Abstract
This study presents the optimization of the lateral device geometry and thickness of the channel and barrier layers of AlGaN/GaN high electron mobility transistors (HEMTs) for the enhancement of breakdown voltage (VBR) characteristics using a TCAD simulation. The effect of device geometry on the device performance was explored by varying the device design parameters, such as the field plate length (LFP), gate-to-drain length (LGD), gate-to-source length (LGS), gate length (LG), thickness of the Si3N4 passivation layer (Tox), thickness of the GaN channel (Tch), and AlGaN barrier (Tbarrier). The VBR was estimated from the off-state drain current versus the drain voltage (IDS–VDS) curve, and it exhibited a strong dependence on the length and thickness of the parameters. The optimum values of VBR for all the device’s geometrical parameters were evaluated, based on which, an optimized device geometry of the field-plated AlGaN/GaN HEMT structure was proposed. The optimized AlGaN/GaN HEMT structure exhibited VBR = 970 V at IGS = 0.14 A/mm, which was considerably higher than the results obtained in previous studies. The results obtained in this study could provide vital information for the selection of the device geometry for the implementation of HEMT structures.
1. Introduction
AlGaN/GaN high-electron mobility transistors (HEMTs) have attracted extensive attention for high-frequency and high-voltage applications owing to their excellent properties, such as the high electron mobility of their two-dimensional electron gas (2-DEG) channels, their wide energy band-gap, and their high breakdown field [1,2]. It is well known that the breakdown voltage (VBR) of power devices is one of the most important parameters for providing reliable performance for high-power applications; however, the reported values are considerably below the theoretical limit [3,4,5]. Hence, it is necessary to improve the VBR, especially without increasing the device’s size. Trew et al. reported a model that described the dependence of the VBR on the avalanche process associated with the maximum electric field generated at the gate edge toward the drain side, resulting in a drain-to-gate breakdown [6,7].
The high breakdown field of GaN allows high voltages to be sustained between the drain and the gate. However, because of the much higher critical electric field of AlGaN, an early breakdown occurs near the heterointerface [8]. Various edge termination techniques, such as floating gates, field modulating plates, source-extended field plates, and multiple field plates, have been proposed to achieve a high VBR and improve the device performance in AlGaN/GaN HEMTs [9,10,11]. To enhance the device’s performance for high-voltage power devices and microwave applications, GaN-based HEMTs were developed using field-plate technology, through which tremendous improvements in the VBR and power densities were demonstrated [1,12,13,14,15,16]. The field plate is an extension of the gate deposited onto the passivation layer toward the drain side to minimize the electric field at the AlGaN surface. This leads to a reduction in the DC-to-RF dispersion, resulting in an increase in the VBR [17]. Berzoy et al. [18] demonstrated an improvement in the VBR in an AlGaN/GaN HEMT structure through the inclusion of various field plates on their structures. They reported an optimum VBR of 880 V at a gate current of 40 A/mm for the best field plate case.
In addition to the field plate dimension, the device’s geometrical parameters, such as the gate length (LG), gate width (W), source-drain distance (LSD), source-gate separation (LGS), gate-drain separation (LGD), thicknesses of the Si3N4 passivation layer (Tox), GaN channel (Tch), and AlGaN barrier (Tbarrier) can significantly affect the device’s characteristics. These parameters are correlated with and affected by each other. In other words, all the geometrical parameters should be tuned to achieve high performance GaN-based HEMTs with field plates. Nevertheless, reports on the effect of the device’s geometry on device performance are limited. For instance, as summarized in Table 1, previous reports mainly investigated the effects of a few device geometrical parameters, such as LGD, LG, and field plate length (LFP), on the operational characteristics of HEMTs, mainly in terms of VBR. Unlike previous simulation studies, which focused primarily on the structural optimization of HEMTs by changing the limited number of geometrical parameters, the present work performed an extensive and systematic investigation of the impact of all the possible device design parameters, such as LG, W, LSD, LGS, LGD, Tox, Tch, and Tbarrier on the DC output and VBR characteristics of the field-plated AlGaN/GaN HEMTs, using technology computer aided design (TCAD) simulations. In the present study, the simulation was performed by varying one of the geometrical parameters of the field-plated AlGaN/GaN HEMT structure, while keeping the other geometrical parameters constant. Based on the simulation results, we propose an AlGaN/GaN HEMT structure with optimized device geometry to achieve the best possible device performance in terms of VBR. In addition, a simulation of the output characteristics, transfer curve, and transconductance was performed. The optimized AlGaN/GaN HEMT structure exhibited a VBR of 970 V at IGS = 0.14 A/mm. The recorded values of the on-resistance and the power device figure of merit (FOM), defined by VBR2/RON [19], were 3.12 Ω·cm and 0.3 MV2/Ω·cm, respectively. It should be noted that the operational behavior of the devices simulated by varying the key device geometrical parameters, i.e., LGD, LG, and LFP, showed a similar tendency to previous works. In other words, a thorough comparison of the simulated results demonstrated in this work exhibited a close match with the previously reported experimental and simulated results. This implies that the accuracy, along with the validation, of our simulation approach is sufficient to provide verification of the results, although the present study does not include any experimental verification [20]. Furthermore, the AlGaN/GaN HEMT structure proposed can be achieved from a technological standpoint, of which optimization with realistic means is intricate, expensive, and time consuming. The optimized device design parameters obtained from the simulation in this study provide a potential guideline for the development of high-performance AlGaN/GaN HEMTs.
