Abstract
Injection moulding process stability is a key issue in ensuring suitable quality of plastic parts. External factors such as processing equipment malfunctions, environmental variations, or tool misuse require qualified professionals to handle the issue or diagnosing systems to detect them at an early stage to avoid production in unsuitable processing conditions. The process control system was developed to provide a solution to these problems, whether by introducing automatic self-corrections to processing conditions or providing key performance indicators (KPI) for operation, maintenance, production, and quality control, with a local or remote interface. The system gathers processing and operating data from the mould and from the processing equipment to provide an overall process view. The data collected are obtained from several sensors located on the mould, placed at strategic locations, and real-time information is provided by the injection equipment or its peripherals. These data are processed in near real-time by the process control system and corrections for processing parameters, if required, are transferred to the injection equipment to be implemented in the subsequent injection cycles. Preliminary results from this case study proved that this solution provided suitable responses to the imposed processing variations, resulting in optimized plastic parts.
1. Introduction
The Industry 4.0 concept fully integrates information technology (IT) and operations technology (OT) to achieve a much stronger and more flexible manufacturing organization. Increased interoperability between manufacturing equipment and/or networks through increased connectivity, virtualization of manufacturing processes enabled by sensor data acquisition and post-processing, and a real-time ability to collect and analyse data provides process indicators for local and/or remote decision making, flexible adaptation to changes, or autonomous corrections by reconfiguring individual modules or equipment [1,2].
Thermoplastics injection plays an important role in the mass production of plastic components, providing access to a broad range of products for several industries, such as automotive, electronics, or medical, that otherwise would be too expensive for a high-demand market, affecting flexibility and productivity [3,4,5]. A plastic part’s final quality is highly dependent on the moulding conditions, since material behaviour and process variables such as mould and melt temperature and/or cavity pressure play an important role. Other external factors, including the plastic engineer’s skill and experience as well as environmental conditions may also be relevant when setting up a new process, requiring an excellent knowledge of the process or, on the other hand, endless trial-and-error iterations to achieve suitable processing parameters [6,7]. The control of internal cavity pressure has proven to be one of the most efficient methods for obtaining high-quality products with a high level of repeatability, including part weight, surface quality, dimensional stability, and the part’s overall mechanical performance [8]. The experimental approach carried out in this research was based on the interpretation of internal cavity pressure to determine the most suitable injection speed profile to impose on the following injection cycle [9,10,11]. This iterative model enables the system to self-correct its injection speed profile as well as to correct undesirable behaviours caused by equipment faults or unpredicted environmental variations. In addition, key performance indicators (KPI) can be obtained through a local or remote interface, enhancing operation, maintenance, production, and quality control within the injection moulding cell [12]. This work is structured into the following topics: first is the literature review, where previous injection moulding approaches for process control are presented and discussed. The case-study presentation follows, explaining the methodological approach in detail. Afterward, the conceptual framework is presented, focused on control of melt temperature and pressure loss inside the mould cavity by means of injection speed control. The experimental setup section shows the plastic part, material, and pressure sensor locations. Results are discussed by comparing the two sets of retrieved data and measurable variables such as part weight, dimensions, and visible surface defects. Finally, our conclusions discuss and highlight the impact of this approach in terms of productivity, material savings, and energy usage.
2. Literature Review
The increase in global competitiveness and need for production cost reduction requires companies to increase their flexibility in manufacturing and management processes. In order to achieve this, new technologies can be introduced or innovations in traditional manufacturing processes may be implemented in a smart factory [13]. The essential elements for building a smart factory are interoperability, virtualization, decentralization, real-time capability, service orientation, and modularity. This current trend is leading to the establishment of communication channels for the continuous exchange of information about needs and individual situations in real time. Machines are streaming data via wireless communication and sending them to a smart service to be utilized. The purpose of such automation is to increase value in the production chain for both companies and customers, providing performance indicators [14].
In injection moulding, the transfer characteristics of conventional machine controls to the process variables can vary due to external influences, resulting in fluctuating part quality. To increase process reproducibility, a self-correction injection moulding process should compensate process variations as they occur. Fluctuations in ambient temperature or varying material properties are systematic disturbances that can seriously affect product quality. Another disturbance may come from the heat balance of the injection mould. Therefore, an autonomous parameter adaption has to compensate for these fluctuations during the injection and holding pressure phases [15].
Energy management can now be fully integrated with IoT technology to provide monitoring for real-time energy consumption while providing an awareness of energy performance. With the support of IoT technology, i.e., energy sensors, energy consumption data can be collected in real time at different levels, such as machine, production line, or facility levels [16]. To achieve more environmentally friendly production, technology and/or processes can be optimized. While the technological option mainly aims to reduce the average demand for energy or material, the production approach usually focuses on reducing process time [17].
One of the key issues for a fully interconnected smart factory and the main obstacle for open connectivity among industrial equipment is the existence of production machines with little or no connectivity at all, despite their full production capacity. From an economic point of view, the replacement of such equipment may represent a significant investment when compared to the equipment’s connectivity retrofitting. The method for developing a retrofitting solution covers (a) situation analysis, (b) definition of the monitoring strategy, (c) data processing, and (d) implementation of a CPS. The situation analysis includes the definition of the list of requirements. It should be easy to install as well as cost-effective [18].
The transformation of production systems into cyber–physical systems focused on production requires concepts and solutions for the integration of these systems. Such integration implies mechanisms and monitoring for detection and connection to these systems as well as for accessing and distributing data through command interfaces. Low-level data have to be transformed into useful information and smart services need to be integrated to support decision-making [12,19].
Historically, it may also be relevant to highlight some reference milestones related to injection equipment connectivity. The Euromap 15 protocol was the first one related to data retrieval from an injection machine. It was issued in 1992, focused on the communication protocol between injection moulding machines and a central computer [20]. In 2000, the Euromap 63 protocol predicted a data exchange protocol to provide a centralized setup and monitoring of various plastics-processing equipment from a centralized computer system [21]. In 2017, the release candidate protocols for Euromap 77 and Euromap 83 were published, containing a detailed description of OPC UA interfaces for plastics and rubber, including extensive process parameters and connection to manufacturing execution systems [22,23].
3. Case Study—Refurbishment of an Injection Moulding Machine
This refurbishment considers the interconnectivity developed between all the physical assets present at the injection moulding cell, such as the injection machine, the temperature controller for the hot runner system, the quality control station, and the palletizing station.
