An Adaptive Variable-Parameter MAF-MATCH Algorithm for Grid-Voltage Detection Under Non-Ideal Conditions
Abstract
1. Introduction
- The zero-pole characteristics of the conventional MAF are analyzed, revealing the limitations caused by mid- and high-frequency attenuation in dynamic performance. A cascaded filter model is then constructed by integrating MAF with a zero-pole matcher (MATCH), enabling frequency-domain compensation to retain harmonic suppression capability while improving response speed.
- A time-varying trajectory for the matching coefficient is designed, allowing adaptive adjustment during disturbances. This resolves the limitations of fixed-parameter schemes, achieving a balance between rapid disturbance recognition and stable steady-state convergence.
- Comprehensive tests under various non-ideal grid conditions—including symmetrical sags/swells, phase jumps, asymmetrical sags, and harmonic distortions—are conducted. Comparisons with conventional methods such as SRF-LPF, DSOGI, and GDFT demonstrate that the proposed method delivers superior overall performance in terms of recognition speed, convergence accuracy, and disturbance immunity.
2. Grid-Voltage Detection Method Based on MAF-MATCH
2.1. Conventional Grid-Voltage Detection Using MAF
2.2. MAF-MATCH Algorithm
3. Adaptive Variable-Parameter MAF-MATCH Algorithm
3.1. Adaptive Rule
3.2. Parameter Design
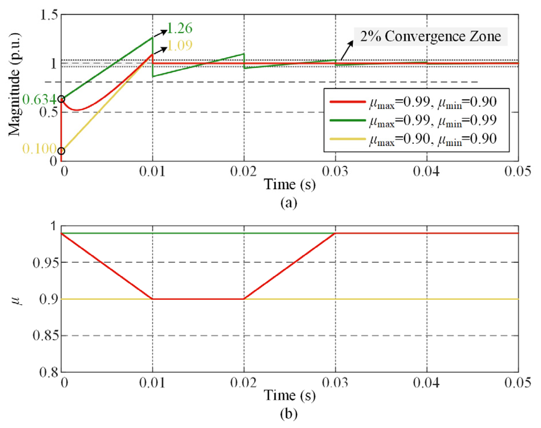
3.2.1. Initial Response Value
3.2.2. Overshoot and Convergence Time
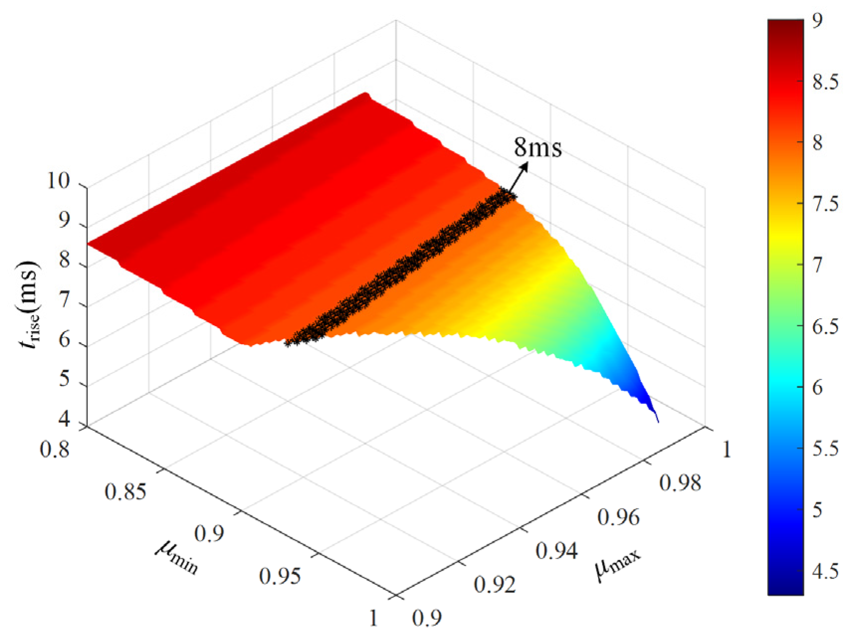
3.2.3. Rise Time
4. Experimental Validation
- Symmetrical sag with a depth of Udepth1;
- Symmetrical swell with a depth of Udepth1;
- Asymmetrical sag with a depth of Udepth2 accompanied by a phase jump of θjump;
- Symmetrical sag with a depth of Udepth1 under background harmonic distortion, where the harmonics are specified in Table 1.