Table 1.
VBR comparison of the various HEMT dimensions of the device structure (S: Simulation, E: Experiment).
2. Materials and Methods
The schematic cross-section of the field-plated AlGaN/GaN HEMT structure used for the simulation and the corresponding energy band profile is shown in Figure 1. It was obtained using two-dimensional (2D) TCAD device simulator software. The transistor structure consisted of a 2 µm undoped GaN buffer layer on a sapphire substrate, a 200 nm thick GaN channel, and a 15 nm thick Al0.28Ga0.72N barrier layer [27]. The doping concentration of the GaN channel layer and AlGaN barrier layer were assumed to be 1015 cm−3 and 5 × 1016 cm−3, respectively, which is similar to those reported in Refs. [16,21,23,27]. The Al0.25Ga0.75N barrier layer provides an appropriate confinement of electrons towards the channel from the top. Without intentional doping, a huge number of electrons appears at the GaN channel due to piezoelectric and spontaneous polarization effects, resulting in two-dimensional electron gas (2DEG), as shown in Figure 1b. Si3N4 was used as the dielectric because it exhibits a high dielectric constant and good breakdown strength, and helps to avoid the cross-talk and noise interference from the atmosphere [23]. The gate field plate was deposited on the Si3N4 passivation layer, and the surface state at the interface between the passivation film and AlGaN was neglected. The source and drain ohmic contacts were formed on the 50 nm thick n-type GaN layer with a doping concentration of 5 × 1019 cm−3 grown on the GaN channel. The simulations were performed using a 2D device simulator and Atlas TCAD device software. The material parameters used in the simulation are listed in Table 2 [16,21,23,27]. The gate electrode formed for the proposed structure was assumed to be metal, with a work function of 5.23 eV. The Newton method was used to solve the built-in equations in the Atlas TCAD, such as the transport equation, and Poisson’s equation. The simulations were performed by varying the various device geometrical parameters, such as the LFP, LGD, LGS, LG, Tox, Tch, and Tbarrier. The VBR was calculated from the off-state drain current versus drain voltage (IDS–VDS) curve with a gate bias of VG = −6 V. The VBR was determined as the drain voltage for a drain current of 1 mA/mm. Following the simulation results, the values of the geometrical parameters were optimized. These optimized parameter values are included in the caption of Figure 1.
Figure 1.
(a) Schematic cross-sectional 2D structure of the AlGaN/GaN HEMT on an insulation substrate with a single-gate field plate (device dimensions of the optimized device structure: LGS = 2 µm, LGD = 5 µm, LG = 1.5 µm, LFP = 1.5 µm, Si3N4 passivation layer thickness (Tox = 200 nm), GaN channel layer thickness (Tch = 200 m), GaN buffer layer (Tbuffer = 2 µm), AlGaN barrier layer (Tbarrier = 15 nm), and gate width (Wg = 200 µm)), and (b) the corresponding energy band profile.
Table 2.
Physical parameter of AlGaN/GaN used in Atlas TCAD simulation [16,21,23,27].
