Abstract
The ageing of elevator travelling cables results in the breakage of inner copper strands, leading to communication and control faults in the elevator system. In this paper, a travelling cable state evaluation method based on time-frequency transformation and a deep learning fitting method is proposed. The cable diagnosis is based on the transmission line theory and finite element simulation results, which indicate that the number of broken strands of copper wires in twisted cables is positively related to the amplitude of fluctuation in the cable’s transmission spectrum. To evaluate this fluctuation with low cost and high accuracy, we acquired the 500 Msps time-domain signal after a square wave with different periods was transmitted through the detected cable; the transmission in base frequency and harmonics is calculated and combined into the total transmission spectrum. A deep learning model with a two-layer 1-D CNN and squeeze-excitation channel attention is utilized to fit the spectrum data, and cross-entropy is applied to estimate the departure between the fitting results and the experimental data, which serves as the cable’s broken-state index. Experiments demonstrate that the proposed method is able to detect minor cable faults such as one or two copper strands broken and could distinguish different broken states with a sensitivity of 16.42 ± 1.39 per break strand.
1. Introduction
Elevator travelling communication cables are mainly used for signal transmission and control in civil or industrial elevators [1]. The transmission signals mainly adopt CAN 2.0 and RS 485 standards [2,3], and the shielded twisted-pair cables are usually utilized as the transmission medium [4]. As the operating time of elevators increases, the cables age and degrade due to changes in environmental temperature and humidity as well as repeated bending. The leading damages, such as copper core oxidation, wire strand breakage, and degrading of the insulation layer, result in intermittent failures in elevator communication and control. And these failures are difficult to reproduce and diagnose since the travelling cables are always in motion and bending in various situations.
Cable electric detection usually involves the time-domain or frequency-domain methods. The former emits a short electric pulse with a duration of several or dozens of nanoseconds and detects the reflected signals caused by cable breakage. The time-domain method has drawbacks such as aliasing of multiple defect reflection signals, dispersion and expansion of the pulse when travelling long distances, and limited bandwidth below the Giga Hz. Frequency-domain methods, such as reflected frequency spectra or impedance spectra, could expand the signal bandwidth to dozens of GHz and are especially popular in the detection of insulation faults in power transmission lines and so on. Ohki Y. [5] et al. proposed to locate high-temperature points in a polymer-insulated cable using 1.5 GHz frequency-domain reflectometry and inverse fast Fourier transform [6,7] with a spatial resolution of 2.5 cm. Broader Band Impedance Spectrum [8] is also a useful tool to investigate the insulation degradation [9], and the signal source could be replaced by an electric pulse [10]. The advanced process algorithm [11] is developed to improve the spectrum methods; for example, attenuation coefficients of transfer function and another key parameter are estimated based on the total least squares and rotational invariance techniques [12,13]. In addition, the Dolph–Chebyshev Window [14] could be utilized to improve the Sensitivity in Cable Fault Location. Spectrum methods can also be used to detect moisture defects in HV cable insulation layers [15].
In recent years, deep learning methods have been extensively utilized for fault detection and localization of transmission cables in power systems. Iván L. Degano et al. [16] proposed a recent feature selection approach, LassoNet, providing the most informative measures during a fault resulting in a shortened data set, and validated our method on the IEEE 13 and 34 node test feeders for distribution systems. Soufiane Belagoune [17] et al. utilized Deep Recurrent Neural Networks for Fault Region Identification, Fault Type Classification, and Fault Location Prediction. Wei Guo et al. [18] propose a novel method of faulty line selection using spatial image generation and deep learning, which is verified in the IEEE-13 node model, IEEE-34 node model and StarSim platform. R. Karthick et al. [19] apply a Deep-Attention-Dilated-Residual-Convolutional Neural Network and Radial-Basis-Function Neural Network to predict the faults in the grid-connected microgrid.
As a promising fault diagnosis algorithm with outstanding accuracy and generalization performance, deep learning has also achieved applications in mechanical or radio-frequency electrical fault diagnosis extensively. H Miao [20] et al. proposed to utilize the deep learning method for mechanical Bearing Fault Diagnosis. A deep learning model called a large memory storage retrieval neural network is applied to the short-time Fourier transform of the acoustic sensor signals, which gives better performance at both the normal and relatively low input shaft speeds. He Ming Yao [21] et al. proposed to use the deep learning approach to detect unit failure in array antennas, the far-field radiation patterns of which are used as the input of the deep convolutional neural network for diagnosis learning. M Jiang et al. [22] proposed an ensemble deep learning approach for untrained compound fault diagnosis in bearings, deep convolutional neural network and k-means machine-learning methods, which are combined for better generalization ability. X Tang et al. [23] developed a crane wheel–rail fault detecting method based on YOLOv8 and the Swin Transformer, also using a combined model. Recently, digital twins have also been brought in to combine with the deep learning model and applied in bearing diagnosis [24,25,26].
However, the above methods and related algorithms directly applied to the diagnosis of elevator travelling cables may bring in some problems: (1) The length of travelling cables is limited, some of which are less than 10 m in short-travel elevators. The travelling cable’s fault detection focuses on the fault’s breakage degree rather than the precise fault location. (2) The communication faults are dependent on the transmitted waveform and its spectral characteristics, while existing methods mainly employ reflection signals. Due to thermal loss and electromagnetic emission, it is difficult to infer the transmitted spectrum signal from the reflected one. (3) The transmitted voltage is a high-frequency square wave (up to 80 MHz in some RS485 transmission devices) in elevator travelling cables, while, in power delivery cables, there is a three-phase sine wave with a base frequency of just 50 or 60 Hz. The significant difference in the voltage’s frequency range may lead to insufficient sensitivity in some algorithms. (4) The above methods are targeted at the insulation problems of the HV cable’s external polymer layer, while in travelling cables faults usually result from the oxidation of metal connectors or damage in the copper core, which belong to high-resistance faults and would have different wave or spectrum characters.
