Next Article in Journal
A New Event-Triggered Type-3 Fuzzy Control System for Multi-Agent Systems: Optimal Economic Efficient Approach for Actuator Activating
Previous Article in Journal
Factors Affecting Students’ Acceptance of Mobile Learning Application in Higher Education during COVID-19 Using ANN-SEM Modelling Technique
 
 
Font Type:
Arial Georgia Verdana
Font Size:
Aa Aa Aa
Line Spacing:
Column Width:
Background:
Article

Salp Swarm Optimization Algorithm for Estimating the Parameters of Photovoltaic Panels Based on the Three-Diode Model

by
Jhon Montano
1,
Andres Felipe Tobon Mejia
1,
Andrés Alfonso Rosales Muñoz
2,
Fabio Andrade
3,
Oscar D. Garzon Rivera
3,* and
José Mena Palomeque
4
1
Department of Electronics and Telecommunications, Instituto Tecnológico Metropolitano, Medellín 050028, Colombia
2
Grupo MATyER, Facultad de Ingeniería, Instituto Tecnológico Metropolitano, Campus Robledo, Medellín 050036, Colombia
3
Electrical and Computer Engineering Department, University of Puerto Rico at Mayaguez, Mayaguez, PR 00680, USA
4
Facultad de Ingeniería y Ciencias Agropecuarias, Institución Universitaria Digital de Antioquia, Medellín 050028, Colombia
*
Author to whom correspondence should be addressed.
Electronics 2021, 10(24), 3123; https://doi.org/10.3390/electronics10243123
Submission received: 16 October 2021 / Revised: 8 December 2021 / Accepted: 10 December 2021 / Published: 15 December 2021
(This article belongs to the Section Industrial Electronics)

Abstract

:
Due to the the lack of information about parameters in the datasheets of photovoltaic (PV) panels, it is difficult to study their modeling because PV behavior is based on voltage–current (V-I) data, which present a highly nonlinear relationship. To solve this difficulty, this study presents a mathematical three-diode model of a PV panel that includes multiple unknown parameters: photoinduced current, saturation currents of the three diodes, three ideality factors, serial resistance, and parallel resistance. These parameters should be estimated in the three-diode model of a PV panel to obtain the actual values that represent the voltage–current profile or the voltage–power profile (because of its visual simplicity) of the PV panel under analysis. In order to solve this problem, this paper proposes a new application of the salp swarm algorithm (SSA) to estimate the parameters of a three-diode model of a PV panel. Two test scenarios were implemented with two different PV panels, i.e., Kyocera K C 200 G T and Solarex M S X 60 , which generate different power levels and are widely used for commercial purposes. The results of the simulations were obtained using different irradiance levels. The proposed PV model was evaluated based on the experimental results of the PV modules analyzed in this paper. The efficiency of the optimization technique proposed here, i.e., SSA, was measured by a fair comparison between its numerical results and those of other optimization techniques tuned to obtain the best response in terms of the objective function.

1. Introduction

The global energy demand has reached 162.194 TWh according to studies conducted by Oxford in 2019 [1], and 79.7 % of this energy comes from fossil fuels [2]. Therefore, there is an excessive concentration of airborne particulate matter of a size lower than 2.5 μ m (in g of particles/m 3 of air, i.e., P M 2.5 ) in the atmosphere, which leads to higher human mortality and global disease rates [3,4,5]. To fight such excessive consumption of fossil-derived fuels, new alternatives have emerged to supply power, such as wind, hydro, tidal, geothermal, nuclear, and solar energy. These alternatives include more environmentally friendly processes known as renewable energies. One of them, used worldwide, is the transformation of solar energy into electric power by PV panels, which have recently become more popular because their main power source is the Sun. Therefore, they use infinite energy that does not damage the environment.
PV panels, which are commonly manufactured using monocrystalline and polycrystalline silicon, absorb light, elevate electrons to a higher energy state, and transport them to an external circuit composed of a large number of cells connected in series, thus producing a current and a voltage that influence a semiconductor material [6,7]. PV panels can be considered power sources that transform variable energy levels because the voltage and current they supply directly depend on the solar radiation (G) they receive and the ambient temperature (T) [8]. Furthermore, their PV behavior can be described using voltage–current (V-I) or voltage–power (V-P) profiles.
A PV panel can be represented by an equivalent electrical circuit that represents the electrical phenomena that occur when its semiconductor material is irradiated. Several models have been used in the specialized literature to represent PV panels: the single-diode model (SDM) [9], in whose mathematical representation five variables should be adjusted, the double-diode model (DDM) [10], in whose mathematical representation seven variables should be adjusted, and the three-diode model (TDM) [11], in whose mathematical representation nine variables should be adjusted. Among them, the SDM and DDM have been the most widely used in the specialized literature due to their simplicity; however, their accuracy levels can be affected when irradiation levels are low [12,13]. In this context, different solution methods can be adopted to determine the parameters that best fit each of the mathematical models of a PV panel, and analytical methods are some of the most common. Said methods require information provided in the manufacturer datasheet and a constraint regarding constant irradiance and temperature levels under standard test conditions (STCs) given by G = 1000  W/m 2 and T = 25 C, respectively [14,15,16,17,18]. Under STCs, it is difficult to apply analytical methods because they are not very effective when variations in the irradiance levels are implemented. That is, in different test scenarios, analytical methods are not accurate because they require the specific operating points in relation to the PV profile under analysis.
Another solution method is based on heuristic and metaheuristic optimization techniques, commonly known as optimization algorithms. These algorithms facilitate the solution of univariate or multivariate problems using iterative processes. Therefore, they are the most widely applied methods in the SDM and DDM to estimate the parameters of equivalent mathematical models of PV panels. Some of the algorithms most commonly used for this purpose include particle swarm optimization (PSO) [11], the genetic algorithm (GA) [19], pattern search (PS) [20], the bacterial foraging algorithm (BFA) [21], artificial bee swarm optimization (ABSO) [22], and the binary flower pollination algorithm (BFPA). Although these optimization methods have a high probability of obtaining global solutions, the latter are the result of the reduction of and big constraints on the search space; in addition, they work at the cell level, which cannot be used to determine exactly the level of convergence of a PV panel and its ideal PV profile. In other words, the search spaces given to each parameter to be estimated are biased toward the problem solution and do not guarantee that the optimization techniques can determine the parameters of the equation of the PV panel under different irradiances, which represent variable power levels. Even though these optimization techniques can estimate the parameters in a PV cell, they cannot evaluate them under different test scenarios. Therefore, in order to apply the solution methodologies described above, the operating parameters of each equivalent mathematical model of a PV panel should be known in advance in order to estimate its parameters under any irradiance and power level. For this reason, some optimization techniques such as PS, the BFA, and PSO are not used to estimate the nine parameters of the TDM. They are used to estimate three or four parameters that can represent the PV profile of a cell. Although these validation methods do not compare the repeatability of the techniques in terms of iterative and statistical processes, it is not easy to interpret the efficiency of the techniques regarding the minimization of the objective function. Other authors have used methods such as ABSO and the BFPA to solve the problem of the SDM and DDM. They have found reduction errors between the estimated and the actual power profile and some negative results, which is possible because the methods were applied to a solar cell and not a PV panel. Likewise, their analysis of the resulting errors in the V-I or V-P profiles was not clear. Other techniques were also applied in [23,24,25,26,27,28]: the tree growth algorithm (TGA), dynamic self-adaptive and mutual-comparison teaching-learning-based optimization, the moth–flame optimization algorithm, improved gray wolf optimization, and the SSA. These implementations, as the previous ones, are commonly used for cells or PV modules, where restrictions to the search space are evident, without convincing statistical results or tuning the optimization techniques to be able to determine the minimization of the objective function in the best conditions of each optimization algorithm. In addition to the information offered by the results at the cell level, it has not been shown that the PV profiles are not relevant for the levels of irradiance and power and the constraints of the search space, which are present at the level of the PV cell and not the PV panel. Therefore, this paper proposes a solution method to adjust the parameters of the TDM based on the characteristic I-V curve of a PV panel under different irradiance and power levels by implementing the the salp swarm algorithm (SSA).

