Network Intrusion Detection Based on Deep Belief Network Broad Equalization Learning System
Abstract
1. Introduction
- We introduce the EQL v2 idea into the BLS and propose a new model by adding positive and negative gradient factors and recalculating its weights, which improves the poor learning ability of the BLS model for minority class samples by adjusting the positive and negative gradient factors and mitigates the defect of the BLS model in that it is not good at dealing with the imbalanced dataset, to improve the performance of detecting minority class samples.
- We evaluated two types of DBN-based dimensionality reduction models—the traditional DBN model and the DeBN model that introduces the idea of EQL v2—and experimentally compared the effects of the two dimensionality reduction models on the classification effect.
- We conducted many experiments on the DBELS model based on the publicly available benchmark dataset CICIDS2017, giving detailed experimental setups including binary and multi-classification, and evaluating the model in terms of accuracy, recall, false positive rate, time, and the receiver operating characteristic curves, finding obvious advantages over other models. We also tested the effect of hyperparameters on the model through many experiments and conducted comparative analyses with other state-of-the-art models.
- We further validated the fitness and scalability of the proposed model with the CICIDS2018 dataset. The performance and usefulness of the proposed model were evaluated by comparative analysis with other models.
2. Related Works
2.1. NIDS Based on BLS
2.2. NIDS Based on Data Imbalance
2.3. NIDS Based on Data Dimensionality Reduction
3. Methodology
3.1. DBELS Architecture
3.2. Deep Belief Network
3.2.1. Restricted Boltzmann Machine
3.2.2. Training of Deep Belief Network
3.3. Broad Learning System
3.4. Equalization Loss v2
3.5. Broad Equalization Learning System
4. Experiments
4.1. CICIDS2017 Datasets
4.2. Implementation Details
4.3. Performance Metrics
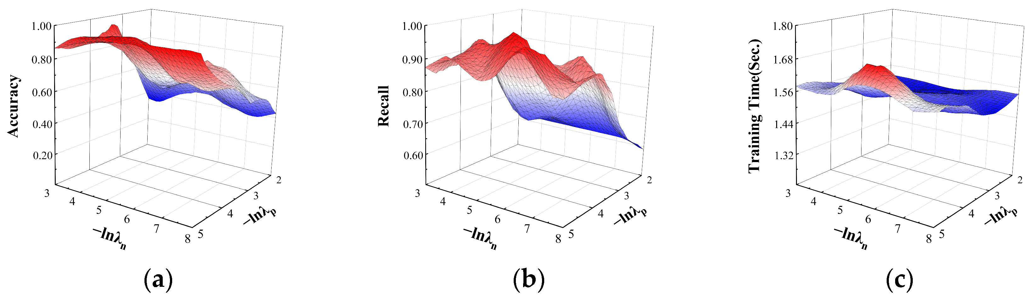
4.4. Analysis of Hyperparameters
4.4.1. Effect of and on Binary Classification
4.4.2. Effect of and on Multi-Classification
4.4.3. Effect of Mapping and Enhancement Groups on Binary Classification
4.4.4. Effect of Mapping and Enhancement Groups on Multi-Classification
4.5. Ablation Studies
4.5.1. Performance Analysis on Binary Classification
4.5.2. Performance Analysis on Multi-Classification
4.5.3. Time-Cost Analysis
4.5.4. Results Analysis for Recall of Each Sample on Binary Classification
4.5.5. Result Analysis for Recall of Each Sample on Multi-Classification
4.6. Analysis of ROC-AUC
4.7. Comparison with State-of-the-Art Methods
4.7.1. Binary Classification
4.7.2. Multi-Classification
5. Model Validation
6. Conclusions
Author Contributions
Funding
Data Availability Statement
Conflicts of Interest
References
- Anderson, J.P. Computer Security Threat Monitoring and Surveillance; Technical Report; James P. Anderson Company: Washington, DC, USA, 1980. [Google Scholar]
