Electrical Performance and Stability Improvements of High-Mobility Indium–Gallium–Tin Oxide Thin-Film Transistors Using an Oxidized Aluminum Capping Layer of Optimal Thickness
Abstract
1. Introduction
2. Experimental Details
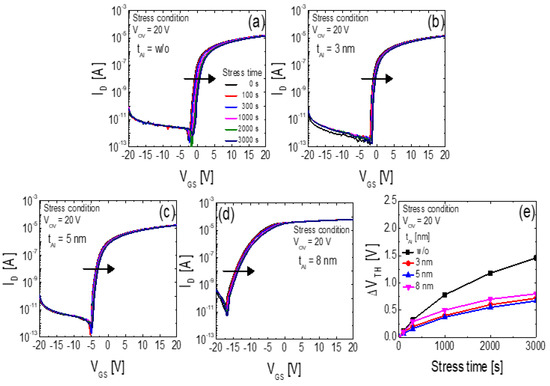
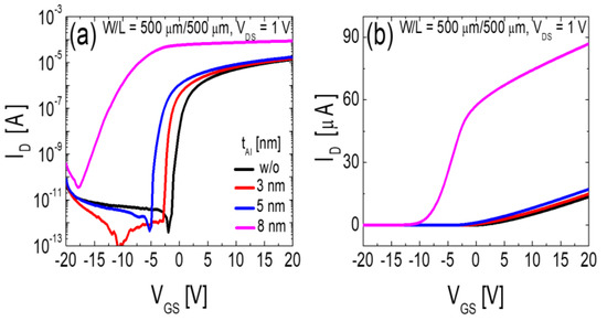
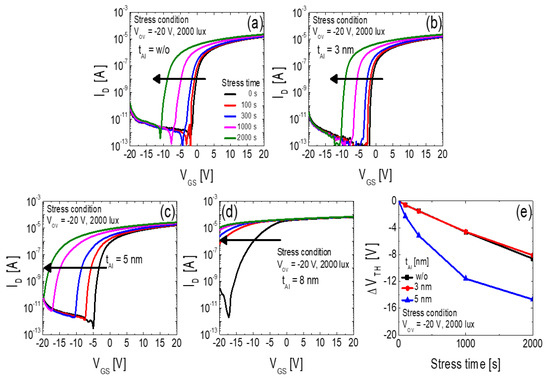
3. Results and Discussion
4. Conclusions
Author Contributions
Funding
Conflicts of Interest
References
- Fortunato, E.; Barquinha, P.; Martins, R. Oxide semiconductor thin-film transistors: A review of recent advances. Adv. Mater. 2012, 24, 2945–2986. [Google Scholar] [CrossRef] [PubMed]
- Kamiya, T.; Hosono, H. Material characteristics and applications of transparent amorphous Oxide semiconductors. NPG Asia Mater. 2010, 2, 15–22. [Google Scholar] [CrossRef]
- Jang, J.T.; Ahn, G.H.; Choi, S.-J.; Kim, D.M.; Kim, D.H. Control of the boundary between the gradual and abrupt modulation of resistance in the schottky barrier tunneling-modulated amorphous Indium-Gallium-Zinc-Oxide memristors for neuromorphic computing. Electronics 2019, 8, 1087. [Google Scholar] [CrossRef]
- Park, J.-S.; Maeng, W.-J.; Kim, H.-S.; Park, J.-S. Review of recent developments in amorphous Oxide semiconductor thin-film transistor devices. Thin Solid Films 2012, 520, 1679–1693. [Google Scholar] [CrossRef]
- Kamiya, T.; Nomura, K.; Hosono, H. Present status of amorphous In–Ga–Zn–O thin-film transistors. Sci. Technol. Adv. Mater. 2010, 11, 044305. [Google Scholar] [CrossRef] [PubMed]
- Kikuchi, Y.; Nomura, K.; Yanagi, H.; Kamiya, T.; Hirano, M.; Hosono, H. Device characteristics improvement of a-In–Ga–Zn–O TFTs by low-temperature annealing. Thin Solid Films 2010, 518, 3017–3021. [Google Scholar] [CrossRef]
- Kim, S.-C.; Jeon, Y.-W.; Kim, Y.-S.; Kong, D.-S.; Jung, H.-K.; Bae, M.-K.; Lee, J.-H.; Ahn, B.-D.; Park, S.-Y.; Park, J.-H.; et al. Impact of oxygen flow rate on the instability under positive bias stresses in DC-sputtered amorphous InGaZnO thin-film transistors. IEEE Electron Device Lett. 2012, 33, 62–64. [Google Scholar] [CrossRef]
- Yabuta, H.; Sano, M.; Abe, K.; Aiba, T.; Den, T.; Kumomi, H.; Nomura, K.; Kamiya, T.; Hosono, H. High mobility thin-film transistor with amorphous InGaZnO4 channel fabricated by room temperature rf magnetron sputtering. Appl. Phys. Lett. 2006, 89, 112123. [Google Scholar] [CrossRef]
- Fuh, C.-S.; Liu, P.-T.; Huang, W.-H.; Sze, S.M. Effect of annealing on defect elimination for high mobility amorphous Indium-Zinc-Tin-Oxide thin-film transistor. IEEE Electron Device Lett. 2014, 35, 1103. [Google Scholar] [CrossRef]
- Paine, D.-C.; Yaglioglu, B.; Beiley, Z.; Lee, S.-H. Amorphous IZO-based transparent thin film transistor. Thin Solid Films 2008, 516, 5894–5898. [Google Scholar] [CrossRef]