Scope and Contributions

This document addresses the problem of estimating the parameters of the equivalent mathematical model of three diodes of a PV panel from the point of view of sequential programming methodologies, avoiding the use of commercial software. The application of the SSA optimization method is proposed for this purpose. The main objective is to generate a methodology with a high effectiveness in terms of the quality of the solution and time required. As the main contributions of this document and contributions to the state-of-the-art, the following are highlighted:
  • A new application for the salps swarm optimization algorithm;
  • A new methodology that provides a solution to the estimation of parameters of the equivalent mathematical model of three diodes of a PV panel with high quality in the response;
  • An implemented optimization technique that works at different levels of irradiance and determines the parameters that best fit the equivalent mathematical model of three diodes of a PV panel from the I-V data.

2. Mathematical Model of a PV Panel

The three-diode model was used to model polycrystalline PV panels. Figure 1 presents the equivalent electronic circuit with different representative parameters. Some of these parameters are the currents in the three diodes, i.e., I d 1 , I d 2 , and I d 3 , where I d 1 denotes currents due to the diffusion and recombination of the region of the emitting diode and the p-n junction; I d 2 , the current of the exhaustion region of the second diode; I d 3 , the leakage current of the third diode; the serial resistance R s , the semiconductor material or the neutral regions of the PV panel; the parallel resistance R h , the leakage current on the surface of the PV panel [11,29,30].
The current of the PV panel is mathematically modeled in Equation (1), where I p v denotes the current provided by the PV panel, i.e., the variable to minimize; I d 1 , I d 2 , and I d 3 , the saturation currents of each diode in the PV panel; η 1 , η 2 , and η 3 , the ideality factors of the three diodes; V t h , the thermal voltage of the PV panel; I p h , the photoinduced current of the PV panel; V p v , the output voltage of the PV panel [31,32].
I p v = I p h I d 1 e x p V p v + R s · I p v η 1 V t h 1 1 I d 2 e x p V p v + R s · I p v η 2 V t h 2 1 I d 3 e x p V p v + R s · I p v η 3 V t h 3 1 V p v + R s · I p v R h
Equation (2) represents the thermal voltages of the p-n junction in the V t h PV panel, which depends on N s , i.e., the number of cells connected in series in the panel. In said equation, k is the Boltzmann constant; T, the temperature; q, the charge of the electron.
V t h = V t h 1 = V t h 2 = V t h 3 = N s · k · T q

3. Mathematical Formulation for the Optimization Problem

For the TDM parameter estimation problem, the objective function is defined as the reduction of the root-mean-squared error (RMSE) in Equation (3) presented in [33]. In the latter, the points of difference are the measured current ( I M e a s u r e d ) and the current estimated ( I E s t i m a t e d ) by the solution method ( E r r o r t o t a l ), where n is to the number of points generated for the voltage scan; V o c , the open circuit voltage of the panel under analysis; Δ V , the voltage flow assigned between each pair of points in the voltage scan.
E r r o r t o t a l = k = 1 N = V o c Δ V I S T C Δ V * k I E s t i m a t e d Δ V * k
In (4), the minimization of the RMSE is presented as the objective function ( O F ). These equations are generally formulated to evaluate the deviation of the values of the parameters extracted from the experimental data of a PV panel under any irradiance and power level [5,34,35,36,37,38,39,40,41,42,43,44,45,46,47,48,49].
O F = M i n ( E r r o r t o t a l ) 2 n
Note that I E s t i m a t e d is calculated using Equation (1) and the voltage level of the point being analyzed, which is assigned by the sum represented by the voltage scan. It should be noted that the limitations found within this model are focused on the PV profiles of I-V with partial or total shading; for these cases, it is not enough to use the one-, two-, or three-diode model, but rather a model that must contain the use of the bypass diodes of the PV panel that is under analysis, as in [50,51,52]

Constraints

Constraints refer to the limits of the variables that represent the TDM parameter estimation problem. They are presented in the following equations:
η 1 m i n η 1 η 1 m a x
η 2 m i n η 2 η 2 m a x
η 3 m i n η 3 η 3 m a x
R s m i n R s R s m a x
R h m i n R h R h m a x
I d 1 m i n I d 1 I d 1 m a x
I d 2 m i n I d 2 I d 2 m a x
I d 3 m i n I d 3 I d 3 m a x
I p h m i n I p h I p h m a x
Expressions (5) to (13), which represent the mathematical interpretation of the problem constraints, are proposed as equations to facilitate their analysis in terms of the presentation. Equations (5)–(7) represent the constraints of the ideality factors of each diode, where η m i n and η m a x are the minimum and maximum limits allowed for these values. In Equation (8), the constraints on the serial resistance are the minimum and maximum limits denoted by R s m i n and R s m a x , respectively. In (9), the values of the parallel resistance are defined by the minimum and maximum limits R h m i n and R h m a x , respectively, which represent the constraint. The values of the saturation currents of the diodes in Equations (10)–(12) are constrained by the minimum and maximum limits, i.e., I d m i n and I d m a x . Finally, Equation (13) defines the photoinduced current with minimum and maximum limits, i.e., I p h m i n and I p h m a x , and represents the last constraint on the test system.
The minimum and maximum limits of each variable of the different types of panels used in this paper are detailed in Table 1 and Table 2.

4. Proposed Methodology

Equations (1) and (2) in Section 2 represent the problem studied in this paper and demonstrate that nonlinear methods should be applied to find a solution to this problem. For that purpose, this study proposes a methodology divided into two stages: (1) estimating the parameters of the TDM to represent the PV profiles of a PV panel by using the SSA to find the optimal parameter configuration and (2) evaluating the objective function of the multiple parameter configurations proposed by the first stage. The following subsection describes the methodology used in this paper.

4.1. Salp Swarm Optimization Algorithm

The salp swarm optimization algorithm (SSA) is a bio-inspired technique that imitates the behavior of salps in their natural habitat. These vertebrates have a transparent barrel-shaped body, which is very similar to that of jellyfish. The SSA technique is based on the movement of salps, which is characterized by contractions and pumping water through their gelatinous body while searching for food, i.e., salps pump water through their internal food filters, feeding on the phytoplankton they filter from the water while they move in chain-shaped swarms, changing their movement in a coordinated and quick manner. This behavior can be mathematically modeled to be used as an optimization method [53]. The following subsection presents the stages for the computational development and finding a solution to the parameter estimation problem of the equivalent three-diode model of a PV panel using the SSA.

4.1.1. Generation of the Initial Population

Equation (14) is used to generate each of the salps that compose the initial population of the salp chains ( S a l p s ( i , j ) ) , where each salp in the population is a possible solution to the problem (each parameter of the three-diode model of a PV panel). In the initial population, the i subindex denotes the i-th salp chain, and the j subindex represents the j-th individual that composes the i-th element. Each of the salps generated in the different chains contains the parameters that generate the PV profile represented by the V-I levels in the problem studied here. The values of each of the salps that compose the salps chains are generated within the solution space, limited by the technical constraints of the problem. This is possible by implementing upper ( u b ) and lower ( l b ) bounds assigned to every element of the salps, which correspond to each one of the minimum and maximum limits of the current equation of a PV panel in the TDM parameter estimation problem. Likewise, in order to explore bigger regions of the search space, the first population of salps is generated based on random values ( r a n d ) in the [0–1] range for every object that composes the different salp chains. These random numbers are multiplied by the difference between the limits to generate a better distribution of particles in the search space.
S a l p s ( i , j ) = u b l b * r a n d + l b
The equation above can be used to find the value of the j individuals in the i-th salp chain. To generate every salp chain, this paper proposes an n x d -sized matrix, where n is the number of salps as possible solutions to the problem and d denotes the number of variables in the problem (number of salps in the chain), as shown in Equation (15), where S n is the n-th salp in the M S a l p s matrix. In the specific case of the TDM problem of a PV panel, the number of d columns corresponds to the parameters of the TDM that generate the current in a PV panel, and their values determine the PV profile of the panel being analyzed.
M S a l p s = S a l p s 1 , 1 S a l p s 1 , 2 S a l p s 1 , d S a l p s 2 , 1 S a l p s 2 , 2 S a l p s 2 , d S a l p s n , 1 S a l p s n , 2 S a l p s n , d = S a l p s 1 S a l p s 2 S a l p s n

4.1.2. Calculation of the Objective Function

The objective function studies every individual (aptitude function) to evaluate the impact of every possible solution contained in M S a l p s . Subsequently, each of the values thus obtained is stored in an n x 1 -sized matrix called M O S a l p , calculating the minimization of the RMSE, as shown in Equation (16). In the case of the TDM parameter estimation problem, each created individual is evaluated based on the search space assigned in every S a l p , thus obtaining the values of the variables associated with each possible solution.
M O S a l p = f S 1 , 1 , S 1 , 2 , , S 1 , d f S 2 , 1 , S 2 , 2 , , S 2 , d f S n , 1 , S n , 2 , , S n , d
In this solution method, it is necessary to sort the salps of the initial population based on their value obtained by evaluating the objective function. In minimization problems, the population is sorted from the lowest to the highest value obtained from the objective function (such is the case under analysis). In maximization problems, the population is sorted from the highest to the lowest value obtained from the objective function. Thus, the first row of the population presents the best solution found by the salp chain in the initial population.

