Rain Attenuations Based on Drop Size Distribution (DSD) Model and Empirical Model at Low THz Frequencies
Abstract
:1. Introduction
2. Drop Size Distribution (DSD) Model for Rain Attenuation
3. Empirical Model for Rain Attenuation
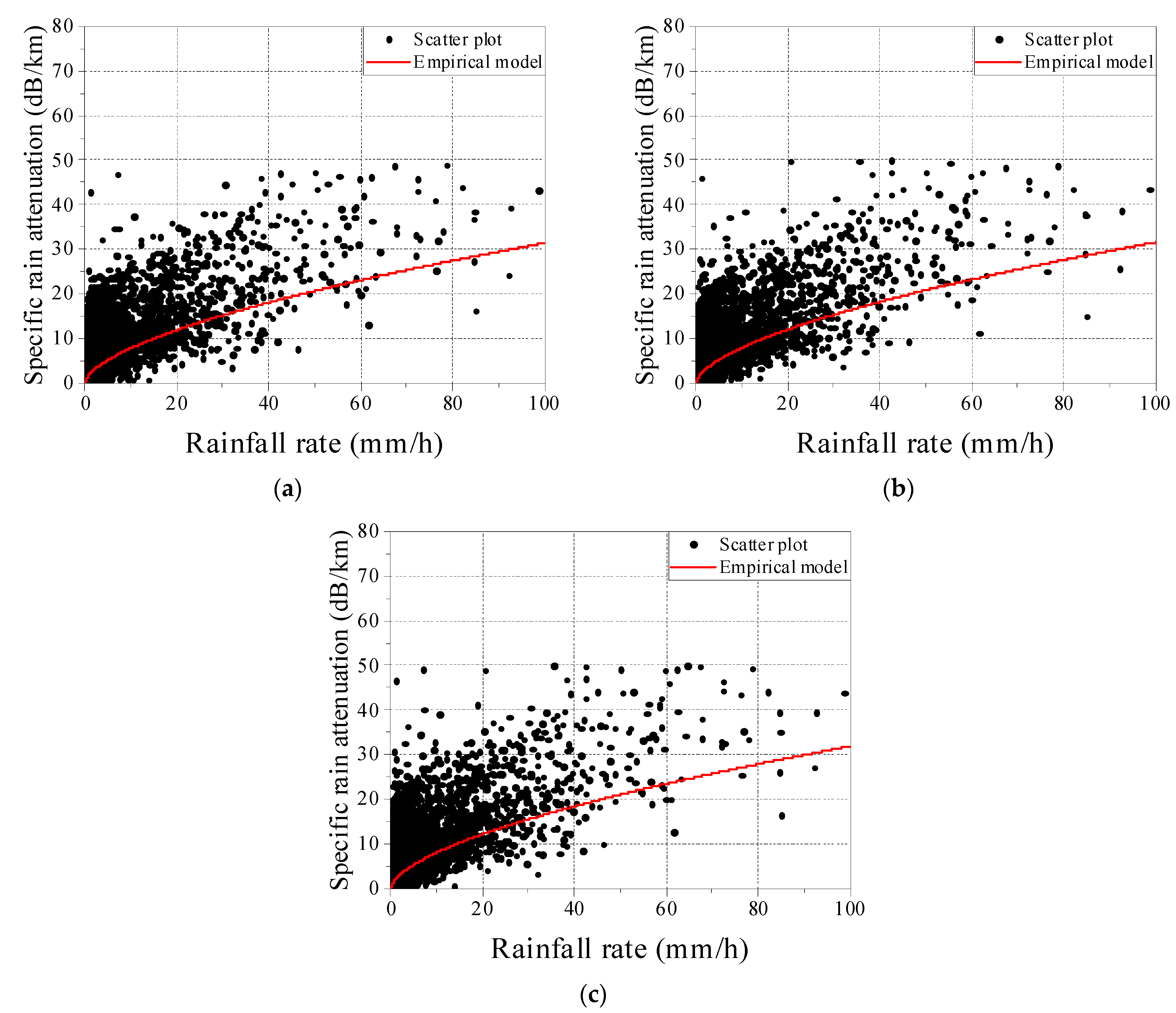
4. Comparison of Rain Attenuation
5. Conclusions
Author Contributions
Funding
Data Availability Statement
Conflicts of Interest
References
- Samad, M.A.; Diba, F.D.; Choi, D.Y. A survey of rain attenuation prediction models for terrestrial links-current research challenges and state-of-the-art. Sensors 2021, 21, 1207. [Google Scholar] [CrossRef] [PubMed]
- Moupfouma, F. Electromagnetic waves attenuation due to rain: A prediction model for terrestrial or LOS SHF and EHF radio communication links. J. Infrared Millim. Terahertz Waves 2009, 30, 622–632. [Google Scholar] [CrossRef]
- Budalal, A.A.H.; Islam, M.R.; Abdullah, K.; Rahman, T.A. Modification of distance factor in rain attenuation prediction for short-range millimeter-wave links. IEEE Antennas Wirel. Propag. Lett. 2020, 19, 1027–1031. [Google Scholar] [CrossRef]
- Peric, M.V.; Peric, D.B.; Todorovic, B.M.; Popovic, M.V. Dynamic rain attenuation model for millimeter wave network analysis. IEEE Trans. Wirel. Commun. 2017, 16, 441–450. [Google Scholar] [CrossRef]
- Crane, R.K. A two-component rain model for the prediction of attenuation statistics. Radio Sci. 1982, 17, 1371–1387. [Google Scholar] [CrossRef]
- Ghiani, R.; Luini, L.; Fanti, A. A physically based rain attenuation model for terrestrial links. Radio Sci. 2017, 52, 972–980. [Google Scholar] [CrossRef]
- Singh, H.; Kumar, V.; Saxena, K.; Boncho, B.; Prasad, R. Proposed model for radio wave attenuation due to rain (RWAR). Wirel. Pers. Commun. 2020, 115, 791–807. [Google Scholar] [CrossRef]
- Andrade, F.J.A.; Medeiros, A.A.M.; Mello, L.A.R. Short-term rain attenuation predictor for terrestrial links in tropical area. IEEE Antennas Wirel. Propag. Lett. 2017, 16, 1325–1328. [Google Scholar] [CrossRef]
- Chebil, J.; Islam, M.R.; Zyoud, A.; Habaebi, M.H.; Dao, H. Rain fade slope model for terrestrial microwave links. Int. J. Microw. Wirel. Technol. 2020, 12, 372–379. [Google Scholar] [CrossRef]
- Develi, I. Differential evolution based on prediction of rain attenuation over a LOS terrestrial link situated in the southern United Kingdom. Radio Sci. 2007, 42, 1–6. [Google Scholar] [CrossRef]