- Ruan, D.-B.; Liu, P.-T.; Chiu, Y.-C.; Kan, K.-Z.; Yu, M.-C.; Chien, T.-C.; Chen, Y.-H.; Kuo, P.-Y.; Sze, S.-M. Investigation of low operation voltage InZnSnO thin-film transistors with different high-k gate dielectric by physical vapor deposition. Thin Solid Films 2018, 660, 885–890. [Google Scholar] [CrossRef]
- Jeong, H.-S.; Cha, H.S.; Hwang, S.H.; Kwon, H.-I. Effects of annealing atmosphere on electrical performance and stability of high-mobility Indium-Gallium-Tin Oxide thin-film transistors. Electronics 2020, 9, 1875. [Google Scholar] [CrossRef]
- Hur, J.-S.; Kim, J.-O.; Kim, H.-A.; Jeong, J.-K. Stretchable polymer gate dielectric by ultraviolet-assisted Hafnium Oxide doping at low temperature for high-performance Indium Gallium Tin Oxide transistors. ACS Appl. Mater. Interfaces 2019, 11, 21675–21685. [Google Scholar] [CrossRef] [PubMed]
- Kim, J.-O.; Hur, J.-S.; Kim, D.-S.; Lee, B.-M.; Jung, J.-M.; Kim, H.-A.; Chung, U.-J.; Nam, S.-H.; Hong, Y.T.; Park, K.-S.; et al. Network structure modification-enabled hybrid polymer dielectric film with Zirconia for the stretchable transistor applications. Adv. Funct. Mater. 2020, 30, 1906647. [Google Scholar] [CrossRef]
- Park, J.-S.; Kim, T.-W.; Stryakhilev, D.; Lee, J.-S.; An, S.-G.; Pyo, Y.-S.; Lee, D.-B.; Mo, Y.-G.; Jin, D.-U.; Chung, H.-K. Flexible full color organic light-emitting diode display on polyimide plastic substrate driven by amorphous indium gallium zinc oxide thin-film transistors. Appl. Phys. Lett. 2009, 95, 013503. [Google Scholar] [CrossRef]
- Carey, P.-G.; Smith, P.-M.; Theiss, S.-D.; Wickboldt, P. Polysilicon thin film transistors fabricated on low temperature plastic substrates. J. Vac. Sci. Technol. 1999, 17, 1946–1949. [Google Scholar] [CrossRef]
- Jeong, H.-J.; Ok, K.-C.; Park, J.; Lim, J.-H.; Cho, J.-H.; Park, J.-S. Stability improvement of In–Sn–Ga–O thin-film transistors at low annealing temperatures. IEEE Electron Device Lett. 2015, 36, 1160–1162. [Google Scholar] [CrossRef]
- Kim, H.-A.; Kim, J.O.; Hur, J.S.; Son, K.-S.; Lim, J.H.; Cho, J.; Jeong, J.K. Achieving high mobility in IGTO thin-film transistors at a low temperature via film densification. IEEE Trans. Electron Devices 2018, 65, 4854–4860. [Google Scholar] [CrossRef]
- Oh, C.; Jang, H.; Kim, H.W.; Jung, H.; Park, H.; Cho, J.; Kim, B.S. Influence of oxygen partial pressure in In–Sn–Ga–O thin-film transistors at a low temperature. J. Alloy. Compd. 2019, 805, 211–217. [Google Scholar] [CrossRef]
- Lee, B.-H.; Sohn, A.; Kim, S.-S.; Lee, S.-Y. Mechanism of carrier controllability with metal capping layer on amorphous Oxide SiZnSnO semiconductor. Sci. Rep. 2019, 9, 1–7. [Google Scholar] [CrossRef]
- Choi, J.-Y.; Lee, B.-H.; Kim, S.-S.; Lee, S.-Y. Metal capping on Silicon Indium Zinc Oxide semiconductor for high performance thin film transistors processed at 150°C. J. Nanosci. Nanotechnol. 2017, 17, 3397–3400. [Google Scholar] [CrossRef]