4.1.3. Movement for the Salp Chain

The SSA proposed in this paper uses an iterative process, where a new salp chain is generated at every iteration. Salps are divided into two groups: leader and followers. The leader salp (the one with the best adaptation function at the current iteration) is at the head of the chain, while the remaining salps are followers. The leader salp is responsible for guiding the swarm, and the rest of the salps follow each other.
Once all the salps in the population have been evaluated to calculate their impact on the adaptation function and sorted based on said function, the salp with the best adaptation function is selected as the leader ( X j 1 ):
S ( 1 , j ) = X ( 1 , j )
The leader salp should be updated at every iteration carried out by the algorithm. Additionally, at the first iteration, the leader salps (one salp per TDM parameter) are selected as the phytoplankton. That is, because the leader salp found the area with the best food in the solution space, the algorithm proposes this location as the best area to advance with the rest of the salps (see Equation (17)). Phytoplankton is represented by a 1 x d -sized information vector that stores the information of the leader salps in the salp chains.
F ( 1 , j ) = S ( 1 , j )
After the second iteration of the algorithm, the elements that compose the phytoplankton (incumbent solution to the problem) are updated by the leader salp in the chain only if it outperforms the best solution to the problem so far.
In order for the salp chain to move, the SAA method uses two mechanisms that exploit the sorting of the population:
Movement in relation to the incumbent:
From the leader salp to the individual that represents half of the population, the salp chain moves considering the value of the elements stored in the incumbent solution to the problem (phytoplankton), the limit values of the elements that compose each salp, and a constant that controls the advance of the salp chain. Using a random value, this advance mechanism facilitates the exploration of the region that surrounds the incumbent in order to adequately explore the solution space. Equation (19) is used to update the position of half of the salp chain in the population, where S a l p s ( i , j ) is the new value assigned to the i-th salp in the j-th dimension, i.e., this value assigns new parameters to each variable, which can be used to estimate the current considered in the different individuals that compose the population. In said equation, F ( 1 , j ) denotes the position of the food source (phytoplankton) in the j-th dimension; u b and l b , the upper and lower bounds in each dimension of the problem, i.e., the limits of each parameter of the TDM of a PV panel; C2 and C3, random values in the [ 0 , 1 ] range, which are used to decide whether to add or subtract the calculated value to or from the component of the incumbent solution to the problem ( F ( i , j ) ). This process must be carried out for every individual and element that composes the population, i.e., for each in and jd.
S a l p s ( i , j ) = F ( 1 , j ) + C 1 * u b j l b j * C 2 + l b j C 3 0.5 F ( 1 , j ) C 1 * u b j l b j * C 2 + l b j C 3 > 0.5
In Equation (20), the C1 coefficient is responsible for controlling the exploration and exploitation of the solution in the movement of the salps, l denotes the current iteration, and L is the maximum number of iterations.
C 1 = 2 * e 4 * l L 2
  • Movement using Newton’s laws of motion:
To update the position of the remaining individuals in the salp chain (from half plus one to the end of the population), Newton’s three laws of motion are used to obtain the equation of the movement of the follower salps, as shown in Equation (21). This equation shares information between adjacent salps in the population. This advance mechanism aims to share information between the salps with the best and worst solution based on the descending order specified in previous sections in order to improve the objective function of every salp, generating new locations in the solution space.
S ( i , j ) = S ( i , j ) S ( i 1 , j ) 2
After updating the position of the salp chain at each iteration, it should be verified that all the positions respect the constraints established for the problem. In this particular case, the limits of each parameter established for the TDM of the PV panel should be respected. Subsequently, M O S a l p is updated by evaluating the new population or salp chain, updating the incumbent solution to the problem at every F iteration. This process is repeated until the stopping criteria established for the problem studied here are met.

4.1.4. Stopping Criteria

Two stopping criteria were used in the first stage:
  • The first stage ends after n consecutive iterations where the incumbent solution to the problem is not updated. Therefore, the process ends when the objective function reaches a given number of iterations (non-improvement counter) without finding a better solution to the problem;
  • The computational analysis ends when the optimization algorithm reaches the maximum number of iterations allowed for each algorithm. Iterations are controlled using a counter in the algorithm.
The iterative process in Algorithm 1 is included below to provide a visual assistance to interpret the first stage of the proposed solution methodology, which uses the SSA to estimate the parameters of the TDM of a PV panel.
Algorithm 1 SSA optimization algorithm.
1:
Load system data
2:
Initialize the parameters of the algorithms
3:
Generate initial population of salps M S a l p s
4:
Calculate the adaptation function employing the slave stage M O S a l p
5:
Select the incumbent solution F ( 1 , j )
6:
Select the leader S a l p , and determine the follower S a l p s
7:
Initialize the P M a x , and M i n parameters
8:
while l L do
9:
   Initialize C 1 of (20)
10:
   for  i = 1 : S i z e ( S a l p s )  do
11:
     if  i S i z e ( S a l p s ) 2  then
12:
        for  j = 1 : D i m for the dimension of the problem do
13:
           C 2 = r a n d  [0–1]
14:
           C 3 = r a n d  [0–1]
15:
          if  C 3 0.5  then
16:
              S j = F ( 1 , j ) + C 1 * u b j l b j * C 2 + l b j
17:
          else
18:
              S j = F ( 1 , j ) C 1 * u b j l b j * C 2 + l b j
19:
          end if
20:
        end for i > s i z e ( S a l p s ) 2 & i S i z e ( S a l p s )
21:
         S ( i , j ) = 1 2 S ( i , j ) S ( i 1 , j )
22:
     end if
23:
   end for
24:
   Calculate the adaptation function by means of S A
25:
   Update the incumbent solution
26:
    l = l + 1 ;
27:
end while

5. Simulations and Results

Two PV panels, i.e., Kyocera KC200GT and Solarex MSX60 [54,55], were used in this study to validate the effectiveness of the TDM of PV panels by means of the SSA. Table 3 details the electrical specifications of each PV panel under STCs. Said table presents their common characteristics: number of cells ( N s ), maximum power ( P m a x ), maximum voltage point ( V m p ), open-circuit voltage ( V o c ), maximum current point ( I m p ), and short-circuit current ( I s c ). In addition, certain constant values are necessary for the TDM to work properly for the parameter estimation process, such as the Boltzmann constant k = 1.3806503 × 10 23 (J/K), temperature in degrees Kelvin 273 ( K), and electrical charge q = 1.60217646 × 10 19 , which can be applied to any type of PV panel.
To estimate the parameters of the TDM and validate the effectiveness of the methodology proposed here (SSA) in terms of the solution quality (i.e., minimization of the RMSE of the TDM of a PV panel), this study implemented three additional continuous solution methods: (1) particle swarm optimization (PSO) [56], which is a bioinspired algorithm based on the behavior of schools of fish, flocks of birds, and other animals that move in big groups; (2) the continuous genetic algorithm (CGA) [57], which is based on the genetic process of living beings that store information about learned evolution and transfer said information to the next generations; (3) the sine cosine algorithm (SCA) [58], which is a powerful metaheuristic optimization technique and a variant of the conventional particle swarm optimization approaches.
All the optimization methods used in this paper, including the SSA method proposed here, were implemented to estimate the nine parameters of the TDM. The SSA, which was selected because of its high effectiveness in terms of convergence and processing times, was fairy compared with the other three methodologies described above.
Each method was tuned in order to obtain the best possible response in terms of the objective function. This was achieved using the particle swarm optimization proposed in [59]. The parameters tuned for the techniques were population size ([2–100]), number of iterations ([1–10,000]), and number of non-improvement iterations ([1–10,000]). Table 4 presents the parameters found for each methodology employed in this paper.
The computational analysis to obtain the numerical results was conducted on a laptop with the following specifications: 1.6 GHz Intel Core i5-8520U processor with turbo boost up to 3.4 GHz, 12 GB of D D R 4 RAM memory at 3000 MHz, M . 2 SSD with 256 GB of storage capacity, Windows 10 PRO OS, and M A T L A B 2021 a coding software.