5. Conclusions
Author Contributions
Funding
Data Availability Statement
Conflicts of Interest
References
- Gupta, S.; Shukla, A. Enhancing Stability of AC-DC Microgrid Cluster and Reducing Diesel Dependency With BSS. IEEE Trans. Ind. Appl. 2025, 61, 4958–4970. [Google Scholar] [CrossRef]
- Alshareef, S.M.; Assessment, V.S. Detection, and Classification in Distribution Systems Embedded With Fast Charging Stations. IEEE Access 2023, 11, 89864–89880. [Google Scholar] [CrossRef]
- Hasan, S.; Nair, A.R.; Bhattarai, R.; Kamalasadan, S.; Muttaqi, K.M. A coordinated optimal feedback control of distributed generators for mitigation of motor starting voltage sags in distribution networks. IEEE Trans. Ind. Appl. 2020, 56, 864–875. [Google Scholar] [CrossRef]
- Li, Z.; Yang, R.; Zhou, Y.; Wang, C.; Wang, Z. A Unified Framework for Adaptive and Flexible Phase Angle Regulation in Single-Phase UPQC. IEEE Trans. Power Electron. 2025, 40, 12779–12793. [Google Scholar] [CrossRef]
- Khergade, A.; Satputaley, R.; Patro, S.K. Investigation of Voltage Sags Effects on ASD and Mitigation Using ESRF Theory-Based DVR. IEEE Trans. Power Deliv. 2021, 36, 3752–3764. [Google Scholar] [CrossRef]
- Xu, Y.; Wu, Y.; Zhang, M.; Xu, S. Sensitivity of Programmable Logic Controllers to Voltage Sags. IEEE Trans. Power Deliv. 2019, 34, 2–10. [Google Scholar] [CrossRef]
- Zheng, Z.; Li, S.; Chen, X.; Li, C. Premium Power Supply Scheme for Data Center With SMES and DG Integration. IEEE Trans. Appl. Supercond. 2024, 34, 5701805. [Google Scholar] [CrossRef]
- Luo, Y.; Yao, J.; Yang, D.; Xie, H.; Zhao, L.; Jin, R. Improved LVRT Strategy for DFIG-Based Wind Turbine Considering RSC-GSC Interaction During Symmetrical Grid Faults. IEEE Trans. Energy Convers. 2025, 40, 1674–1677. [Google Scholar] [CrossRef]
- Janardhanan, S.; Mulla, M.A. Implementation of Voltage Imbalance Mitigation Using SOGI Based PV-DVR System. IEEE Trans. Ind. Appl. 2024, 60, 7858–7868. [Google Scholar] [CrossRef]
- Li, G.; Shao, Y.; Liu, X. A Voltage Harmonic Self-Suppression Strategy of Single-Phase UPS. IEEE Trans. Ind. Electron. 2024, 71, 15685–15693. [Google Scholar] [CrossRef]
- Hu, X.; Lin, Y.; Sun, C.; Lin, L.; Yu, H.; Xue, F.; Su, W.; Luo, Y.; Han, Y.; Zhou, J.; et al. An Overview of Voltage Sag Detection Methods. In Proceedings of the 2022 IEEE/IAS Industrial and Commercial Power System Asia (I&CPS Asia), Shanghai, China, 8–11 July 2022; pp. 298–304. [Google Scholar] [CrossRef]
- Stanisavljević, A.M.; Katić, V.A.; Dumnić, B.P.; Popadić, B.P. Overview of voltage dips detection analysis methods. In Proceedings of the 2017 International Symposium on Power Electronics (Ee), Novi Sad, Serbia, 19–21 October 2017; pp. 1–6. [Google Scholar] [CrossRef]
- Achlerkar, P.D.; Panigrahi, B.K. Recursive Least Squares-Based Adaptive Parameter Estimation Scheme for Signal Transformation and Grid Synchronization. IEEE J. Emerg. Sel. Top. Power Electron. 2021, 9, 2427–2439. [Google Scholar] [CrossRef]