In this paper, we proposed an elevator travelling cable’s state evaluation method focusing on the copper core’s high-resistance failure, with high accuracy in detecting the cable’s breakage degree. The method transformed the square wave’s transmitted time domain signals with different periods into a combined transmitted frequency-domain spectrum, and then used a deep learning fitting method and cross-entropy (CE) to estimate the difference between the detected cable’s transmission spectrum and the ideal normal cable’s transmission spectrum. The fitting model includes a two-layer 1-D Convolutional Neural Network (CNN) model and the channel attention with squeeze-excitation block, which is proven to be sensitive to even two copper-strands breakage. Our proposed method utilizes the transmission signals instead of the reflected ones, thus avoiding the thermal effect and electric-magnetic emission-induced interference.
2. Theory and Methods
2.1. Theoretical Analysis
The aged travelling cable’s inner copper cores always have cracks or broken strands that increase with usage time, which are accompanied by the hardening and breakage in insulation layer. Both cases lead to changes in the characteristic impedance at the fault point of the cable, causing electric signal reflection and interfering with output waveform.
According to the transmission line theory [27,28], the damaged cables could be modelled as the structure shown in Figure 1. The cable model is divided into 3 sections, namely, the normal Section 1, the broken Section 2, and the normal Section 3. The input signal is supposed to be a sinusoidal-wave voltage. The end of the cable is connected to a 120 Ω resistor that matches the cable’s characteristic impedance to prevent signal reflection.
Figure 1.
Schematic diagram of signal transmission when there is one fault point in the elevator communication cable. The arrows represents the electric signal transmission direction.
The signal transmitted through the cable can also be divided into three parts [28]: (1) S1, signals directly transmitted from the beginning to the end without any reflection; (2) S2, the sum of the signals that are reflected between the reflective points f0 and f1 and then escape from f1; (3) S3, the sum of the signals that are reflected between the f0 and f2 and then leave from f2. Their expressions are shown as
S2 and S3 could be expanded as
Assuming that the phase dependence of the two reflecting surfaces Rf1 and Rf2 is not considered, and their value is independent of f, thus could be regarded as constant, and they are determined by the breakage state, rewritten as
Because the length of the damaged Section 2 is much shorter than the cable’s total length, the changes in inductance L and capacitance C of Section 2 are also neglected. We have , and z is the distance from the origin. S2 and S3 could be combined and rewritten as
where c1 and c2 is the amplitude of the exponent function in numerator and denominator, and directly related to A and the reflection coefficients. L and C are the inductance and capacitance of the cable per unit length, is the circular frequency of the signal, is the total length of the cable, and is the distance from the defect location to the end of the cable. Equation (9) is a simplification of Equations (3) and (4). In practical application, it is difficult to accurately estimate the electrical parameters of the actual cable, which is simplified to a constant c that can be easily fitted in the experiment and application scenarios.
To extend the number of defect points from 1 to n, the cable is supposed to be divided by n defects into 2n + 1 sections. The odd-numbered sections represent normal areas and even-numbered sections represent fault points. The expanded total transmitted signal combined can be written as
where is the directly transmitted signal without reflection. The summation term in Formula (10) describes the total transmitted signals related to defect reflection and is the superposition of several periodic fluctuating signals. The definitions of and are the same as those in Equation (4), and subscript i denotes they belong to the defect i. When the degree of fault increases, the total oscillation amplitude of the summation term will also increase, which is the basis for determining the degree of cable damage. Formulas (10) and (11) are the generalizations of Formulas (1)–(4); the case with a single fault is expanded to that with multiple faults. Because the electrical parameters of the actual fault cable are difficult to estimate accurately, the fault characteristics are described by fitting parameter and , which are convenient for actual measurement and calculation.
It should be noted that Formula (10) is only a generalization of Formula (9), which is used to demonstrate that the theory proposed in this paper is applicable to multiple defects and faults. However, in actual working conditions, due to the centralized effect of defects, there is usually only one defect that has a serious impact on the output waveform of twisted pair cables. For cables less than 20 m in length, there will not be more than three significant faults at most. The simulation and experimental results in this paper are for single defect fault in cables, and the situation of multiple defects and faults will be discussed in future work.
The derivation of Formulas (1)–(11) refers to Figure 4.18 on page 161, Figure 4.19 on page 163, Formula (4.59) on page 162 and Formula (4.61) on page 164 in ref. [27]. The above figures and formulas describe the transmission signal reflection caused by the impedance mismatch between the load and the transmission line. In this paper, the physical image and calculation formula are extended from the single load mismatch case to that induced by multiple defects in the cable, and the reflections of defects at both ends are discussed.
The frequency-domain response can be converted into the time-domain response of a square wave by the inverse Fourier Transform [29], which is given by
where is the duration of the square wave high-level signal, and is the circular frequency of the square wave signal, and n is the number of samples. Formula (12) involves Fourier transformation processing of square wave, which is mainly used to eliminate the influence of high-order harmonic signal in square wave on output signal. It is not the core content of transmission line theory but regarded as a digital signal processing method, and the formula comes from reference [18].
2.2. Simulation Results
The transmission spectrum and time-domain signal of the damaged twisted-pair cable were simulated by using the three-dimensional finite element method (FEM). The simulation parameters are set as follows: The cable length is 7 m, the distance from the defect to the input end is 1 m, the diameter of the cable copper core is 2 mm, the spacing between twisted copper cores is 4 mm, the insulation layer thickness is 1 mm, the dielectric constant of the insulation layer dielectric is set to 2.3, and the dielectric constant of air is set to 1. The matching impedances at both the input and output terminals are set to 120 Ω. The boundary condition is an absorption boundary condition.