5.1. Results

Two types of panels, i.e., Kyocera K C 200 G T and Solarex M S X 60 , were employed here to evaluate the robustness of the proposed methodology under two irradiance levels (1000 W/m 2 and 500 W/m 2 ). Different power levels were used to evaluate their impact on the parameter estimation of the two PV panels and the minimization of the RMSE of the TDM.

5.1.1. K C 200 G T PV Panel

The PV profiles and V-P curves of the K C 200 G T panel under the two previously mentioned irradiance levels (i.e., 1000 W/m 2 and 500 W/m 2 ) were used to validate the methodology proposed here and represent different power levels in the PV profiles of the panel.
Table 5 and Table 6 show the results obtained by the different methodologies implemented here to solve the parameter estimation problem of the TDM of the K C 200 G T PV panel under irradiance levels of 500 W/m 2 and 1000 W/m 2 , respectively. These tables detail, from left to right, the solution method that was used, the best solution found for the objective function ( R M S E ), the worst solution found for the R M S E , the mean value of the R M S E , and the standard deviation obtained by each technique after 1000 executions. Additionally, Figure 2 and Figure 3 are charts that compare the results obtained by the three other methodologies employed here to solve the parameter estimation problem of the TDM of the K C 200 G T PV panel.
In Figure 2, which presents the results obtained for the K C 200 G T PV panel under a 500 W/m 2 irradiance level, the method proposed in this paper outperforms the other three optimization algorithms in all the results. Regarding the best solution in the objective function, the SSA outperformed PSO by 3855.433 % , the CGA by 94.961 % , and the SCA by 212.974 % . Likewise, the SSA presented a high-quality standard deviation, outperforming the other solution methodologies by 472.877 % on average. The outstanding standard deviation of the SSA resulted in a mean value of 0.07973 , outperforming the SCA by 468.477 % , the CGA by 581.602 % , and PSO by 1311.811 % .
The above shows the superiority of the technique proposed here in finding a high-quality solution for the minimization of the objective function (i.e., the RMSE of the TDM of a PV panel under a 500 W/m 2 irradiance level). Likewise, thanks to its excellent standard deviation, the SSA can be used to find a high-quality solution every time it is executed.
Figure 3 presents the results of the analysis of the K C 200 G T PV panel under a 1000 W/m 2 irradiance level. Regarding the best solution for the minimization of the RMSE, the SSA outperformed the CGA, the SCA, and PSO by 251.978 % , 553.922 % , and 17 , 996.984 % , respectively. In relation to the standard deviation, the SSA fell short against the CGA by 15.833 % , but outperformed PSO and the SCA by 400.112 % and 611.820 % , respectively. Despite producing a standard deviation worse than that of one of the techniques, the SSA was better than all of them in the mean value, outperforming the CGA by 18.467 % , the SCA by 405.818 % , and PSO by 3120.764 % . Although the CGA obtained a better standard deviation, the SSA found the best solution for the minimization of the objective function of the problem analyzed in this paper, as well as the best mean solution for the analysis of the K C 200 G T PV panel under a 1000 W/m 2 irradiance level. Therefore, the SSA will generate a high-quality solution every time it is executed.
The previous analysis showed that the SSA obtained the best solution for the parameter estimation problem of the TDM of a PV panel (the K C 200 G T panel in this case), demonstrating its superiority, especially in finding the best minimization of the objective function. Additionally, Figure 4 is a graph that represents the best solutions found for the minimization of the objective function reported in Table 5 and Table 6. For more clarity, Figure 5 shows two zoom-ins on the power produced under the two irradiance levels. These zoom-ins detail the difference between the ideal PV profile under 500 W/m 2 and 1000 W/m 2 and those determined by each optimization technique.

5.1.2. M S X 60 PV Panel

The next validation stage of the methodology proposed in this paper was to analyze a less powerful PV panel, i.e., the M S X 60 T panel, under two irradiance levels (i.e., 500 W/m 2 and 1000 W/m 2 ) in order to observe the behavior of the optimization techniques under different power scenarios. Table 7 and Table 8 present the results of the analysis of this panel under the two irradiance levels, which are organized as those in Table 5. Table 7 presents the results obtained by each methodology implemented here to solve the parameter estimation problem of the TDM of the M S X 60 T panel under 500 W/m 2 .
Figure 6, which compares the results obtained for the M S X 60 panel under a 500 W/m 2 irradiance level, indicates that the SSA outperformed the rest of the solution algorithms proposed to solve the problem studied in this paper. Regarding the best solution, the SSA outperformed the SCA by 210.541 % , the CGA by 228.857 % , and PSO by 258.258 % . In relation to the mean value, the SSA presented an average improvement of 68.425 % over the other solution methodologies. In terms of the standard deviation, the SSA outperformed the SCA, the CGA, and PSO by 15.732 % , 71.408 % , and 104.128 % , respectively. These results showed that the SSA produced the best solution for this panel under 500 W/m 2 .
Table 8 presents the results obtained by the methodologies implemented here to solve the parameter estimation problem of the TDM of the M S X 60 panel under a 1000 W/m 2 irradiance level.
Figure 7 shows the improvements achieved by the SSA compared to the other solution methodologies suggested to solve the parameter estimation problem of the TDM of a M S X 60 PV panel under a 1000 W/m 2 irradiance level. In said figure, the SSA obtained the highest percentage of minimization of the objective function, with a value of 0.01802 , thus outperforming the SCA by 0.016 % , the CGA by 0.087 % , and PSO by 2.254 % . Regarding the mean solution, the SSA presented an improvement of 11.410 % over the SCA, 22.513 % over the CGA, and 57.068 % over PSO. In terms of the standard deviation, the SSA offered the best repeatability to find the solution, outperforming the other techniques by an average of 204.948 % . These results demonstrate the superiority of the technique proposed in this paper to solve the parameter estimation problem for the M S X 60 PV panel with a 1000 W/m 2 irradiance level.
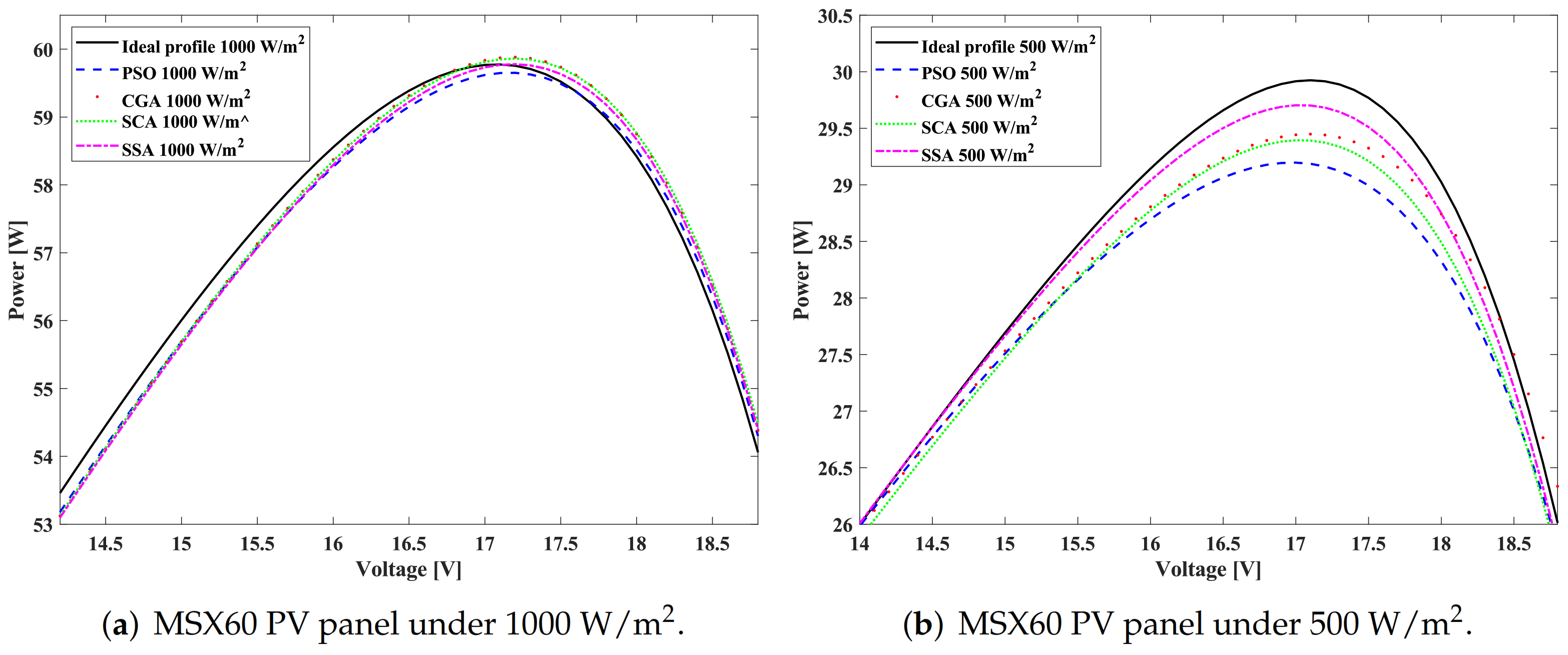
After analyzing the M S X 60 PV panel, it can be concluded that the methodology proposed here was the technique that found the best solution to the problem of the TDM in this scenario. Additionally, in terms of the repeatability of the solution, the SSA outperformed all the other techniques, which guarantees a high-quality solution every time the algorithm is executed for any power level of said panel. Figure 8 is a graph that represents the best solutions found for the minimization of the objective function reported in Table 7 and Table 8. For more clarity, Figure 9 shows two zoom-ins on the power produced under the two irradiance levels. These zoom-ins detail the difference between the ideal PV profile under 500 W/m 2 and 1000 W/m 2 and those determined by each optimization technique.
Table 9 and Table 10 are included here to conduct an in-depth analysis to find the most optimal technique to solve the parameter estimation problem of the TDM of a PV panel. These tables present the robustness of the solutions obtained by each one of the algorithms implemented in this paper.
In order to obtain the values shown in Table 9, the data of the minimization of the objective function for the 500 W/m 2 and 1000 W/m 2 irradiance levels were averaged. The same procedure was repeated for the mean value and the standard deviation. Likewise, the previously described procedure was applied to obtain the values in Table 10 for the case of the M X S 60 PV panel.
In addition, Figure 10 and Figure 11 present the results of Table 9 and Table 10, respectively. Figure 10 shows that the solution methodology proposed in this paper produces the most adequate solution for the minimization of the objective function, outperforming the CGA by 168.18 % , the SCA by 371.96 % , and PSO by 10449.91 % . Regarding the mean deviation, the SSA outperformed the CGA, the SCA, and PSO by 414.63 % , 432.12 % , and 2361.39 % , respectively. In terms of the standard deviation, the SSA outperformed the other solution methodologies by an average of 396.58 % . In terms of processing time, Table 9 presents the average times of each optimization technique with values equal to 0.1220 s to solve the parameter estimation problem in the SSA, while PSO, the CGA, and the SCA required an average time equal to 0.4652 s, 0.1767 s, and 0.1272 s, respectively. These results demonstrate that the SSA offered the best solutions for the K C 200 G T panel under any irradiance level and scenario.
Figure 11 shows that the SSA outperformed the other techniques in the different solution scenarios evaluated here. Regarding the minimization of the objective function, the SSA outperformed the SCA by 48.98 % , the CGA by 53.29 % , and PSO by 61.79 % . In relation to the mean value for the objective function, the SSA outperformed the SCA by 28.98 % , the CGA by 47.92 % , and PSO by 65.77 % . In terms of the standard deviation obtained by the solution methodologies, the SSA outperformed the SCA by 24.22 % , the CGA by 138.68 % , and PSO by 190.47 % .Analyzing the average processing time required for each method, presented in Table 10, it can be seen that the SSA required 0.0790 s, the PSO 0.3729 s, the CGA 0.1463 s, and the SCA 0.1091 s of average time to solve the parameter estimation problem for the MXS60. This analysis demonstrates the superiority of the SSA algorithm in obtaining high-quality solutions for the M S X 60 panel, outperforming all the other optimization techniques.
The results presented in the previous graphs were compared against the results obtained by the optimization algorithm proposed in this document. This allows optimally visualizing the results obtained by the comparison methods, since all the data presented in the graphs are faced with their counterpart, which was determined by the SSA.