- Livieratos, S.N.; Cottis, P.G. Rain attenuation along terrestrial millimeter wave links: A new prediction method based on supervised machine learning. IEEE Access 2019, 7, 138745–138756. [Google Scholar] [CrossRef]
- Marzuki; Yoseva, M.; Hashiguchi, H.; Vonnisa, M.; Luini, L.; Nugroho, S.; Shafii, M.A. Characteristics of rain attenuation for microwave-to-terahertz waveband from raindrop size distribution observation in Indonesia. In Proceedings of the 2019 PhotonIcs & Electromagnetics Research Symposium-Spring (PIERS-Spring), Rome, Italy, 17–20 June 2019; Vonnisa, M., Luini, L., Nugroho, S., Eds.; IEEE: Piscataway, NJ, USA, 2019. [Google Scholar]
- Manabe, T.; Ihara, T.; Awaka, J.; Furuhama, Y. The relationship of raindrop-size distribution to attenuations experienced at 50, 80, 140, and 240 GHz. IEEE Trans. Antennas Propag. 1987, 35, 1326–1330. [Google Scholar] [CrossRef]
- Hirata, A.; Yamaguchi, R.; Takahashi, H.; Kosugi, T.; Murata, K.; Kukutsu, N.; Kado, Y. Effect of rain attenuation for a 10-Gb/s 120-GHz-band millimeter-wave wireless link. IEEE Trans. Microw. Theory Tech. 2009, 57, 3099–3105. [Google Scholar] [CrossRef]
- Morais, L.; Menezes, L.; Moraes, P. Rain attenuation at THz frequencies from historical data collected in Brasilia, Brazil. In Proceedings of the 2021 USNC-URSI Radio Science Meeting (USCN-URSI RSM), Singapore, 4–10 December 2021; IEEE: Piscataway, NJ, USA, 2021. [Google Scholar]
- Utsunomiya, T.; Sekine, M. Rain attenuation at 103 GHz in millimeter wave ranges. Int. J. Infrared Millim. Waves 2005, 26, 1651–1660. [Google Scholar] [CrossRef]
- Nemarich, J.; Wellman, R.J.; Lacombe, J. Backscatter and attenuation by falling snow and rain at 96, 140, and 225 GHz. IEEE Trans. Geosci. Remote Sens. 1988, 26, 319–329. [Google Scholar] [CrossRef]
- Luo, Y.; Huang, W.; Luo, Z. Attenuation of terahertz transmission through rain. Optoelectron. Lett. 2012, 8, 0310–0313. [Google Scholar] [CrossRef]
- Ishii, S.; Kinugawa, M.; Sayama, S.; Sayama, S.; Kamei, T. Rain attenuation in the microwave-to-terahertz waveband. Wirel. Eng. Technol. 2016, 7, 59. [Google Scholar] [CrossRef]
- O’Hara, J.F.; Grischkowsky, D.R. Comment on the veracity of the ITU-R recommendation for atmospheric attenuation at terahertz frequencies. IEEE Trans. Terahertz Sci. Technol. 2018, 8, 372–375. [Google Scholar] [CrossRef]
- Norouzian, F.; Marchetti, E.; Gashinova, M.; Hoare, E.; Constantinou, C.; Gardner, P.; Cherniakov, M. Rain attenuation at millimeter wave and low-THz frequencies. IEEE Trans. Antennas Propag. 2020, 68, 421–431. [Google Scholar] [CrossRef]