The FEM mesh generation diagram for simulation is presented in Figure 2a. The meshed areas represent the insulating dielectric or air regions through which electromagnetic waves can propagate, while the blank areas denote the metallic regions. The area where the metal cable is damaged is filled with air medium in model.
Figure 2.
Finite element simulation results of radio frequency electromagnetic field of twisted-pair cable. The gray area represents the dielectric area of electromagnetic wave propagation. (a) The FEM mesh generation diagram for simulation; (b) the simulation results of transmission spectra of the cable in different breakage states.
Figure 2b presents the simulation results of transmission spectra of the cable in different breakage states, with the frequency range of 0–100 MHz. The shapes of the copper core damage are set as bow-shaped, as shown in Figure 2a. Its length is 50 mm, and widths are set to 0 mm, 1.0 mm, 1.5 mm, 1.9 mm and 1.99 mm, respectively. As the degree of cable damage increases, the oscillation amplitude of the transmission spectrum is also gradually enlarged, consistent with the conclusion from Equation (10).
Figure 3 shows the time-domain transmission square wave with frequencies of 5 MHz and 31.25 MHz, calculated with data in Figure 2b and Equation (7). Figure 3a demonstrates that the 5 MHz square waves keep their shapes after travelling through the different cables, while the oscillation that appears on the high/low level becomes larger as the cable breakage area increases. Figure 3b depicts the transmitted square wave of 31.25 MHz with degraded shape approach to sine wave. As the cable damages more severely, mutational characteristics gradually emerge at the bottom of wave.
Figure 3.
Simulation waveform of 5 MHz and 31.25 MHz square waves transmitted through twisted wires. (a) the 5 MHz square waves; (b) square wave of 31.25 MHz.
2.3. Deep Learning Self-Regression Method Based on CNN Model and Channel Attention
According to Equation (5), the degree of damage is primarily determined by the second term of the transmission spectrum; a greater degree of damage corresponds to a larger amplitude of the periodic signals, as indicated by Figure 3b. To efficiently extract the oscillating characters, a reasonable method is to fit the first term S1n, whose shape is in theory supposed to be a superposition of exponential function without singular character in its smooth shape. By subtracting the actual measured data from this fitting result S1n, the fluctuating signal due to the cable damage can be obtained.
Traditional fitting methods usually require specifying the function type and fitting parameters, and the fitting results are sensitive to initial values and search ranges. Its robustness is also bad especially in the case that the travelling cables may be twisted in any shape and located in complex environments with temperature and humidity variation. These factors will alter the shape of transmission of spectrum, making the former fitting parameters unsuitable and fitting process fail.
Deep learning and machine learning can be utilized for curve fitting. To enhance the robustness and reliability of the fitting process, as well as to improve the accuracy of state estimation algorithms, we propose an algorithm based on the CNN [30,31,32] model with squeeze-and-excitation (SE) channel-attention [33,34]. The structures and merits of CNNs have been carefully discussed in Ref [30,31,32], and the utilized CNN’s channel attention is briefly discussed in the following.
For a 1D CNN feature map (channels , sequence length ), the SE block computes channel weights as follows:
where represents the global average pooling, namely, the squeeze operation to channel outputs of CNN (), ReLU is the activation function, and and are the weights of the two linear layers. Sigmoid is also the activation function, which plays the role of excitation operation.
The overall structure of the fitting model, as shown in Figure 4, consists of three parts:
The first part is a double-layer one-dimensional CNN model. The first layer of one-dimensional CNN expands the number of channels of the fitted data from 1 to 32, and the second layer of CNN expands the number of channels from 32 to 64. Each layer has the kernel size of 3*1, padding size of 1 and stride equal to 1, followed by the batch norm layer and ReLU activation layer. The batch norm’s channel parameter is set to equal the output channels, equal to 32 or 64 in the two CNN layers.
The second part is the SE attention block corresponding to Equation (12). The total structure is composed of five blocks including global pooling layer, a full-connecting (FC) layer to squeeze the data of 64 channels of former CNN model into 16 channels, followed by a ReLU activation layer, another FC layer to excite the 16 channels back into 64-channel data and followed by a sigmoid layer. The two FC layers with mirror structures attracted the channel attention information by sequencing the channel data from size of 1*1*64 into 1*1*16 and then expanded them back to the size of 1*1*64.
The third part is a simple 3-layer MLP with three layer sizes of 64, 128 and 32, used to transform the 64-channel data into a scalar result, namely, the predicted fitting value.
The model’s structure selection was selected from the popular value. For kernel size, padding number and stride number, we just chose the most used value. The number of CNN layers was set to 2 because further increasing the layer resulting the vanishing gradients. The channel number was set to transform from 16 to 64 since they are commonly used channel values.
The training process is described as follows: The model was written using Pytorch 1.12.0 with CPU and Python version 3.10.4. The training batch size was set to 50. The optimizer is the Adam with learning rate set to 0.01.
To avoid data overfitting, which may result in a simple fitted straight line, a regularization method based on “Early stopping” was utilized. The loss value for every loop was monitored and filtered by a 10-point average filter to smooth the loss curve. When its 1st-order derivative with respect to epoch number was less than 5 × 10−6/epoch, the loss function is supposed to approach its minimum value, and the training is stopped. And the derivative of smoothed loss-curve is defined as follows:
where n and m are the number of epochs, is the value of loss function after m epoch training, and represents the smoothed loss function values after n epoch training, which have removed the noise.