6. Conclusions

This paper presented a methodology based on the equivalent mathematical three-diode model of a PV panel and the salp swarm optimization method to solve the parameter estimation problem of the TDM of a PV panel. In the first stage, voltage and current data were used as a reference to estimate the parameters using the SSA, thus defining the parameters that better fit the current equation of the PV panel. The minimization of the objective function was used to determine the parameters that better fit the ideal PV profile. Each algorithm was validated in two test systems, i.e., the Kyocera K C 200 G T and the Solarex M S X 60 , under irradiance levels of 500 W/m 2 and 1000 W/m 2 . A total of 1000 simulations were run in each test scenario in order to evaluate the repeatability and efficiency of the solutions obtained by each algorithm.
The results reported here showed that the SSA methodology proposed in this paper presented the best minimization of the objective function compared to the SCA, PSO, and CGA techniques using the same parameters, which were tuned to obtain the best response of each optimization technique in terms of the RMSE. Likewise, the SSA presented an excellent standard deviation, which enabled it to obtain high-quality solutions and highlighted the efficiency of the technique regarding accuracy and repeatability. Note that the SSA was outperformed in a single instance by the CGA regarding the standard deviation in the case of the KC200GT panel. Nonetheless, Figure 10 and Figure 11 confirm that the SSA was the best technique to solve the parameter estimation problem of the TDM in the cases described in this paper.
Based on the results obtained by the optimization techniques and those presented in Table 9 and Table 10, it can be concluded that the SSA optimization method is the most efficient for estimating the TDM parameters, since, in the response quality, it was 1213.58% better than that obtained by the PSO, 231.27% better than that of the CGA, and 230.55% better than the SCA, averaging the results obtained for the MXS60 and KC500GT. On the other hand, it can also be seen that for the computational times required to solve the optimization problem, the SSA only required 0.1s of average time, unlike PSO, the CGA, and the SCA, which required an average of 0.419 s, 0.162 s, and 0.118 s, respectively
It can be concluded that, among the methods analyzed here, the SSA is the most reliable option to solve the problem of the TDM of a PV panel. Likewise, thanks to its standard deviation, the SSA could be applied in embedded systems to diagnose faults in PV systems.
Future research can improve the performance of the SSA by considering other methods to develop the objective function. Furthermore, the SSA method can be used in parallel processing to validate the computation times and to diagnose faults in PV panels using experimental results.

Author Contributions

Conceptualization, J.M. and O.D.G.R.; methodology, J.M., F.A. and O.D.G.R.; formal analysis, J.M., A.F.T.M., F.A., O.D.G.R. and J.M.P.; investigation, J.M., F.A. and O.D.G.R.; resources, J.M., A.F.T.M. and F.A.; writing—original draft preparation, J.M., A.A.R.M., A.F.T.M., F.A., O.D.G.R. and J.M.P. All authors have read and agreed to the published version of the manuscript.

Funding

This research was funded by the EDA project: Puerto Rican Solar Business Assistance and Workforce Development. The authors thank the Metropolitan Technological Institute (ITM) and the Sustainable Energy Center (SEC).

Data Availability Statement

Data is contained within the article. The data presented in this study are available in the Section 3, Section 4 and Section 5. In these sections it is possible to find the data published and necessary to replicate this article.

Acknowledgments

This study was supported by the Electronics and Renewable Energy Laboratory at the Instituto Tecnológico Metropolitano (Medellín, Colombia), the Institución Universitaria Digital de Antioquia, and the Sustainable Energy Center (SEC) at The University of Puerto Rico at Mayaguez Campus.

Conflicts of Interest

The authors declare no conflict of interest.