Injection Moulding Machine
The injection moulding equipment used was a Sandretto Serie Otto (Sandretto, Italy), with a clamping force of 440 metric tons, a ø90 mm plasticizing screw, and a maximum flow rate of 621 cm3/s, shown in Figure 1. Considering the injection equipment’s age (built and assembled in 1998), its connectivity capacity is limited to data retrieval from the equipment’s control unit, or alternatively, directly from measurement instrumentation such as the screw position transducer. Taking into account the Euromap protocols reported in the literature review, this equipment required additional data conditioning to comply with the communication requirements.
Figure 1.
Sandretto Serie Otto 440 injection machine (courtesy of Sandretto Industrie S.r.l., Turin, Italy).
4. Conceptual Approach
Prior research introduced a new process methodology based on the PVT (pressure, volume, and temperature) behaviour of polymers for injection moulding. These studies proved that an injection moulding control based on the PVT behaviour of the polymer, where injection pressure and packing pressure play an important role, achieved high process reproducibility [8]. Other studies also performed systematic research on and analysis of the influence of processing parameters, singling out packing pressure as one of the most relevant parameters concerning final part quality in terms of warpage and shrinkage of the plastic part [24,25].
The conceptual approach of this research is focused on control of melt temperature and pressure loss inside the mould cavity by means of injection speed control. An increase in injection speed causes greater pressure drops and more significant viscous heating effects, leading to melt temperature increase. On the other hand, a decrease in injection speed enables less pressure loss and greater heat losses in the melt [26,27].
4.1. Process Control System
The process control system (PCS) developed for this research consists of a cyber–physical system that fully integrates the extant assets on the injection moulding cell and generates and manages the processing data retrieved from mould sensors, injection equipment, and other peripheral equipment, specially focused on the optimisation of the injection moulding process. The interaction of all the assets on the injection moulding cell is ensured by a communication layer, which constitutes the management interface, applied to the injection machine. The management interface is minimal, and only requires access to the injection parameter page and the establishment of a suitable communication protocol.
The PCS was designed so that it could be applied to any generic injection moulding cell, fully equipped with quality control, part handling, and palletizing, interacting with the injection moulding machine or any of its peripherals. This administration shell was intended to provide a digital representation of all information available from the injection machine, the mould, and all the peripherals, such as the Cartesian robot’s actual position and motion speed and the temperature control system (mould cooling and/or hot runner control) [28]. The system setup contains the mould equipped with pressure and/or temperature sensors suitable to control the filling of the cavities as well as other types of sensors on the injection machine and/or peripherals to enable a full monitoring of the mould’s performance and the overall efficiency of the production process (Figure 2).
Figure 2.
Components of the injection moulding cell.
The principle of interoperability is applied inside the injection moulding cell, enabling assets to obtain feedback from other assets within the injection moulding cell. The administration shell provides the report of all data collected as well as remote monitoring or parameter editing, also ensuring interoperability with other shop floor systems in real time. Reconfiguration of the injection moulding cell is a basic shop floor requirement, since a plastic part’s typology and/or complexity may present different challenges to successful production. Therefore, this injection moulding cell is flexible, and it can be rapidly reconfigured to comply with future product changes. Virtualization of the injection moulding cell is achieved via real-time data retrieval of the screw position and data retrieved from the sensors, enabling the creation of a virtual duplicate and enabling a remote user with the proper permissions to perform production simulations based on prior and current processing and production data.
Injection process decisions are made by an algorithm that corrects the injection speed profile based on a comparison between the retrieved pressure drop data and a reference pressure drop profile. This algorithm is designed to provide autonomous self-corrections in an ongoing production process, self-tuning its adjustments according to process stability criteria. However, if a serious process deviation occurs and the algorithm is not able to correct within a previously defined number of iterations, the algorithm enters into security mode to protect the equipment. Production process decisions are performed by the main PCS algorithm, which retrieves data from the injection process to determine part quality and from user inputs to establish the number of cycles required to achieve production goals. Production monitoring or asset performance diagnostics are provided as services, allowing both local and remote users to access the virtual duplicate of the injection cell available online. An example for such capacity would be that, provided with the right access permissions, a client could log onto the digital representation of the injection moulding cell and remotely follow production as well as access other relevant data, such as cycle time, scrap rate, or metrology reports.
4.2. Post-Processing Unit
The basic principle of the post-processing unit (PPU) concerning process optimization is pressure drop control, using at least two pressure sensors located on the moulding cavity. A pressure drop profile can be obtained from experimental iterations or from numerical simulation. This profile can then be used as a reference for the system, so that the algorithm acts to keep the pressure drop within tolerances cycle after cycle. Any further optimization to the process can be performed directly on the reference pressure drop profile, enabling the PPU to read every variation in process variables and act accordingly. The PPU interacts directly with the injection equipment control unit and collects relevant data from the injection equipment such as real-time positioning of the injection screw, injection cylinder temperatures, events, and other relevant information. The PPU’s primary interaction with the injection equipment consists of retrieving the position of the screw in real time in order to adjust injection speed accordingly in each injection segment. The injection equipment dosage length for a particular part or moulding is divided into segments, providing a more accurate control of injection speed for critical areas of the part. The PPU setup with the same number of segments and screw positions for each segment is synchronized with the machine injection unit. This procedure allows the algorithm to recalculate the injection speed profile cycle after cycle, adjusting injection speed for each segment where the pressure drop requires correction. The PPU was implemented using an industrial PC with the necessary interfaces to connect to the injection machine and control it. A specific module was added to allow communication with the DAU. The PPU firmware implemented the aforementioned functionalities and operations.
4.3. Data Acquisition Unit
The data acquisition unit (DAU) is physically attached to the mould. It gathers all the data from the sensors installed on the mould (temperature and pressure) and relays that data to the post-processing unit enclosed in the administration shell via wireless communication (using ZigBee). The DAU also includes a solid-state memory unit that carries the mould ID as well as other relevant data, such as the last successful processing parameters. The unidirectional communication between the DAU and the PPU is established through a radio frequency link using ZigBee to reduce cable connections and speed up the installation process. It has a short range, which will help reduce potential conflicts between devices in the factory. Given the extreme variation of injection cycle times, higher signal transfer rates are required for cases of thin-walled parts with short cycle times (below 1 s), which are not fully compatible with a common wireless network. In such cases, it is possible to have a cable connection through an RS-243 or RS-422 port with a higher bit rate. The communication between the DAU and the PPU, as noted, is ensured by a radio link with a bit rate of 100 Hz. The DAU power supply is cabled but it can operate on battery (Li-ion) power for periods up to 48 h. In some cases, the battery is enough to ensure data retrieval for small production batches and helps to reduce the installation setup. To ensure the correct time for data acquisition during the process, an RTOS was used to ensure correct control and timing of the firmware when performing data acquisition by the sensors and processing and transmission of information to the PPU during an injection cycle. The DAU also provides internal data storage with the relevant information regarding the parameters of the mould. The recognition of the DAU by the PPU is enabled by an RFID tag. When a new mould, equipped with a DAU, is assembled on the injection moulding cell for production, the first connection step consists of its recognition, pairing retrieval of the mould ID, and retrieval of all available data on the DAU’s memory unit, if required.