- Mishra, S.; Mallick, R.K.; Nayak, P.; Ramasamy, T.N.; Panda, G. Dynamic Power Quality Disturbance Classification in Grid-Integrated PV Systems: Leveraging Clark Transformed Modal Voltage and Subspace Weighted KNN. IEEE Access 2024, 12, 116572–116586. [Google Scholar] [CrossRef]
- Guo, T.; Zhang, T.; Lim, E.; López-Benítez, M.; Ma, F.; Yu, L. A Review of Wavelet Analysis and Its Applications: Challenges and Opportunities. IEEE Access 2022, 10, 58869–58903. [Google Scholar] [CrossRef]
- Liu, H.; Hu, H.; Chen, H.; Zhang, L.; Xing, Y. Fast and Flexible Selective Harmonic Extraction Methods Based on the Generalized Discrete Fourier Transform. IEEE Trans. Power Electron. 2018, 33, 3484–3496. [Google Scholar] [CrossRef]
- Sevilmiş, F.; Karaca, H.; Ahmed, H. High-Order Delayed Signal Cancellation-Based PLL Under Harmonically Distorted Grid Voltages. IEEE Trans. Instrum. Meas. 2023, 72, 9003609. [Google Scholar] [CrossRef]
- Roldán-Pérez, J.; García-Cerrada, A.; Ochoa-Giménez, M.; Zamora-Macho, J.L. Delayed-Signal-Cancellation-Based Sag Detector for a Dynamic Voltage Restorer in Distorted Grids. IEEE Trans. Sustain. Energy 2019, 10, 2015–2027. [Google Scholar] [CrossRef]
- Rahoui, A.; Boukais, B.; Mesbah, K.; Otmane-Cherif, T. Neural Networks Based Frequency-Locked Loop for Grid Synchronization Under Unbalanced and Distorted Conditions. In Proceedings of the 2020 International Conference on Electrical Engineering (ICEE), Istanbul, Turkey, 25–27 September 2020. [Google Scholar] [CrossRef]
- Verma, K.; Jarial, R.K.; Roncero-Sánchez, P.; Ungarala, M.R.; Guerrero, J.M. An Improved Hybrid Prefiltered Open-Loop Algorithm for Three-Phase Grid Synchronization. IEEE Trans. Ind. Electron. 2021, 68, 2480–2490. [Google Scholar] [CrossRef]
- Taheri, P.; Amini, J.; Moallem, M. Improving performance of three-phase MAF-PLL under asymmetrical DC-offset condition. IEEE Access 2023, 11, 111200–111211. [Google Scholar] [CrossRef]
- Golestan, S.; Guerrero, J.M.; Vasquez, J.C.; Abusorrah, A.M.; Khadkikar, V.; Rodriguez, J. Control Design of Grid Synchronization Systems for Grid-Tied Power Converters Using Symmetrical Optimum Method: A Comprehensive Reference. IEEE Trans. Power Electron. 2023, 38, 13650–13673. [Google Scholar] [CrossRef]
- Sillapawicharn, Y.; Kumsuwan, Y. Dual Low Pass Filter-Based Voltage Sag Detection for Voltage Sag Compensator under Distorted Grid Voltages. In Proceedings of the 2014 International Electrical Engineering Congress (iEECON), Chonburi, Thailand, 19–21 March 2014; pp. 1–4. [Google Scholar] [CrossRef]
- Xu, J.; Qian, H.; Hu, Y.; Bian, S.; Xie, S. Overview of SOGI-Based Single-Phase Phase-Locked Loops for Grid Synchronization Under Complex Grid Conditions. IEEE Access 2021, 9, 39275–39291. [Google Scholar] [CrossRef]