References

  1. University of Oxford Primary Energy Consumption. 2019. Available online: https://ourworldindata.org (accessed on 9 December 2021).
  2. The World Bank Fossil Fuel Energy Consumption. 2021. Available online: https://data.worldbank.org/indicator/EG.USE.COMM.FO.ZS (accessed on 9 December 2021).
  3. Vohra, K.; Vodonos, A.; Schwartz, J.; Marais, E.A.; Sulprizio, M.P.; Mickley, L.J. Global mortality from outdoor fine particle pollution generated by fossil fuel combustion: Results from GEOS-Chem. Environ. Res. 2021, 195, 110754. [Google Scholar] [CrossRef]
  4. Tobon Andres Felipe, H.J.A.P.J. Estimación de los parámetros de un modelo matemático de una celda fotovoltaica utilizando un algoritmo de optimización de búsqueda de patrones. Ingenio Magno 2015, 5, 95–101. [Google Scholar]
  5. Montano, J.; Tobón, A.; Villegas, J.; Durango, M. Grasshopper optimization algorithm for parameter estimation of photovoltaic modules based on the single diode model. Int. J. Energy Environ. Eng. 2020, 11, 1–9. [Google Scholar] [CrossRef]
  6. Wang, H.; Liu, Y.; Li, M.; Huang, H.; Xu, H.M.; Hong, R.J.; Shen, H. Multifunctional TiO2 nanowires-modified nanoparticles bilayer film for 3D dye-sensitized solar cells. Optoelectron. Adv.-Mater.-Rapid Commun. 2010, 4, 1166–1169. [Google Scholar]
  7. Green, M.A.; Dunlop, E.D.; Hohl-Ebinger, J.; Yoshita, M.; Kopidakis, N.; Ho-Baillie, A.W. Solar cell efficiency tables (Version 55). Prog. Photovoltaics Res. Appl. 2020, 28, 3–15. [Google Scholar] [CrossRef]
  8. Taha, M.Q.; Eesse, Q.H.; Salih, S.M. Mathematical modeling of different photovoltaic modules. J. Telecommun. 2011, 11, 59–64. [Google Scholar]
  9. Yoon, Y.; Geem, Z.W. Parameter optimization of single-diode model of photovoltaic cell using memetic algorithm. Int. J. Photoenergy 2015, 2015, 963562. [Google Scholar] [CrossRef] [Green Version]
  10. Awadallah, M.A.; Venkatesh, B. Estimation of PV module parameters from datasheet information using optimization techniques. In Proceedings of the 2015 IEEE International Conference on Industrial Technology (ICIT), New York, NY, USA, 17–19 March 2015; pp. 2777–2782. [Google Scholar] [CrossRef]
  11. Khanna, V.; Das, B.; Bisht, D.; Singh, P. A three diode model for industrial solar cells and estimation of solar cell parameters using PSO algorithm. Renew. Energy 2015, 78, 105–113. [Google Scholar] [CrossRef]
  12. Saha, C.; Agbu, N.; Jinks, R.; Huda, M. Review article of the solar PV parameters estimation using evolutionary algorithms. MOJ Sol. Photoenergy Syst. 2018, 2, 66–78. [Google Scholar]
  13. Ishaque, K.; Salam, Z.; Taheri, H. Accurate MATLAB simulink PV system simulator based on a two-diode model. J. Power Electron. 2011, 11, 179–187. [Google Scholar] [CrossRef] [Green Version]
  14. Chang, J.; Ge, T.; Sanchez-Sinencio, E. Circuits and Systems (MWSCAS). In Proceedings of the 2012 IEEE 55th International Midwest Symposium, Boise, ID, USA, 5–8 August 2012; pp. 582–585. [Google Scholar]
  15. Brano, V.L.; Orioli, A.; Ciulla, G.; Di Gangi, A. An improved five-parameter model for photovoltaic modules. Sol. Energy Mater. Sol. Cells 2010, 94, 1358–1370. [Google Scholar] [CrossRef]
  16. Petrone, G.; Ramos-Paja, C.A.; Spagnuolo, G. Photovoltaic Sources Modeling; John Wiley & Sons: Hoboken, NJ, USA, 2017. [Google Scholar]
  17. El Tayyan, A.A. An approach to extract the parameters of solar cells from their illuminated IV curves using the Lambert W function. Turk. J. Phys. 2015, 39, 1–15. [Google Scholar] [CrossRef]
  18. Chin, V.J.; Salam, Z.; Ishaque, K. Cell modelling and model parameters estimation techniques for photovoltaic simulator application: A review. Appl. Energy 2015, 154, 500–519. [Google Scholar] [CrossRef]
  19. Dali, A.; Bouharchouche, A.; Diaf, S. Parameter identification of photovoltaic cell/module using genetic algorithm (GA) and particle swarm optimization (PSO). In Proceedings of the 2015 3rd International Conference on Control, Engineering & Information Technology (CEIT), Tlemcen, Algeria, 25–27 May 2015; IEEE: Piscataway, NY, USA, 2015; pp. 1–6. [Google Scholar]
  20. AlRashidi, M.; AlHajri, M.; El-Naggar, K.; Al-Othman, A. A new estimation approach for determining the I–V characteristics of solar cells. Sol. Energy 2011, 85, 1543–1550. [Google Scholar] [CrossRef]
  21. Rajasekar, N.; Kumar, N.K.; Venugopalan, R. Bacterial foraging algorithm based solar PV parameter estimation. Sol. Energy 2013, 97, 255–265. [Google Scholar] [CrossRef]
  22. Askarzadeh, A.; Rezazadeh, A. Artificial bee swarm optimization algorithm for parameters identification of solar cell models. Appl. Energy 2013, 102, 943–949. [Google Scholar] [CrossRef]
  23. Allam, D.; Yousri, D.; Eteiba, M. Parameters extraction of the three diode model for the multi-crystalline solar cell/module using Moth-Flame Optimization Algorithm. Energy Convers. Manag. 2016, 123, 535–548. [Google Scholar] [CrossRef]
  24. Li, L.; Xiong, G.; Yuan, X.; Zhang, J.; Chen, J. Parameter Extraction of Photovoltaic Models Using a Dynamic Self-Adaptive and Mutual-Comparison Teaching-Learning-Based Optimization. IEEE Access 2021, 9, 52425–52441. [Google Scholar] [CrossRef]
  25. Diab, A.A.Z.; Sultan, H.M.; Aljendy, R.; Al-Sumaiti, A.S.; Shoyama, M.; Ali, Z.M. Tree growth based optimization algorithm for parameter extraction of different models of photovoltaic cells and modules. IEEE Access 2020, 8, 119668–119687. [Google Scholar] [CrossRef]
  26. Ramadan, A.E.; Kamel, S.; Khurshaid, T.; Oh, S.R.; Rhee, S.B. Parameter Extraction of Three Diode Solar Photovoltaic Model Using Improved Grey Wolf Optimizer. Sustainability 2021, 13, 6963. [Google Scholar] [CrossRef]
  27. Abbassi, R.; Abbassi, A.; Heidari, A.A.; Mirjalili, S. An efficient salp swarm-inspired algorithm for parameters identification of photovoltaic cell models. Energy Convers. Manag. 2019, 179, 362–372. [Google Scholar] [CrossRef]
  28. Yousri, D.; Abd Elaziz, M.; Oliva, D.; Abualigah, L.; Al-qaness, M.A.; Ewees, A.A. Reliable applied objective for identifying simple and detailed photovoltaic models using modern metaheuristics: Comparative study. Energy Convers. Manag. 2020, 223, 113279. [Google Scholar] [CrossRef]
  29. Nishioka, K.; Sakitani, N.; Uraoka, Y.; Fuyuki, T. Analysis of multicrystalline silicon solar cells by modified 3-diode equivalent circuit model taking leakage current through periphery into consideration. Sol. Energy Mater. Sol. Cells 2007, 91, 1222–1227. [Google Scholar] [CrossRef]
  30. Kumar, C.; Raj, T.D.; Premkumar, M.; Raj, T.D. A new stochastic slime mould optimization algorithm for the estimation of solar photovoltaic cell parameters. Optik 2020, 223, 165277. [Google Scholar] [CrossRef]
  31. Lineykin, S.; Averbukh, M.; Kuperman, A. Five-parameter model of photovoltaic cell based on STC data and dimensionless. In Proceedings of the 2012 IEEE 27th Convention of Electrical and Electronics Engineers in Israel, Eilat, Israel, 14–17 November 2012; IEEE: Piscataway, NY, USA, 2012; pp. 1–5. [Google Scholar]
  32. Ram, J.P.; Babu, T.S.; Rajasekar, N. A comprehensive review on solar PV maximum power point tracking techniques. Renew. Sustain. Energy Rev. 2017, 67, 826–847. [Google Scholar] [CrossRef]
  33. Chai, T.; Draxler, R.R. Root mean square error (RMSE) or mean absolute error (MAE)?—Arguments against avoiding RMSE in the literature. Geosci. Model Dev. 2014, 7, 1247–1250. [Google Scholar] [CrossRef] [Green Version]
  34. Muhsen, D.H.; Ghazali, A.B.; Khatib, T.; Abed, I.A. A comparative study of evolutionary algorithms and adapting control parameters for estimating the parameters of a single-diode photovoltaic module’s model. Renew. Energy 2016, 96, 377–389. [Google Scholar] [CrossRef]
  35. Ma, J. Optimization Approaches for Parameter Estimation and Maximum Power Point Tracking (MPPT) of Photovoltaic Systems. Ph.D. Thesis, University of Liverpool, Liverpool, UK, 2014. [Google Scholar]
  36. Ishaque, K.; Salam, Z.; Mekhilef, S.; Shamsudin, A. Parameter extraction of solar photovoltaic modules using penalty-based differential evolution. Appl. Energy 2012, 99, 297–308. [Google Scholar] [CrossRef]
  37. Ishaque, K.; Salam, Z.; Taheri, H.; Shamsudin, A. A critical evaluation of EA computational methods for Photovoltaic cell parameter extraction based on two diode model. Sol. Energy 2011, 85, 1768–1779. [Google Scholar] [CrossRef]
  38. Askarzadeh, A.; Rezazadeh, A. Parameter identification for solar cell models using harmony search-based algorithms. Sol. Energy 2012, 86, 3241–3249. [Google Scholar] [CrossRef]
  39. Alam, D.; Yousri, D.; Eteiba, M. Flower pollination algorithm based solar PV parameter estimation. Energy Convers. Manag. 2015, 101, 410–422. [Google Scholar] [CrossRef]
  40. Chen, Z.; Wu, L.; Lin, P.; Wu, Y.; Cheng, S. Parameters identification of photovoltaic models using hybrid adaptive Nelder-Mead simplex algorithm based on eagle strategy. Appl. Energy 2016, 182, 47–57. [Google Scholar] [CrossRef]
  41. Easwarakhanthan, T.; Bottin, J.; Bouhouch, I.; Boutrit, C. Nonlinear minimization algorithm for determining the solar cell parameters with microcomputers. Int. J. Sol. Energy 1986, 4, 1–12. [Google Scholar] [CrossRef]
  42. Tamrakar, R.; Gupta, A. A Review: Extraction of solar cell modelling parameters. Int. J. Innov. Res. Electr. Electron. Instrum. Control Eng. 2015, 3, 55–60. [Google Scholar]
  43. Gong, W.; Cai, Z. Parameter extraction of solar cell models using repaired adaptive differential evolution. Sol. Energy 2013, 94, 209–220. [Google Scholar] [CrossRef]
  44. Zhang, Y.; Lin, P.; Chen, Z.; Cheng, S. A population classification evolution algorithm for the parameter extraction of solar cell models. Int. J. Photoenergy 2016, 2016, 2174573. [Google Scholar] [CrossRef] [Green Version]
  45. Ishaque, K.; Salam, Z.; Taheri, H.; Shamsudin, A. Parameter extraction of photovoltaic cell using differential evolution method. In Proceedings of the 2011 IEEE Applied Power Electronics Colloquium (IAPEC), Johor Bharu, Malaysia, 18–19 April 2011; IEEE: Piscataway, NY, USA, 2011; pp. 10–15. [Google Scholar]