4.4. Remote Communication
The PCS was designed to enable remote monitoring/control, enabling a production supervisor to oversee or change production orders and/or to create new ones through a LAN/WAN network. Thus, the PPU is also accessible to enable a human–machine interface, establishing a bidirectional communication channel with a local or a remote user on a web-based platform protected by a security level to prevent any unauthorized setup changes (Figure 3). When the system is integrated on a shop floor machine, the PCS can control an entire fleet of injection machines, and therefore an additional security level is provided by the company firewall.
Figure 3.
Local or remote services management through a web-based platform.
5. Experimental Setup
5.1. Plastic Part, Material, and Sensor Locations
The object for this study was a plastic part to be used in a household environment—a 1.5 L jar—injected in a general-purpose polystyrene crystal, Styrolution 165 N from INEOS Compounds (Sins, Switzerland). The main body of the part has a basic, slightly conical shape, 104.73 mm at the bottom, 122.02 mm at the top, and 200.10 mm in height. The typical thickness of the body was 1.50 mm and the handle followed the same typical thickness, as shown in the cross-section depicted in Figure 4.
Figure 4.
2D views of the case study part.
For this case study, the pressure sensors were placed on strategic locations to enable a stabilized material flow during the injection cycle. An additional challenge was to select suitable locations for the sensors without compromising the part aesthetics. The pressure sensor’s probing tip cannot be machined according to the cavity’s curved surface where they are located. In the particular case of the jar, the upstream sensor (P1) was located on the base of the jar and the downstream sensor (P2) was located on the base of the jar’s handle, as shown in Figure 5. The third sensor location, at the tip of the handle, was left available for another type of sensor, such as a temperature sensor that would be suitable to detect the melt front presence at the end of filling.
Figure 5.
Possible locations of the sensors on the part.
The locations of the two pressure sensors used anticipated the predictable pressure drops suffered by the plastic material on (a) the transition from the bottom face to the conical face and (b) after filling the main body when the material must fill the handle.
5.2. Injection Mould
The mould was a single-cavity two-plate mould equipped with a stripper plate. Given the part aesthetics and transparency, no ejector pin markings were admissible on the part. Injection was performed by a single hot-runner nozzle, operating at the same temperature as the machine nozzle. Two pressure sensors from Priamus AG, model 6002B (Priamus System Technologies, Neuhausen am Rheinfall, Switzerland) were used on the mould cavity, with a pressure range of 2000 bar and ±2 pC sensitivity. Both sensors were connected to Priamus charge amplifiers, model 5060D. The mould was equipped with a DAU, in this particular case to collect the signals from the pressure sensors located on the mould cavity and to relay that information to the PPU. The PPU was physically wired both to the screw position transducer and to the screw actuator to provide feedback, as shown in Figure 6.
Figure 6.
Experimental setup.
The screw position transducer relays the real-time position of the injection screw and enables correlation with the cavity pressure values retrieved by the DAU. The PPU handles all the data related to the information gathered and processed by the algorithm. This unit calculates the pressure drop in each segment and compares it with the reference curve. If anomalies are detected, corrections can be calculated by the algorithm. These corrections are registered with the new set of injection parameters for the next injection cycle to be transmitted by the PPU to the screw actuator. The algorithm is also responsible for the determination of optimal processing conditions. Information about the plastic material used is also introduced to prevent excessive injection speed. It is therefore possible to avoid material degradation due to excessive shear rate. Shear rate and shear stress of the melt are calculated for each injection cycle, based on a sample flow cross-section of 10:1. Considering the sample cross-section used, the apparent shear rate equation for slit flow is used. The melt flow rate (Q) is calculated in each cycle, based on the sample flow cross-section and average melt speed between the two pressure sensors. In this case, the slit’s height (h) will be the typical part thickness, which is 1.5 mm, and the slit’s width (w) used for shear rate calculations will be 15 mm (10× part thickness). The apparent shear rate is calculated on each cycle, and it is used to compare with the maximum shear rate value previously introduced to the PPU’s algorithm (Equation (1)).
5.3. Experimental Procedure
The injection trials conducted on the setup were initiated using an injection speed profile originated from numerical simulations that provided suitable responses to the local pressure drops caused by material flow at specific locations, such as the base of the part and the jar’s handle. The software used was Moldex3D R14.0 (CoreTech System Co, Zhubei City, Taiwan) and conventional processing conditions included V/P switchover based on the filling percentage of the mould cavity. As shown in Figure 7, injection simulation was set up with a V/P switchover at 98% filling, causing the tip of the handle to not be filled in the injection phase.
Figure 7.
Numerical results for injection time at the end of the filling phase.
The simulation results provided initial processing parameters for a conventional injection process. However, to enable the PPU’s algorithm to operate, the processing parameters managed by it were set to their maximum to allow these values to be managed in self-operation mode. Table 1 summarizes the conventional processing parameters and the processing parameters managed by the PPU.
Table 1.
Processing parameters.
The PPU’s algorithm was set up with the dosage length divided into 10 segments. Each segment length was adjusted considering the melt required to fill the sprue as well as the filling of the cavity. The screw positions defined and the relative injection speed imposed for each dosage segment are represented in Figure 8.
Figure 8.
Representation of the relative injection speed for each dosage segment.