It should be noted that the deep learning fitting method proposed in this paper is a data regression method, which can be understood as a generative model, not a classification model. The transmission spectrum of cable containing defect oscillation is known, and the fitting results excluding the interference of defect noise can be obtained through training. Therefore, for the method in this paper, there is no split between training set and verification set, and the statement of verification set segmentation is not applicable to this method, as well. The parameters to verify the effectiveness and performance of the method are the parameters such as sensitivity, analog accuracy and linearity provided in Section 3.
The validation was conducted on one baseline cable without breakage and 8 break wires with different broken states, and the related results and discussion are shown in Section 3.
Cross-entropy [35] was used to evaluate the oscillated deviation of the real spectrum data from the fitted S1n, by calculating the average amount of information required to encode the predicted value using the measured value , which is defined as follows:
where N represents the normalization function, so that the distribution of predicted and experimental values is between 0 and 1.
Cross-entropy is a very popular loss function in deep learning. Since the transformed spectrum data points are discrete values, we also use them directly to determine the difference between real data and fitting results, as a measure of the oscillation degree of the breakage-induced signals.
Figure 4.
Fitting model with CNN and SE channel Attention.
Figure 4.
Fitting model with CNN and SE channel Attention.

Based on the above analysis, the cable state estimation algorithm is illustrated in Figure 5. For low-cost consideration, we did not apply the expensive vector analyzer to acquire the transmission spectrum, but we did use the oscilloscope to acquire the time-domain transmitted square waves with base frequency range from 1 MHz to 60 MHz and perform their Fourier Transforms. The transformed and combined spectrum was then regressed by a CNN model with channel attention, and CE of the spectrum data and its fitting data was applied as the index of cable breakage state.
Figure 5.
Schematic of cable state estimation based on DL regression.
3. Results
3.1. Experimental Set-Up
To verify the proposed method, we tested the shielded twisted wires with different breakage degrees using the schematic shown in Figure 5. The break-twisted wires are prepared by bending repletely in high intensity and then subjected to stress to make a certain number of copper strands break, in order to simulate the process of the elevator’s cable breaking. The quantity of break wire strands is related to the bending amplitude, number of bending cycles and the applied stress. The cables are firstly tested with proposed methods and then checked by stripping their insulation layers and shielding layer, as shown in Figure 6a.
Figure 6.
Experimental set-up: (a) Damaged twisted wires detected in experiments. (b) HF square-wave generator made of VCO and MCU. (c) Entire experimental set-up.
Five types of damaged cables with red (black) wire break strands, counts of 2(3), 4(6), 6(7), 9(11), and 17(21), were prepared and tested, also compared with the results of good 30-strand twisted cable. Since the total number of copper wires of the red and black cable in the twisted pair is both 30, to cover the cable state under different working conditions, the five damaged cable samples were used in the experiment based on the following considerations. The first two, named 2(3) and 4(6), have the breakage ratios of 8.3% and 16.7%, belonging to low-degree damage with breakage less than 20%. The third and fourth damage cable samples, with 6(7) and 9(11) strands broken in red (black) wire, have a breakage ratio of 21.7% and 33.3%, belonging to moderate damage degree within the ratio range from 20% to 50%. The last sample, labelled by 17(21), has a broken wire ratio of 63.3%, which is more than 50% and belongs to serious damage. Because the test method needs to examine the sensitivity of the judgment results, the sample density of slightly faulty cables is higher than that of severely faulty cables.
The experiment set-up is shown in Figure 6c. The voltage-controlled oscillator (VCO) chip Si5351A from SiTime in USA is adopted to output high-quality and frequency-stable square waves, and the control of the VCO is realized through the I2C interface of the microcontroller ESP32. The output impedance of the VCO is 85 Ω. To avoid signal reflection, a jumper with a characteristic impedance of 85 Ω is selected as the output terminal and connected to the twisted pair through DuPont wire and plastic wire clamps. The end of the cable is short-circuited with a 120 Ω resistor to prevent signal reflection. The virtual oscilloscope 6254BE from Hantec in China with a sample rate of 500 million samples per second (MSPS) and 250 MHz bandwidth is adopted to acquire the transmitted square wave in automation. The data processing and deep learning fitting are conducted using Python language with NumPy 1.24.4 and Pytorch 1.12.0.
3.2. Experimental Results and Discussions
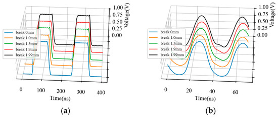
Figure 7a,b show the acquired time-domain signals of 5 MHz and 30 MHz square waves that travelled through twisted cables in different breakage states. It is found that 5 MHz signals retain the shape of a square wave, and the signal waveforms in different cables are similar and difficult to distinguish, while the 30 MHz signal’s shape is close to the sine wave as the simulation results. Also, the bottom of the wave in 9 or 17 strands broken in red wire shows the apparent slope character, also predicted by the FEM simulation results (Figure 3).
Figure 7.
Time-domain signals of (a) 5 MHz and (b) 30 MHz square waves transmitted through cables in different breakage degrees. The title of subfigures is named by their breakage strands in red wire of twisted cables.
Figure 8a,b show the spectrum of good cable and the cable with 9(11) breakage strands in red (black) wire, which are transformed from time-domain signals with different periods. It should be noted that the harmonic intensity of a square wave decays as 1/n, where n is the order of the harmonics. Since the resolution of the virtual oscilloscope is 256, harmonic orders larger than 100 have an intensity less than 1 or 2 resolutions. To exclude the uncertainty, only the first eight odd harmonics of FFT were preserved for combining the whole transmission spectrum.
Figure 8.
