Light-Load Efficiency Optimization for an LCC-Parallel Compensated Inductive Power Transfer Battery Charger
Abstract
1. Introduction
- For the series-series (SS) compensated inductive power transfer (IPT) system, the primary and secondary compensation capacitors are designed to resonant with the primary and secondary self-inductances, respectively. In this case, load-independent CC output at a ZPA frequency can be achieved [12,13]. Li et al. [9] proposes a resonant method for the double-sided LCC resonant network to achieve the load-independent CC output with ZPA. Besides, S-CLC [14], LCC-parallel [15], and double-sided LCL [15] topologies can also be designed to obtain the load-independent CC output with ZPA conditions.
2. System Structure and Theoretical Analysis
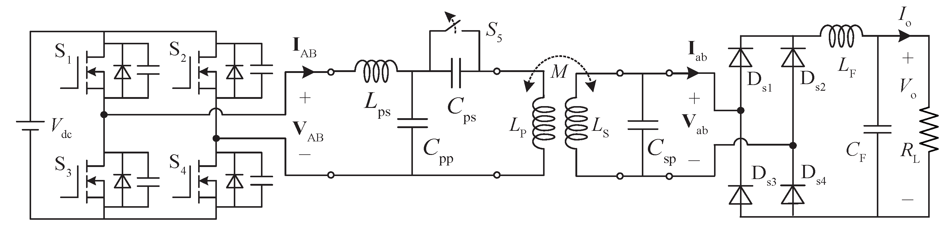
2.1. System Structure
2.2. CV Charging Mode at a Zero Phase Angle Frequency
3. Efficiency Optimization
- Determine the power level, operating frequency f, and nominal output charging voltage ;
- The geometry parameters of the primary and secondary coils, for example the outer diameter and coils category, should then be determined according to the power level, as well as the space and weight constrained. Followed by designing the self-inductances of the primary and secondary coils and the coupling coefficient;
- Estimate the parallel compensation capacitor at the primary side ;
- Calculate the output power and efficiency by (13), until finding out the efficiency equalization point over the full range of CV charging profile;
- Finally, build the experimental prototype based on the designed parameters.
4. Evaluations
4.1. Simulation and Experimental Results
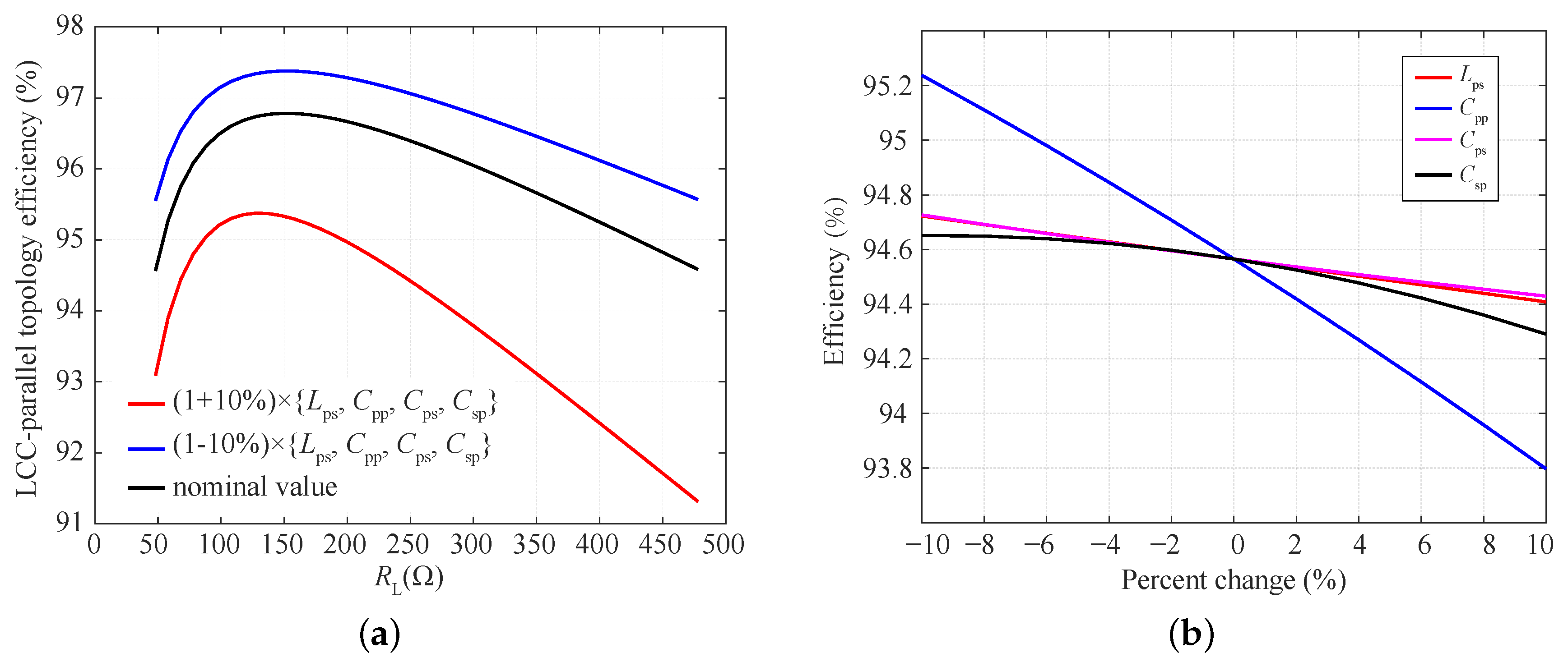
4.2. Discussion
4.2.1. CC/CV Charging Mode with a Hybrid Topology
4.2.2. CC/CV Charging Mode at Two Different Frequencies
5. Conclusions
Author Contributions
Funding
Acknowledgments
Conflicts of Interest
References
- Li, S.; Mi, C.C. Wireless Power Transfer for Electric Vehicle Applications. IEEE J. Emerg. Sel. Top. Power Electron. 2015, 3, 4–17. [Google Scholar]
- Zhang, Z.; Pang, H.; Georgiadis, A.; Cecati, C. Wireless Power Transfer Overview. IEEE Trans. Ind. Electron. 2019, 66, 1044–1058. [Google Scholar] [CrossRef]
- Buja, G.; Bertoluzzo, M.; Mude, K.N. Design and Experimentation of WPT Charger for Electric City Car. IEEE Trans. Ind. Electron. 2015, 62, 7436–7447. [Google Scholar] [CrossRef]
- Vu, V.-B.; Tran, D.-H.; Choi, W. Implementation of the Constant Current and Constant Voltage Charge of Inductive Power Transfer Systems With the Double-Sided LCC Compensation Topology for Electric Vehicle Battery Charge Applications. IEEE Trans. Power Electron. 2018, 33, 7398–7410. [Google Scholar] [CrossRef]