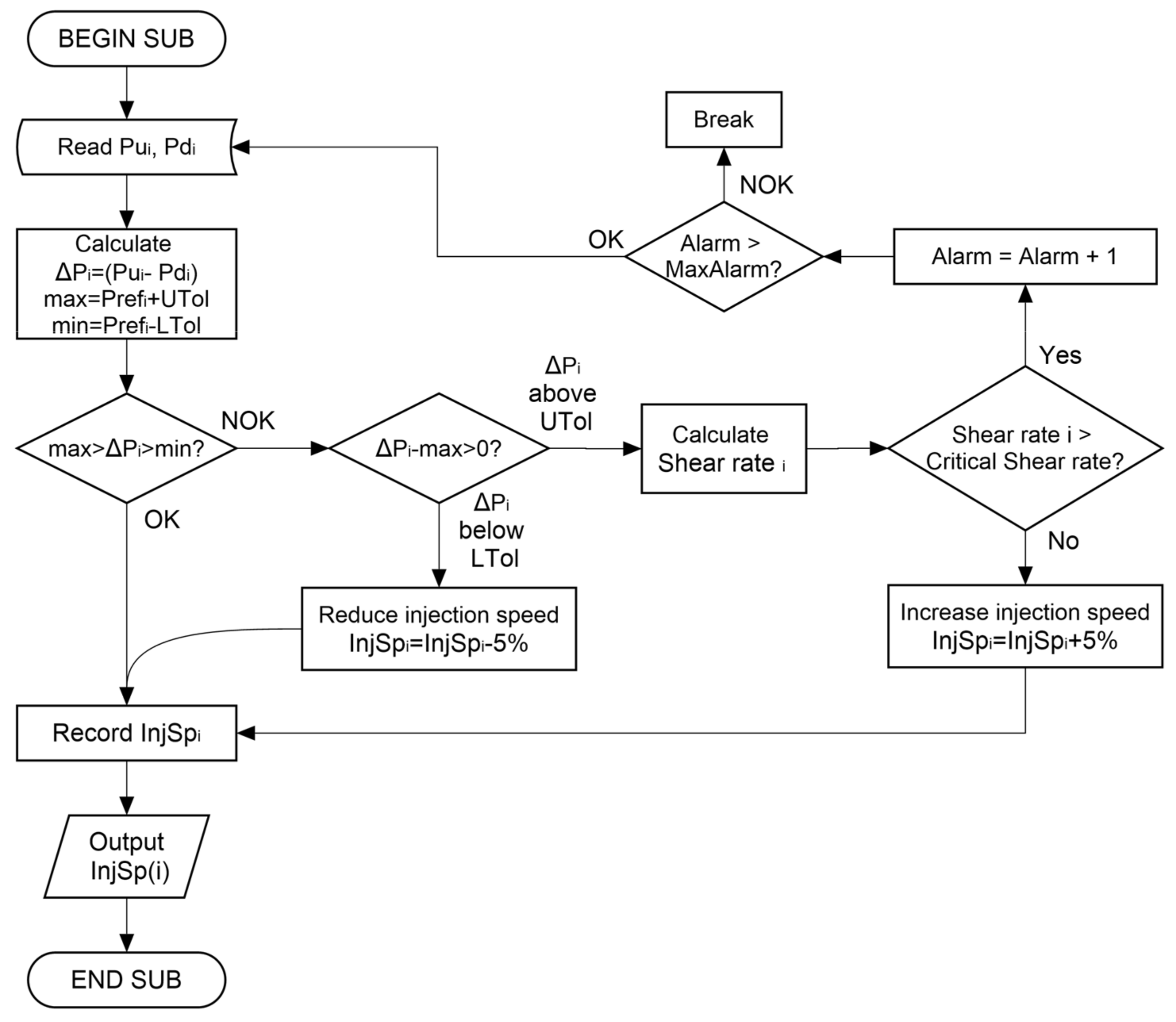
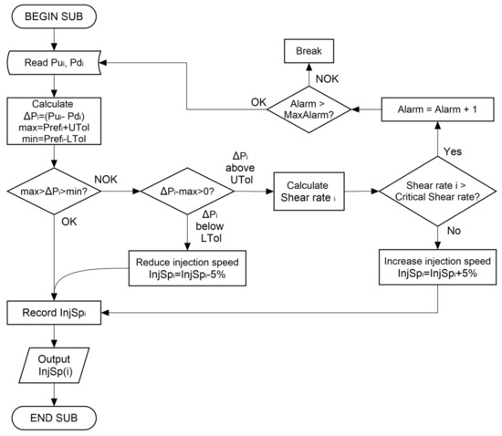
Figure 9 illustrates the main control algorithm related to the retrieval of the screw position and the actions to be performed on each pre-established position, taking into account anomaly detection and recording the adjusted parameters to be used on the next injection cycle.
Figure 9.
Main PPU algorithm.
The correction subroutine manages all the retrieved information and performs the changes required to comply with the reference pressure drop profile. In each screw position described in the machine setup, the PPU retrieves pressure signals from the upstream sensor (Pu) and downstream sensor (Pd) to calculate the pressure drop (ΔPi). Maximum and minimum pressure drop values are calculated, bearing in mind the upper and lower tolerances allowed. ΔPi is then evaluated to determine if it is within tolerance. If it is above tolerance, the injection speed is reduced on this dosage segment for the next cycle. If it is below tolerance, the PPU performs shear rate validation to prevent material degradation due to excessive melt speed. Injection speed is increased only if the calculated shear rate value is below the critical shear rate previously introduced into the system. The PPU allows a user-defined number of excessive shear rate occurrences before initiating a security program break. Each iteration of excessive shear rate causes an internal system alarm and records the event. However, the algorithm is still allowed to run, enabling a possible return of pressure drop values within tolerances. For each iteration, the internal alarm counter is increased until the maximum number of alarm situations is achieved, which causes an external alarm on the PCS, requiring human intervention. The behaviour of the correction subroutine is described in Figure 10.
Figure 10.
PPU correction subroutine.
6. Results and Discussion
PCS evaluation was performed (a) by injection experiments to test the PPU’s algorithm response and eventual energy savings due to optimized processing parameters and (b) assessment of the overall quality of the plastic parts produced under the processing conditions generated by the PPU, consisting of part defect analysis and dimensional analysis of the part’s key features.