  46. Ayala, H.V.H.; dos Santos Coelho, L.; Mariani, V.C.; Askarzadeh, A. An improved free search differential evolution algorithm: A case study on parameters identification of one diode equivalent circuit of a solar cell module. Energy 2015, 93, 1515–1522. [Google Scholar] [CrossRef]
  47. Ghani, F.; Duke, M.; Carson, J. Numerical calculation of series and shunt resistances and diode quality factor of a photovoltaic cell using the Lambert W-function. Sol. Energy 2013, 91, 422–431. [Google Scholar] [CrossRef]
  48. Saravanan, C.; Panneerselvam, M. A comprehensive analysis for extracting single diode PV model parameters by hybrid GA-PSO algorithm. Int. J. Comput. Appl. 2013, 78, 16–19. [Google Scholar] [CrossRef]
  49. Askarzadeh, A.; dos Santos Coelho, L. Determination of photovoltaic modules parameters at different operating conditions using a novel bird mating optimizer approach. Energy Convers. Manag. 2015, 89, 608–614. [Google Scholar] [CrossRef]
  50. Kotti, R.; Shireen, W. Efficient MPPT control for PV systems adaptive to fast changing irradiation and partial shading conditions. Sol. Energy 2015, 114, 397–407. [Google Scholar] [CrossRef]
  51. Winston, D.P.; Kumaravel, S.; Kumar, B.P.; Devakirubakaran, S. Performance improvement of solar PV array topologies during various partial shading conditions. Sol. Energy 2020, 196, 228–242. [Google Scholar] [CrossRef]
  52. Bishop, J. Computer simulation of the effects of electrical mismatches in photovoltaic cell interconnection circuits. Sol. Cells 1988, 25, 73–89. [Google Scholar] [CrossRef]
  53. Mirjalili, S.; Gandomi, A.H.; Mirjalili, S.Z.; Saremi, S.; Faris, H.; Mirjalili, S.M. Salp Swarm Algorithm: A bio-inspired optimizer for engineering design problems. Adv. Eng. Softw. 2017, 114, 163–191. [Google Scholar] [CrossRef]
  54. Solar Electric Supply, Inc. Solarex MSX-60 w/Junction Box. 2020. Available online: https://www.solarelectricsupply.com/solar-panels/solarex/solarex-msx-60-w-junction-box (accessed on 9 December 2021).
  55. Solar Electric Supply, Inc. Kyocera KC200GT Solar Panel. 2020. Available online: https://www.solarelectricsupply.com/kyocera-kc200gt-solar-panel-565 (accessed on 9 December 2021).
  56. Ebrahimi, S.M.; Salahshour, E.; Malekzadeh, M.; Gordillo, F. Parameters identification of PV solar cells and modules using flexible particle swarm optimization algorithm. Energy 2019, 179, 358–372. [Google Scholar] [CrossRef]
  57. Moradi, M.H.; Abedini, M. A combination of genetic algorithm and particle swarm optimization for optimal DG location and sizing in distribution systems. Int. J. Electr. Power Energy Syst. 2012, 34, 66–74. [Google Scholar] [CrossRef]
  58. Montoya, O.; Gil-González, W.; Grisales-Noreña, L. Sine-cosine algorithm for parameters’ estimation in solar cells using datasheet information. J. Phys. Conf. Ser. Publ. 2020, 1671, 012008. [Google Scholar] [CrossRef]
  59. Grisales-Noreña, L.F.; Gonzalez Montoya, D.; Ramos-Paja, C.A. Optimal sizing and location of distributed generators based on PBIL and PSO techniques. Energies 2018, 11, 1018. [Google Scholar] [CrossRef] [Green Version]
Figure 1. Diagram of the equivalent circuit of a PV panel with three diodes (TDM).
Figure 1. Diagram of the equivalent circuit of a PV panel with three diodes (TDM).
Electronics 10 03123 g001
Figure 2. Minimization of the RMSE in the TDM of a K C 200 G T PV panel under a 500 W/m 2 irradiance level obtained by the SSA compared to other methodologies.
Figure 2. Minimization of the RMSE in the TDM of a K C 200 G T PV panel under a 500 W/m 2 irradiance level obtained by the SSA compared to other methodologies.
Electronics 10 03123 g002
Figure 3. Minimization of the RSME in the TDM of a K C 200 G T PV panel under a 1000 W/m 2 irradiance level obtained by the SSA compared to other methodologies.
Figure 3. Minimization of the RSME in the TDM of a K C 200 G T PV panel under a 1000 W/m 2 irradiance level obtained by the SSA compared to other methodologies.
Electronics 10 03123 g003
Figure 4. Simulation performed with the parameters found for the lowest errors in the KC200GT PV panel under irradiance levels of 1000 W/m 2 and 500 W/m 2 .
Figure 4. Simulation performed with the parameters found for the lowest errors in the KC200GT PV panel under irradiance levels of 1000 W/m 2 and 500 W/m 2 .
Electronics 10 03123 g004
Figure 5. Zoom-ins on the simulation performed with the parameters found for the lowest errors in the KC200GT PV panel.
Figure 5. Zoom-ins on the simulation performed with the parameters found for the lowest errors in the KC200GT PV panel.
Electronics 10 03123 g005
Figure 6. Minimization of the RMSE in the TDM of a M S X 60 PV panel under a 500 W/m 2 irradiance level obtained by the SSA compared to the other methodologies.
Figure 6. Minimization of the RMSE in the TDM of a M S X 60 PV panel under a 500 W/m 2 irradiance level obtained by the SSA compared to the other methodologies.
Electronics 10 03123 g006
Figure 7. Minimization of the RMSE in the TDM of a M S X 60 PV panel under a 1000 W/m 2 irradiance level obtained by the SSA compared to the other methodologies.
Figure 7. Minimization of the RMSE in the TDM of a M S X 60 PV panel under a 1000 W/m 2 irradiance level obtained by the SSA compared to the other methodologies.
Electronics 10 03123 g007
Figure 8. Simulation performed with the parameters found for the lowest errors in the MSX60 PV panel under the 1000 W/m 2 and 500 W/m 2 irradiance levels.
Figure 8. Simulation performed with the parameters found for the lowest errors in the MSX60 PV panel under the 1000 W/m 2 and 500 W/m 2 irradiance levels.
Electronics 10 03123 g008
Figure 9. Zoom-ins on the simulation performed with the parameters found for the lowest errors in the MSX60 PV panel.
Figure 9. Zoom-ins on the simulation performed with the parameters found for the lowest errors in the MSX60 PV panel.
Electronics 10 03123 g009
Figure 10. Robustness of the proposed solution methodologies in solving the parameter estimation problem of the TDM of the K C 200 G T .
Figure 10. Robustness of the proposed solution methodologies in solving the parameter estimation problem of the TDM of the K C 200 G T .
Electronics 10 03123 g010
Figure 11. Robustness of the proposed solution methodologies in solving the parameter estimation problem of the TDM of the M S X 60 PV panel.
Figure 11. Robustness of the proposed solution methodologies in solving the parameter estimation problem of the TDM of the M S X 60 PV panel.
Electronics 10 03123 g011
Table 1. Minimum and maximum limits to evaluate the Solarex MSX60 and Solar-SJ65 PV panels.
Table 1. Minimum and maximum limits to evaluate the Solarex MSX60 and Solar-SJ65 PV panels.
Limits η 1 η 2 η 3 R s R h I d 1 I d 2 I d 2 I ph
Max2222500 1 × 10 5 1 × 10 5 1 × 10 5 5
Min0.50.50.50.0150 1 × 10 12 1 × 10 12 1 × 10 12 0.001
Table 2. Minimum and maximum limits to evaluate the Kyocera KC200GT and Suntech STP245S PV panels.
Table 2. Minimum and maximum limits to evaluate the Kyocera KC200GT and Suntech STP245S PV panels.
Limits η 1 η 2 η 3 R s R h I d 1 I d 2 I d 2 I ph
Max2222500 1 × 10 5 1 × 10 5 1 × 10 5 9
Min0.50.50.50.0150 1 × 10 12 1 × 10 12 1 × 10 12 0.001
Table 3. PV panels and their characteristics.
Table 3. PV panels and their characteristics.
PanelMSX60KC200GT
N s 3654
P m a x (W) 60200
V m p (V) 17.126.3
V o c (V) 21.132.9
I m p (A) 3.57.61
I s c (A) 3.88.21
Table 4. Tuning parameters of the continuous methods used in this paper.
Table 4. Tuning parameters of the continuous methods used in this paper.
MethodSSACGAPSOSCA
Number
of particles
77763583
Stopping
criteria
Maximum number
of iterations
8760805558508910
Non-improvement
iterations
474978519568680
Table 5. Results obtained for the K C 200 G T PV panel under a 500 W/m 2 irradiance level.
Table 5. Results obtained for the K C 200 G T PV panel under a 500 W/m 2 irradiance level.
KC 200 GT   500 W/m 2
MethodBest FobWorst FobMean ValueSTD
SSA0.010960.321770.079730.05724
PSO0.433691.649861.125640.22273
CGA0.021381.646290.846810.39013
SCA0.034321.882250.453220.37084
Table 6. Results obtained for the K C 200 G T PV panel under a 1000 W/m 2 irradiance level.
Table 6. Results obtained for the K C 200 G T PV panel under a 1000 W/m 2 irradiance level.
KC 200 GT   1000 W/m 2
MethodBest FobWorst FobMean ValueSTD
SSA0.009580.347830.110190.06765
PSO1.733784.290503.548870.33834
CGA0.033720.332580.130540.05694
SCA0.062652.638790.557350.48156
Table 7. Results obtained for the M S X 60 PV panel under a 500 W/m 2 irradiance level.
Table 7. Results obtained for the M S X 60 PV panel under a 500 W/m 2 irradiance level.
MSX 60 500 W/m 2
MethodBest FobWorst FobMean ValueSTD
SSA0.00550.02540.01750.0031
PSO0.01960.08610.03090.0064
CGA0.01800.04920.03130.0054
SCA0.01700.04180.02630.0036
Table 8. Results obtained for the M S X 60 PV panel under a 1000 W/m 2 irradiance level.
Table 8. Results obtained for the M S X 60 PV panel under a 1000 W/m 2 irradiance level.
MSX 60   1000 W/m 2
MethodBest FobWorst FobMean ValueSTD
SSA0.018020.030970.021200.00195
PSO0.018420.077330.033300.00837
CGA0.018030.071610.025970.00676
SCA0.018020.034300.023620.00269
Table 9. Averaged results obtained for the K C 200 G PV panel under the 500 W/m 2 and 1000 W/m 2 irradiance levels.
Table 9. Averaged results obtained for the K C 200 G PV panel under the 500 W/m 2 and 1000 W/m 2 irradiance levels.
KC500GT
Method Best Fob Mean Value STD Average Time (s)
SSA0.01030.09500.06240.1220
PSO1.08372.33730.28050.4652
CGA0.02750.48870.22350.1767
SCA0.04850.50530.42620.1272
Table 10. Averaged results obtained for the M S X 60 PV panel under the 500 W/m 2 and 1000 W/m 2 irradiance levels.
Table 10. Averaged results obtained for the M S X 60 PV panel under the 500 W/m 2 and 1000 W/m 2 irradiance levels.
MXS60
Method Best Fob Mean Value STD Average Time (s)
SSA0.01170.01930.00250.0790
PSO0.01900.03210.00740.3729
CGA0.01800.02860.00610.1463
SCA0.01750.02500.00320.1091
Publisher’s Note: MDPI stays neutral with regard to jurisdictional claims in published maps and institutional affiliations.