- Qu, X.; Chu, H.; Wong, S.C.; Tse, C.K. An IPT Battery Charger with Near Unity Power Factor and Load-independent Constant Output Combating Design Constraints of Input Voltage and Transformer Parameters. IEEE Trans. Power Electron. 2018, 34, 7719–7727. [Google Scholar] [CrossRef]
- Zheng, C.; Lai, J.S.; Chen, R.; Faraci, W.E.; Zahid, Z.U.; Gu, B.; Zhang, L.; Lisi, G.; Anderson, D. High-Efficiency Contactless Power Transfer System for Electric Vehicle Battery Charging Application (Variable frequency). IEEE J. Emerg. Sel. Top. Power Electron. 2015, 3, 65–74. [Google Scholar] [CrossRef]
- Wu, H.H.; Gilchrist, A.; Sealy, K.D.; Bronson, D. A High Efficiency 5 kW Inductive Charger for EVs Using Dual Side Control. IEEE Trans. Ind. Inform. 2012, 8, 585–595. [Google Scholar] [CrossRef]
- Kim, M.; Joo, D.M.; Lee, B.K. Design and Control of Inductive Power Transfer System for Electric Vehicles Considering Wide Variation of Output Voltage and Coupling Coefficient. IEEE Trans. Power Electron. 2019, 34, 1197–1208. [Google Scholar] [CrossRef]
- Li, S.; Li, W.; Deng, J.; Nguyen, T.D.; Mi, C.C. A Double-Sided LCC Compensation Network and Its Tuning Method for Wireless Power Transfer. IEEE Trans. Veh. Technol. 2015, 64, 2261–2273. [Google Scholar] [CrossRef]
- Zhang, W.; Mi, C.C. Compensation Topologies of High-Power Wireless Power Transfer Systems. IEEE Trans. Veh. Technol. 2016, 65, 4768–4778. [Google Scholar] [CrossRef]
- Lu, J.; Zhu, G.; Lin, D.; Wong, S.-C.; Jiang, J. Load-Independent Voltage and Current Transfer Characteristics of High-Order Resonant Network in IPT System. IEEE J. Emerg. Sel. Top. Power Electron. 2018, 7, 422–436. [Google Scholar] [CrossRef]
- Zhang, W.; Wong, S.C.; Tse, C.K.; Cheng, Q. Load-Independent Duality of Current and Voltage Outputs of a Series- or Parallel-Compensated Inductive Power Transfer Converter With Optimized Efficiency. IEEE J. Emerg. Sel. Top. Power Electron. 2015, 3, 137–146. [Google Scholar] [CrossRef]
- Qu, X.; Han, H.; Wong, S.C.; Tse, C.K.; Chen, W. Hybrid IPT Topologies With Constant Current or Constant Voltage Output for Battery Charging Applications. IEEE Trans. Power Electron. 2015, 30, 6329–6337. [Google Scholar] [CrossRef]
- Qu, X.; Jing, Y.; Han, H.; Wong, S.C.; Tse, C.K. Higher Order Compensation for Inductive-Power-Transfer Converters with Constant-Voltage or Constant-Current Output Combating Transformer Parameter Constraints. IEEE Trans. Power Electron. 2017, 32, 394–405. [Google Scholar] [CrossRef]
- Hou, J.; Chen, Q.; Zhang, Z.; Wong, S.-C.; Tse, C.K. Analysis of Output Current Characteristics for Higher Order Primary Compensation in Inductive Power Transfer Systems. IEEE Trans. Power Electron. 2018, 33, 6807–6821. [Google Scholar] [CrossRef]