- Shin, Y.-W.; Kim, S.-T.; Kim, K.-T.; Kim, M.-Y.; Oh, S.; Jeong, J.-K. The mobility enhancement of Indium Gallium Zinc Oxide transistors via low-temperature crystallization using a Tantalum catalytic layer. Sci. Rep. 2017, 7, 10885. [Google Scholar] [CrossRef] [PubMed]
- Ji, H.; Hwang, A.-Y.; Lee, C.-K.; Yun, P.-S.; Bae, J.-U.; Park, K.-S.; Jeong, J.-K. Improvement in field-effect mobility of Indium Zinc Oxide transistor by Titanium metal reaction method. IEEE Trans. Electron Devices 2015, 62, 1195–1199. [Google Scholar] [CrossRef]
- Kim, T.-H.; Kim, M.-J.; Lee, J.-W.; Jeong, J.-K. Boosting carrier mobility in Zinc Oxynitride thin-film transistors via Tantalum oxide encapsulation. ACS Appl. Mater. Interfaces 2019, 11, 22501–22509. [Google Scholar] [CrossRef]
- Park, J.-M.; Kim, H.-D.; Jang, S.-C.; Kim, M.-J.; Chung, K.-B.; Kim, Y.-J.; Kim, H.-S. Improved field-effect mobility of In–Ga–Zn–O TFTs by oxidized metal layer. IEEE Trans. Electron Devices 2020, 67. [Google Scholar] [CrossRef]
- Kojima, T.; Kameoka, S.; Tsai, A.P. Heusler Alloys: A group of novel catalysts. ACS Omega 2017, 2, 147–153. [Google Scholar] [CrossRef]
- Robertson, J.; Guo, Y. Light induced instability mechanism in amorphous InGaZn oxide semiconductors. Appl. Phys. Lett. 2014, 104, 162102. [Google Scholar] [CrossRef]
- Kamiya, T.; Nomura, K.; Hirano, M.; Hosono, H. Electronic structure of oxygen deficient amorphous oxide semiconductor a-InGaZnO4–x: Optical analyses and first-principle calculations. Phys. Stat. Sol. 2008, 5, 3098–3100. [Google Scholar] [CrossRef]
- Lee, J.-S.; Kim, D.-J.; Lee, S.-H.; Cho, J.-H.; Park, H.-G.; Jang, J. High field effect mobility, amorphous In-Ga-Sn-O thin-film transistor with no effect of negative bias illumination stress. IEEE Electron Device Lett. 2019, 40, 1443–1446. [Google Scholar] [CrossRef]
- Lee, S.; Ghaffarzadeh, K.; Nathan, A.; Robertson, J.; Jeon, S.; Kim, C.; Song, I.-H.; Chung, U.I. Trap-limited and percolation conduction mechanisms in amorphous oxide semiconductor thin film transistors. Appl. Phys. Lett. 2011, 98, 203508. [Google Scholar] [CrossRef]
- Shao, L.; Nomura, K.; Kamiya, T.; Hosono, H. Operation characteristics of thin-film transistors using very thin amorphous In–Ga–Zn–O channels. Electrochem. Solid-State Lett. 2011, 14, H197. [Google Scholar] [CrossRef]
- Barquinha, P.; Pimentel, A.; Marques, A.; Pereira, L.; Martins, R.; Fortunato, E. Influence of the semiconductor thickness on the electrical properties of transparent TFTs based on indium zinc oxide. J. Non-Cryst. Solids 2006, 352, 1749. [Google Scholar] [CrossRef]
- Wang, D.; Zhao, W.; Li, H.; Furuta, M. Drain current stress-induced instability in amorphous InGaZnO thin-film transistors with different active layer thicknesses. Materials 2018, 11, 559. [Google Scholar] [CrossRef] [PubMed]
