Evaluation of the Digital Data Performance Transmission of a Two-User Fiber-Radio System with NOMA Wireless Access Scheme
Abstract
1. Introduction
2. Simulation Section
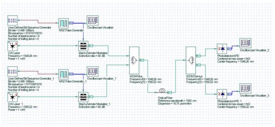
2.1. Optical Stage Simulation
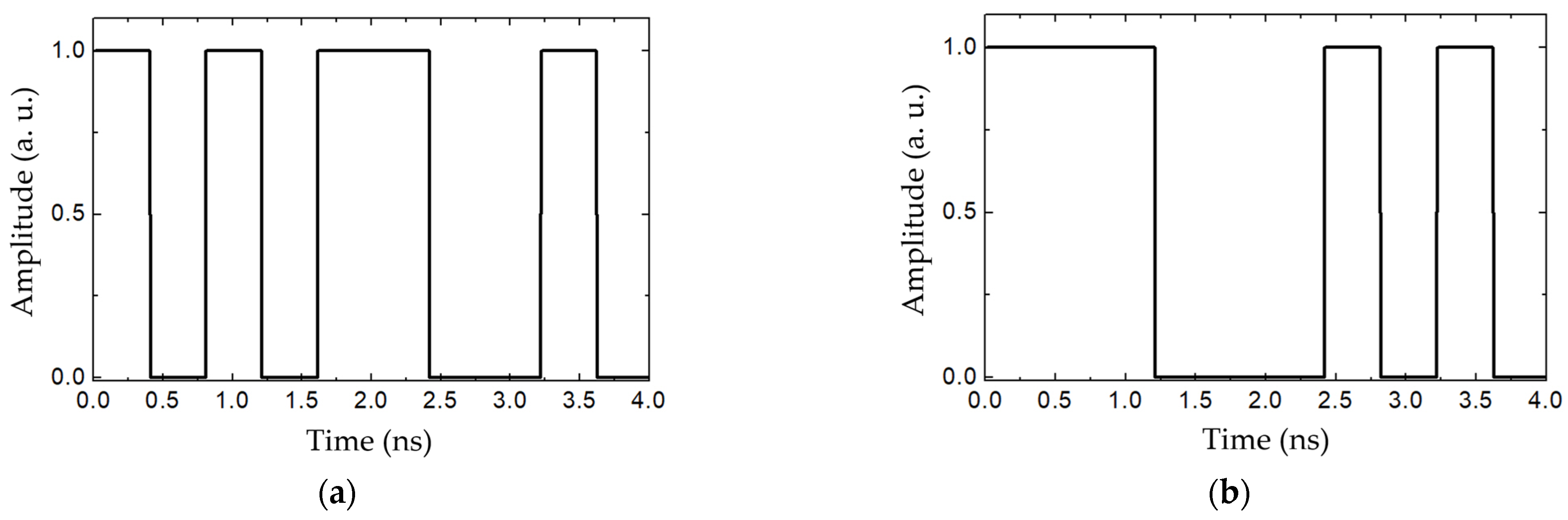
2.2. Processing Signal and Wireless Stage Simulation
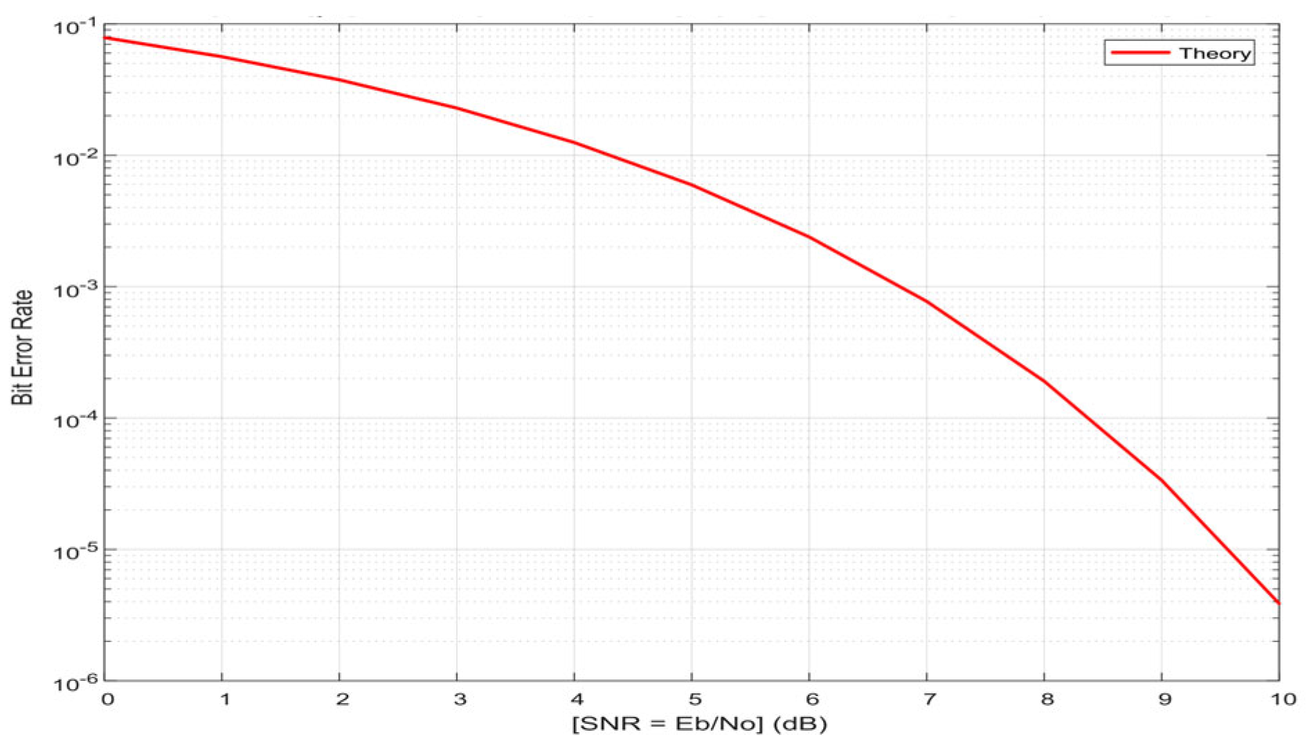
3. Wireless Stage Analysis and Results
4. Discussion
5. Conclusions
Author Contributions
Funding
Data Availability Statement
Acknowledgments
Conflicts of Interest
Abbreviations
| SM-SF | Single-Mode Standard Fiber |
| WDM | Wavelength Division Multiplexing |
| NOMA | Non-Orthogonal Multiple Access |
| HDTV | High-Definition TV |
| CS | Central Site |
| RRU | Remote Radio Unit |
| FDMA | Frequency Division Multiple Access |
| TDMA | Time Division Multiple Access |
| CDMA | Code Division Multiple Access |
| OFDMA | Orthogonal Frequency Division Multiple Access |
| QPSK | Quadrature Phase Shift Keying |
| QAM | Quadrature Amplitude Modulation |
| SIC | Successive Interference Cancellation |
| FTTH | Fiber-To-The-Home |
| MIMO | Multiple Input–Multiple Output |
| BER | Bit Error Rate |
| SINR | Signal-to-Interference-plus-Noise Ratio |
| AWGN | Additive White Gaussian Noise |
| DFB | Distributed Feedback Laser |
| MZ-IM | Mach–Zehnder Intensity Modulator |
| CCI | Co-Channel Interference |
References
- Islam, S.; Khan, M.F.; Hossan, M.Z.; Amin, M.A. An Overview of Radio over Fiber (RoF) Technology. In Proceedings of the 2nd International Conference on Intelligent Computing, Instrumentation and Control Technologies (ICICICT), Kannur, India, 5 July 2019. [Google Scholar] [CrossRef]
- Keiser, G.E. Optical Fiber Communications, 4th ed.; McGraw-Hill: New York, NY, USA, 2000; p. 5. [Google Scholar]
- Advantages of Wireless Communications. Available online: https://www.ecstuff4u.com/2017/11/advantages-of-wireless-communication.html (accessed on 30 September 2025).