- Zhang, H.; Li, J.-L.; Liu, X.-M.; Dong, C. Multi-dimensional feature fusion and stacking ensemble mechanism for network intrusion detection. Future Gener. Comput. Syst. 2021, 122, 130–143. [Google Scholar] [CrossRef]
- Sain, H.; Purnami, S.W. Combine sampling support vector machine for imbalanced data classification. Procedia Comput. Sci. 2015, 72, 59–66. [Google Scholar] [CrossRef]
- Thapa, N.; Liu, Z.; Kc, D.B.; Gokaraju, B.; Roy, K. Comparison of machine learning and deep learning models for network intrusion detection systems. Future Internet 2020, 12, 167. [Google Scholar] [CrossRef]
- Namakshenas, D.; Yazdinejad, A.; Dehghantanha, A.; Srivastava, G. Federated quantum-based privacy-preserving threat detection model for consumer internet of things. IEEE Trans. Consum. Electron. 2024. [Google Scholar] [CrossRef]
- Almiani, M.; AbuGhazleh, A.; Al-Rahayfeh, A.; Atiewi, S.; Razaque, A. Deep recurrent neural network for IoT intrusion detection system. Simul. Model. Pract. Theory 2020, 101, 102031. [Google Scholar] [CrossRef]
- Wu, P. Deep Learning for Network Intrusion Detection: Attack Recognition with Computational Intelligence; UNSW: Sydney, Australia, 2020. [Google Scholar]
- Yazdinejad, A.; Dehghantanha, A.; Karimipour, H.; Srivastava, G.; Parizi, R.M. A Robust Privacy-Preserving Federated Learning Model Against Model Poisoning Attacks. IEEE Trans. Inf. Forensics Secur. 2024, 19, 6693–6708. [Google Scholar] [CrossRef]
- Yazdinejad, A.; Dehghantanha, A.; Srivastava, G.; Karimipour, H.; Parizi, R.M. Hybrid privacy preserving federated learning against irregular users in next-generation Internet of Things. J. Syst. Archit. 2024, 148, 103088. [Google Scholar] [CrossRef]
- Chen, C.P.; Liu, Z. Broad learning system: An effective and efficient incremental learning system without the need for deep architecture. IEEE Trans. Neural Netw. Learn. Syst. 2017, 29, 10–24. [Google Scholar] [CrossRef] [PubMed]
- Gong, X.; Zhang, T.; Chen, C.P.; Liu, Z. Research review for broad learning system: Algorithms, theory, and applications. IEEE Trans. Cybern. 2021, 52, 8922–8950. [Google Scholar] [CrossRef]
- Li, Z.; Rios, A.L.G.; Xu, G.; Trajković, L. Machine Learning Techniques for Classifying Network Anomalies and Intrusions. In Proceedings of the 2019 IEEE International Symposium on Circuits and Systems (ISCAS), Sapporo, Japan, 26–29 May 2019; pp. 1–5. [Google Scholar]
- Wu, T.; Fan, H.; Zhu, H.; You, C.; Zhou, H.; Huang, X. Intrusion detection system combined enhanced random forest with SMOTE algorithm. EURASIP J. Adv. Signal Process. 2022, 2022, 39. [Google Scholar] [CrossRef]
- Zhang, B.; Liu, Z.; Jia, Y.; Ren, J.; Zhao, X. Network intrusion detection method based on PCA and Bayes algorithm. Secur. Commun. Netw. 2018, 2018, 1914980. [Google Scholar] [CrossRef]
- Li, Z.; Batta, P.; Trajkovic, L. Comparison of Machine Learning Algorithms for Detection of Network Intrusions. In Proceedings of the 2018 IEEE International Conference on Systems, Man, and Cybernetics (SMC), Miyazaki, Japan, 7–10 October 2018; pp. 4248–4253. [Google Scholar]
