Label Stacking Scenarios in Hybrid Wavelength and Code-Switched GMPLS Networks
Abstract
:1. Introduction
2. Related Work
3. Label Stacking in Hybrid Wavelength and Code-Switched GMPLS Network
4. Methods of Stacking Hybrid Wavelength/Code Labels
4.1. Sequential Code Distribution
4.2. Sequential Wavelength Distribution
5. Network Performance Analysis
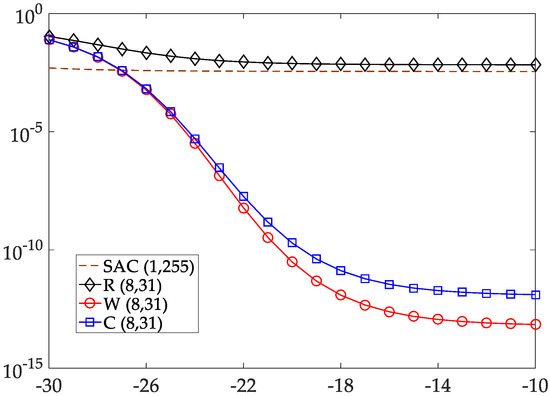
6. Simulation Results and Discussion
7. Conclusions and Future Works
Funding
Conflicts of Interest
References
- Dey, S.K.; Adhya, A. IP-over-WDM network design methodology to improve efficiency in overall expenditure due to cost and energy consumption. IEEE/OSA J. Opt. Commun. Networking 2015, 7, 563–577. [Google Scholar] [CrossRef]
- Zhang, X.; Xu, L. Energy-efficient traffic grooming under sliding scheduled traffic model for IP over WDM optical networks. China Commun. 2014, 11, 74–83. [Google Scholar] [CrossRef]
- Beletsioti, G.A.; Papadimitriou, G.I.; Nicopolitidis, P. Energy-aware algorithms for IP over WDM optical networks. J. Lightw. Technol. 2016, 34, 2856–2866. [Google Scholar] [CrossRef]
- Kadohata, A.; Tanaka, T.; Watanabe, A.; Hirano, A.; Hasegawa, H.; Sato, K. Differential reliability path accommodation design and reconfiguration in virtualized multi-layer transport network. IEICE Trans. Commun. 2015, 98, 2151–2159. [Google Scholar] [CrossRef]
- Teruaki, Y.; Katsuyoshi, I.; Hiroyuki, K.; Suguru, Y. Proposal for adaptive bandwidth allocation using one-way feedback control for MPLS networks. IEICE Trans. Commun. 2007, 90, 3530–3540. [Google Scholar]
- Gao, Y.; Wei, X.; Zhang, X.; Zhuang, W. A combinational LDA-based topic model for user interest inference of energy efficient IPTV service in smart building. IEEE Access 2018, 6, 48921–48933. [Google Scholar] [CrossRef]
- Tian, H.; Sun, J.; Chang, C.; Huang, Y.; Chen, Y. Detecting bitrate modulation-based covert voice-over-IP communication. IEEE Commun. Lett. 2018, 22, 1196–1199. [Google Scholar] [CrossRef]
- Northwood, C.; Wadge, R. An architecture for cloud-based IP video production tools. SMPTE Motion Imaging J. 2018, 127, 32–37. [Google Scholar] [CrossRef]
- Fiorani, M.; Casoni, M.; Aleksic, S. Hybrid optical switching for an energy-efficient internet core. IEEE Internet Comput. 2013, 17, 14–22. [Google Scholar] [CrossRef]
- Osadchiy, A.V.; Guerrero, N.; Jensen, J.B.; Monroy, I.T. Coherent spectral amplitude coded label detection for DQPSK payload signals in packet -switched metropolitan area networks. Opt. Fiber Technol. 2011, 17, 141–144. [Google Scholar] [CrossRef]
- Yoo, S.J.B. Energy efficiency in the future internet: the role of optical packet switching and optical-label switching. IEEE J. Sel. Top. Quantum Electron. 2011, 17, 406–418. [Google Scholar] [CrossRef]
- Kanj, M.; Rouzic, E.L.; Meuric, J.; Cousin, B.; Amar, D. Optical power control in GMPLS control plane. IEEE/OSA J. Opt. Commun. Networking 2016, 8, 553–568. [Google Scholar] [CrossRef]
- Farghal, A.E.; Shalaby, H.M.H.; Kawasaki, Z. Multirate multiservice all-optical code switched GMPLS core network utilizing multicode variable-weight optical code-division multiplexing. IEEE/OSA J. Opt. Commun. Networking 2014, 6, 670–683. [Google Scholar] [CrossRef]
- Beyranvand, H.; Salehi, J.A. All-optical multiservice path switching in optical code switched GMPLS core networks. J. Lightwave Technol. 2009, 27, 2001–2012. [Google Scholar] [CrossRef]
- Seddighian, P.; Ayotte, S.; Rosas-Fernandez, J.B.; Penon, J.; Rusch, L.A.; LaRochelle, S. Label stacking in photonic packet-switched networks with spectral amplitude code labels. J. Lightwave Technol. 2007, 25, 463–471. [Google Scholar] [CrossRef]
- Chen, K.S.; Yang, C.C.; Huang, J.F. Using stuffed quadratic congruence codes for SAC labels in optical packet switching network. IEEE Commun. Lett. 2015, 19, 1093–1096. [Google Scholar] [CrossRef]
- Beyranvand, H.; Salehi, J.A. Multiservice provisioning and quality of service guarantee in WDM optical code switched GMPLS core networks. J. Lightwave Technol. 2009, 27, 1754–1762. [Google Scholar] [CrossRef]
- Kazemi, R.; Rashidinejad, A.; Nashtaali, D.; Salehi, J.A. Virtual optical buffers: a novel interpretation of OCDMA in packet switch networks. J. Lightwave Technol. 2012, 30, 2964–2975. [Google Scholar] [CrossRef]