- Ahmed, S.; Saffar, S.; Mustafa, S.; Atroshy, S. A Review on Radio Over Fiber Systems for Long Distance Communication. Acad. J. Nawroz Univ. (AJNU) 2021, 11, 133–147. [Google Scholar] [CrossRef]
- Shah, A.F.M.S.; Qasim, A.N.; Karabulut, M.A.; Ilhan, H.; Islam, M.B. Survey and Performance Evaluation of Multiple Access Schemes for Next-Generation Wireless Communication Systems. IEEE Access 2021, 9, 113428–113442. [Google Scholar] [CrossRef]
- Luo, F.-L.; Zhang, C. Non-Orthogonal Multiple Access (NOMA): Concept and Design. In Signal Processing for 5G: Algorithms and Implementation; John Wiley & Sons, Ltd.: Hoboken, NJ, USA, 2016; pp. 143–168. Available online: https://ieeexplore.ieee.org/document/7572737 (accessed on 30 September 2025).
- Cheon, J.; Cho, H.-S. Power Allocation Scheme for Non-Orthogonal Multiple Access in Underwater Acoustic Communications. Sensors 2017, 17, 2465. [Google Scholar] [CrossRef] [PubMed]
- Bahuguna, A.S.; Kumar, K.; Pundir, Y.P.; Bijalwan, A.V. A Review of Various Digital Modulation Schemes Used in Wireless Communications. In Proceedings of the Integrated Intelligence Enable Networks and Computing. Algorithms for Intelligent Systems, Gopeshwar, India, 25–27 May 2021; Springer: Singapore, 2021. [Google Scholar] [CrossRef]
- Iswarya, N.; Jayashree, L.S. A Survey on Successive Interference Cancellation Schemes in Non-Orthogonal Multiple Access for Future Radio Access. Wirel. Pers. Commun. 2021, 120, 1057–1078. [Google Scholar] [CrossRef]
- Shan, D.; Wen, A.; Zhai, W.; Tan, M. All-Optical Double Spectral-Efficient RoF Link with Compensation of Dispersion-Induced Power Fading. IEEE Photonics J. 2021, 13, 5500207. [Google Scholar] [CrossRef]
- De Souza, L.C.; Lima, E.S.; Junior, A.C.S. Implementation of a Full Optically-Powered 5G NR Fiber-Wireless System. IEEE Photonics J. 2022, 14, 5511708. [Google Scholar] [CrossRef]
- Kao, H.Y.; Ishimura, S.; Tanaka, K.; Nishimura, K.; Inohara, R. End-to-End Demonstration of Fiber-Wireless Fronthaul Networks Using a Hybrid Multi-IF-Over-Fiber and Radio-Over-Fiber System. IEEE Photonics J. 2021, 13, 7301106. [Google Scholar] [CrossRef]
- Haas, B.M.; McKinney, J.D. Characterization of a down-converting, phase-modulated rf-over-fiber link with a single modulator. IEEE Photonics J. 2018, 10, 5501307. [Google Scholar] [CrossRef]
- Lin, C.T.; Chen, J.; Peng, P.C.; Peng, C.F.; Peng, W.R.; Chiou, B.S.; Chi, S. Hybrid optical access network integrating fiber-to-the-home and radio-over-fiber systems. IEEE Photonics Technol. Lett. 2007, 19, 610–612. [Google Scholar] [CrossRef]
- Correa-Mena, A.G.; Seseña-Osorio, J.A.; Diago-Mosquera, M.E.; Aragón-Zavala, A.; Zaldívar-Huerta, I.E. Optical transmission of an analog TV signal coded at 2.24 GHz and its distribution by using a radiating cable. Electronics 2020, 9, 917. [Google Scholar] [CrossRef]
- Sruthi, J.; Chandrasenan, A.; Sreeni, K.G.; Jeena, R.S.; Zacharias, J. A 16 QAM RoF System based on Polarization Modulator. In Proceedings of the 2021 IEEE International Conference on Electronics, Computing and Communication Technologies (CONECCT), Bangalore, India, 11 July 2021. [Google Scholar] [CrossRef]
- Rusdiyanto, D.; Apriono, C. Radio over Fiber for Implementing Digital Television Network in Indonesia. In Proceedings of the 2020 International Seminar on Intelligent Technology and Its Applications (ISITIA), Surabaya, Indonesia, 22–23 July 2020. [Google Scholar] [CrossRef]
- Shanan, H.; Çiydem, M. Radio over Fiber Passive Optic Network Design. In Proceedings of the 2022 2nd International Conference on Computing and Machine Intelligence (ICMI), Istanbul, Turkey, 15–16 July 2022. [Google Scholar] [CrossRef]