6.1. Injection Trials
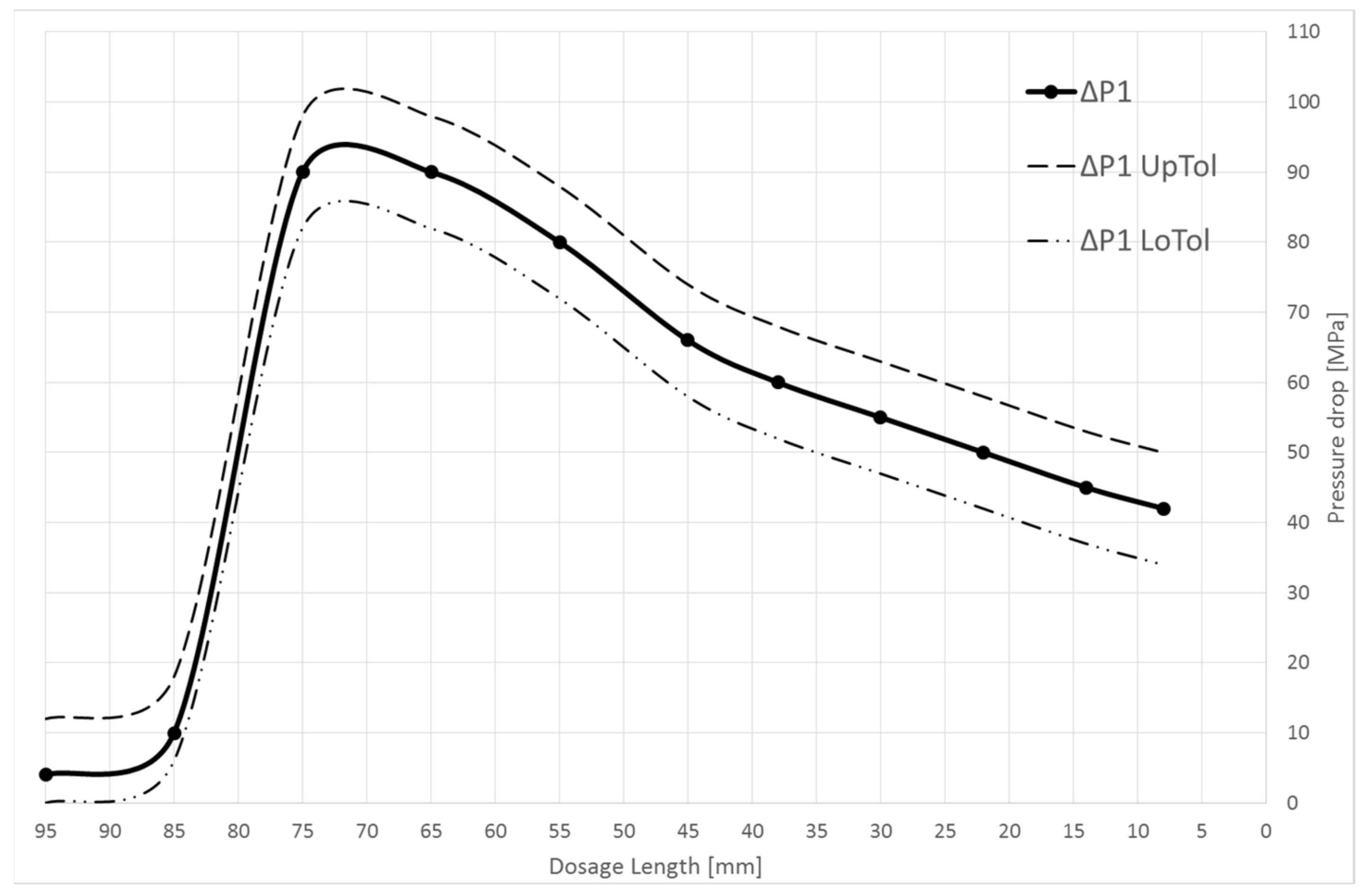
The procedure was initiated by entering the screw positions related to the dosage segments. The pressure drop profile was also introduced to enable real-time comparison to the pressure values retrieved from the DAU and processed on the PPU. The maximum dosage length was 95 mm, therefore the pressure drop profile is represented in reverse order (injection machine operator point of view) from the initial screw position through to the V/P switchover position. The cushion dosage length was 8 mm. Figure 11 shows the initial pressure drop profile imposed, including upper and lower tolerances to enable the algorithm to determine the dosage segment in which corrections are required.
Figure 11.
Initial internal pressure drop profile imposed.
From the initial internal pressure drop profile 1, the PPU’s algorithm provided the required corrections. Figure 12a depicts four consecutive injection cycles in which the algorithm performed recalculations for dosage segments 2 to 10. The smooth filling of the sprue was enabled by the first two segments of every cycle, followed by a sudden increase in injection speed to fill the base and main body of the part (dosage segments 3 to 8). The injection speed on the last two segments was kept high to fill the handle and also to pursue the intent of partially packing the part right at the end of the injection phase. This would reduce packing requirements, both in terms of packing time and the amount of pressure required afterward. It is also noticeable that this intention caused the algorithm to push injection speed on the eighth segment to its maximum, which will require a different approach to the pressure drop profile concerning energy efficiency. The pressure obtained on sensors P1 and P2 located on the cavity provide the pressure drop calculation. Figure 12b illustrates the resultant pressure curves obtained by each sensor, based on the injection speed profiles depicted in Figure 12a.

Figure 12.
Set 1 of injection speed profiles (a) and pressure curves obtained by P1 and P2 (b).
It is noticeable that the peak pressure of P1 is slightly reduced from cycle to cycle, although without significant changes to the pressure curve profiles. The two intermediate peaks when pressure rose are also visible on the P1 pressure curve, corresponding to the moments when the melt moved from the base of the part to the part’s vertical wall and when it reached the upper edge of the vertical wall. The peak pressure of P1 relates to the end of filling, which occurred when the melt reached the tip of the jar’s handle. The P2 sensor contains only one intermediate peak, corresponding to the moment when the melt reached the upper edge of the vertical wall. The peak pressure on P2 did not suffer any significant variation from cycle to cycle. Despite the significant increase in injection speed on the third, fourth, fifth, sixth, and seventh dosage segments (Figure 12a), there were no significant changes in melt speed inside the cavity. Some reduction of the time delay between melt touch on both sensors can be calculated to determine if this melt speed increase could influence melt flow properties.