- Rios, A.L.G.; Li, Z.; Xu, G.; Alonso, A.D.; Trajković, L. Detecting Network Anomalies and Intrusions in Communication Networks. In Proceedings of the 2019 IEEE 23rd International Conference on Intelligent Engineering Systems (INES), Gödöllő, Hungary, 25–27 April 2019; pp. 000029–000034. [Google Scholar]
- Rios, A.L.G.; Li, Z.; Bekshentayeva, K.; Trajković, L. Detection of Denial of Service Attacks in Communication Networks. In Proceedings of the 2020 IEEE International Symposium on Circuits and Systems (ISCAS), Seville, Spain, 12–14 October 2020; pp. 1–5. [Google Scholar]
- Li, J.; Zhang, H.; Liu, Z.; Liu, Y. Network intrusion detection via tri-broad learning system based on spatial-temporal granularity. J. Supercomput. 2023, 79, 9180–9205. [Google Scholar] [CrossRef]
- Ahmad, T.; Aziz, M.N. Data preprocessing and feature selection for machine learning intrusion detection systems. ICIC Express Lett. 2019, 13, 93–101. [Google Scholar]
- Hao, X.; Jiang, Z.; Xiao, Q.; Wang, Q.; Yao, Y.; Liu, B.; Liu, J. Producing More with Less: A GAN-Based Network Attack Detection Approach for Imbalanced Data. In Proceedings of the 2021 IEEE 24th International Conference on Computer Supported Cooperative Work in Design (CSCWD), Dalian, China, 5–7 May 2021; pp. 384–390. [Google Scholar]
- Tan, J.; Lu, X.; Zhang, G.; Yin, C.; Li, Q. Equalization Loss v2: A New Gradient Balance Approach for Long-Tailed Object Detection. In Proceedings of the IEEE/CVF Conference on Computer Vision and Pattern Recognition, Nashville, TN, USA, 20–25 June 2021; pp. 1685–1694. [Google Scholar]
- Shen, Z.; Zhang, Y.; Chen, W. A bayesian classification intrusion detection method based on the fusion of PCA and LDA. Secur. Commun. Netw. 2019, 2019, 6346708. [Google Scholar] [CrossRef]
- Salo, F.; Nassif, A.B.; Essex, A. Dimensionality reduction with IG-PCA and ensemble classifier for network intrusion detection. Comput. Netw. 2019, 148, 164–175. [Google Scholar] [CrossRef]
- Hinton, G.E.; Osindero, S.; Teh, Y.-W. A fast learning algorithm for deep belief nets. Neural Comput. 2006, 18, 1527–1554. [Google Scholar] [CrossRef] [PubMed]
- Belarbi, O.; Khan, A.; Carnelli, P.; Spyridopoulos, T. An Intrusion Detection System Based on Deep Belief Networks. In Proceedings of the International Conference on Science of Cyber Security, Shimane, Japan, 10–12 August 2022; pp. 377–392. [Google Scholar]
- Andresini, G.; Appice, A.; Malerba, D. Nearest cluster-based intrusion detection through convolutional neural networks. Knowl. Based Syst. 2021, 216, 106798. [Google Scholar] [CrossRef]
- Kim, A.; Park, M.; Lee, D.H. AI-IDS: Application of deep learning to real-time Web intrusion detection. IEEE Access 2020, 8, 70245–70261. [Google Scholar] [CrossRef]
- Thakkar, A.; Lohiya, R. Fusion of statistical importance for feature selection in Deep Neural Network-based Intrusion Detection System. Inf. Fusion 2023, 90, 353–363. [Google Scholar] [CrossRef]