3. Results and Discussion
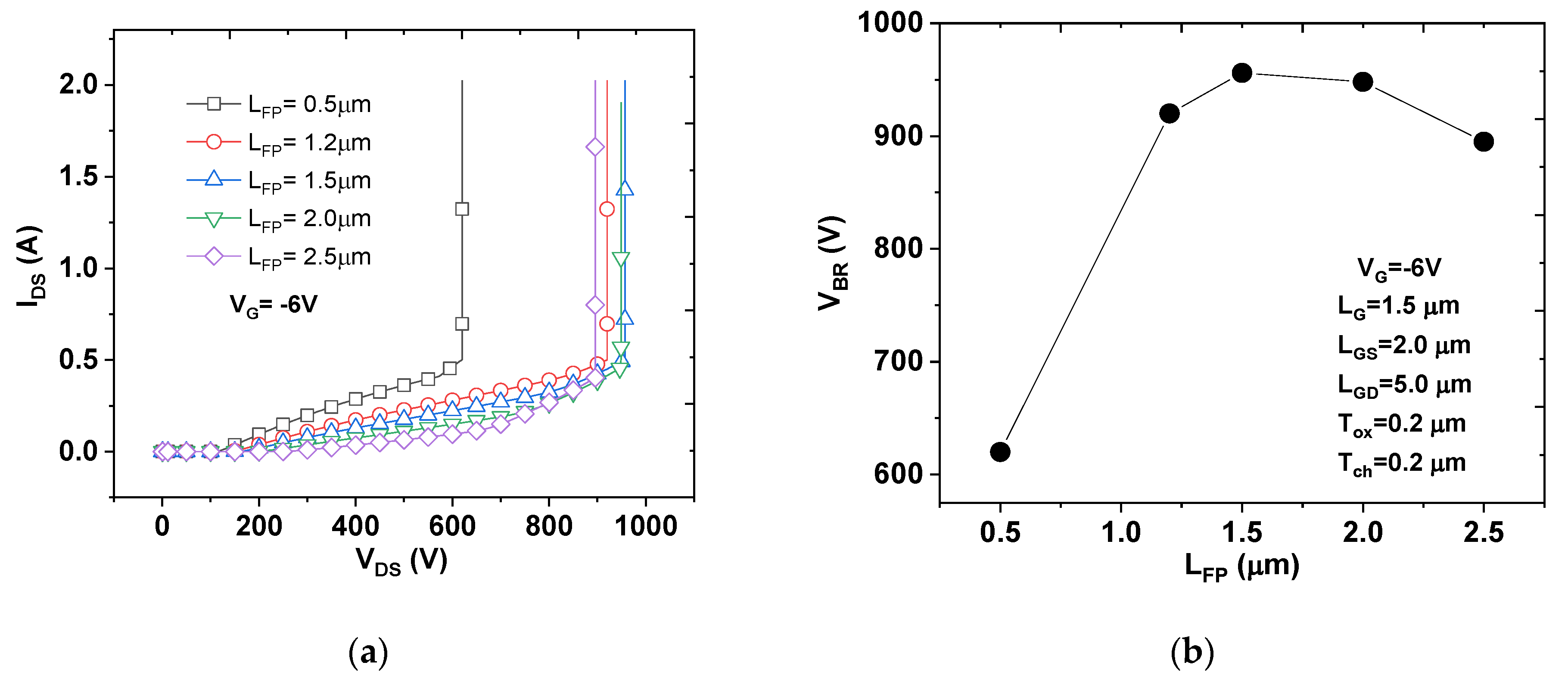
In this study, a TCAD simulation was performed for an AlGaN/GaN HEMT structure, shown in Figure 1, by varying the dimensions of the lateral device geometry. It is well known that the length of the various geometries of the HEMT structure affects the device’s performance and VBR. The field plate connected to the gate was introduced to modify the electric field at the gate edge on the drain side, which significantly suppressed the effect of the surface traps and increased the VBR of the HEMT devices [1]. The VBR is directly related to the LFP because the extension of the gate edge point redistributes the peak electric field in the channel layer and reduces the electron punch-through effect. A simulation of the effect of the LFP on the VBR was carried out for the proposed HEMT structure, as shown in Figure 1. The results are depicted in Figure 2 as a function of LFP varying in the range of 0.5–2.5 µm, with the other geometrical parameters constant. It was observed that the VBR increased along with the increase in LFP until it reached a value of 1.5 µm, at a maximum VBR of 956 V. This increase in VBR with an increase in LFP was associated with the formation of a depletion layer under the field plate electrode, which reduces the electric field strength at the gate on the drain side [10]. However, a further increase in the LFP beyond 1.5 µm led to a reduction in the value of the VBR, which was attributed to the increase in the electric field-driven impact ionization process at the drain side of the field plate edge [21,28]. Furthermore, a longer field plate extension increased the main electric field peak under the field plate edge, resulting in an increase in the gate capacitance and a decrease in the VBR [16].
