Millimeter Wave Propagation in Long Corridors and Tunnels—Theoretical Model and Experimental Verification
Abstract
1. Introduction
2. Method of Multi-Ray-Tracing in Tunnels
3. Number of Dominant Rays: Simulation Results
3.1. Omni-Directional Transmission
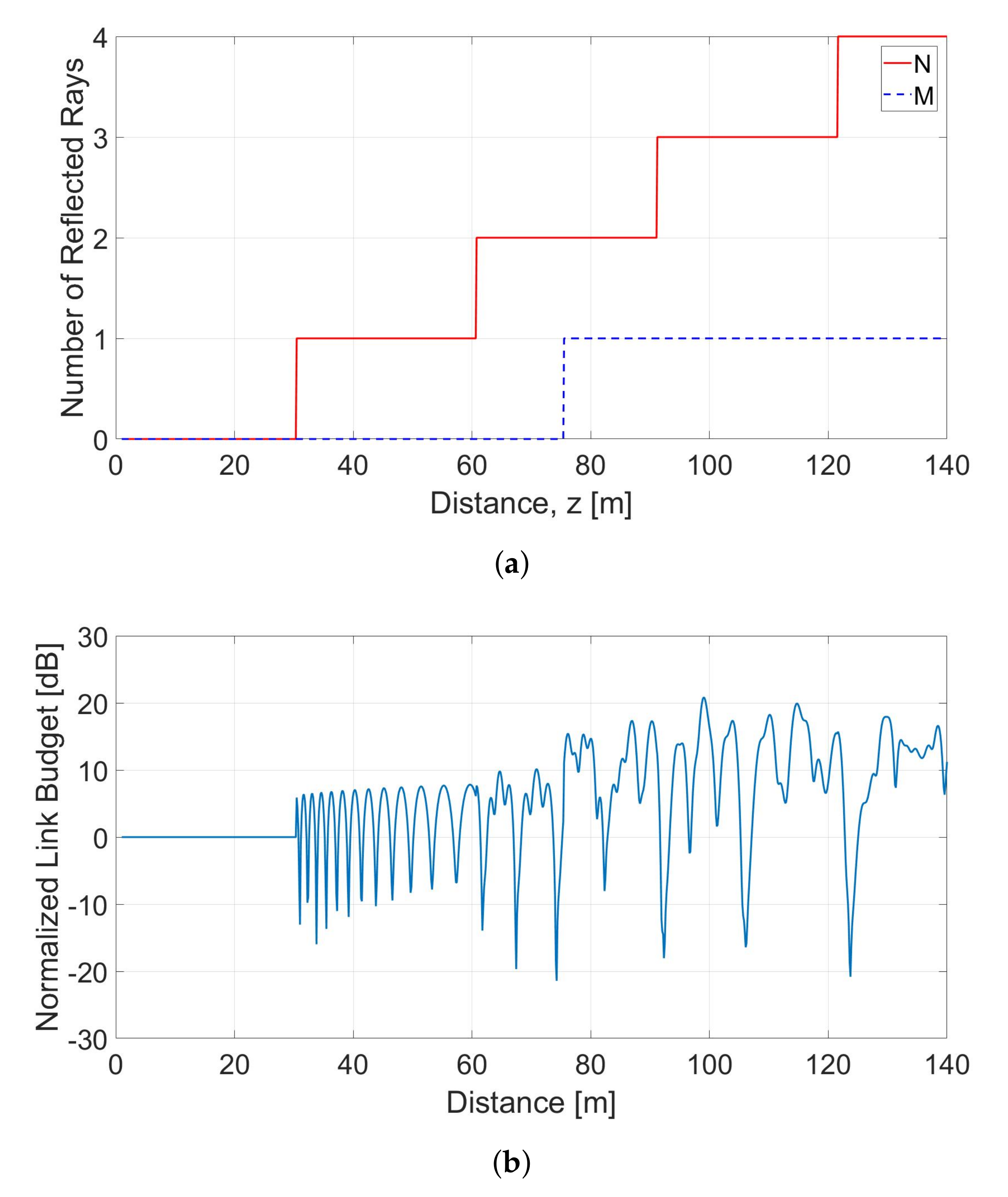
3.2. Directive Link
4. Experimental Results with a Scaled Tunnel Model
5. Discussion and Conclusion
Author Contributions
Funding
Conflicts of Interest
References
- Dahlman, E.; Mildh, G.; Parkvall, S.; Peisa, J.; Sachs, J.; Selén, Y.; Sköld, J. 5G wireless access: Requirements and realization. IEEE Commun. Mag. 2014, 52, 42–47. [Google Scholar] [CrossRef]
- Rappaport, T.S.; Sun, S.; Mayzus, R.; Zhao, H.; Azar, Y.; Wang, K.; Wong, G.N.; Schulz, J.K.; Samimi, M.; Gutierrez, F., Jr. Millimeter wave mobile communications for 5G cellular: It will work! IEEE Access 2013, 1, 335–349. [Google Scholar] [CrossRef]
- Rappaport, T.S.; Xing, Y.; MacCartney, G.R.; Molisch, A.F.; Mellios, E.; Zhang, J. Overview of millimeter wave communications for fifth-generation (5G) wireless networks with a focus on propagation models. IEEE Trans. Antennas Propag. 2017, 65, 6213–6230. [Google Scholar] [CrossRef]
- Qamar, F.; Hindia, M.; Dimyati, K.; Noordin, K.A.; Majed, M.B.; Abd Rahman, T.; Amiri, I.S. Investigation of future 5G-IoT millimeter-wave network performance at 38 GHz for urban microcell outdoor environment. Electronics 2019, 8, 495. [Google Scholar] [CrossRef]
- Jha, U.S. The millimeter Wave (mmW) radar characterization, testing, verification challenges and opportunities. In Proceedings of the 2018 IEEE AUTOTESTCON, National Harbor, MD, USA, 17–20 September 2018; pp. 1–5. [Google Scholar]
- Wang, X.; Xu, L.; Sun, H.; Xin, J.; Zheng, N. On-road vehicle detection and tracking using MMW radar and monovision fusion. IEEE Trans. Intell. Transp. Syst. 2016, 17, 2075–2084. [Google Scholar] [CrossRef]
- Hrovat, A.; Kandus, G.; Javornik, T. A survey of radio propagation modeling for tunnels. IEEE Commun. Surv. Tutor. 2014, 16, 658–669. [Google Scholar] [CrossRef]
- Zhang, X.; Sood, N.; Sarris, C.D. Fast radio-wave propagation modeling in tunnels with a hybrid vector parabolic equation/waveguide mode theory method. IEEE Trans. Antennas Propag. 2018, 66, 6540–6551. [Google Scholar] [CrossRef]
- Mahmoud, S.F. Wireless transmission in tunnels with non-circular cross section. IEEE Trans. Antennas Propag. 2009, 58, 613–616. [Google Scholar] [CrossRef]
- Zhou, C. Ray tracing and modal methods for modeling radio propagation in tunnels with rough walls. IEEE Trans. Antennas Propag. 2017, 65, 2624–2634. [Google Scholar] [CrossRef]