- Khalil, H.; Qamar, F.; Shahzadi, R.; Shahzad, A.; Ali, M.; Qamar, N.; Al-Otaibi, S. Performance Analysis of Modulation Formats for Next Generation RoF Systems. IEEE Access 2021, 9, 139393–139402. [Google Scholar] [CrossRef]
- Liu, Y.; Ouyang, C.; Ding, Z.; Schober, R. The Road to Next-Generation Multiple Access: A 50-Year Tutorial Review. Proc. IEEE 2024, 112, 1100–1148. [Google Scholar] [CrossRef]
- Hidayat, B.; Iskandar. Capacity Evaluation of Non-Orthogonal Multiple Access (NOMA) using 8×8 MIMO in Rayleigh Fading Channel. In Proceedings of the 2022 8th International Conference on Wireless and Telematics (ICWT), Yogyakarta, Indonesia, 6–7 July 2022. [Google Scholar] [CrossRef]
- Arora, G.; Singh, N.P. Performance Enhancement of Wireless Network by Adopting Downlink Non-Orthogonal Multiple Access Technique. In Proceedings of the 2020 First IEEE International Conference on Measurement, Instrumentation, Control and Automation (ICMICA), Kurukshetra, India, 24–26 June 2020. [Google Scholar] [CrossRef]
- Atrouche, M.; Ayad, S.; Mounir, B. Comparative Study of Fairness and Fixed Power Allocation Algorithms: In Non-Orthogonal Multiple Access Systems. In Proceedings of the 2022 7th International Conference on Image and Signal Processing and Their Applications (ISPA), Mostaganem, Algeria, 8–9 May 2022. [Google Scholar] [CrossRef]
- Im, G.; Jung, D.H.; Kim, J.-B.; Ryu, J.G. Empowering User Capabilities via Non-Orthogonal Multiple Access in 3GPP Non-Terrestrial Networks. In Proceedings of the 2023 14th International Conference on Information and Communication Technology Convergence (ICTC), Jeju Island, Republic of Korea, 11–13 October 2023. [Google Scholar] [CrossRef]
- Helen Sheeba, J.; Kumaravelu, V.B.; Imoize, A.L. Rate Maximization of Cell-Edge Users Through Cooperative Non-Orthogonal Multiple Access. In Proceedings of the 2023 4th International Conference on Signal Processing and Communication (ICSPC), Coimbatore, India, 23–24 March 2023. [Google Scholar] [CrossRef]
- Ren, Q.; Chan, T.-T.; Liang, J. Age of Information in SIC-based Non-Orthogonal Multiple Access. In Proceedings of the 2022 IEEE Wireless Communications and Networking Conference (WCNC), Austin, TX, USA, 10–13 April 2022. [Google Scholar] [CrossRef]
- Taricco, G. Fair Power Allocation Policies for Power-Domain Non-Orthogonal Multiple Access Transmission with Complete or Limited Successive Interference Cancellation. IEEE Access 2023, 11, 46793–46803. [Google Scholar] [CrossRef]
- Clerckx, B.; Mao, Y.; Schober, R.; Jorswieck, E.; Love, D.J.; Yuan, J.; Hanzo, L.; Li, G.Y.; Larsson, E.G.; Caire, G. Is NOMA Efficient in Multi-Antenna Networks? A Critical Look at Next Generation Multiple Access Techniques. IEEE Open J. Commun. Soc. 2021, 2, 1310–1343. [Google Scholar] [CrossRef]
- Pavithra, B.; Chakraborty, P. Performance Analysis of Bit Error Rate, Capacity, and Outage Probability using Power Domain Non-Orthogonal Multiple Access (PD-NOMA) and Orthogonal Multiple Access (OMA) with Far/Near User. In Proceedings of the 2022 6th International Conference on Intelligent Computing and Control Systems (ICICCS), Madurai, India, 25–27 May 2022. [Google Scholar] [CrossRef]
- Cuevas-Terrones, R.; Castañeda-Camacho, J.; Muñoz-Hernández, G.A.; Zaldívar-Huerta, I.E. Evaluation of the Digital Data Performance Transmission on a Fiber-Radio System. Electronics 2023, 12, 378. [Google Scholar] [CrossRef]
- VPI Photonics Design Suite. Available online: https://www.vpiphotonics.com/Tools/DesignSuite (accessed on 30 September 2025).
