Investigation of Current Collapse Mechanism on AlGaN/GaN Power Diodes
Abstract
1. Introduction
2. Materials and Methods
2.1. Materials
2.2. Stress Test Methodology
- The stress phase, where reverse voltage is applied for a fixed duration corresponding to the OFF state. During this phase, depending on the stress time and Shockley-Read-Hall (SRH) kinetic, a given net charge is trapped within deep or shallow levels.
- The recovery phase, where the diode behaviour in forward condition is observed corresponding to the ON-state. During this phase, de-trapping mechanism occurs and the emission of charges previously trapped is now observable.

3. Results
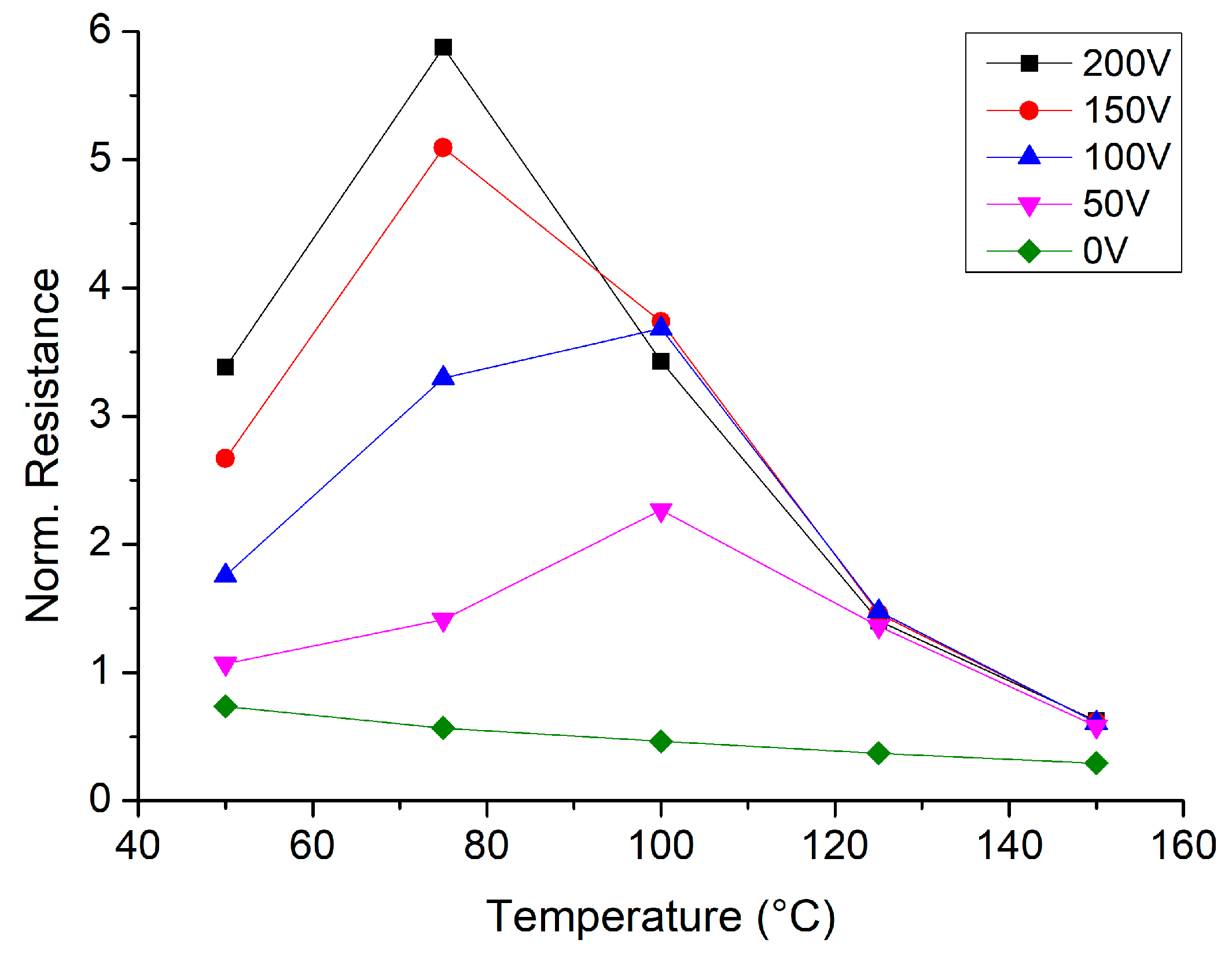
3.1. Stress Degradation Studies and Temperature Dependance
3.2. Trapping Phenomena Investigation
- A first, distinct de-trapping process (Figure 7) can be extracted. As the temperature increases, the dominant transients significantly speed up as the temperature increases; the time constant spectra at different temperatures show this acceleration very clearly.