- Kalke, D.; Gurrala, G. Design of IEC/IEEE 60255-118-1-2018 Compliant SOGI-PLL for Synchrophasor Measurements. IEEE Trans. Instrum. Meas. 2024, 73, 9003611. [Google Scholar] [CrossRef]
- Li, Z.; Yang, R.; Guo, X.; Wang, Z.; Chen, G. A Novel Voltage Sag Detection Method Based on a Selective Harmonic Extraction Algorithm for Nonideal Grid Conditions. Energies 2022, 15, 5560. [Google Scholar] [CrossRef]
- Zhao, T.; Feng, Z.; Wang, M.; Wu, M.; Chen, D. An Optimized LVRT Control Strategy of Cascaded Modular Medium-Voltage Inverter for Large-Scale PV Power Plant. IEEE J. Emerg. Sel. Top. Power Electron. 2022, 10, 7744–7759. [Google Scholar] [CrossRef]
- Golestan, S.; Ramezani, M.; Guerrero, J.M.; Freijedo, F.D.; Monfared, M. Moving average filter based phase-locked loops: Performance analysis and design guidelines. IEEE Trans. Power Electron. 2014, 29, 2750–2763. [Google Scholar] [CrossRef]
- Wang, Z.; Fu, P.; Huang, L.; Chen, X.; He, S.; Zhang, X.; Yang, J. Performance improvement of a three-phase PLL under distorted grid conditions based on frequency adaptive hybrid pre-filtering. IET Power Electron. 2022, 15, 1429–1440. [Google Scholar] [CrossRef]
- Mellouli, M.; Hamouda, M.; Slama, J.B.H.; Al-Haddad, K. A third-order MAF based QT1-PLL that is robust against harmonically distorted grid voltage with frequency deviation. IEEE Trans. Energy Convers. 2021, 36, 1600–1613. [Google Scholar] [CrossRef]
- Taheri, P.; Amini, J.; Moallem, M. Variable Window Size Moving Average Filter for Phase-Locked-Loop Synchronization. IEEE Access 2024, 12, 88111–88121. [Google Scholar] [CrossRef]
- Smadi, I.A.; Kreashan, H.A.; Atawi, I.E. Enhancing the Filtering Capability and the Dynamic Performance of a Third-Order Phase-Locked Loop under Distorted Grid Conditions. Energies 2023, 16, 1472. [Google Scholar] [CrossRef]
- Mellouli, M.; Hamouda, M.; Ahmed, H.; Slama, J.B.H.; Al-Haddad, K. A Grid Synchronization PLL With Accurate Extraction Technique of Positive/Negative Sequences and DC-Offset Under Frequency Drift. IEEE Trans. Instrum. Meas. 2024, 73, 9002611. [Google Scholar] [CrossRef]
- Pan, Z.; Wang, X.; Hoang, T.T.G.; Tian, L. An enhanced phase-locked loop for non-ideal grids combining linear active disturbance controller with moving average filter. Int. J. Electr. Power Energy Syst. 2023, 149, 109021. [Google Scholar] [CrossRef]
- Golestan, S.; Guerrero, J.M.; Abusorrah, A.M. MAF-PLL With Phase-Lead Compensator. IEEE Trans. Ind. Electron. 2015, 62, 3691–3695. [Google Scholar] [CrossRef]















| Parameter | Value |
|---|---|
| Rated grid voltage (Ug) | 155 V (1.0 p.u.) |
| Rated grid frequency (fg) | 50 Hz |
| Symmetrical sag or swell depth (Udepth1) | 0.4 p.u. |
| Asymmetrical sag depth (Udepth2) | 0.2 p.u. |
| Phase angle jump(θjump) | −π/6 |
| Background harmonic distortion | 0.05 p.u. 5th positive-sequence harmonic |
| 0.05 p.u. 7th negative-sequence harmonic | |