Spectrum of (a) good cable and (b) cable with 9 strands of breakage, transformed from square wave’s time-domain signals in frequencies of 2 MHz, 5 MHz, 10 MHz, 15 MHz, 20 MHz and 30 MHz.
The combined transformed spectrum is shown as the scatter in Figure 9. The original time-domain wave-data are all averaged over six periods, to suppress the potential noise. The fitting lines for different breakage-state cables are generated by a deep learning model whose structure is shown in Figure 4. The training process is described as follows: every epoch the programme randomly chooses 50 points in combined spectrum data as the inputs and then trains for 100 epochs to avoid over-fitting. It is found that the fitted lines could represent the varied trend of spectrum data. CE is used to characterize the deviation between the fitted data and original data and distinguishes the cables in different breakage states, even for the just two-strand breakage.
Figure 9.
Combined transformed transmission spectrum for 6 different states of cable.
To further verify the relationship between the cross-entropy and breakage strands, another three breakage cable samples were also added, and their breakage strand numbers in red (black) wires are 12(11), 22(22) and 25(26). Figure 10 shows the relationship between the cross-entropy and number of average break strands of two-wire twisted-pair cables with one baseline cable without breakage and eight types of damaged samples. It is found that there is a high linearity (0.991) between the two parameters, indicating that the cross-entropy is an effective index to evaluate the cable’s breakage state. The slope of the fitted straight line is interpreted as the detection sensitivity of the method, meaning that one strand’s breakage results in an increase of 16.42 ± 1.39 in CE.
Figure 10.
Relationship between the cross-entropy and number of average break strands of two-wires of twisted-pair cables.
The meaning of sensitivity is explained as follows. The five cable samples with different breakage degrees can be distinguished from the baseline data of the reference cable; that is, the intact cable, and the actual damage degree of the cable can be determined and verified by the results and sensitivity in Figure 10. After obtaining the deep learning fitting cross-entropy of the cable sample, the damage degree of the cable Bsample is estimated by the following formula:
where is the obtained cross-entropy of the sample cables, and is that of the good cables, which is regarded as the baseline. is 16.42, which is the mean value of slope calculated by linear fitting. N is the total number of the strands in one wire, for our case is equal to 30. is the standard deviation value of the Sensitivity. The value of damage degree Bsample could be divided into three ranges: (a) slight damage with Bsample ≤ 0.2, (b) moderate damage with 0.2 < Bsample ≤ 0.5 and (c) serious damage, Bsample > 0.5. These divided ranges could be regarded as the fault alarm for different damage degrees.
The uncertainty and confidence interval of sensitivity are calculated as follows:
where xi is the ith sample’s spectrum’s cross-entropy, and its standard error is . Set α = 0.05, and the Sensitivity’s 1 − α = 0.95 confidence interval is [13.1309, 19.7045]. The p value of Sensitivity is 7.07 × 10−6, which is apparently less than 0.05, meaning that the Sensitivity is significantly not equal to 0.
To verify the accuracy of sensitivity parameters obtained from the existing eight different damaged cable samples and one intact baseline sample, we provide three additional independent samples for testing, covering three categories of low damaged cable, medium damaged one and severely damaged one, respectively. The number of broken wires of these three samples is different from that of other samples, and the numbers of damaged strands in red (black) wire are 5(5), 10(12) and 24(23), and the test results of the Sensitivity parameter are shown in Table 1.
Table 1.
Test results of Sensitivity parameter.
The first column of Table 1 shows the number of broken wires of red and black wires in a twisted pair cable, and the second column shows the average number of broken wires of red and black wires. The third column is the cross-entropy and its standard deviation obtained by fitting the transmission spectrum. The fourth column is the average number of damaged strands estimated by Sensitivity 16.42 and Formula (17), and the fifth column is the relative error between the estimated result and the actual number of broken strands. For severely damaged cables, the error of this method is less than 5%, while the error is less than 10% for moderate damage and less than 15% for slight damage due to a weak fault signal.
3.3. Discussions
3.3.1. Performance Comparison with Control Group Methods
The proposed cable state evaluation method is to evaluate the amplitude of fault oscillation through (1) the combined cable transmission spectrum after square wave time-frequency transformation and (2) the curve fitting with a deep learning CNN channel attention model. Thus, to compare our methods to other frequency-domain methods or other machine-learning fitting models, we design two control groups of evaluation methods:
One is the directly measured cable’s transmission spectrum using the vector network analyzer (VNA), and the fitting model still utilizes the channel-attention method the same way as the proposed method. The other is the combined transformed transmission spectrum with the supporting vector regression (SVR) curve fitting. Both methods are listed in Table 1 for comparison.
For the first compared method, the directly measured cable’s transmission spectrum is acquired with the sample cable samples described in Section 3, and the measured frequency range is 1 MHz~150 Hz with 101 sample points. The used instrument is NanoVNA with an accuracy of 1%. The repeated measured number is 10, which is the same as the proposed method.
For the second compared method, the SVR parameter is set as follows: a Gaussian kernel is used, and the selection parameters are penalty parameter C = 0.05, Gaussian kernel coefficient ζ = 0.001, and cross-entropy is still used as the index to evaluate the cable breakage state.
As seen in Table 2, the analog accuracy is determined by the time-domain or frequency-domain measurement instruments; since the VNA uses a logarithmic amplifier to detect the transmission voltage, its analog accuracy is limited to 1%. While the digital oscilloscope’s accuracy is determined by its 8-bit resolution and could be further improved, the frequency-domain method with VNA has a relatively low sensitivity and linearity due to its lower analog accuracy. The machine-learning fitting method with SVR has a fitting linearity of less than 0.9, and its sensitivity is also 19.5% less than the proposed method. The relationships between the cross-entropy and damaged strand number for the two control group methods are shown in Figure A1.
