelerometer-Enabled- Smartphone Using Kernel Discriminant Analysis. In Proceedings of the 2010 5th International Conference on Future Information Technology, Busan, Korea, 21–23 May 2010; pp. 1–6. [Google Scholar]
- Biagetti, G.; Crippa, P.; Falaschetti, L.; Orcioni, S.; Turchetti, C. An Efficient Technique for Real-Time Human Activity Classification Using Accelerometer Data. In Intelligent Decision Technologies; Springer International Publishing: Cham, Switzerland, 2016; pp. 425–434. [Google Scholar]
- Mannini, A.; Sabatini, A.M. Machine Learning Methods for Classifying Human Physical Activity from On-Body Accelerometers. Sensors 2010, 10, 1154–1175. [Google Scholar] [CrossRef]
- Catal, C.; Tufekci, S.; Pirmit, E.; Kocabag, G. On the use of ensemble of classifiers for accelerometer-based activity recognition. Appl. Soft Comput. 2015, 37, 1018–1022. [Google Scholar] [CrossRef]
- De Luca, C.J.; Donald Gilmore, L.; Kuznetsov, M.; Roy, S.H. Filtering the surface EMG signal: Movement artifact and baseline noise contamination. J. Biomech. 2010, 43, 1573–1579. [Google Scholar] [CrossRef]
- Trobec, R.; Tomašić, I.; Rashkovska, A.; Depolli, M.; Avbelj, V. From Multichannel ECG to Wireless Body Sensors. In Body Sensors and Electrocardiography; Springer International Publishing: Cham, Switzerland, 2018; pp. 13–35. [Google Scholar]
- Gjoreski, H.; Rashkovska, A.; Kozina, S.; Lustrek, M.; Gams, M. Telehealth using ECG sensor and accelerometer. In Proceedings of the 2014 37th International Convention on Information and Communication Technology, Electronics and Microelectronics (MIPRO), Opatija, Croatia, 26–30 May 2014; pp. 270–274. [Google Scholar]
- Pinto, A.G.; Dias, G.; Felizardo, V.; Pombo, N.; Silva, H.; Fazendeiro, P.; Crisóstomo, R.; Garcia, N. Electrocardiography, electromyography, and accelerometry signals collected with BITalino while swimming: Device assembly and preliminary results. In Proceedings of the 2016 IEEE 12th International Conference on Intelligent Computer Communication and Processing (ICCP), Cluj-Napoca, Romania, 8–10 September 2016; pp. 37–41. [Google Scholar]
- Said, S.; AlKork, S.; Beyrouthy, T.; Abdrabbo, M.F. Wearable bio-sensors bracelet for driveras health emergency detection. In Proceedings of the 2017 2nd International Conference on Bio-engineering for Smart Technologies (BioSMART), Paris, France, 30 August–1 September 2017; pp. 1–4. [Google Scholar]
- Tanweer, M.; Halonen, K.A.I. Development of wearable hardware platform to measure the ECG and EMG with IMU to detect motion artifacts. In Proceedings of the 2019 IEEE 22nd International Symposium on Design and Diagnostics of Electronic Circuits Systems (DDECS), Cluj-Napoca, Romania, 24–26 April 2019; pp. 1–4. [Google Scholar]
- Das, D.M.; Vidwans, A.; Srivastava, A.; Ahmad, M.; Vaishnav, S.; Dewan, S.; Baghini, M.S. Design and development of an Internet-of-Things enabled wearable ExG measuring system with a novel signal processing algorithm for electrocardiogram. IET Circuits Devices Syst. 2019, 13, 903–907. [Google Scholar] [CrossRef]


















| Mode | nRF52840 | ADS1293 | LSM6DSO |
|---|---|---|---|
| OFF | |||
| IDLE | |||
| ADVERTISING | - | ||
| CONNECTED | - | ||
