Dynamic Field Nulling Method for Magnetically Shielded Room Based on Padé Approximation and Generalized Active Disturbance Rejection Control
Abstract
1. Introduction
2. Modeling of Dynamic Nulling System Based on Padé Approximation
2.1. System Modeling
2.2. Padé Approximation
3. Controller Design and System Analysis Based on Padé Approximation and GADRC
3.1. Controller Design
3.2. Frequency-Domain Analysis
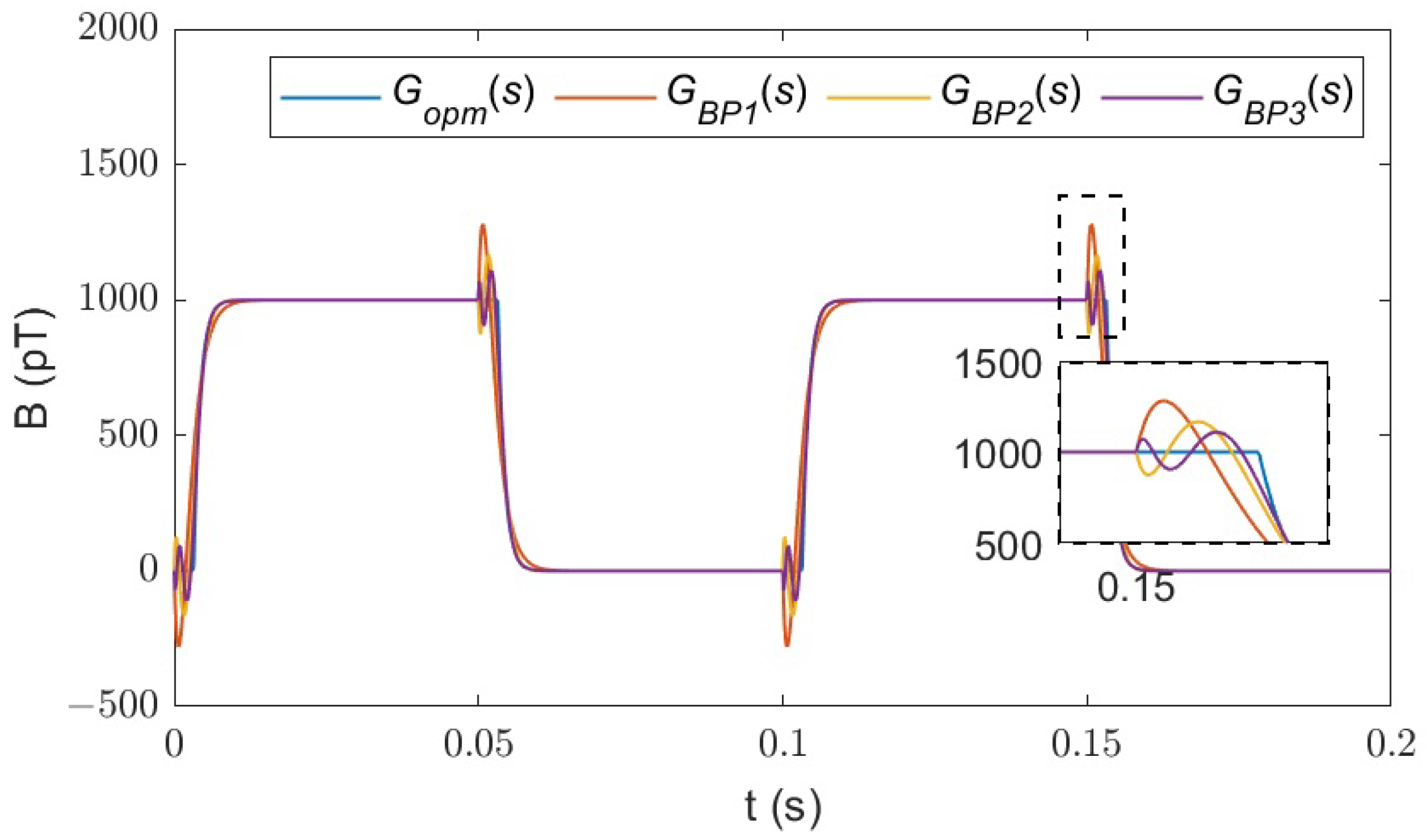
4. Simulation Research and Experimental Verification
4.1. Simulation Research
4.2. Experimental Verification
5. Discussion and Conclusions
Author Contributions
Funding
Data Availability Statement
Conflicts of Interest
References
- Fred, A.L.; Kumar, S.N.; Kumar Haridhas, A.; Ghosh, S.; Purushothaman Bhuvana, H.; Sim, W.K.J.; Vimalan, V.; Givo, F.A.S.; Jousmäki, V.; Padmanabhan, P.; et al. A brief introduction to magnetoencephalography (MEG) and its clinical applications. Brain Sci. 2022, 12, 788. [Google Scholar] [CrossRef]
- Marhl, U.; Jodko-Władzińska, A.; Brühl, R.; Sander, T.; Jazbinšek, V. Transforming and comparing data between standard SQUID and OPM-MEG systems. PLoS ONE 2022, 17, e0262669. [Google Scholar] [CrossRef]
- Jia, L.; Song, X.; Suo, Y.; Li, J.; Long, T.; Ning, X. Magnetic field interference suppression for minimized SERF atomic magnetometer. Sens. Actuators A Phys. 2023, 351, 114188. [Google Scholar] [CrossRef]
- Iivanainen, J.; Carter, T.R.; Dhombridge, J.E.; Read, T.S.; Campbell, K.; Abate, Q.; Ridley, D.M.; Borna, A.; Schwindt, P.D. Four-channel optically pumped magnetometer for a magnetoencephalography sensor array. Opt. Express 2024, 32, 18334–18351. [Google Scholar] [CrossRef]
- Brookes, M.J.; Leggett, J.; Rea, M.; Hill, R.M.; Holmes, N.; Boto, E.; Bowtell, R. Magnetoencephalography with optically pumped magnetometers (OPM-MEG): The next generation of functional neuroimaging. Trends Neurosci. 2022, 45, 621–634. [Google Scholar] [CrossRef] [PubMed]
- Iivanainen, J.; Stenroos, M.; Parkkonen, L. Measuring MEG closer to the brain: Performance of on-scalp sensor arrays. NeuroImage 2017, 147, 542–553. [Google Scholar] [CrossRef] [PubMed]
- Iivanainen, J.; Zetter, R.; Parkkonen, L. Potential of on-scalp MEG: Robust detection of human visual gamma-band responses. Hum. Brain Mapp. 2020, 41, 150–161. [Google Scholar] [CrossRef]
- Boto, E.; Seedat, Z.A.; Holmes, N.; Leggett, J.; Hill, R.M.; Roberts, G.; Shah, V.; Fromhold, T.M.; Mullinger, K.J.; Tierney, T.M.; et al. Wearable neuroimaging: Combining and contrasting magnetoencephalography and electroencephalography. NeuroImage 2019, 201, 116099. [Google Scholar] [CrossRef] [PubMed]
- Tierney, T.M.; Holmes, N.; Meyer, S.S.; Boto, E.; Roberts, G.; Leggett, J.; Buck, S.; Duque-Munoz, L.; Litvak, V.; Bestmann, S.; et al. Cognitive neuroscience using wearable magnetometer arrays: Non-invasive assessment of language function. NeuroImage 2018, 181, 513–520. [Google Scholar] [CrossRef]