Table 2.
Performance comparison with time frequency-domain method or machine-learning fitting.
3.3.2. Influencing Factors on Sensitivity
Our method’s sensitivity parameters are directly affected by the following factors:
- (1)
- Resolution of Oscilloscopes. After the waveforms are collected and subjected to Fourier transformation, the measurement accuracy of the fundamental wave in the transmitted signal directly influences the fitting results. For an oscilloscope or an analog-to-digital converter with an 8-bit resolution, the accuracy of fundamental wave signal measurements is limited to 1/256 of the full measurement range. In contrast, an oscilloscope with a 14-bit resolution can enhance measurement accuracy by a factor of 64, reaching a level of 6.1 × 10−5. The measured accuracy of high-order harmonic signals will also improve proportionally.
- (2)
- Selection of Harmonic Orders. Utilizing high-order harmonics of a square wave is equivalent to expanding the frequency range of signal measurement, thereby enhancing the accuracy of deep-fitting results. Since the intensity of harmonic components in a square wave signal decreases as 1/n, the accuracy of high-order harmonics is affected by the resolution of the oscilloscope or ADC and external noise. Theoretically, the range of high-order harmonics that can be selected for an m-bit resolution oscilloscope is 2m−n times that for an n-bit resolution oscilloscope.
- (3)
- The influence of noise. The magnetic flux area of the positive and negative cables of the twisted pair is 0, and it usually contains the external shielding layer. Under the normal grounding condition of the shielding layer, the interference of external electromagnetic interference noise on the signal is very limited. For the presence of serious external interference, averaging multiple measurements is an effective method to reduce noise and improve the signal-to-noise ratio. However, this process would significantly increase the total diagnosis time.
3.3.3. Limitations and Generalizability
The limitation and generalization performance of the cable state assessment method could be discussed in the following three aspects:
- (1)
- The influence of cable length on generalization performance. The measurement base frequency range of the transformed transmission spectrum is 1 MHz~100 MHz, which could be expanded by its higher harmonics. As the measurement method mainly detects the oscillation amplitude caused by cable defects, in order to improve detection accuracy, it is usually necessary for the oscillation frequency-domain signal to cover more than three cycles within the detection range, as shown in the simulation results in Figure 2b. When the cable is too short, the period (in units of frequency) of the oscillating signal may exceed the frequency detection range, which may cause misjudgment in the detection. Selecting high-order harmonic signals can expand the frequency-domain measurement range, but their signals are relatively weak with an amplitude of 1/n, which may cause a decrease in measurement accuracy. For our proposed methods, utilized measured parameters and the deep learning model’s parameters, it is suggested that the measured sample cables’ length should be larger than 5 m. When the length of the cable to be tested exceeds 20 m, due to the significant reduction in oscillation period, it is recommended to increase the number of frequency sampling points to improve the accuracy of the oscillated signal’s amplitude estimation.
- (2)
- Operating conditions. When a cable is excessively bent, the bending point also generates apparent impedance changes, which could be considered as a breakage region, and generate the fluctuation in the transmitted signal. Therefore, excessive bending of cables should be avoided when conducting state assessment, and the measured sample breakage cable is also required to maintain a similar degree of bending as the reference baseline cable. Alternatively, measurement results from multiple different bending states of the sample should be averaged to suppress the influence of cable bending on measurement results.
- (3)
- Influence of cable types. The proposed method is theoretically applicable to all transmission line cables, such as coaxial cables, microstrip lines, or twisted pair cables with characteristic impedances other than 120 Ω. However, the deep learning fitting parameters used in this paper may be applicable to twisted-pair cables with a characteristic impedance of 120 Ω. To estimate the breakage state for other transmission-line cables such as coaxial cables with a 50 Ω impedance, it is better to modify the fitting training parameters to adapt to the changed characteristic impedance of measured cables.
4. Conclusions
In this paper, we proposed an elevator travelling cable’s fault diagnosis method that focuses on the high-resistance failure resulting from copper cores’ breakage. The method transformed the square wave’s transmitted time domain signals into the frequency-domain transmission and then combined them. Cross-entropy is utilized to estimate the difference between the detected cable’s transmission spectrum data and the fitting one, which is generated by a deep learning model including a two-layer 1-D CNN model and channel attention with squeeze-excitation block. Experiments demonstrate that the proposed method is able to detect the minor cable faults, such as one or two copper strands broken, and could distinguish the different broken states with a sensitivity of 16.42 ± 1.39 per break strand.
The method has the following advantages: (1) It is sensitive to the breakage states and high-resistance faults of the copper wires in the elevator travelling cable. (2) By using the transmission time-domain signals, it avoids the errors resulting from the reflected signals. (3) It is low-cost, using a popular 500 MHz oscilloscope and a VCO instead of an expensive vector analyzer or network analyzer.
The simulation and experimental results in this paper only verify the single defect fault in cables. For the case where there may be 2–3 defects at the same time, because there is usually a certain distance between their positions, the defects generated usually contain oscillations of different frequencies, and these oscillations cannot be superimposed and offset each other due to different frequencies. The method proposed in this paper is used to detect the amplitude superposition of all oscillations, so in principle, the accuracy will not be affected. Relevant experiments and conclusions will be further verified in future work.
Author Contributions
Conceptualization, Z.H. and N.X.; methodology, N.X. and J.C.; software, Y.L.; validation, R.Y. and Z.L.; writing—original draft, N.X. and Z.H.; writing—review and editing, Z.H., N.X., Y.L. and J.C.; supervision, Z.H. and N.X. All authors have read and agreed to the published version of the manuscript.