- A second less visible de-trapping process (Figure 7 inset) can also be extracted; a similar temperature-dependent behaviour can be observed.

- The first, closer from the conduction band is estimated to have an activation energy Ec—0.44 eV with a cross section σc of 6 × 10−21 cm2.
- The second is estimated to have an activation energy of Ec—0.73 eV with a cross section σc of 4.3 × 10−18 cm2.

4. Discussion
Author Contributions
Funding
Data Availability Statement
Acknowledgments
Conflicts of Interest
References
- Ma, C.-T.; Gu, Z.-H. Review of GaN HEMT Applications in Power Converters over 500 W. Electronics 2019, 8, 1401. [Google Scholar] [CrossRef]
- Nela, L.; Van Erp, R.; Kampitsis, G.; Yildirim, H.K.; Ma, J.; Matioli, E. Ultra-compact, High-Frequency Power Integrated Circuits Based on GaN-on-Si Schottky Barrier Diodes. IEEE Trans. Power Electron. 2020, 36, 1269–1273. [Google Scholar] [CrossRef]
- Kizilyalli, I.C.; Edwards, A.P.; Aktas, O.; Prunty, T.; Bour, D. Vertical Power p-n Diodes Based on Bulk GaN. IEEE Trans. Electron Devices 2014, 62, 414–422. [Google Scholar] [CrossRef]
- Martin, D.; Nicolas, D.; Loris, P.; Etienne, O.; Thierry, D.; Emmanuel, C.; Arnaud, Y.; Nadir, I.; Jean-Claude, D.-J. Characterization and modeling of 650V GaN diodes for high frequency power conversion. In Proceedings of the 2021 IEEE Design Methodologies Conference (DMC), Bath, UK, 14–15 July 2021; pp. 1–5. [Google Scholar] [CrossRef]
- Li, K.; Evans, P.; Johnson, M. GaN-HEMT dynamic ON-state resistance characterisation and modelling. In Proceedings of the 2016 IEEE 17th Workshop on Control and Modeling for Power Electronics (COMPEL), Trondheim, Norway, 27–30 June 2016; pp. 1–7. [Google Scholar] [CrossRef]
- Meneghini, M.; Tajalli, A.; Moens, P.; Banerjee, A.; Zanoni, E.; Meneghesso, G. Trapping phenomena and degradation mechanisms in GaN-based power HEMTs. Mater. Sci. Semicond. Process. 2018, 78, 118–126. [Google Scholar] [CrossRef]
- Zubrilov, A.S.; Nikolaev, V.I.; Tsvetkov, D.V.; Dmitriev, V.A.; Irvine, K.G.; Edmond, J.A.; Carter, C.H. Spontaneous and stimulated emission from photopumped GaN grown on SiC. Appl. Phys. Lett. 1995, 67, 533–535. [Google Scholar] [CrossRef]
- Wu, Y.; Chen, C.-Y.; del Alamo, J.A. Activation energy of drain-current degradation in GaN HEMTs under high-power DC stress. Microelectron. Reliab. 2014, 54, 2668–2674. [Google Scholar] [CrossRef]
- Joh, J.; del Alamo, J.A. RF power degradation of GaN High Electron Mobility Transistors. In Proceedings of the 2010 International Electron Devices Meeting, San Francisco, CA, USA, 6–8 December 2010; p. 4. [Google Scholar] [CrossRef]
- Mizue, C.; Hori, Y.; Miczek, M.; Hashizume, T. Capacitance–Voltage Characteristics of Al2O3/AlGaN/GaN Structures and State Density Distribution at Al2O3/AlGaN Interface. Jpn. J. Appl. Phys. 2011, 50, 21001. [Google Scholar] [CrossRef]
- Saini, D.K. Gallium Nitride: Analysis of Physical Properties and Performance in High-Frequency Power Electronic Circuits. Wright State University. 2015. Available online: https://etd.ohiolink.edu/apexprod/rws_olink/r/1501/10?clear=10&p10_accession_num=wright1438013888 (accessed on 28 September 2022).