Figure 2.
(a) IDS–VDS characteristic curve at bias VGS = –6 V, and (b) VBR at various values of LFP.
It is well known that the LGD affects the VBR characteristics of HEMTs, and an increase in the LGD leads to an increase in the VBR of the device, which is associated with the higher spacing [29]. Figure 3a shows the breakdown characteristics of the AlGaN/GaN HEMTs at various values of LGD varying in the range of 3–15 µm. Figure 3b shows the variation in the VBR with respect to the LGD. It is evident that the VBR increased along with the increase in the LGD. This may have been associated with the reduction in the peak electric field at the gate edge of the drain side. However, VBR strongly depends on the electric field at the gate field-plate edge on the drain side. Further, it can be observed from Figure 3a that the breakdown occurred at IDS = 0.5 A, regardless of the LGD. Figure 3 shows the VBR characteristics for the field-plated AlGaN/GaN HEMT, with the device’s structure shown in Figure 1a, as a function of varying gate-drain lengths in the range of 3–15 µm at VGS = −6 V. It is noteworthy that the drain current remained constant until a voltage of 400 V, regardless of the LG. However, for LGD = 3 µm, the current increased drastically for voltages greater than 400 V. For the AlGaN/GaN HEMT, the current levels were sustained until higher voltages, which increased with an increase in the LGD. From Figure 3b, it can be observed that the VBR increased to 600 V, 900 V, 1150 V, and 1175 V, with an increase in the LGD of 3 µm, 5 µm, 10 µm, and 15 µm. The VBR increased proportionally with the increase in the LGD when the breakdown was primarily due to the high electric field at the drain side of the gate edge. As the LGD increased, the electric field at the gate edge reduced, with an increase in the distance between the gate and the drain. The breakdown voltage increased along with the increase in the LGD associated with the increased parasitic channel resistance [30].
Figure 3.
(a) IDS–VDS characteristic curve at bias VGS = –6 V, and (b) VBR at various values of LGD.
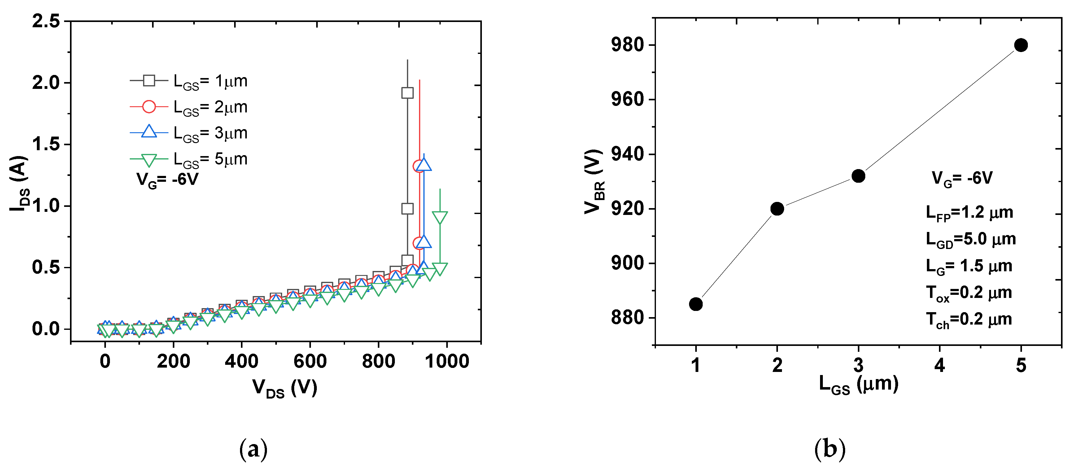
Figure 4 displays the VBR curves of the AlGaN/GaN HEMT at various values of LGS varying from 1 µm to 5 µm. Figure 4b depicts the values of VBR with the variation in LGS at VG = −6 V. It is notable that the impact of the LGS on the IDS was negligible. The VBR increased along with the increase in the LGS at VG = −6 V, resulting in the extraction of higher output power. Unlike an increase in LGD, an increase in LGS does not increase the width of the leakage path. This is because at high leakage, the current flows primarily through the source terminal, and not the source-side channel. Therefore, an increase in the LGS will lead to an increase in the resistance of the bugger layer, resulting in an increase in the VBR. This could be associated with the increase in the space between the source and gate, enabling the distribution of the electric field over a wider area. As shown in Figure 4, the LGS increased as a function of VBR. As shown in the plot of the simulation results, the VBR increased along with the increases in the LGS of 1 µm, 2 µm, 3 µm, and 5 µm at VG = −6 V, which then increased to 885 V, 920 V, 930 V, and 980 V, respectively. The enhancement in the electric field with the spacer between the source and the gate resulted in the improvement of the VBR performance. The optimization of LGS has a significant impact on the VBR of the device. This is because of the source-injection buffer leakage, in contrast to the decrease in VBR caused by the increase in LGD, with the decrease in the width of the current flow.
