State of Charge (SoC) Estimation with Electrochemical Impedance Spectroscopy (EIS) Data Using Different Ensemble Machine Learning Algorithms
Abstract
1. Introduction
Concept of EIS
2. Methodology and Algorithms
2.1. Motivation
2.2. Data Acquisition
- where
- Z′(ω) = Real part of the impedance at angular frequency (ω).
- Z′′(ω) = Imaginary part of impedance at angular frequency (ω).
- ω = Angular frequency of interest.
- x = Dummy variable of integration representing angular frequency (rad/s).
- R∞ = Resistance at infinite frequency (intercept on real axis of Nyquist plot).
- Π = Constant pi, approximately 3.14159.
- where
2.3. Nyquist and Bode Plots for Lithium-Ion Cells at Various States of Charge
2.4. Machine Learning Algorithms
2.4.1. Random Forest (RF)
2.4.2. Gradient Boosting (GB)
2.4.3. XGBoost (Extreme Gradient Boosting)
2.4.4. AdaBoost
2.4.5. Extra Trees (Extremely Randomized Trees)
3. Results
4. Discussion
4.1. Quantitative Performance
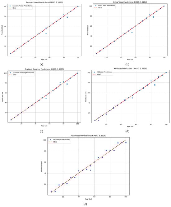
4.2. Visual Assessment from Plots in Figure 4
4.3. Prediction Error Analysis Across Ensemble Models from Figure 5
4.4. Implications
5. Conclusions
Author Contributions
Funding
Data Availability Statement
Conflicts of Interest
References
- Kunatsa, T.; Myburgh, H.C.; De Freitas, A. A Review on State-of-Charge Estimation Methods, Energy Storage Technologies and State-of-the-Art Simulators: Recent Developments and Challenges. World Electr. Veh. J. 2024, 15, 381. [Google Scholar] [CrossRef]
- Guo, D.; Guo, P.; Sun, L. Estimation of Battery State of Charge Based on Electrochemical Impedance Spectroscopy and Machine Learning. J. Phys. Conf. Ser. 2023, 2661, 012025. [Google Scholar] [CrossRef]
- Soyoye, B.D.; Bhattacharya, I.; Anthony Dhason, M.V.; Banik, T. State of Charge and State of Health Estimation in Electric Vehicles: Challenges, Approaches and Future Directions. Batteries 2025, 11, 32. [Google Scholar] [CrossRef]
- Hussein, H.M.; Esoofally, M.; Donekal, A.; Rafin, S.M.S.H.; Mohammed, O. Comparative Study-Based Data-Driven Models for Lithium-Ion Battery State-of-Charge Estimation. Batteries 2024, 10, 89. [Google Scholar] [CrossRef]
- Shingote, S.; Shejwalkar, A.; Swain, S. Comparative Analysis for State-of-Charge Estimation of Lithium-Ion Batteries using Non-Linear Kalman Filters. In Proceedings of the 2023 IEEE 3rd International Conference on Sustainable Energy and Future Electric Transportation (SEFET), Bhubaneswar, India, 9–12 August 2023. [Google Scholar] [CrossRef]
- Buchicchio, E.; De Angelis, A.; Santoni, F.; Carbone, P. Lithium-Ion Batteries state of charge estimation based on electrochemical impedance spectroscopy and convolutional neural network. In Proceedings of the 25th IMEKO TC4 International Symposium and the 23rd International Workshop on ADC and DAC Modelling and Testing, Brescia, Italy, 12–14 September 2022. [Google Scholar]
- Guo, K.; Zhu, Y.; Zhong, Y.; Wu, K.; Yang, F. An Informer-LSTM Network for State-of-Charge Estimation of Lithium-Ion Batteries. In Proceedings of the 2023 Global Reliability and Prognostics and Health Management Conference (PHM-Hangzhou), Hangzhou, China, 12–15 October 2023. [Google Scholar] [CrossRef]