| STREAMING (min) | - | ||
| STREAMING (max) |
| Stream | SUB # | SEQ | Bits | Content |
|---|---|---|---|---|
| electromiography | 0 | 0 | 0 ÷ 3 | ODR [from to , encoded as ] |
| 4 ÷ 5 | number of active EMG channels (1 ÷ 3) | |||
| 6 ÷ 7 | [reserved for future use] | |||
| 1 | 8 ÷ 10 | channel 1 negative lead number (1 ÷ 6) | ||
| 11 ÷ 13 | channel 1 positive lead number (1 ÷ 6) | |||
| 14 ÷ 15 | channel 1 test mode | |||
| 2 | 16 ÷ 18 | channel 2 negative lead number (1 ÷ 6) | ||
| 19 ÷ 21 | channel 2 positive lead number (1 ÷ 6) | |||
| 22 ÷ 23 | channel 2 test mode | |||
| 3 | 24 ÷ 26 | channel 3 negative lead number (1 ÷ 6) | ||
| 27 ÷ 29 | channel 3 positive lead number (1 ÷ 6) | |||
| 30 ÷ 31 | channel 3 test mode | |||
| 2 | 8 ÷ 11 | 0 ÷ 31 | sampling timestamp (encoded as 32 bit unsigned integer) | |
| 4 | 16 ÷ 19 | 0 ÷ 31 | transmit timestamp (encoded as 32 bit unsigned integer) | |
| gyroscope | 0 | 0 | 0 ÷ 1 | accelerometer full-scale range [2 g, 4 g, 8 g, 16 g] |
| 2 ÷ 3 | gyroscope full-scale range [250 dps, 500 dps, 1000 dps, 2000 dps] | |||
| 4 ÷ 7 | ODR [from to , encoded as ] | |||
| 8 ÷ 31 | [reserved for future use] | |||
| 2 | 2 | 0 ÷ 31 | sampling timestamp (encoded as 32 bit unsigned integer) |
| Type | (Hz) | (Bits) | (Bytes) | |||
|---|---|---|---|---|---|---|
| EMG | 1 | 3200 | 24 | 6 | 4 | 18 |
| EMG | 2 | 1600 | 24 | 3 | 4 | 18 |
| EMG | 3 | 800 | 24 | 2 | 3 | 18 |
| ECG | 3 | 200 | 24 | 2 | 0.75 | 18 |
| ACC | 3 | 104 | 16 | 2 | 0.39 | 12 |
| ACC + GYRO | 6 | 104 | 16 | 1 | 0.78 | 12 |
| ACC + GYRO | 6 | 208 | 16 | 1 | 1.56 | 12 |
| ACC + GYRO | 6 | 416 | 16 | 1 | 3.12 | 12 |
| Mode | Description | |
|---|---|---|
| OFF | all devices off | |
| IDLE | accelerometer enabled for wake-up | |
| ADVERTISING | bluetooth enabled ( advertising interval) | |
| CONNECTED | all subsystems powered ( connection interval) | |
| STREAMING | 3 EMG channels streaming at ( TX power) |
© 2020 by the authors. Licensee MDPI, Basel, Switzerland. This article is an open access article distributed under the terms and conditions of the Creative Commons Attribution (CC BY) license (http://creativecommons.org/licenses/by/4.0/).
Share and Cite
Biagetti, G.; Crippa, P.; Falaschetti, L.; Turchetti, C. A Multi-Channel Electromyography, Electrocardiography and Inertial Wireless Sensor Module Using Bluetooth Low-Energy. Electronics 2020, 9, 934. https://doi.org/10.3390/electronics9060934
Biagetti G, Crippa P, Falaschetti L, Turchetti C. A Multi-Channel Electromyography, Electrocardiography and Inertial Wireless Sensor Module Using Bluetooth Low-Energy. Electronics. 2020; 9(6):934. https://doi.org/10.3390/electronics9060934
Chicago/Turabian StyleBiagetti, Giorgio, Paolo Crippa, Laura Falaschetti, and Claudio Turchetti. 2020. "A Multi-Channel Electromyography, Electrocardiography and Inertial Wireless Sensor Module Using Bluetooth Low-Energy" Electronics 9, no. 6: 934. https://doi.org/10.3390/electronics9060934
APA StyleBiagetti, G., Crippa, P., Falaschetti, L., & Turchetti, C. (2020). A Multi-Channel Electromyography, Electrocardiography and Inertial Wireless Sensor Module Using Bluetooth Low-Energy. Electronics, 9(6), 934. https://doi.org/10.3390/electronics9060934