Figure 4.
(a) IDS–VDS characteristic curve at bias VGS = –6 V, and (b) VBR at various values of LGS.
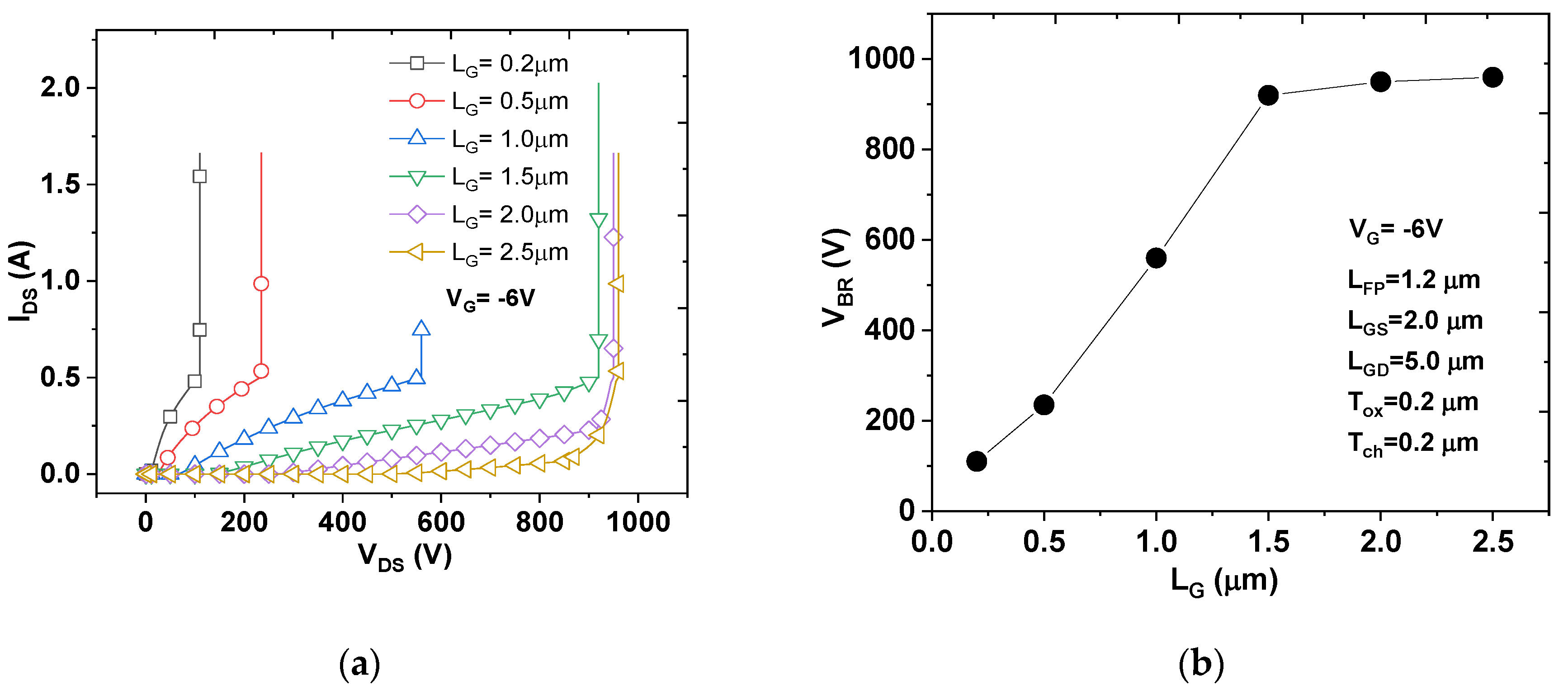
Figure 5a shows the VBR characteristics of the AlGaN/GaN HEMTs as a function of LG varying from 0.2 µm to 2.5 µm. As the LG increased, the area of the gate electrode increased, while the areas of the source and drain electrodes remained the same. The leakage current decreased along with an increase in LG. As can observed in Figure 5b, the VBR increased along with the increase in LG, varying in the range of 110–960 V, with the LG varying in the range of 0.2–2.5 µm. Furthermore, the current levels were lowered significantly with the increase in LG. This could be due to the fact that an increase in LG suppresses the punch-through and improves VBR [31]. In addition, a higher value of LG lowers the impact ionization at the gate edge on the drain side, which significantly lowers the leakage current. Additionally, a higher value of LG effectively suppresses the drain-induced barrier lowering [32].