Funding
This work was supported in part by a self-supporting project of Fujian Special Equipment Inspection and Research Institute (FJTJ2023025); the National Natural Science Foundation of China (51708030); and the guiding project of Fujian Provincial Department of Science and Technology (2017H0013).
Data Availability Statement
The original contributions presented in this study are included in the article. Further inquiries can be directed to the corresponding author.
Conflicts of Interest
Author Zhenhua Li was employed by the company China Merchants Xinjiang Special Equipment Inspection Technology Research Institute Co., Ltd. The remaining authors declare that the research was conducted in the absence of any commercial or financial relationships that could be construed as a potential conflict of interest.
Abbreviations
The following abbreviations are used in this manuscript:
| CNN | Convolutional neural network |
| CE | Cross-entropy |
| FEM | Finite element method |
| SE | Squeeze-and-excitation |
| MSPS | Million samples per second |
| VCO | Voltage-controlled oscillator |
| VNA | Vector network analyzer |
| SVR | Supporting vector regression |
Appendix A
Figure A1.
Relationship between the cross-entropy and number of average break strands of two-wires of twisted-pair cables for 2 control methods: (a) Transmission frequency spectrum with VNA combined with channel attention fitting. (b) Transformed combined transmission spectrum combined with SVR fitting.
Figure A1.
Relationship between the cross-entropy and number of average break strands of two-wires of twisted-pair cables for 2 control methods: (a) Transmission frequency spectrum with VNA combined with channel attention fitting. (b) Transformed combined transmission spectrum combined with SVR fitting.

References
- T/CEA 022—2019; Travelling Cable for Lifts. Standard of China Elevator Association. China Elevator Association: Langfang, China, 2019.
- ISO11898-2; International Standard: Road Vehicles-Controller Area Network (CAN). International Organization for Standardization (ISO): Geneva, Switzerland, 2003.
- TIA/EIA-485-A; TIA/TEA Standard: Electrical Characteristics of Generators and Receivers for Use in Balanced Digital Multipoint Systems. Telecommunications Industry Association: Arlington, VA, USA, 1998.
- YD-T 8382-2016; Communication Industry Standard of the People’s Republic of China: Digital Communication Twisted-Pair/Star-Twisted Symmetrical Cables—Part 2: Horizontal Twisted-Pair Cables. Ministry of Industry and Information Technology of the People’s Republic of China: Beijing, China, 2016.
- Ohki, Y.; Yamada, T.; Hirai, N. Precise location of the excessive temperature points in polymer insulated cables. IEEE Trans. Dielectr. Electr. Insul. 2013, 20, 2099–2106. [Google Scholar] [CrossRef]
- Ohki, Y.; Hirai, N. Detection of abnormality occurring over the whole cable length by frequency domain reflectometry. IEEE Trans. Dielectr. Electr. Insul. 2018, 25, 2467–2469. [Google Scholar] [CrossRef]
- Ohki, Y.; Hirai, N. Location attempt of a degraded portion in a long polymer-insulated cable. IEEE Trans. Dielectr. Electr. Insul. 2018, 25, 2461–2466. [Google Scholar] [CrossRef]
- Mo, S.; Zhang, D.; Li, Z.; Wan, Z. The Possibility of Fault Location in Cross-Bonded Cables by Broadband Impedance Spectroscopy. IEEE Trans. Dielectr. Electr. Insul. 2021, 28, 1416–1423. [Google Scholar] [CrossRef]
- Deng, Y.; Zhang, B. Impact of Insulation Degradation Length, Severity, and Boundary on Cable Defect Localization Using Broadband Impedance Spectrum. IEEE Trans. Instrum. Meas. 2025, 74, 3546212. [Google Scholar] [CrossRef]
- Deng, Y.; Zhang, B. A Pure Pulse Voltage-Based Method for Broadband Impedance Spectrum Measurement of Cables. IEEE Trans. Instrum. Meas. 2025, 74, 6506408. [Google Scholar] [CrossRef]
- Hu, Y.; Chen, L.; Liu, Y.; Xu, Y. Principle and Verification of an Improved Algorithm for Cable Fault Location Based on Complex Reflection Coefficient Spectrum. IEEE Trans. Dielectr. Electr. Insul. 2023, 30, 308–316. [Google Scholar] [CrossRef]
- Tang, Z.; Zhou, K.; Meng, P.; Xu, Y.; Zhang, H.; Jiang, K. An Estimation Method of Subsegment Attenuation Coefficient of Power Cables Based on TLS-ESPRIT in Frequency Domain Reflection. IEEE Trans. Instrum. Meas. 2025, 74, 2517009. [Google Scholar] [CrossRef]
- Jiang, W.; Wang, D.; Liu, B.; Hu, Y.; Zhou, L. Fault Diagnosis for Shielded Cable in EMUs Based on TLS-ESPRIT and 3D-BIS Images. IEEE Trans. Transp. Electrif. 2025, 11, 2230–2242. [Google Scholar] [CrossRef]
- Mu, H.; Zhang, H.; Zou, X.; Zhang, D.; Lu, X.; Zhang, G. Sensitivity Improvement in Cable Faults Location by Using Broadband Impedance Spectroscopy with Dolph-Chebyshev Window. IEEE Trans. Power Deliv. 2022, 37, 3846–3854. [Google Scholar] [CrossRef]