- Collin, R.E. Antennas and Radiowave Propagation; McGraw-Hill: New York, NY, USA, 1985. [Google Scholar]
- Zhang, Y.; Liu, Y.; Sun, J.; Wang, C.X.; Ge, X. Impact of Different Parameters on Channel Characteristics in a High-Speed Train Ray Tracing Tunnel Channel Model. In Proceedings of the 2017 IEEE 85th Vehicular Technology Conference (VTC Spring), Sydney, Australia, 4–7 June 2017; pp. 1–5. [Google Scholar]
- Fu-Rong, Y.; Dan, S.; Feng, C.; Yuan-jian, L. Study on the propagation characteristics of radio wave in tunnels by the method of SBR/image. In Proceedings of the IEEE 2014 3rd Asia-Pacific Conference on Antennas and Propagation, Harbin, China, 26–29 July 2014; pp. 706–709. [Google Scholar]
- Liu, C.; Zhang, E.; Wu, Z.; Zhang, B. Modelling radio wave propagation in tunnels with ray-tracing method. In Proceedings of the IEEE 2013 7th European Conference on Antennas and Propagation (EuCAP), Gothenburg, Sweden, 8–12 April 2013; pp. 2317–2321. [Google Scholar]
- Hossain, F.; Geok, T.K.; Rahman, T.A.; Hindia, M.N.; Dimyati, K.; Ahmed, S.; Tso, C.P.; Rahman, A.; Ziela, N. An efficient 3-D ray tracing method: Prediction of indoor radio propagation at 28 GHz in 5G network. Electronics 2019, 8, 286. [Google Scholar] [CrossRef]
- Rangan, S.; Rappaport, T.S.; Erkip, E. Millimeter-wave cellular wireless networks: Potentials and challenges. Proc. IEEE 2014, 102, 366–385. [Google Scholar] [CrossRef]
- Frascolla, V.; Faerber, M.; Dussopt, L.; Calvanese-Strinati, E.; Sauleau, R.; Kotzsch, V.; Romano, G.; Ranta-aho, K.; Putkonen, J.; Valiño, J. Challenges and opportunities for millimeter-wave mobile access standardisation. In Proceedings of the 2014 IEEE Globecom Workshops (GC Wkshps), Austin, TX, USA, 8–12 December 2014; pp. 553–558. [Google Scholar]
- Zhou, C.; Plass, T.; Jacksha, R.; Waynert, J.A. RF Propagation in Mines and Tunnels: Extensive measurements for vertically, horizontally, and cross-polarized signals in mines and tunnels. IEEE Antennas Propag. Mag. 2015, 57, 88–102. [Google Scholar] [CrossRef]
- Rappaport, T.S. Wireless Communications–Principles and Practice, (The Book End). Microw. J. 2002, 45, 128–129. [Google Scholar]
- Rapaport, L.; Etinger, A.; Litvak, B.; Pinhasi, G.; Pinhasi, Y. Quasi Optical Multi-Ray Model For Wireless Communication Link in Millimeter Wavelengths. MATEC Web Conf. 2018, 210, 03006. [Google Scholar] [CrossRef]
- Zhao, K.; Gustafson, C.; Liao, Q.; Zhang, S.; Bolin, T.; Ying, Z.; He, S. Channel characteristics and user body effects in an outdoor urban scenario at 15 and 28 GHz. IEEE Trans. Antennas Propag. 2017, 65, 6534–6548. [Google Scholar] [CrossRef]