- Sabui, G.; Parbrook, P.J.; Arredondo-Arechavala, M.; Shen, Z.J. Modeling and simulation of bulk gallium nitride power semiconductor devices. AIP Adv. 2016, 6, 55006. [Google Scholar] [CrossRef]
- Kasani, S.P.K. Characterization of Defects on MOCVD Grown Gallium Nitride Using Transient Analysis Techniques. Master’s Thesis, West Virginia University, Morgantown, WV, USA, 2015. [Google Scholar] [CrossRef]
- Jin, D.; del Alamo, J.A. Methodology for the Study of Dynamic ON-Resistance in High-Voltage GaN Field-Effect Transistors. IEEE Trans. Electron Devices 2013, 60, 3190–3196. [Google Scholar] [CrossRef]
- Florovič, M.; Škriniarová, J.; Kováč, J.; Kordoš, P. Trapping Analysis of AlGaN/GaN Schottky Diodes via Current Transient Spectroscopy. Electronics 2016, 5, 20. [Google Scholar] [CrossRef]
- Polyakov, A.Y.; Smirnov, N.B.; Shchemerov, I.V.; Yang, J.; Ren, F.; Lo, C.-F.; Laboutin, O.; Johnson, J.W.; Pearton, S.J. Trapping Phenomena in InAlN/GaN High Electron Mobility Transistors. ECS J. Solid State Sci. Technol. 2018, 7, Q1–Q7. [Google Scholar] [CrossRef]
- Lorin, T.; Ghibaudo, G.; Gaillard, F.; Vandendaele, W.; Gwoziecki, R.; Baines, Y.; Biscarrat, J.; Jaud, M.-A.; Gillot, C.; Charles, M.; et al. On the Understanding of Cathode Related Trapping Effects in GaN-on-Si Schottky Diodes. IEEE J. Electron Devices Soc. 2018, 6, 956–964. [Google Scholar] [CrossRef]
- Raja, P.V.; Subramani, N.K.; Gaillard, F.; Bouslama, M.; Sommet, R.; Nallatamby, J.-C. Identification of Buffer and Surface Traps in Fe-Doped AlGaN/GaN HEMTs Using Y21 Frequency Dispersion Properties. Electronics 2021, 10, 3096. [Google Scholar] [CrossRef]
- Lyons, J.L.; Wickramaratne, D.; Van de Walle, C.G. A first-principles understanding of point defects and impurities in GaN. J. Appl. Phys. 2021, 129, 111101. [Google Scholar] [CrossRef]
- Reshchikov, M.A.; Usikov, A.; Helava, H.; Makarov, Y.; Prozheeva, V.; Makkonen, I.; Tuomisto, F.; Leach, J.H.; Udwary, K. Evaluation of the concentration of point defects in GaN. Sci. Rep. 2017, 7, 9297. [Google Scholar] [CrossRef]
- De Santi, C.; Buffolo, M.; Rossetto, I.; Bordignon, T.; Brusaterra, E.; Caria, A.; Chiocchetta, F.; Favero, D.; Fregolent, M.; Masin, F.; et al. Review on the degradation of GaN-based lateral power transistors. e-Prime 2021, 1, 100018. [Google Scholar] [CrossRef]
- Caesar, M.; Dammann, M.; Polyakov, V.; Waltereit, P.; Bronner, W.; Baeumler, M.; Quay, R.; Mikulla, M.; Ambacher, O. Generation of traps in AlGaN/GaN HEMTs during RF-and DC-stress test. In Proceedings of the 2012 IEEE International Reliability Physics Symposium (IRPS), Anaheim, CA, USA, 15–19 April 2012; pp. CD.6.1–CD.6.5. [Google Scholar] [CrossRef]
- Soh, C.B.; Chua, S.J.; Lim, H.F.; Chi, D.Z.; Liu, W.; Tripathy, S. Identification of deep levels in GaN associated with dislocations. J. Phys. Condens. Matter 2004, 16, 6305–6315. [Google Scholar] [CrossRef]
- Ferrandis, P.; Charles, M.; Gillot, C.; Escoffier, R.; Morvan, E.; Torres, A.; Reimbold, G. Effects of negative bias stress on trapping properties of AlGaN/GaN Schottky barrier diodes. Microelectron. Eng. 2017, 178, 158–163. [Google Scholar] [CrossRef]