- Chen, Y.; Lin, Q.; Wei, W.; Ji, J.; Wong, K.-C.; Coello, C.A.C. Intrusion detection using multi-objective evolutionary convolutional neural network for Internet of Things in Fog computing. Knowl. Based Syst. 2022, 244, 108505. [Google Scholar] [CrossRef]
- Thakkar, A.; Lohiya, R. Attack classification of imbalanced intrusion data for IoT network using ensemble learning-based deep neural network. IEEE Internet Things J. 2023, 10, 11888–11895. [Google Scholar] [CrossRef]
- Mulyanto, M.; Faisal, M.; Prakosa, S.W.; Leu, J.-S. Effectiveness of focal loss for minority classification in network intrusion detection systems. Symmetry 2020, 13, 4. [Google Scholar] [CrossRef]
- Idrissi, M.J.; Alami, H.; El Mahdaouy, A.; El Mekki, A.; Oualil, S.; Yartaoui, Z.; Berrada, I. Fed-anids: Federated learning for anomaly-based network intrusion detection systems. Expert Syst. Appl. 2023, 234, 121000. [Google Scholar] [CrossRef]
- Yao, W.; Shi, H.; Zhao, H. Scalable anomaly-based intrusion detection for secure Internet of Things using generative adversarial networks in fog environment. J. Netw. Comput. Appl. 2023, 214, 103622. [Google Scholar] [CrossRef]
- Jose, J.; Jose, D.V. Deep learning algorithms for intrusion detection systems in internet of things using CIC-IDS 2017 dataset. Int. J. Electr. Comput. Eng. (IJECE) 2023, 13, 1134–1141. [Google Scholar] [CrossRef]
- Rojas, R. AdaBoost and the super bowl of classifiers a tutorial introduction to adaptive boosting. Freie Univ. Berl. Tech. Rep. 2009, 1, 1–6. [Google Scholar]
- Lv, Z.; Qiao, L.; Li, J.; Song, H. Deep-learning-enabled security issues in the internet of things. IEEE Internet Things J. 2020, 8, 9531–9538. [Google Scholar] [CrossRef]
- Assis, M.V.; Carvalho, L.F.; Lloret, J.; Proença Jr, M.L. A GRU deep learning system against attacks in software defined networks. J. Netw. Comput. Appl. 2021, 177, 102942. [Google Scholar] [CrossRef]
- Imrana, Y.; Xiang, Y.; Ali, L.; Abdul-Rauf, Z. A bidirectional LSTM deep learning approach for intrusion detection. Expert Syst. Appl. 2021, 185, 115524. [Google Scholar] [CrossRef]
- Zhou, Y.; Cheng, G.; Jiang, S.; Dai, M. Building an efficient intrusion detection system based on feature selection and ensemble classifier. Comput. Netw. 2020, 174, 107247. [Google Scholar] [CrossRef]













| Category | Label | Sample | Feature |
|---|---|---|---|
| Benign | Benign | 2,273,097 | Dest Port, Flow Duration, Tot Fwd|Bwd Pkts, Tot Len Fwd|Bwd Pkts, Fwd|Bwd Pkt Len Max|Min|Mean|Std, Min|Max Pkt Len, Pkt Len Mean|Std|Var, Avg Pkt Size, Avg Fwd|Bwd Seg Size, Flow Bytes|Pkts, Fwd|Bwd Pkts, Fwd|Bwd Avg Bulk Rate, Fwd|Bwd Avg Bytes|Pkts, Flow IAT Mean|Std|Max|Min, Fwd|Bwd IAT Total|Mean|Std|Max|Min, Down-Up Ratio, Active|Idle Mean|Std|Max|Min, Fwd|Bwd PSH Flags, Fwd|Bwd URG Flags, Init Win Bytes Fwd|Bwd, Fwd|Bwd Header Len, Act Data Pkt Fwd, FIN|SYN|RST|PSH|ACK|URG|CWE|ECE Flags, Min Seg Size Fwd, Subflow Fwd|Bwd Pkts|Bytes, Label |
| DoS/DDoS | DoS Hulk, DDoS, DoS GoldenEye, DoS Slowloris, DoS Slowhttptest, Heartbleed | 380,699 | |