- Huang, J.; Zhou, K.; Zhao, Q.; Xu, Y.; Meng, P.; Yuan, H.; Fu, Y.; Lin, S. Diagnosis and Localization of Moisture Defects in HV Cable Water-Blocking Buffer Layer Based on Characteristic Impedance Variation. IEEE Trans. Dielectr. Electr. Insul. 2024, 31, 3322–3330. [Google Scholar] [CrossRef]
- Degano, I.L.; Fiaschetti, L.; Lotito, P.A. Location of faults based on deep learning with feature selection for meter placement in distribution power grids. Int. J. Emerg. Electr. Power Syst. 2024, 25, 657–666. [Google Scholar] [CrossRef]
- Belagoune, S.; Bali, N.; Bakdi, A.; Baadji, B.; Atif, K. Deep learning through LSTM classification and regression for transmission line fault detection, diagnosis and location in large-scale multi-machine power systems. Measurement 2021, 177, 109330. [Google Scholar] [CrossRef]
- Guo, W.; Shi, Y. A visual faulty feeder detection method for power distribution network based on spatial image generation and deep learning. IET Gener. Transm. Distrib. 2023, 24, 5430–5445. [Google Scholar] [CrossRef]
- Karthick, R.; Saravanan, R.; Arulkumar, P. Fault Detection and Fault Location in a Grid-Connected Microgrid Using Optimized Deep Learning Neural Network. Optim. Control. Appl. Methods 2025, 46, 896–911. [Google Scholar] [CrossRef]
- He, M.; He, D. Deep Learning Based Approach for Bearing Fault Diagnosis. IEEE Trans. Ind. Appl. 2017, 53, 3057–3065. [Google Scholar] [CrossRef]
- Yao, H.; Li, M.; Jiang, L. Antenna Array Diagnosis Using a Deep Learning Approach. IEEE Trans. Antennas Propag. 2024, 72, 5396–5401. [Google Scholar] [CrossRef]
- Miao, J.; Yang, X. An Ensemble Deep Learning Approach for Untrained Compound Fault Diagnosis in Bearings Under Unstable Conditions. Meas. Sci. Technol. 2023, 35, 025907. [Google Scholar] [CrossRef]
- Li, Y.; Tang, X.; Liu, W.; Huang, Y.; Li, Z. An Improved Method for Detecting Crane Wheel–Rail Faults Based on YOLOv8 and the Swin Transformer. Sensors 2024, 24, 4086. [Google Scholar] [CrossRef]
- Gao, Q.; Zhen, C.; Wu, S.; Li, D.; Li, G. Bearing Fault Diagnosis Method Fusing Digital Twin and Multiscale Feature Extraction. IEEE Sens. J. 2025, 25, 23767–23780. [Google Scholar] [CrossRef]
- Lu, Q.; Li, M. Fault Prediction Method Towards Rolling Element Bearing Based on Digital Twin and Deep Transfer Learning. Appl. Sci. 2025, 15, 12509. [Google Scholar] [CrossRef]
- Hou, B.; Wang, Y.; Wang, D. Investigations on Multiclass Classification Model-Based Optimized Weights Spectrum for Rotating Machinery Condition Monitoring. J. Dyn. Monit. Diagn. 2025, 4, 76–90. [Google Scholar]
- Howard, J.; Martin, G. Transmission Lines. In High-Speed Digital Design: A Handbook of Black Magic; Pearson Education Aisa Ltd.: Hong Kong, 1993. [Google Scholar]
- David, M. Transmission line theory. In Microwave Engineering, 4th ed.; Wiley: New York, NY, USA, 2011. [Google Scholar]
- Richard, G. The discrete Fourier Transform. In Understanding Digital Signal Processing, 2nd ed.; Pearson Education Aisa Ltd.: Hong Kong, 2004. [Google Scholar]
- Krizhevsky, A.; Sutskever, I.; Hinton, G. ImageNet Classification with Deep Convolutional Neural Networks. In Proceedings of the 25th International Conference on Neural Information Processing Systems (NeurIPS), Lake Tahoe, NV, USA, 3–6 December 2012; pp. 1097–1105. [Google Scholar]
- Simonyan, K.; Zisserman, A. Very Deep Convolutional Networks for Large-Scale Image Recognition. In Proceedings of the 3rd International Conference on Learning Representations (ICLR), San Diego, CA, USA, 7–9 May 2015; pp. 1–14. [Google Scholar]
- He, K.; Zhang, X.; Ren, S.; Sun, J. Deep Residual Learning for Image Recognition. In Proceedings of the 2016 IEEE Conference on Computer Vision and Pattern Recognition (CVPR), Las Vegas, NV, USA, 27–30 June 2016. [Google Scholar]
- Vosco, N.; Shenkler, A.; Grobman, M. Tiled Squeeze-and-Excite: Channel Attention with Local Spatial Context. arXiv 2021, arXiv:2107.02145. [Google Scholar] [CrossRef]
- Vaswani, A.; Shazeer, N.; Parmar, N.; Uszkoreit, J.; Jones, L.; Gomez, A.N.; Kaiser, L.; Polosukhin, I. Attention is all you need. In Proceedings of the 31st International Conference on Neural Information Processing Systems, Long Beach, CA, USA, 4 December 2017. [Google Scholar]
- Farahmand-Tabar, S.; Ashtari, P. Intelligent cross-entropy optimizer: A novel machine learning-based meta-heuristic for global optimization. Swarm Evol. Comput. 2024, 91, 101739. [Google Scholar] [CrossRef]
Disclaimer/Publisher’s Note: The statements, opinions and data contained in all publications are solely those of the individual author(s) and contributor(s) and not of MDPI and/or the editor(s). MDPI and/or the editor(s) disclaim responsibility for any injury to people or property resulting from any ideas, methods, instructions or products referred to in the content. |
© 2026 by the authors. Licensee MDPI, Basel, Switzerland. This article is an open access article distributed under the terms and conditions of the Creative Commons Attribution (CC BY) license.