- Woo, C.H.; Kim, Y.Y.; Kong, B.H.; Cho, H.K. Effects of the thickness of the channel layer on the device performance of InGaZnO thin-film-transistors. Surf. Coat. Technol. 2010, 205, S168–S171. [Google Scholar] [CrossRef]
- Mativenga, M.; Um, J.-G.; Jang, J. Reduction of bias and light instability of mixed oxide thin-film transistors. Appl. Sci. 2017, 7, 885. [Google Scholar] [CrossRef]
- Um, J.-G.; Mativenga, M.; Jang, J. Mechanism of positive bias stress-assisted recovery in amorphous-indium-gallium-zincoxide thin-film transistors from negative bias under illumination stress. Appl. Phys. Lett. 2013, 103, 033501. [Google Scholar] [CrossRef]
- Kumar, B.; Kaushik, B.K.; Negi, Y.S. Perspectives and challenges for organic thin film transistors: Materials, devices, processes and applications. J. Mater. Sci. Mater. Electron. 2014, 25, 1–30. [Google Scholar] [CrossRef]
- Lang, N.D.; Kohn, W. Theory of metal surfaces: Work function. Phys. Rev. B 1971, 3, 1215. [Google Scholar] [CrossRef]








| tAl [nm] | VTH [V] | μFE [cm2·V−1·S−1] | SS [V/decade] | ION/OFF |
|---|---|---|---|---|
| 0 (w/o Al) | −0.1 | 25.9 | 0.42 | 3.51 |
| 3 | −1.7 | 26.4 | 0.20 | 5.52 |
| 5 | −3.7 | 27.6 | 0.37 | 3.90 |
| 8 | −14.0 | - | 1.31 | 2.50 |
Publisher’s Note: MDPI stays neutral with regard to jurisdictional claims in published maps and institutional affiliations. |
© 2020 by the authors. Licensee MDPI, Basel, Switzerland. This article is an open access article distributed under the terms and conditions of the Creative Commons Attribution (CC BY) license (http://creativecommons.org/licenses/by/4.0/).
Share and Cite
Cha, H.-S.; Jeong, H.-S.; Hwang, S.-H.; Lee, D.-H.; Kwon, H.-I. Electrical Performance and Stability Improvements of High-Mobility Indium–Gallium–Tin Oxide Thin-Film Transistors Using an Oxidized Aluminum Capping Layer of Optimal Thickness. Electronics 2020, 9, 2196. https://doi.org/10.3390/electronics9122196
Cha H-S, Jeong H-S, Hwang S-H, Lee D-H, Kwon H-I. Electrical Performance and Stability Improvements of High-Mobility Indium–Gallium–Tin Oxide Thin-Film Transistors Using an Oxidized Aluminum Capping Layer of Optimal Thickness. Electronics. 2020; 9(12):2196. https://doi.org/10.3390/electronics9122196
Chicago/Turabian StyleCha, Hyun-Seok, Hwan-Seok Jeong, Seong-Hyun Hwang, Dong-Ho Lee, and Hyuck-In Kwon. 2020. "Electrical Performance and Stability Improvements of High-Mobility Indium–Gallium–Tin Oxide Thin-Film Transistors Using an Oxidized Aluminum Capping Layer of Optimal Thickness" Electronics 9, no. 12: 2196. https://doi.org/10.3390/electronics9122196
APA StyleCha, H.-S., Jeong, H.-S., Hwang, S.-H., Lee, D.-H., & Kwon, H.-I. (2020). Electrical Performance and Stability Improvements of High-Mobility Indium–Gallium–Tin Oxide Thin-Film Transistors Using an Oxidized Aluminum Capping Layer of Optimal Thickness. Electronics, 9(12), 2196. https://doi.org/10.3390/electronics9122196