- Lazanas, A.C.; Prodromidis, M.I. Electrochemical Impedance Spectroscopy—A Tutorial. ACS Meas. Sci. Au 2023, 3, 162–193. [Google Scholar] [CrossRef]
- Peng, Y.; Hu, H.; Geng, A.; Chen, Y.; Zhao, Z. An Electrochemical Impedance Spectroscopy-Based Model for Lithium-Ion Batteries with Solid Phase Diffusion Process. In Proceedings of the PEAS 2023—2023 IEEE 2nd International Power Electronics and Application Symposium, Guangzhou, China, 10–13 October 2023; pp. 887–891. [Google Scholar] [CrossRef]
- Nunes, H.; Martinho, J.; Fermeiro, J.; Pombo, J.; Mariano, S.; do Rosário Calado, M. Impedance Analysis and Parameter Estimation of Lithium-Ion Batteries Using the EIS Technique. IEEE Trans. Ind. Appl. 2024, 60, 5048–5060. [Google Scholar] [CrossRef]
- Kanoun, O.; Kallel, A.Y.; Nouri, H.; Atitallah, B.B.; Haddad, D.; Hu, Z.; Talbi, M.; Al-Hamry, A.; Munja, R.; Wendler, F.; et al. Impedance Spectroscopy: Applications, Advances and Future Trends. IEEE Instrum. Meas. Mag. 2022, 25, 11–21. [Google Scholar] [CrossRef]
- Barsoukov, E.; Macdonald, J.R. (Eds.) Impedance Spectroscopy; Wiley: Hoboken, NJ, USA, 2018. [Google Scholar] [CrossRef]
- Li, D.; Yang, D.; Li, L.; Wang, L.; Wang, K. Electrochemical Impedance Spectroscopy Based on the State of Health Estimation for Lithium-Ion Batteries. Energies 2022, 15, 6665. [Google Scholar] [CrossRef]
- Ranjith Kumar, R.; Bharatiraja, C.; Udhayakumar, K.; Devakirubakaran, S.; Sekar, K.S.; Mihet-Popa, L. Advances in Batteries, Battery Modeling, Battery Management System, Battery Thermal Management, SOC, SOH, and Charge/Discharge Characteristics in EV Applications. IEEE Access 2023, 11, 105761–105809. [Google Scholar] [CrossRef]
- Wang, C.; Yang, M.; Wang, X.; Xiong, Z.; Qian, F.; Deng, C.; Yu, C.; Zhang, Z.; Guo, X. A review of battery SOC estimation based on equivalent circuit models. J. Energy Storage 2025, 110, 115346. [Google Scholar] [CrossRef]
- Baccouche, I.; Jemmali, S.; Manai, B.; Omar, N.; Essoukri Ben Amara, N. Improved OCV model of a Li-ion NMC battery for online SOC estimation using the extended Kalman filter. Energies 2017, 10, 764. [Google Scholar] [CrossRef]
- Monirul, I.M.; Qiu, L.; Ruby, R.; Ullah, I.; Sharafian, A. Accurate SOC estimation in power lithium-ion batteries using adaptive extended Kalman filter with a high-order electrical equivalent circuit model. Measurement 2025, 249, 117081. [Google Scholar] [CrossRef]
- Bourelly, C.; Vitelli, M.; Milano, F.; Molinara, M.; Fontanella, F.; Ferrigno, L. EIS-Based SoC Estimation: A Novel Measurement Method for Optimizing Accuracy and Measurement Time. IEEE Access 2023, 11, 91472–91484. [Google Scholar] [CrossRef]
- Mustafa, H.; Bourelly, C.; Vitelli, M.; Milano, F.; Molinara, M.; Ferrigno, L. SoC estimation on Li-ion batteries: A new EIS-based dataset for data-driven applications. Data Brief 2024, 57, 110947. [Google Scholar] [CrossRef]
- Pisani Orta, M.A.; García Elvira, D.; Valderrama Blaví, H. Review of State-of-Charge Estimation Methods for Electric Vehicle Applications. World Electr. Veh. J. 2025, 16, 87. [Google Scholar] [CrossRef]