| PortScan | PortScan | 158,930 | |
| Brute Force | FTP-Patator, SSH-Patator | 13,835 | |
| Web Attack | Web Attack—Brute Force, Web Attack—XSS, Web Attack—SQL Injection | 2180 | |
| Botnet | Bot | 1966 | |
| Total | - | 2,830,707 | 79 |
| Parameter | Pre-Training | Fine-Tuning | Description |
|---|---|---|---|
| Epochs | 30 | 100 | - |
| Learning rate | 0.0001 | 0.00001 | - |
| Batch size | 64 | 128 | - |
| Optimiser | SGD | Adam | - |
| Gibbs step | - | - | 5 |
| Mapping|Enhancement group node count | - | - | 16 |
| Mapping|Enhancement activation function | - | - | Relu |
| - | - | 0.001 |
| Method | Algorithm | Evaluation Metric | ||||||
|---|---|---|---|---|---|---|---|---|
| BLS | BELS | PCA | DBN | DeBN | Accuracy | Recall | Time(s) | |
| BLS | ✓ | 0.88105 | 0.63062 | 1.83126 | ||||
| PBLS | ✓ | ✓ | 0.86780 | 0.59044 | 0.75575 | |||
| DBLS | ✓ | ✓ | 0.91531 | 0.73711 | 0.60949 | |||
| DeBLS | ✓ | ✓ | 0.29939 | 0.58103 | 0.60531 | |||
| BELS | ✓ | 0.96670 | 0.92483 | 4.86849 | ||||
| PBELS | ✓ | ✓ | 0.92279 | 0.85250 | 1.64884 | |||
| DBELS | ✓ | ✓ | 0.99240 | 0.98579 | 1.63914 | |||
| DeBELS | ✓ | ✓ | 0.98896 | 0.97516 | 1.57186 | |||
| Method | Algorithm | Evaluation Metric | ||||||
|---|---|---|---|---|---|---|---|---|
| BLS | BELS | PCA | DBN | DeBN | Accuracy | Recall | Time(s) | |
| BLS | ✓ | 0.97450 | 0.47382 | 1.74388 | ||||
| PBLS | ✓ | ✓ | 0.93755 | 0.29756 | 0.51006 | |||
| DBLS | ✓ | ✓ | 0.99286 | 0.65797 | 0.51341 | |||
| DeBLS | ✓ | ✓ | 0.98936 | 0.67712 | 0.50913 | |||
| BELS | ✓ | 0.97060 | 0.52527 | 5.00825 | ||||
| PBELS | ✓ | ✓ | 0.93848 | 0.47024 | 1.77999 | |||
| DBELS | ✓ | ✓ | 0.98719 | 0.80346 | 1.49983 | |||
| DeBELS | ✓ | ✓ | 0.95790 | 0.94741 | 1.63619 | |||
| Category | Method | |||||||
|---|---|---|---|---|---|---|---|---|
| BLS | PBLS | DBLS | DeBLS | BELS | PBELS | DBELS | DeBELS | |
| Benign | 0.99983 | 0.99934 | 0.99983 | 0.16582 | 0.98655 | 0.95613 | 0.99554 | 0.99551 |
| Attack | 0.26141 | 0.18154 | 0.47439 | 0.99625 | 0.86312 | 0.74888 | 0.97604 | 0.95480 |
| Category | Method | |||||||
|---|---|---|---|---|---|---|---|---|
| BLS | PBLS | DBLS | DeBLS | BELS | PBELS | DBELS | DeBELS | |
| Benign | 0.99094 | 0.99252 | 0.99787 | 0.99665 | 0.99057 | 0.95042 | 0.98886 | 0.95903 |
| Botnet ARES | 0 | 0 | 0 | 0.13660 | 0 | 0 | 0 | 0.94845 |
| Brute Force | 0 | 0 | 0.98480 | 0.98655 | 1 | 0 | 0.99766 | 0.98830 |
| DoS/DDoS | 0.91515 | 0.79286 | 0.97416 | 0.95507 | 0.87920 | 0.89234 | 0.98244 | 0.94544 |
| Port Scan | 0.93683 | 0 | 0.99101 | 0.98787 | 0.85313 | 0.97871 | 0.99093 | 0.98709 |
| Web Attack | 0 | 0 | 0 | 0 | 0 | 0 | 0.86085 | 0.85613 |
| Method | Accuracy | Recall | FPR |
|---|---|---|---|
| Our study | 0.992 | 0.986 | 0.014 |
| LR | 0.934 | 0.827 | 0.173 |
| NB | 0.307 | 0.580 | 0.420 |
| DCAE | 0.925 | 0.925 | - |
| TBLS(W) [18] | 0.982 | 0.975 | - |
| DNN [18] | 0.868 | - | - |
| CNN [18] | 0.844 | - | - |
| LSTM [18] | 0.365 | - | - |
| 2D-CNN [26] | 0.980 | - | - |
| CNN-LSTM [27] | 0.930 | 0.768 | - |
| FS-DNN [28] | 0.998 | 0.999 | 0.012 |