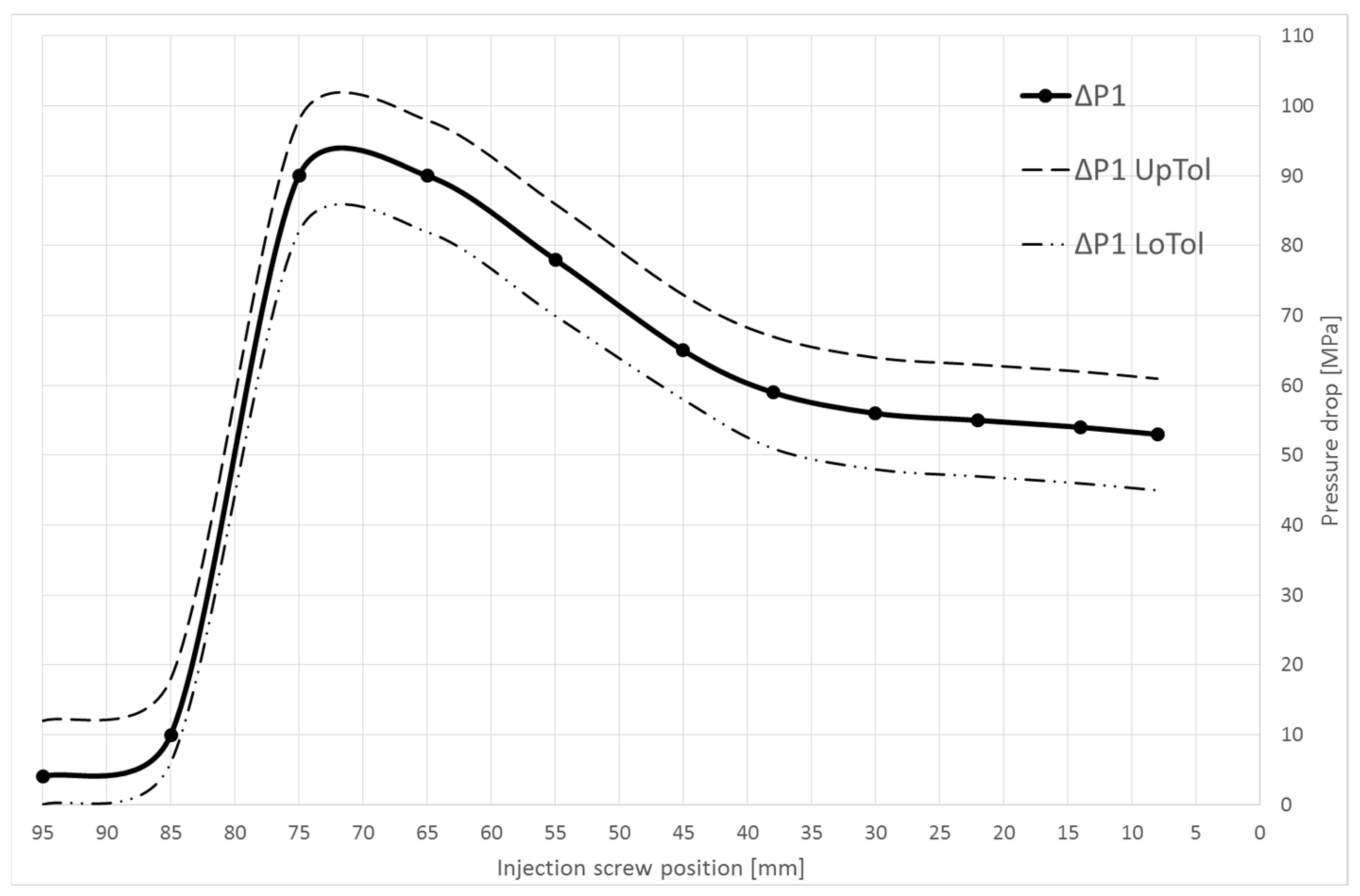
The goal of reducing packing pressure and packing time resulted in an undesirable increase in injection speed. In fact, some dosage segments reached the maximum injection speed without achieving significant results in part quality or injection process optimization. Furthermore, such increase correlates directly with energy costs. Since the original pressure drop curve caused the algorithm to behave in this manner, a second pressure drop profile was imposed. This profile suffered slight changes since it required higher pressure drop values for dosage segments 5 to 10. The intent was to keep the melt flow conditions for filling the part and ensuring enough pressure on the final dosage segments to reduce packing pressure requirements. Figure 13 shows the new reference curve imposed on internal pressure drop profile 2.
Figure 13.
Second internal pressure drop profile.
In regard to the new injection speed profiles illustrated in Figure 14a, it is noticeable that a significant increase occurred at dosage segments 3 and 4, related to the initial filling of the base of the part. Dosage segments 5 and 6 experienced an injection speed decrease, revealing a stabilization of melt flow. Finally, the remaining dosage segments show a gradual growth in injection speed to respond to the pressure drop stabilization imposed on the last dosage segments in pressure drop profile 2. Analysis of the injection profiles on consecutive injection cycles shows a slight decrease in injection speed demands, enabling the perception of a possible reduction in energy consumption. The analysis of the resultant pressure profiles shows that the PPU’s algorithm was forcing melt flow to be highly pressured at the end of filling. The average melt speed increased from cycle to cycle due to the reduction of elapsed time between Sensor P1 and Sensor P2. The resultant pressure curves were now based on the injection speed profiles previously depicted on Figure 14a. The pressure obtained from the sensors located on the cavity are illustrated on Figure 14b.

Figure 14.
Set 2 of injection speed profiles (a) and pressure curves obtained by P1 and P2 (b).
The pressure profiles of Sensor P1 depicted in Figure 14a show only two pressure peaks. Pressure related to the melt transition from the main part’s body to the handle now shows some variations, indicating the occurrence of a hesitation effect when the melt filled the handle. The higher peak pressure occurred, as before, when the melt reached the tip of the handle. The P1 profile after the highest pressure peak shows, for every injection cycle depicted in this sequence, an increase in the time in which the pressure effect was present as well as a slight pressure growth. The overall decrease in injection speed also correlates with a longer injection phase, although with a significant impact on packing requirements.