- Optisystem Overview. Available online: https://optiwave.com/optisystem-overview/ (accessed on 30 September 2025).
- El-Nahal, F.; Hanik, N. Technologies for future wavelength division multiplexing passive optical networks. IET Optoelectron. 2020, 14, 53–57. [Google Scholar] [CrossRef]
- Zhong, K.; Zhou, X.; Huo, J.; Yu, C.; Lu, C.; Lau, A.P.T. Digital Signal Processing for Short-Reach Optical Communications: A Review of Current Technologies and Future Trends. J. Light. Technol. 2018, 36, 377–400. [Google Scholar] [CrossRef]
- Castañeda-Camacho, J.; Lara-Rodríguez, D. Teletraffic analysis of an overlaid system using CDMA and TDMA with cell coverage area restriction. IEEE Trans. Veh. Technol. 2008, 57, 828–846. [Google Scholar] [CrossRef]
- Castañeda-Camacho, J.; Mino-Aguilar, G.; Cortez, L.; Gutiérrez-Arias, J.E.M.; Guerrero-Castellanos, J.F.; Muñoz Hernández, G.A. Montecarlo Simulation Applied to Measurement of the Impact of the Smart Antenna Technology in Digital Cellular Systems. Ing. Investig. Y Tecnol. 2015, 16, 207–212. [Google Scholar] [CrossRef]
- Castañeda-Camacho, J.; Lara-Rodríguez, D. Ordered Hunt Schemes for Overlaid CDMA Cellular Systems. Ing. Investig. Y Tecnol. 2010, 11, 349–365. [Google Scholar] [CrossRef]
- Rappaport, T.S. Wireless Communications: Principles and Practice, 2nd ed.; Prentice Hall: Newark, NJ, USA, 2002; p. 104. [Google Scholar]
- Ángel Del Valle, D.M.; Enríquez Caldera, R.; Ramírez Cortés, J.M.; Martínez Carballido, J. Modelado de canal inalámbrico OFDM, hacia las comunicaciones 4G. e-Gnosis 2009, 7, 1–7. Available online: https://www-elec.inaoep.mx/~jmram/cvjmr/Modelado%20de%20canal%20inalambrico%202009.pdf (accessed on 30 September 2025).
- Zhou, Y.; Wong, V.W.S.; Schober, R. Performance Analysis of Cooperative NOMA with Dynamic Decode-and-Forward Relaying. In Proceedings of the GLOBECOM 2017–2017 IEEE Global Communications Conference, Singapore, 4–8 December 2017. [Google Scholar] [CrossRef]
- Goldsmith, A. Wireless Communications, 2nd ed.; Cambridge University Press: New York, NY, USA, 2005; pp. 27–104. [Google Scholar]
- KukuChuku, S.; Idoniboyeobu, D.C.; Sunny, O.; Lewis, O.T. Improved Underwater Wireless Communication System Using OFDM Technique. Am. J. Eng. Res. (AJER) 2018, 7, 82–95. Available online: https://www.researchgate.net/publication/327701727 (accessed on 30 September 2025).
