- Sarabandi, K.; Li, E.S.; Nashashibi, A. Modeling and measurements of scattering from road surfaces at millimeter-wave frequencies. IEEE Trans. Antennas Propag. 1997, 45, 1679–1688. [Google Scholar] [CrossRef]
- Lamb, J.W. Miscellaneous data on materials for millimetre and submillimetre optics. Int. J. Infrared Millim. Waves 1996, 17, 1997–2034. [Google Scholar] [CrossRef]
- Balanis, C.A. Antenna Theory: Analysis and Design; John Wiley & Sons: Hoboken, NJ, USA, 2005. [Google Scholar]
- Aragon-Zavala, A.; Saunders, S.R. Antennas and Propagation for Wireless Communication Systems; John Wiley & Sons: Chichester, UK, 2008. [Google Scholar]
- Edwards, A.W.F.; Fischer, R.A. Fischer, Statistical Methods for Research Workers, first edition (1925). In Landmark Writings in Western Mathematics 1640–1940; Elsevier: Amsterdam, The Netherlands, 2005; pp. 856–870. [Google Scholar]














| Antenna Polarization | Walls’ Polarization | Floor and Ceiling Polarization |
|---|---|---|
| Vertical | ||
| Horizontal |
| Material | Dielectric Constant |
|---|---|
| Concrete | 5.31 |
| Glass | 6.27 |
| Brick | 3.75 |
| Wood | 5 |
| Wet Ground | 10 |
| Nylon | 3.2 |
| Silicon | 11.6 |
| Teflon | 3.0 |
| Definition | Parameter | Value |
|---|---|---|
| Tunnel Width | 6.6 m | |
| Tunnel Height | 4 m | |
| Cross-Section Shape | - | Rectangular |
| Polarization | - | vertical |
| Frequency | f | 28 GHz |
| Effective Equivalence Vertical Beamwidth | ||
| Effective Equivalence Horizontal Beamwidth | ||
| Transmitting antenna gain | 24 dBi | |
| Receiving antenna gain | 24 dBi |
© 2020 by the authors. Licensee MDPI, Basel, Switzerland. This article is an open access article distributed under the terms and conditions of the Creative Commons Attribution (CC BY) license (http://creativecommons.org/licenses/by/4.0/).
Share and Cite
Rapaport, L.; Pinhasi, G.A.; Pinhasi, Y. Millimeter Wave Propagation in Long Corridors and Tunnels—Theoretical Model and Experimental Verification. Electronics 2020, 9, 707. https://doi.org/10.3390/electronics9050707
Rapaport L, Pinhasi GA, Pinhasi Y. Millimeter Wave Propagation in Long Corridors and Tunnels—Theoretical Model and Experimental Verification. Electronics. 2020; 9(5):707. https://doi.org/10.3390/electronics9050707
Chicago/Turabian StyleRapaport, Liat, Gad A. Pinhasi, and Yosef Pinhasi. 2020. "Millimeter Wave Propagation in Long Corridors and Tunnels—Theoretical Model and Experimental Verification" Electronics 9, no. 5: 707. https://doi.org/10.3390/electronics9050707
APA StyleRapaport, L., Pinhasi, G. A., & Pinhasi, Y. (2020). Millimeter Wave Propagation in Long Corridors and Tunnels—Theoretical Model and Experimental Verification. Electronics, 9(5), 707. https://doi.org/10.3390/electronics9050707