| Injected harmonic disturbance | 0.10 p.u. 3rd positive-sequence harmonic 0.05 p.u. 5th positive-sequence harmonic |
| Threshold for sag detection (Usag,th) | 0.9 p.u. |
| Threshold for swell detection (Uswell,th) | 1.1 p.u. |
| Sampling frequency (fs) | 10 kHz |
| window length N | 100 |
| Grid Conditions | Performance Indices | SRF-LPF [23] | DSOGI [24] | GDFT [16] | MAF [28] | MAF-MATCH-F | Proposed MAF-MATCH-V |
|---|---|---|---|---|---|---|---|
| Symmetrical sag | Recognition time trec (0.9 p.u.) | 3.1 ms | 1.9 ms | 2.2 ms | 2.7 ms | 0.4 ms | 0.5 ms |
| Settling time ts (2%) | 16.9 ms | 10.3 ms | 6.6 ms | 9.8 ms | 20.9 ms | 10.5 ms | |
| Asymmetrical sag | Recognition time trec (1.1 p.u.) | 3.1 ms | 1.8 ms | 2.0 ms | 2.8 ms | 0.4 ms | 0.5 ms |
| Settling time ts (2%) | 17.1 ms | 23.9 ms | 6.5 ms | 9.9 ms | 21.0 ms | 10.6 ms | |
| Asymmetrical sag with a phase jump | Recognition time trec (0.9 p.u.) | 4.9 ms | 8.7 ms | 2.1 ms | 5.4 ms | 0.5 ms | 0.5 ms |
| Settling time ts (2%) | ±5% ripple | 33.7 ms | 14.2 ms | 16.5 ms | 27.0 ms | 15.6 ms | |
| Symmetrical sag with harmonic disburtance | Recognition time trec (0.9 p.u.) | 3.6 ms | 2.4 ms | 3.1 ms | 3.4 ms | 0.5 ms | 0.5 ms |
| Settling time ts (2%) | ±3% ripple | ±4% ripple | ±9% ripple | 9.6 ms | 20.9 ms | 10.5 ms |
Disclaimer/Publisher’s Note: The statements, opinions and data contained in all publications are solely those of the individual author(s) and contributor(s) and not of MDPI and/or the editor(s). MDPI and/or the editor(s) disclaim responsibility for any injury to people or property resulting from any ideas, methods, instructions or products referred to in the content. |
© 2025 by the authors. Licensee MDPI, Basel, Switzerland. This article is an open access article distributed under the terms and conditions of the Creative Commons Attribution (CC BY) license (https://creativecommons.org/licenses/by/4.0/).
Share and Cite
Shen, X.; Lin, Y.; Yuan, B.; Chen, D.; Li, Z. An Adaptive Variable-Parameter MAF-MATCH Algorithm for Grid-Voltage Detection Under Non-Ideal Conditions. Electronics 2025, 14, 4288. https://doi.org/10.3390/electronics14214288
Shen X, Lin Y, Yuan B, Chen D, Li Z. An Adaptive Variable-Parameter MAF-MATCH Algorithm for Grid-Voltage Detection Under Non-Ideal Conditions. Electronics. 2025; 14(21):4288. https://doi.org/10.3390/electronics14214288
Chicago/Turabian StyleShen, Xielin, Yanqiang Lin, Bo Yuan, Dongdong Chen, and Zhenyu Li. 2025. "An Adaptive Variable-Parameter MAF-MATCH Algorithm for Grid-Voltage Detection Under Non-Ideal Conditions" Electronics 14, no. 21: 4288. https://doi.org/10.3390/electronics14214288
APA StyleShen, X., Lin, Y., Yuan, B., Chen, D., & Li, Z. (2025). An Adaptive Variable-Parameter MAF-MATCH Algorithm for Grid-Voltage Detection Under Non-Ideal Conditions. Electronics, 14(21), 4288. https://doi.org/10.3390/electronics14214288