| Simulation Parameters | U1 | U2 |
|---|---|---|
| factor | 4 (dimensionless value) | 4 (dimensionless value) |
| mean | 0 dB | 0 dB |
| 1 dB | 1 dB | |
| Fast fading mean | 0 dB | 0 dB |
| 8 dB | 8 dB |
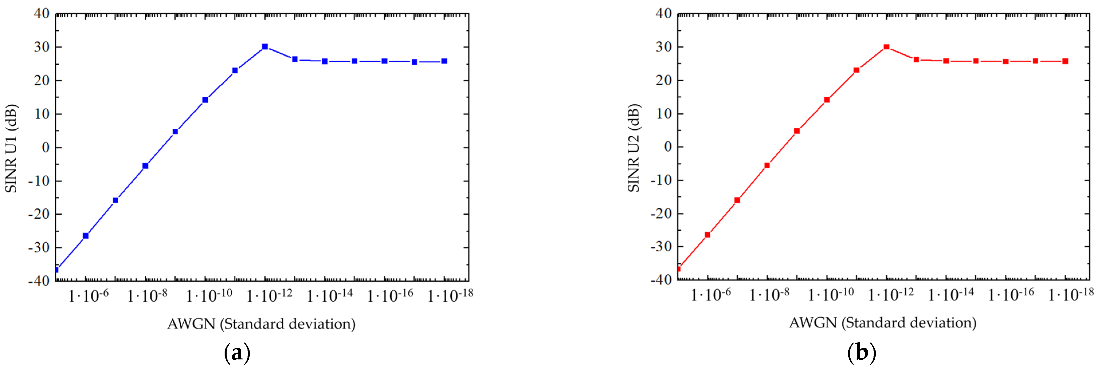
| SINR U1 | BER Percentage U1 |
|---|---|
| −36.58518403 | 49.830333 |
| −26.42869848 | 49.533500 |
| −15.77654292 | 48.463833 |
| −5.456153306 | 45.430666 |
| 4.791076483 | 34.723666 |
| 14.28358925 | 11.512500 |
| 23.02590568 | 0.616000 |
| 30.17383382 | 0.005166 |
| 26.46650092 | 0 |
| 25.78754664 | 0 |
| 25.84612888 | 0 |
| 25.89173503 | 0 |
| 25.6737008 | 0 |
| 25.85106101 | 0 |
| SINR U2 | BER Percentage U2 |
|---|---|
| −36.65551972 | 46.973833 |
| −26.35544503 | 44.842833 |
| −15.93468057 | 40.897666 |
| −5.456942536 | 34.563000 |
| 4.783336114 | 24.196666 |
| 14.13539912 | 7.363000 |
| 23.14131613 | 0.113166 |
| 30.13765224 | 0.002000 |
| 26.29699115 | 0 |
| 25.86707165 | 0 |
| 25.82986663 | 0 |
| 25.70366565 | 0 |
| 25.8416404 | 0 |
| 25.7694749 | 0 |
Disclaimer/Publisher’s Note: The statements, opinions and data contained in all publications are solely those of the individual author(s) and contributor(s) and not of MDPI and/or the editor(s). MDPI and/or the editor(s) disclaim responsibility for any injury to people or property resulting from any ideas, methods, instructions or products referred to in the content. |
© 2025 by the authors. Licensee MDPI, Basel, Switzerland. This article is an open access article distributed under the terms and conditions of the Creative Commons Attribution (CC BY) license (https://creativecommons.org/licenses/by/4.0/).
Share and Cite
Cuevas-Terrones, R.; Castañeda-Camacho, J.; Gutiérrez-Arias, J.E.M.; Rodríguez, M.; Zaldívar-Huerta, I.E. Evaluation of the Digital Data Performance Transmission of a Two-User Fiber-Radio System with NOMA Wireless Access Scheme. Electronics 2025, 14, 4357. https://doi.org/10.3390/electronics14224357
Cuevas-Terrones R, Castañeda-Camacho J, Gutiérrez-Arias JEM, Rodríguez M, Zaldívar-Huerta IE. Evaluation of the Digital Data Performance Transmission of a Two-User Fiber-Radio System with NOMA Wireless Access Scheme. Electronics. 2025; 14(22):4357. https://doi.org/10.3390/electronics14224357
Chicago/Turabian StyleCuevas-Terrones, Rodrigo, Josefina Castañeda-Camacho, José Eligio Moisés Gutiérrez-Arias, Mauricio Rodríguez, and Ignacio Enrique Zaldívar-Huerta. 2025. "Evaluation of the Digital Data Performance Transmission of a Two-User Fiber-Radio System with NOMA Wireless Access Scheme" Electronics 14, no. 22: 4357. https://doi.org/10.3390/electronics14224357
APA StyleCuevas-Terrones, R., Castañeda-Camacho, J., Gutiérrez-Arias, J. E. M., Rodríguez, M., & Zaldívar-Huerta, I. E. (2025). Evaluation of the Digital Data Performance Transmission of a Two-User Fiber-Radio System with NOMA Wireless Access Scheme. Electronics, 14(22), 4357. https://doi.org/10.3390/electronics14224357