6.2. Evaluation of the Part’s Overall Quality
Evaluation of the impact of the PPU’s algorithm on the quality of the plastic parts produced was performed, considering both part defects and deviations from nominal part features, such as weight, diameters, and height. Two collections of eight sample parts produced with imposed internal pressure drop profile 1 and pressure drop profile 2 were gathered for quality analysis. In regard to part defects, it was expected that several effects would occur related to the variations in melt speed. Flow marks or surface scratch marks may appear under these processing conditions. On the other hand, sink marks are another type of defect resulting from inefficient packing conditions or part thickness variations too demanding to be corrected in the packing phase. Figure 15 shows the part defects detected on the parts produced with pressure drop profile 1 and pressure drop profile 2. The improvement in part defects is quite noticeable, since a significant reduction in occurrences can be noticed for the overall number of defects. Several part defects are noticeable on the 1st set, corresponding to pressure drop profile 1. Flow marks and sink marks were the most significant defects, with 31 occurrences each. The analysis of the defects on the 2nd set, corresponding to pressure drop profile 2, shows the minimization of occurrences and even the elimination of gloss differences and scratch marks on the inner surface of the part. Dimensional analysis of the plastic parts was carried out for both sample collections. Part weight was predicted using the part’s 3D model and material density and evaluated on a high-precision Mettler Toledo AG204 scale. Dimensional analysis was performed on a DEA Swift CMM machine, equipped with a Renishaw PH10M touch probe. The deviations from predicted weight and nominal dimensions are shown in Figure 16.
Figure 15.
Plastic part defect evaluation.
Figure 16.
Plastic part metrology analysis.
Once again, an improvement is noticeable for the 2nd set (pressure drop profile 2). Dimensional deviations were lower, enabled by the intention of keeping the pressure drop higher on the final dosage segments to emulate the effect of packing pressure. The main effect is related to part weight, noting that more packing is required to achieve the predicted part weight. However, concerning operational costs, it is possible to foresee advantages from an energy point of view.
7. Conclusions
The final quality of the plastic component was greatly influenced by the moulding conditions, since material behaviour and process variables such as mould and melt temperature and/or cavity pressure are crucial. When setting up a new process, other external factors, such as the plastic engineer’s knowledge and experience as well as environmental conditions, may also be relevant, requiring either a thorough understanding of the process or, on the other hand, endless trial-and-error iterations to achieve suitable processing parameters. Regarding component weight, surface quality, dimensional stability, and overall mechanical performance of the part, controlling the internal cavity pressure proved to be one of the most effective ways to produce high-quality products with a high level of repeatability.
The goal attained with this work shows that it is possible to obtain an initial set of processing parameters from a numerical simulation of the injection moulding process that can be introduced directly onto the system. At this point, the algorithm provides the required actions concerning injection speed and/or temperature change for the injection machine actuators without any human intervention. When the system steps outside optimal processing conditions, the system is designed to be resilient, and it will autonomously perform attempts to recover to its normal operation mode. Human intervention is only required in extreme situations from which the system cannot recover. It is important to note that in all stress tests performed, the system could recover from abnormal to optimal processing conditions.
The PCS complies with the characteristics of an object within a smart production system. It possesses interoperability with other systems on the network environment. The concept was achieved here with the integration of signal acquisition from the mould, injection machine, and peripherals, enabling an overview of process monitoring but also autonomous corrections by the system, or even remote changes to process and operation variables. Virtualization was achieved through the remote process control, where a remote user is provided with all the required information to understand the ongoing process and to interact with it if necessary. The system is autonomous in terms of self-correction to process parameters and self-tuned adjustments within certain pre-imposed limits. Such capacity is based on the real-time ability to retrieve and analyse real-time data from the injection machine, mould tool, and peripheral equipment. The PCS user security level provides a stratified service, enabling customer monitoring of the ongoing order or to enable remote assistance by a certified technician.
The PCS is flexible and adaptable to other injection moulding cells or other moulds for plastic parts, although requiring a pressure sensor setup on the mould. In this case study, two pressure sensors were used, enabling calculation of the pressure drop between the upstream and downstream pressure sensors. However, it is important to highlight that it might not always be possible to install two pressure sensors on the mould cavity. For contact sensors, part aesthetics or demoulding features may cause difficulties in sensor assembly, possibly limiting its use.
One critical issue for injection moulding companies is having full control of their shop floor equipment, and therefore full monitoring of the injection moulding process. However, these companies may have injection equipment with little or no connectivity at all, regardless of their productive capacity. From an economic point of view, the replacement of such equipment may represent a significant investment when compared to the equipment’s connectivity retrofitting. The PCS developed here provides the means to convert non-connected equipment into a shop floor asset, fully integrated with the injection moulding cell as well as with the shop floor. Therefore, the PCS provides suitable means for an integrated process optimization.
In terms of process optimization, the system enabled a reduction in packing pressure and packing time without significant effects on the part’s overall quality. In fact, depending on the part geometry, it is possible to expect that the packing phase of the injection process could be seriously reduced, both in terms of pressure amount and packing time within the injection process cycle. The results show that the imposed pressure drop forces the PPU to optimize the injection profile in such a way that packing of the part is already partly achieved during cavity filling, without compromising the fulfilment of the cavity itself. It is also notable that good-quality parts can be obtained with lower injection speeds in the final dosage segments, leading to a lower energy consumption.
Author Contributions
Methodology, J.M. and P.C.; Software, P.C.; Validation, P.O.; Investigation, J.C.V., P.O. and P.C.; Resources, J.M.; Writing—original draft, J.C.V.; Writing—review & editing, P.C.; Supervision, P.O.; Project administration, J.C.V.; Funding acquisition, J.M. All authors have read and agreed to the published version of the manuscript.
Funding
This research was funded by COMPETE/QREN, under grant number FCOMP-01-0202-FEDER-018415.
Data Availability Statement
Not applicable.
Conflicts of Interest
The authors declare no conflict of interest.
References
- Deloitte Industry 4.0. Challenges and Solutions for the Digital Transformation and Use of Exponential Technologies. 2015. Available online: https://www2.deloitte.com/content/dam/Deloitte/ch/Documents/manufacturing/ch-en-manufacturing-industry-4-0-24102014.pdf (accessed on 1 November 2022).