- Shawon, M.E.; Chowdhury, M.Z.; Hossen, M.B.; Ahmed, M.F.; Jang, Y. Rain attenuation characterization for 6G terahertz wireless communication. In Proceedings of the 2021 International Conference on Artificial Intelligence in Information and Communication (ICAIIC), Jeju Island, Republic of Korea, 13–16 April 2021; IEEE: Piscataway, NJ, USA, 2021. [Google Scholar]
- Lai, Z.; Yi, H.; Guan, K.; Ai, B.; Zhong, W.; Dou, J.; Zeng, Y.; Zhong, Z. Impact of meteorological attenuation on channel characterization at 300 GHz. Electronics 2020, 9, 1115. [Google Scholar] [CrossRef]
- International Telecommunications Union (I.T.U.). Radiowave Propagation Series. Specific attenuation model for rain for use in prediction methods. In Recommendation ITU-R P.838-3; International Telecommunications Union: Geneva, Switzerland, 2005. [Google Scholar]
- Bohren, C.F.; Huffman, D.R. Absorption and Scattering of Light by Small Particles; Wiley-VCH: Weinheim, Germany, 1998. [Google Scholar]
- Macuroy, J.T.; Chang, W.; Faustino-Eslava, D.V.; Sanchez, P.A.J.; Tiburan, C.L., Jr.; Jou, B.J. Evaluations on radar QPE using raindrop size distribution in Southern Luzon, Philippines. Terr. Atmos. Ocean. Sci. 2021, 32, 7. [Google Scholar] [CrossRef]
- Ulbrich, C.W. Natural variations in the analytical form of the raindrop size distribution. J. Appl. Meteorol. Climatol. 1983, 22, 1764–1775. [Google Scholar] [CrossRef]
- Sekine, M.; Lind, G. Rain attenuation of centimeter, millimeter and submillimeter radio waves. In Proceedings of the 1982 12th European Microwave Conference, Helsinki, Finland, 13–17 September 1982; IEEE: Piscataway, NJ, USA, 1982. [Google Scholar]
- International Telecommunications Union (I.T.U.). Radiowave Propagation Series. Attenuation by atmospheric gases. In Recommendation ITU-R P.676-11; International Telecommunications Union: Geneva, Switzerland, 2016. [Google Scholar]









| Frequency | 240 GHz | 270 GHz | 300 GHz |
|---|---|---|---|
| k | 1.5814 | 1.5640 | 1.5466 |
| α | 0.6620 | 0.6620 | 0.6621 |
| RMSE | 2.8977 | 2.8646 | 2.8331 |
| Frequency | 240 GHz, 270 GHz and 300 GHz | ||
|---|---|---|---|
| Polarization | Linear | ||
| Antenna | Tx | Type | directional |
| Gain | 46 dBi | ||
| Beam width (3 dB) | 1 degree | ||
| Polarization | vertical | ||
| Rx | Type | directional | |
| Gain | 46 dBi | ||
| Beam width (3 dB) | 1 degree | ||
| Polarization | vertical | ||
| Frequency | 240 GHz | 270 GHz | 300 GHz |
|---|---|---|---|
| k | 1.9463 | 1.9892 | 2.0225 |
| α | 0.6040 | 0.6001 | 0.5989 |