- Hou, J.; Chen, Q.; Zhang, Z.; Wong, S.-C.; Tse, C.K.; Ruan, X. Analysis and Control of Series/Series-Parallel Compensated Resonant Converter for Contactless Power Transfer. IEEE J. Emerg. Sel. Top. Power Electron. 2015, 3, 124–136. [Google Scholar]
- Wang, Y.; Shi, G.; Yao, Y.; Alonso, J.M.; Guo, W.; Liu, X.; Xu, D. A Double-T-Type Compensation Network and Its Tuning Method for IPT System. IEEE Trans. Ind. Appl. 2017, 53, 4757–47675. [Google Scholar] [CrossRef]
- Chen, Y.; Yang, B.; Kou, Z.; He, Z.; Cao, G.; Mai, R. Hybrid and Reconfigurable IPT Systems with High-Misalignment Tolerance for Constant-Current and Constant-Voltage Battery Charging. IEEE Trans. Power Electron. 2018, 33, 8259–8269. [Google Scholar] [CrossRef]
- Lu, J.; Zhu, G.; Li, W.; Li, B. Load-Independent ZPA Conditions in Both Constant Current and Constant Voltage Modes of LCC-Series Compensated IPT System. In Proceedings of the IEEE Wireless Power Transfer Conference (WPTC), Montreal, QC, Canada, 3–7 June 2018. [Google Scholar]
- Zhong, W.; Hui, S.Y.R. Maximum Energy Efficiency Tracking for Wireless Power Transfer Systems. IEEE Trans. Power Electron. 2015, 30, 4025–4034. [Google Scholar] [CrossRef]
- Li, H.; Li, J.; Wang, K.; Chen, W.; Yang, X. A Maximum Efficiency Point Tracking Control Scheme for Wireless Power Transfer Systems Using Magnetic Resonant Coupling. IEEE Trans. Power Electron. 2015, 30, 3998–4008. [Google Scholar] [CrossRef]
- Huang, Z.; Wong, S.C.; Tse, C.K. Control Design for Optimizing Efficiency in Inductive Power Transfer Systems. IEEE Trans. Power Electron. 2018, 33, 4523–4534. [Google Scholar] [CrossRef]
- Mai, R.; Liu, Y.; Li, Y.; Yue, P.; Cao, G.; He, Z. An Active-Rectifier-Based Maximum Efficiency Tracking Method Using an Additional Measurement Coil for Wireless Power Transfer. IEEE Trans. Power Electron. 2018, 33, 716–728. [Google Scholar] [CrossRef]
- Huang, Z.; Wong, S.C.; Tse, C.K. An Inductive Power Transfer Converter with High Efficiency throughout Battery Charging Process. IEEE Trans. Power Electron. 2019, 34, 10245–10255. [Google Scholar] [CrossRef]
- Steigerwald, R.L. A comparison of half-bridge resonant converter topologies. IEEE Trans. Power Electron. 1988, 3, 174–182. [Google Scholar] [CrossRef]
- Sohn, Y.-H.; Choi, B.; Cho, G.-H.; Rim, C. Gyrator-Based Analysis of Resonant Circuits in Inductive Power Transfer Systems. IEEE Trans. Power Electron. 2015, 31, 6824–6843. [Google Scholar] [CrossRef]
- The Qi Wireless Power Transfer System Power Class 0 Specification: Reference Designs; Parts 1 and 2; Wireless Power Consortium: Piscataway, NJ, USA, 2017.