- Lin, Y.M.; Yuang, M.C.; Lee, S.L.; Way, W.I. Using superimposed ASK label in a 10-Gb/s multi-hop all-optical label swapping system. J. Lightwave Technol. 2014, 22, 351–361. [Google Scholar] [CrossRef]
- Lallas, E.N.; Skarmoutsos, N.; Syvridis, D. Coherent encoding of optical FSK header for all optical label swapping systems. J. Lightwave Technol. 2005, 23, 1199–1209. [Google Scholar] [CrossRef]
- Willner, A.E.; Gurkan, D.; Sahin, A.B.; McGeehan, J.E.; Hauer, M.C. All-optical address recognition for optically-assisted routing in next-generation optical networks. IEEE Commun. Mag. 2003, 41, 38–44. [Google Scholar] [CrossRef]
- Xu, R.; Gong, Q.; Ye, P. A novel IP with MPLS over WDM-based broad-band wavelength switched IP network. J. Lightwave Technol. 2001, 19, 596–602. [Google Scholar]
- Alshaer, H.; Elmirghani, J.M.H. Multilayer dynamic traffic grooming with constrained differentiated resilience in IP/MPLS-over-WDM networks. IEEE Trans. Netw. Serv. Manage. 2012, 9, 60–72. [Google Scholar] [CrossRef]
- Habib, C.; Baby, V.; Chen, L.R.; Delisle-Simard, A.; LaRochelle, S. All-optical swapping of spectral amplitude code labels using nonlinear media and semiconductor fiber ring lasers. IEEE J. Sel. Top. Quantum Electron. 2008, 14, 879–888. [Google Scholar] [CrossRef]
- M’Sallem, Y.B.; Seddighian, P.; Rusch, L.A.; LaRochelle, S. Optical packet switching via FWM processing of time-stacked weight-2 codes. IEEE Photonics Technol. Lett. 2008, 20, 1712–1714. [Google Scholar] [CrossRef]
- Cincotti, G.; Naoya, W.; Kitayama, K. Characterization of a full encoder/decoder in the AWG configuration for code-based photonic routers—Part I: Modeling and design. J. Lightwave Technol. 2006, 24, 103–112. [Google Scholar] [CrossRef]
- Naoya, W.; Cincotti, G.; Yoshima, S.; Kataoka, N.; Kitayama, K. Characterization of a full encoder/decoder in the AWG configuration for code-based photonic routers—Part II: Experiments and applications. J. Lightwave Technol. 2006, 24, 113–121. [Google Scholar] [CrossRef]
- El-Sahn, Z.A.; Shastri, B.J.; Zeng, M.; Kheder, N.; Plant, D.V.; Rusch, L.A. Experimental demonstration of a SAC-OCDMA PON with burst-mode reception: Local versus centralized sources. J. Lightwave Technol. 2008, 26, 1192–1203. [Google Scholar] [CrossRef]
- Yang, C.C.; Chen, K.S.; Huang, J.F.; Kuo, J.C. Differential service in a bidirectional radio-over-fiber system over a spectral-amplitude-coding OCDMA network. Photonics 2016, 3, 53. [Google Scholar] [CrossRef]
- Yang, C.C. Hybrid wavelength-division-multiplexing/spectral-amplitude-coding optical CDMA system. IEEE Photonics Technol. Lett. 2005, 17, 1343–1345. [Google Scholar] [CrossRef]
- Noshad, M.; Jamshidi, K. Bounds for the BER of codes with fixed cross correlation in SAC-OCDMA systems. J. Lightwave Technol. 2011, 30, 1944–1950. [Google Scholar] [CrossRef]
- Wei, Z.; Shalaby, H.M.H.; Ghafouri-Shiraz, H. Modified quadratic congruence codes for fiber bragg-grating-based spectral-amplitude-coding optical CDMA systems. J. Lightwave Technol. 2001, 19, 1274–1281. [Google Scholar]
- Yang, C.C.; Huang, J.F.; Tseng, S.P. Optical CDMA network codecs structured with M-sequence codes over waveguide-grating routers. IEEE Photonics Technol. Lett. 2004, 16, 641–643. [Google Scholar] [CrossRef]








© 2018 by the author. Licensee MDPI, Basel, Switzerland. This article is an open access article distributed under the terms and conditions of the Creative Commons Attribution (CC BY) license (http://creativecommons.org/licenses/by/4.0/).
Share and Cite
Chen, K.-S. Label Stacking Scenarios in Hybrid Wavelength and Code-Switched GMPLS Networks. Electronics 2018, 7, 251. https://doi.org/10.3390/electronics7100251
Chen K-S. Label Stacking Scenarios in Hybrid Wavelength and Code-Switched GMPLS Networks. Electronics. 2018; 7(10):251. https://doi.org/10.3390/electronics7100251
Chicago/Turabian StyleChen, Kai-Sheng. 2018. "Label Stacking Scenarios in Hybrid Wavelength and Code-Switched GMPLS Networks" Electronics 7, no. 10: 251. https://doi.org/10.3390/electronics7100251
APA StyleChen, K.-S. (2018). Label Stacking Scenarios in Hybrid Wavelength and Code-Switched GMPLS Networks. Electronics, 7(10), 251. https://doi.org/10.3390/electronics7100251