| RMSE | 3.1524 | 3.2279 | 3.4366 |
| Model | Frequency | k | α |
|---|---|---|---|
| DSD model | 240 GHz | 1.5814 | 0.6620 |
| 270 GHz | 1.5640 | 0.6620 | |
| 300 GHz | 1.5466 | 0.6621 | |
| Empirical model | 240 GHz | 1.9463 | 0.6040 |
| 270 GHz | 1.9892 | 0.6001 | |
| 300 GHz | 2.0225 | 0.5989 | |
| ITU-R recommendation (Vertical/Horizontal) | 240 GHz | 1.6473/1.6434 | 0.6295/0.6337 |
| 270 GHz | 1.6399/1.6380 | 0.6274/0.6314 | |
| 300 GHz | 1.6286/1.6286 | 0.6262/0.6296 |
| DSD Data | Comparison with Measured Attenuation | Frequency Band | |
|---|---|---|---|
| Ref. [12] | Measurement | No | 1, 100, and 1000 GHz |
| Ref. [15] | Analytic model | No | 300~1000 GHz |
| Ref. [19] | Analytic model | Yes | 90, 140, 225, 313, and 355 GHz |
| Ref. [21] | Measurement | Yes (Not at same time) | 77 and 300 GHz |
| This work | Measurement | Yes | 240, 270, and 300 GHz |
Disclaimer/Publisher’s Note: The statements, opinions and data contained in all publications are solely those of the individual author(s) and contributor(s) and not of MDPI and/or the editor(s). MDPI and/or the editor(s) disclaim responsibility for any injury to people or property resulting from any ideas, methods, instructions or products referred to in the content. |
© 2023 by the authors. Licensee MDPI, Basel, Switzerland. This article is an open access article distributed under the terms and conditions of the Creative Commons Attribution (CC BY) license (https://creativecommons.org/licenses/by/4.0/).
Share and Cite
Kim, Y.; Kim, J.; Oh, J.; Yoon, Y.; Park, S.; Lee, J. Rain Attenuations Based on Drop Size Distribution (DSD) Model and Empirical Model at Low THz Frequencies. Electronics 2024, 13, 9. https://doi.org/10.3390/electronics13010009
Kim Y, Kim J, Oh J, Yoon Y, Park S, Lee J. Rain Attenuations Based on Drop Size Distribution (DSD) Model and Empirical Model at Low THz Frequencies. Electronics. 2024; 13(1):9. https://doi.org/10.3390/electronics13010009
Chicago/Turabian StyleKim, Yongho, Jongho Kim, Jinhyung Oh, Youngkeun Yoon, Sangwook Park, and Jaegon Lee. 2024. "Rain Attenuations Based on Drop Size Distribution (DSD) Model and Empirical Model at Low THz Frequencies" Electronics 13, no. 1: 9. https://doi.org/10.3390/electronics13010009
APA StyleKim, Y., Kim, J., Oh, J., Yoon, Y., Park, S., & Lee, J. (2024). Rain Attenuations Based on Drop Size Distribution (DSD) Model and Empirical Model at Low THz Frequencies. Electronics, 13(1), 9. https://doi.org/10.3390/electronics13010009