- Sniderman, B.; Monika, M.; Cotteleer, M.J. Industry 4.0 and Manufacturing Ecosystems; Deloitte University Press: New York, NY, USA, 2016; pp. 1–23. [Google Scholar]
- Akbarzadeh, A.; Sadeghi, M. Parameter Study in Plastic Injection Molding Process using Statistical Methods and IWO Algorithm. Int. J. Model. Optim. 2011, 1, 141–145. [Google Scholar] [CrossRef]
- Bozdana, A.T.; Eyercioğlu, Ö. Development of an expert system for the determination of injection moulding parameters of thermoplastic materials: EX-PIMM. J. Mater. Process. Technol. 2002, 128, 113–122. [Google Scholar] [CrossRef]
- Hassan, H.; Regnier, N.; George, J.; Defaye, G.; Arquis, E.; Trefle-bordeaux-umr, L.; Enscpb, S.; Berland, P. A Proposed Technique to Improve the Filling of the Mold Cavity by Polymer During Injection Molding. Polym. Eng. Sci. 2011, 51, 1155–1164. [Google Scholar] [CrossRef]
- Dang, X.-P. General frameworks for optimization of plastic injection molding process parameters. Simul. Model. Pract. Theory 2014, 41, 15–27. [Google Scholar] [CrossRef]
- Vagelatos, G.A.; Rigatos, G.G.; Tzafestas, S.G. Incremental fuzzy supervisory controller design for optimizing the injection molding process. Expert Syst. Appl. 2001, 20, 207–216. [Google Scholar] [CrossRef]
- Wang, J.; Mao, Q. Methodology Based on the PVT Behavior of Polymer for Injection Molding. Adv. Polym. Technol. 2012, 32, 474–485. [Google Scholar] [CrossRef]
- Chen, Z.; Turng, L.S. A review of current developments in process and quality control for injection molding. Adv. Polym. Technol. 2005, 24, 165–182. [Google Scholar] [CrossRef]
- Lucyshyn, T.; Kipperer, M.; Kukla, C.; Langecker, G.R.; Holzer, C. A physical model for a quality control concept in injection molding. J. Appl. Polym. Sci. 2011, 124, 4926–4934. [Google Scholar] [CrossRef]
- Street, G. An Intelligent System for Plastic Injection Molding Process Design. J. Mater. Process. Technol. 1997, 63, 458–462. [Google Scholar]
- Theorin, A.; Bengtsson, K.; Provost, J.; Lieder, M.; Johnsson, C.; Lundholm, T.; Lennartson, B. An event-driven manufacturing information system architecture for Industry 4.0. Int. J. Prod. Res. 2017, 55, 1297–1311. [Google Scholar] [CrossRef]
- Lee, H.; Ryu, K.; Cho, Y. A Framework of a Smart Injection Molding System Based on Real-time Data. Procedia Manuf. 2017, 11, 1004–1011. [Google Scholar] [CrossRef]
- Roblek, V.; Meško, M.; Krapež, A. A Complex View of Industry 4.0. SAGE Open 2016, 6, 2. [Google Scholar] [CrossRef]
- Klocke, F.; Abel, D.; Hopmann, C.; Auerbach, T.; Keitzel, G.; Reiter, M.; Ressmann, A.; Stemmler, S.; Veselovac, D. Approaches of Self-optimising Systems in Manufacturing. In Advances in Production Technology; Brecher, C., Ed.; Springer: Berlin/Heidelberg, Germany, 2015; ISBN 978-3-319-12303-5. [Google Scholar]
- Tan, Y.S.; Ng, Y.T.; Low, J.S.C. Internet-of-Things Enabled Real-time Monitoring of Energy Efficiency on Manufacturing Shop Floors. Procedia CIRP 2017, 61, 376–381. [Google Scholar] [CrossRef]
- Spiering, T.; Kohlitz, S.; Sundmaeker, H.; Herrmann, C. Energy efficiency benchmarking for injection moulding processes. Robot. Comput. Integr. Manuf. 2015, 36, 45–59. [Google Scholar] [CrossRef]
- Stock, T.; Seliger, G. Opportunities of Sustainable Manufacturing in Industry 4.0. Procedia CIRP 2016, 40, 536–541. [Google Scholar] [CrossRef]
- Schlechtendahl, J.; Keinert, M.; Kretschmer, F.; Lechler, A.; Verl, A. Making existing production systems Industry 4.0-ready: Holistic approach to the integration of existing production systems in Industry 4.0 environments. Prod. Eng. 2014, 9, 143–148. [Google Scholar] [CrossRef]
- European Plastics and Rubber Machinery EUROMAP 15 Protocol for Communication between Moulding Machines and a Central Computer. 1992. Available online: https://www.euromap.org/media/recommendations/15/1992/eu15p1.pdf (accessed on 1 November 2022).
- European Plastics and Rubber Machinery EUROMAP 63 Data Exchange Interface. 2000. Available online: https://www.euromap.org/media/recommendations/63/2000/eu63.pdf (accessed on 1 November 2022).
- European Plastics and Rubber Machinery EUROMAP 83 OPC UA Interfaces for Plastics and Rubber Machinery—General Type Definitions. 2018. Available online: https://www.euromap.org/euromap83 (accessed on 1 November 2022).
- European Plastics and Rubber Machinery EUROMAP 77 OPC UA Interfaces for Plastics and Rubber Machinery—Data exchange between Injection Moulding Machines and MES. 2018. Available online: https://www.euromap.org/euromap77 (accessed on 1 November 2022).
- Annicchiarico, D.; Alcock, J.R. Review of Factors that Affect Shrinkage of Molded Part in Injection Molding. Mater. Manuf. Process. 2014, 29, 662–682. [Google Scholar] [CrossRef]
- López, A.; Aisa, J.; Martinez, A.; Mercado, D. Injection moulding parameters influence on weight quality of complex parts by means of DOE application: Case study. Measurement 2016, 90, 349–356. [Google Scholar] [CrossRef]
- Straka, K.; Steinbichler, G.; Kastner, C. Giving pressure greater weight. Kunstst. Int. 2015, 105, 37–39. [Google Scholar]
- Theunissen, M.; Hopmann, C.; Heinisch, J. Compensating viscosity fluctuations in injection moulding. AIP Conf. Proc. 2017, 1914, 1–6. [Google Scholar] [CrossRef]
- Grangel-Gonzalez, I.; Halilaj, L.; Coskun, G.; Auer, S.; Collarana, D.; Hoffmeister, M. Towards a Semantic Administrative Shell for Industry 4.0 Components. In Proceedings of the 2016 IEEE Tenth International Conference on Semantic Computing (ICSC), Laguna Hills, CA, USA, 4–6 February 2016; pp. 230–237. [Google Scholar] [CrossRef]
Disclaimer/Publisher’s Note: The statements, opinions and data contained in all publications are solely those of the individual author(s) and contributor(s) and not of MDPI and/or the editor(s). MDPI and/or the editor(s) disclaim responsibility for any injury to people or property resulting from any ideas, methods, instructions or products referred to in the content. |
© 2023 by the authors. Licensee MDPI, Basel, Switzerland. This article is an open access article distributed under the terms and conditions of the Creative Commons Attribution (CC BY) license (https://creativecommons.org/licenses/by/4.0/).

