Share and Cite

MDPI and ACS Style

Montano, J.; Mejia, A.F.T.; Rosales Muñoz, A.A.; Andrade, F.; Garzon Rivera, O.D.; Palomeque, J.M. Salp Swarm Optimization Algorithm for Estimating the Parameters of Photovoltaic Panels Based on the Three-Diode Model. Electronics 2021, 10, 3123. https://doi.org/10.3390/electronics10243123

AMA Style

Montano J, Mejia AFT, Rosales Muñoz AA, Andrade F, Garzon Rivera OD, Palomeque JM. Salp Swarm Optimization Algorithm for Estimating the Parameters of Photovoltaic Panels Based on the Three-Diode Model. Electronics. 2021; 10(24):3123. https://doi.org/10.3390/electronics10243123

Chicago/Turabian Style

Montano, Jhon, Andres Felipe Tobon Mejia, Andrés Alfonso Rosales Muñoz, Fabio Andrade, Oscar D. Garzon Rivera, and José Mena Palomeque. 2021. "Salp Swarm Optimization Algorithm for Estimating the Parameters of Photovoltaic Panels Based on the Three-Diode Model" Electronics 10, no. 24: 3123. https://doi.org/10.3390/electronics10243123

APA Style

Montano, J., Mejia, A. F. T., Rosales Muñoz, A. A., Andrade, F., Garzon Rivera, O. D., & Palomeque, J. M. (2021). Salp Swarm Optimization Algorithm for Estimating the Parameters of Photovoltaic Panels Based on the Three-Diode Model. Electronics, 10(24), 3123. https://doi.org/10.3390/electronics10243123

Note that from the first issue of 2016, this journal uses article numbers instead of page numbers. See further details here.

Article Metrics

Back to TopTop