| MECNN [29] | 0.998 | 0.998 | - |
| Bagging-DNN [30] | 0.987 | 0.999 | 0.021 |
| FL-NIDS [31] | 0.943 | 0.947 | 0.061 |
| FedProx-AE [32] | 0.935 | - | 0.017 |
| Method | Accuracy | Recall | FPR |
|---|---|---|---|
| Our study | 0.958 | 0.947 | 0.012 |
| LR | 0.934 | 0.301 | 0.057 |
| NB | 0.286 | 0.746 | 0.126 |
| GA-ANN | 0.815 | - | - |
| GSPSO-ANN | 0.840 | - | - |
| TBLS(W) [18] | 0.978 | 0.977 | - |
| BiGAN [33] | 0.823 | 0.763 | 0.142 |
| MFFSEM(W) [2] | 0.999 | 0.999 | 0.013 |
| DNN [34] | 0.946 | 0.846 | - |
| MECNN [29] | 0.997 | 0.791 | - |
| AdaBoost [35] | 0.889 | 0.234 | - |
| SDAE-SVM [36] | 0.954 | 0.444 | - |
| GRU [37] | 0.985 | 0.742 | - |
| LSTM [38] | 0.989 | 0.748 | - |
| CFS-BA(W) [39] | 0.999 | 0.999 | 0.120 |
| Method | Evaluation Metric | |||
|---|---|---|---|---|
| Accuracy | Recall | FPR | Time(s) | |
| Our study | 0.981 | 0.956 | 0.044 | 5.295 |
| BLS | 0.958 | 0.931 | 0.069 | 18.826 |
| DT | 0.917 | 0.862 | 0.138 | 16.770 |
| NB | 0.791 | 0.742 | 0.258 | 2.556 |
| MLP | 0.963 | 0.933 | 0.067 | 861.788 |
| CNN | 0.957 | 0.926 | 0.074 | 949.476 |
| Method | Evaluation Metric | |||
|---|---|---|---|---|
| Accuracy | Recall | FPR | Time(s) | |
| Our study | 0.946 | 0.923 | 0.016 | 4.731 |
| BLS | 0.953 | 0.702 | 0.031 | 12.729 |
| DT | 0.891 | 0.499 | 0.060 | 17.266 |
| NB | 0.828 | 0.860 | 0.047 | 2.694 |
| MLP | 0.934 | 0.485 | 0.046 | 1025.025 |
| CNN | 0.966 | 0.785 | 0.026 | 916.550 |
Disclaimer/Publisher’s Note: The statements, opinions and data contained in all publications are solely those of the individual author(s) and contributor(s) and not of MDPI and/or the editor(s). MDPI and/or the editor(s) disclaim responsibility for any injury to people or property resulting from any ideas, methods, instructions or products referred to in the content. |
© 2024 by the authors. Licensee MDPI, Basel, Switzerland. This article is an open access article distributed under the terms and conditions of the Creative Commons Attribution (CC BY) license (https://creativecommons.org/licenses/by/4.0/).
Share and Cite
Deng, M.; Sun, C.; Kan, Y.; Xu, H.; Zhou, X.; Fan, S. Network Intrusion Detection Based on Deep Belief Network Broad Equalization Learning System. Electronics 2024, 13, 3014. https://doi.org/10.3390/electronics13153014
Deng M, Sun C, Kan Y, Xu H, Zhou X, Fan S. Network Intrusion Detection Based on Deep Belief Network Broad Equalization Learning System. Electronics. 2024; 13(15):3014. https://doi.org/10.3390/electronics13153014
Chicago/Turabian StyleDeng, Miaolei, Chuanchuan Sun, Yupei Kan, Haihang Xu, Xin Zhou, and Shaojun Fan. 2024. "Network Intrusion Detection Based on Deep Belief Network Broad Equalization Learning System" Electronics 13, no. 15: 3014. https://doi.org/10.3390/electronics13153014
APA StyleDeng, M., Sun, C., Kan, Y., Xu, H., Zhou, X., & Fan, S. (2024). Network Intrusion Detection Based on Deep Belief Network Broad Equalization Learning System. Electronics, 13(15), 3014. https://doi.org/10.3390/electronics13153014