- Fang, Z.-Q.; Look, D.C.; Wang, X.-L.; Han, J.; Khan, F.A.; Adesida, I. Plasma-etching-enhanced deep centers in n-GaN grown by metalorganic chemical-vapor deposition. Appl. Phys. Lett. 2003, 82, 1562–1564. [Google Scholar] [CrossRef]
- Fang, Z.-Q.; Hemsky, J.W.; Look, D.C.; Mack, M.P.; Molnar, R.J.; Via, G.D. Electron Irradiation Induced Trap In N-Type Gan. MRS Proc. 1997, 482, 881. [Google Scholar] [CrossRef]
- Yang, F.; Uren, M.J.; Gajda, M.; Dalcanale, S.; Karboyan, S.; Pomeroy, J.W.; Kuball, M. Suppression of charge trapping in ON-state operation of AlGaN/GaN HEMTs by Si-rich passivation. Semicond. Sci. Technol. 2021, 36, 95024. [Google Scholar] [CrossRef]
- Fang, Z.-Q.; Look, D.C.; Jasinski, J.; Benamara, M.; Liliental-Weber, Z.; Molnar, R.J. Evolution of deep centers in GaN grown by hydride vapor phase epitaxy. Appl. Phys. Lett. 2001, 78, 332–334. [Google Scholar] [CrossRef]
- Lyons, J.L.; Janotti, A.; Van de Walle, C.G. Effects of carbon on the electrical and optical properties of InN, GaN, and AlN. Phys. Rev. B 2014, 89, 035204. [Google Scholar] [CrossRef]
- Ryan, J.T.; Matsuda, A.; Campbell, J.P.; Cheung, K.P. Interface-state capture cross section—Why does it vary so much? Appl. Phys. Lett. 2015, 106, 163503. [Google Scholar] [CrossRef]






| Ea (eV) | σc (cm²) | Identification |
|---|---|---|
| 0.14–0.57 | - | ON [21,22] |
| 0.37–0.6 | 10−17 | Si [21,23,24] |
| 0.41–0.45 | 10−14 | VN-related defect [24,25,26] |
| 0.44–0.48 | - | Transport process [27] |
| 0.72–0.8 | - | Associated with TD [24,25,28] |
| 0.6–0.9 | 10−19 | C [6,29] |
Disclaimer/Publisher’s Note: The statements, opinions and data contained in all publications are solely those of the individual author(s) and contributor(s) and not of MDPI and/or the editor(s). MDPI and/or the editor(s) disclaim responsibility for any injury to people or property resulting from any ideas, methods, instructions or products referred to in the content. |
© 2023 by the authors. Licensee MDPI, Basel, Switzerland. This article is an open access article distributed under the terms and conditions of the Creative Commons Attribution (CC BY) license (https://creativecommons.org/licenses/by/4.0/).
Share and Cite
Doublet, M.; Defrance, N.; Okada, E.; Pace, L.; Duquesne, T.; Emilien, B.; Yvon, A.; Idir, N.; De Jaeger, J.-C. Investigation of Current Collapse Mechanism on AlGaN/GaN Power Diodes. Electronics 2023, 12, 2007. https://doi.org/10.3390/electronics12092007
Doublet M, Defrance N, Okada E, Pace L, Duquesne T, Emilien B, Yvon A, Idir N, De Jaeger J-C. Investigation of Current Collapse Mechanism on AlGaN/GaN Power Diodes. Electronics. 2023; 12(9):2007. https://doi.org/10.3390/electronics12092007
Chicago/Turabian StyleDoublet, Martin, Nicolas Defrance, Etienne Okada, Loris Pace, Thierry Duquesne, Bouyssou Emilien, Arnaud Yvon, Nadir Idir, and Jean-Claude De Jaeger. 2023. "Investigation of Current Collapse Mechanism on AlGaN/GaN Power Diodes" Electronics 12, no. 9: 2007. https://doi.org/10.3390/electronics12092007
APA StyleDoublet, M., Defrance, N., Okada, E., Pace, L., Duquesne, T., Emilien, B., Yvon, A., Idir, N., & De Jaeger, J.-C. (2023). Investigation of Current Collapse Mechanism on AlGaN/GaN Power Diodes. Electronics, 12(9), 2007. https://doi.org/10.3390/electronics12092007