| Parameter | Symbol | Calculated Value | Measured Value |
|---|---|---|---|
| Primary self-inductance | 40 H | 39.65 H | |
| Secondary self-inductance | 40 H | 41.02 H | |
| Coupling coefficient | k | 0.3 | 0.289 |
| Operation frequency | f | 200 kHz | - |
| Nominal output voltage | 48 V | - | |
| Nominal output current | 1 A | - | |
| Minimum output current | 0.1 A | - | |
| Equivalent load resistance | 48–480 | - | |
| Voltage transfer ratio | 4 | - | |
| Primary compensation inductor | 25.612 H | 25.44 H | |
| Primary parallel compensation capacitor | 45.33 nF | 45.21 nF | |
| Primary series compensation capacitor | 111.76 nF | 110.86 nF | |
| Secondary parallel compensation capacitor | 19.231 nF | 19.94 nF |
| Reference | f (kHz) | (%) | Design | Limitation | ||
|---|---|---|---|---|---|---|
| This paper | 200 | 48 W | 48 V | ≥90.48 | - | - |
| [20] | 100 | 2.5 W | 2.5 V | ≤69 | Minimum input current tracking | Extra DC–DC converter |
| [21] | 515 | 100 W | 100 V | 79 | Maximum efficiency tracking | |
| [22] | 200 | 60 W | 30 V | ≤90 | Voltage ratio control | |
| [23] | 30 | 800 W | 120 V | 91.7 | Active rectifier | |
| [24] | 49.98 | 156 W | 52 V | ≤90 |
Publisher’s Note: MDPI stays neutral with regard to jurisdictional claims in published maps and institutional affiliations. |
© 2020 by the authors. Licensee MDPI, Basel, Switzerland. This article is an open access article distributed under the terms and conditions of the Creative Commons Attribution (CC BY) license (http://creativecommons.org/licenses/by/4.0/).
Share and Cite
Yang, S.; Deng, X.; Lu, J.; Wu, Z.; Du, K. Light-Load Efficiency Optimization for an LCC-Parallel Compensated Inductive Power Transfer Battery Charger. Electronics 2020, 9, 2080. https://doi.org/10.3390/electronics9122080
Yang S, Deng X, Lu J, Wu Z, Du K. Light-Load Efficiency Optimization for an LCC-Parallel Compensated Inductive Power Transfer Battery Charger. Electronics. 2020; 9(12):2080. https://doi.org/10.3390/electronics9122080
Chicago/Turabian StyleYang, Shuangcheng, Xiangtian Deng, Jianghua Lu, Zhixuan Wu, and Kai Du. 2020. "Light-Load Efficiency Optimization for an LCC-Parallel Compensated Inductive Power Transfer Battery Charger" Electronics 9, no. 12: 2080. https://doi.org/10.3390/electronics9122080
APA StyleYang, S., Deng, X., Lu, J., Wu, Z., & Du, K. (2020). Light-Load Efficiency Optimization for an LCC-Parallel Compensated Inductive Power Transfer Battery Charger. Electronics, 9(12), 2080. https://doi.org/10.3390/electronics9122080