- Hosen, M.S.; Gopalakrishnan, R.; Kalogiannis, T.; Jaguemont, J.; Van Mierlo, J.; Berecibar, M. Impact of Relaxation Time on Electrochemical Impedance Spectroscopy Characterization of the Most Common Lithium Battery Technologies—Experimental Study and Chemistry-Neutral Modeling. World Electr. Veh. J. 2021, 12, 77. [Google Scholar] [CrossRef]
- Breiman, L. Random Forests. Mach. Learn. 2001, 45, 5–32. [Google Scholar] [CrossRef]
- Ho, T.K. Random decision forests. In Proceedings of the 3rd International Conference on Document Analysis and Recognition, Washington, DC, USA, 14–15 August 1995; pp. 278–282. [Google Scholar] [CrossRef]
- Borup, D.; Christensen, B.J.; Mühlbach, N.S.; Nielsen, M.S. Targeting predictors in random forest regression. Int. J. Forecast. 2023, 39, 841–868. [Google Scholar] [CrossRef]
- Baalousha, H.M. Machine learning approaches for groundwater vulnerability assessment in arid environments: Enhancing DRASTIC with ANN and Random Forest. Groundw. Sustain. Dev. 2025, 30, 101496. [Google Scholar] [CrossRef]
- Hastie, T.; Tibshirani, R.; Friedman, J. The Elements of Statistical Learning; Springer: New York, NY, USA, 2009. [Google Scholar] [CrossRef]
- Khawaja, Y.; Shankar, N.; Qiqieh, I.; Alzubi, J.; Alzubi, O.; Nallakaruppan, M.K.; Padmanaban, S. Battery management solutions for li-ion batteries based on artificial intelligence. Ain Shams Eng. J. 2023, 14, 102213. [Google Scholar] [CrossRef]
- Oyucu, S.; Ersöz, B.; Sağıroğlu, Ş.; Aksöz, A.; Biçer, E. Optimizing Lithium-Ion Battery Performance: Integrating Machine Learning and Explainable AI for Enhanced Energy Management. Sustainability 2024, 16, 4755. [Google Scholar] [CrossRef]
- Chen, T.; Guestrin, C. XGBoost: A Scalable Tree Boosting System. In Proceedings of the 22nd ACM SIGKDD International Conference on Knowledge Discovery and Data Mining, San Francisco, CA, USA, 13–17 August 2016; ACM: New York, NY, USA, 2016; pp. 785–794. [Google Scholar] [CrossRef]
- Baalousha, H.M. Machine Learning-Driven Calibration of MODFLOW Models: Comparing Random Forest and XGBoost Approaches. Geosciences 2025, 15, 303. [Google Scholar] [CrossRef]
- Ding, Y.; Zhu, H.; Chen, R.; Li, R. An Efficient AdaBoost Algorithm with the Multiple Thresholds Classification. Appl. Sci. 2022, 12, 5872. [Google Scholar] [CrossRef]
- Taherkhani, A.; Cosma, G.; McGinnity, T.M. AdaBoost-CNN: An adaptive boosting algorithm for convolutional neural networks to classify multi-class imbalanced datasets using transfer learning. Neurocomputing 2020, 404, 351–366. [Google Scholar] [CrossRef]
- Liu, B.; Liu, C.; Xiao, Y.; Liu, L.; Li, W.; Chen, X. AdaBoost-based transfer learning method for positive and unlabelled learning problem. Knowl.-Based Syst. 2022, 241, 108162. [Google Scholar] [CrossRef]
- Berrouachedi, A.; Jaziri, R.; Bernard, G. Deep Extremely Randomized Trees; Springer: Berlin/Heidelberg, Germany, 2019; pp. 717–729. [Google Scholar] [CrossRef]
- Geurts, P.; Ernst, D.; Wehenkel, L. Extremely randomized trees. Mach. Learn. 2006, 63, 3–42. [Google Scholar] [CrossRef]
- Pagliaro, A. Forecasting Significant Stock Market Price Changes Using Machine Learning: Extra Trees Classifier Leads. Electronics 2023, 12, 4551. [Google Scholar] [CrossRef]