- Feys, O.; Corvilain, P.; Aeby, A.; Sculier, C.; Holmes, N.; Brookes, M.; Goldman, S.; Wens, V.; De Tiège, X. On-scalp optically pumped magnetometers versus cryogenic magnetoencephalography for diagnostic evaluation of epilepsy in school-aged children. Radiology 2022, 304, 429–434. [Google Scholar] [CrossRef]
- Baillet, S. Magnetoencephalography for brain electrophysiology and imaging. Nat. Neurosci. 2017, 20, 327–339. [Google Scholar] [CrossRef] [PubMed]
- He, K.; Wan, S.; Sheng, J.; Liu, D.; Wang, C.; Li, D.; Qin, L.; Luo, S.; Qin, J.; Gao, J.H. A high-performance compact magnetic shield for optically pumped magnetometer-based magnetoencephalography. Rev. Sci. Instrum. 2019, 90, 064102. [Google Scholar] [CrossRef] [PubMed]
- Pan, D.; Li, J.; Jin, C.; Liu, T.; Lin, S.; Li, L. A new calibration method for triaxial fluxgate magnetometer based on magnetic shielding room. IEEE Trans. Ind. Electron. 2019, 67, 4183–4192. [Google Scholar] [CrossRef]
- Holmes, N.; Tierney, T.M.; Leggett, J.; Boto, E.; Mellor, S.; Roberts, G.; Hill, R.M.; Shah, V.; Barnes, G.R.; Brookes, M.J.; et al. Balanced, bi-planar magnetic field and field gradient coils for field compensation in wearable magnetoencephalography. Sci. Rep. 2019, 9, 14196. [Google Scholar] [CrossRef] [PubMed]
- Rea, M.; Holmes, N.; Hill, R.M.; Boto, E.; Leggett, J.; Edwards, L.J.; Woolger, D.; Dawson, E.; Shah, V.; Osborne, J.; et al. Precision magnetic field modelling and control for wearable magnetoencephalography. NeuroImage 2021, 241, 118401. [Google Scholar] [CrossRef]
- Hill, R.M.; Devasagayam, J.; Holmes, N.; Boto, E.; Shah, V.; Osborne, J.; Safar, K.; Worcester, F.; Mariani, C.; Dawson, E.; et al. Using OPM-MEG in contrasting magnetic environments. NeuroImage 2022, 253, 119084. [Google Scholar] [CrossRef] [PubMed]
- Iivanainen, J.; Zetter, R.; Grön, M.; Hakkarainen, K.; Parkkonen, L. On-scalp MEG system utilizing an actively shielded array of optically-pumped magnetometers. Neuroimage 2019, 194, 244–258. [Google Scholar] [CrossRef] [PubMed]
- Zhang, R.; Xiao, W.; Ding, Y.; Feng, Y.; Peng, X.; Shen, L.; Sun, C.; Wu, T.; Wu, Y.; Yang, Y.; et al. Recording brain activities in unshielded Earth’s field with optically pumped atomic magnetometers. Sci. Adv. 2020, 6, eaba8792. [Google Scholar] [CrossRef] [PubMed]
- Han, B.; Yang, J.; Zhang, X.; Shi, M.; Yuan, S.; Wang, L. A magnetic compensation system composed of biplanar coils avoiding coupling effect of magnetic shielding. IEEE Trans. Ind. Electron. 2022, 70, 2057–2065. [Google Scholar] [CrossRef]
- Yang, J.; Zhang, X.; Han, B.; Wang, J.; Wang, L. Design of biplanar coils for degrading residual field in magnetic shielding room. IEEE Trans. Instrum. Meas. 2021, 70, 6010110. [Google Scholar] [CrossRef]
- Zhang, H.; Shi, Z.; Zhao, F.; Li, H. Disturbance Suppression Based High-Precision Magnetic Field Compensation Method for Magnetic Shielding Cylinder. IEEE Trans. Ind. Electron. 2024. early access. [Google Scholar] [CrossRef]
- Xie, X.; Zhou, X.; Zhao, F.; Wang, W.; Sun, J. Design of Biplanar Nested Square Uniform Coil in Lightweight Magnetically Shielded Room for Magnetocardiography System. IEEE Trans. Instrum. Meas. 2023, 72, 6011209. [Google Scholar] [CrossRef]