| Frequency (Hz) | R (Ohm) | X (Ohm) | V (V) | T (Deg C) | Range (Ohm) |
|---|---|---|---|---|---|
| 0.01 | 0.182033 | −0.10447 | 3.09408 | 20 | 0.3 |
| 0.02 | 0.153463 | −0.07256 | 3.10256 | 20 | 0.3 |
| 0.03 | 0.141077 | −0.05803 | 3.10426 | 20 | 0.3 |
| 0.05 | 0.129268 | −0.044 | 3.10564 | 20 | 0.3 |
| 0.08 | 0.120899 | −0.0346 | 3.1064 | 20 | 0.3 |
| 0.1 | 0.117482 | −0.03102 | 3.10687 | 20 | 0.3 |
| 0.2 | 0.10866 | −0.02273 | 3.10731 | 20 | 0.3 |
| … 1000 | 0.059685 | −0.00444 | 3.10814 | 20 | 0.3 |
| Time (S) | Cur (A) | Vol (V) | EB Tester Software |
|---|---|---|---|
| 0 | 0 | 3.329 | Device: ZKETECH EBD A20H |
| 0 | 0 | 3.329 | Mode:D-CC 0.12 A 2.00 V |
| 1 | 0.12 | 3.32 | Begin Volt: 3.329 V |
| 3 | 0.12 | 3.315 | Cutoff Volt: 1.998 V |
| 5 | 0.12 | 3.315 | Capacity: 633 mAh |
| 7 | 0.12 | 3.315 | Energy: 2036 mWh |
| 9 | 0.12 | 3.314 | Avg Volt: 3.22 V |
| 11 | 0.12 | 3.313 | Title: EB Tester Software |
| 13 | 0.12 | 3.309 | www.zketech.com |
| 15 | 0.12 | 3.308 | |
| 17 | 0.12 | 3.308 | |
| … 18,977 | 0.12 | 1.998 |
| Model | Test MSE | Test RMSE | R2 |
|---|---|---|---|
| Random Forest | 1.90 | 1.378 | 0.9977 |
| Extra Trees | 1.76 | 1.327 | 0.9979 |
| Gradient Boosting | 2.35 | 1.533 | 0.9972 |
| XGBoost | 2.42 | 1.556 | 0.9971 |
| AdaBoost | 9.38 | 3.063 | 0.9887 |
Disclaimer/Publisher’s Note: The statements, opinions and data contained in all publications are solely those of the individual author(s) and contributor(s) and not of MDPI and/or the editor(s). MDPI and/or the editor(s) disclaim responsibility for any injury to people or property resulting from any ideas, methods, instructions or products referred to in the content. |
© 2025 by the authors. Licensee MDPI, Basel, Switzerland. This article is an open access article distributed under the terms and conditions of the Creative Commons Attribution (CC BY) license (https://creativecommons.org/licenses/by/4.0/).
Share and Cite
Ezugwu, E.O.; Bhattacharya, I.; Ayomide, A.I.; Antony Dhason, M.V. State of Charge (SoC) Estimation with Electrochemical Impedance Spectroscopy (EIS) Data Using Different Ensemble Machine Learning Algorithms. Electronics 2025, 14, 4423. https://doi.org/10.3390/electronics14224423
Ezugwu EO, Bhattacharya I, Ayomide AI, Antony Dhason MV. State of Charge (SoC) Estimation with Electrochemical Impedance Spectroscopy (EIS) Data Using Different Ensemble Machine Learning Algorithms. Electronics. 2025; 14(22):4423. https://doi.org/10.3390/electronics14224423
Chicago/Turabian StyleEzugwu, Ernest Ozoemela, Indranil Bhattacharya, Adeloye Ifeoluwa Ayomide, and Mary Vinolisha Antony Dhason. 2025. "State of Charge (SoC) Estimation with Electrochemical Impedance Spectroscopy (EIS) Data Using Different Ensemble Machine Learning Algorithms" Electronics 14, no. 22: 4423. https://doi.org/10.3390/electronics14224423
APA StyleEzugwu, E. O., Bhattacharya, I., Ayomide, A. I., & Antony Dhason, M. V. (2025). State of Charge (SoC) Estimation with Electrochemical Impedance Spectroscopy (EIS) Data Using Different Ensemble Machine Learning Algorithms. Electronics, 14(22), 4423. https://doi.org/10.3390/electronics14224423