- Cao, H.; Deng, Y.; Li, H.; Wang, J.; Liu, X.; Sun, Z.; Yang, T. Generalized active disturbance rejection with reduced-order vector resonant control for PMSM current disturbances suppression. IEEE Trans. Power Electron. 2023, 38, 6407–6421. [Google Scholar] [CrossRef]
- Fu, C.; Tan, W. Tuning of linear ADRC with known plant information. ISA Trans. 2016, 65, 384–393. [Google Scholar] [CrossRef] [PubMed]
- Zhou, R.; Tan, W. Analysis and tuning of general linear active disturbance rejection controllers. IEEE Trans. Ind. Electron. 2018, 66, 5497–5507. [Google Scholar] [CrossRef]
- Chen, C.T. Linear System Theory and Design; Oxford University Press: New York, NY, USA, 1999. [Google Scholar]
- Holmes, N.; Rea, M.; Chalmers, J.; Leggett, J.; Edwards, L.J.; Nell, P.; Pink, S.; Patel, P.; Wood, J.; Murby, N.; et al. A lightweight magnetically shielded room with active shielding. Sci. Rep. 2022, 12, 13561. [Google Scholar] [CrossRef]
- Zhao, J.; Tian, P.; Sun, J.; Zhang, H. Dynamic stabilisation of magnetic fields measured inside a magnetically shielded room using an external coil system. J. Phys. D Appl. Phys. 2024, 57, 235004. [Google Scholar] [CrossRef]
















| Value | Value | ||
|---|---|---|---|
| Numerator of | Value | Numerator of | Value | Denominator | Value |
|---|---|---|---|---|---|
Disclaimer/Publisher’s Note: The statements, opinions and data contained in all publications are solely those of the individual author(s) and contributor(s) and not of MDPI and/or the editor(s). MDPI and/or the editor(s) disclaim responsibility for any injury to people or property resulting from any ideas, methods, instructions or products referred to in the content. |
© 2024 by the authors. Licensee MDPI, Basel, Switzerland. This article is an open access article distributed under the terms and conditions of the Creative Commons Attribution (CC BY) license (https://creativecommons.org/licenses/by/4.0/).
Share and Cite
Zhao, J.; Zhou, X.; Sun, J. Dynamic Field Nulling Method for Magnetically Shielded Room Based on Padé Approximation and Generalized Active Disturbance Rejection Control. Electronics 2024, 13, 3163. https://doi.org/10.3390/electronics13163163
Zhao J, Zhou X, Sun J. Dynamic Field Nulling Method for Magnetically Shielded Room Based on Padé Approximation and Generalized Active Disturbance Rejection Control. Electronics. 2024; 13(16):3163. https://doi.org/10.3390/electronics13163163
Chicago/Turabian StyleZhao, Jiye, Xinxiu Zhou, and Jinji Sun. 2024. "Dynamic Field Nulling Method for Magnetically Shielded Room Based on Padé Approximation and Generalized Active Disturbance Rejection Control" Electronics 13, no. 16: 3163. https://doi.org/10.3390/electronics13163163
APA StyleZhao, J., Zhou, X., & Sun, J. (2024). Dynamic Field Nulling Method for Magnetically Shielded Room Based on Padé Approximation and Generalized Active Disturbance Rejection Control. Electronics, 13(16), 3163. https://doi.org/10.3390/electronics13163163