Figure 5.
(a) IDS–VDS characteristic curve at bias VGS = –6 V, and (b) VBR at various values of LG.
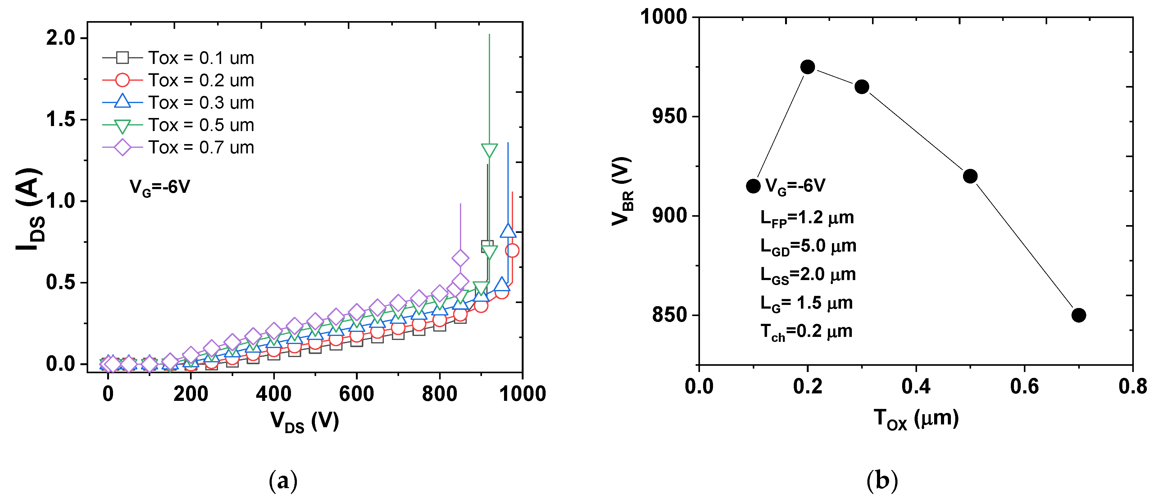
The VBR behavior of the AlGaN/GaN heterostructure field-plated HEMT as a function of the thickness of the Si3N4 insulator passivation layer was investigated through simulation. Figure 6a shows the variation in the VBR of the AlGaN/GaN HEMTs as a function of the Si3N4 thickness in the range of 0.1–0.7 µm. It is noteworthy that the leakage current increased along with the increase in Si3N4 thickness. By contrast, it can be observed from Figure 6b that the VBR of the HEMT increased initially, exhibiting a higher value of 970 V for the Si3N4 layer with a thickness of 0.2 µm, followed by a drastic decrease in the VBR along with increasing thickness of the Si3N4 insulator passivation layer. Generally, in the case of an insulator layer with thickness at the lower end of a certain thickness range, the electric field is concentrated at the field plate edge. Conversely, for a layer with maximum thickness, the field concentration is at the gate edge [17]. For a layer with an optimum thickness, the field is distributed between the gate edge and the field plate edge. The observed decrease in the VBR with an increase in the thickness above 0.2 µm (the optimum thickness) implies that the nitride layer used was extremely thick and the field plate was far away from the semiconductor, so that the field plate did not have any effect on the electric field distribution. This demands the optimization of the thickness of the insulator passivation layer to produce a high-performance AlGaN/GaN HEMT.
Figure 6.
(a) IDS–VDS characteristic curve at bias VGS = –6 V, and (b) VBR at various values of thickness of the Si3N4 under the field plate (Tox).
Figure 7a shows the VBR characteristics of the AlGaN/GaN HEMT as a function of the GaN channel layer thickness (Tch) varying between 100 nm, 200 nm, 500 nm, 1000 nm, and 2000 nm. From Figure 7a, it can be seen that the leakage current increased along with the increase in the channel layer thickness. This resulted in a decrease in the VBR, as shown in Figure 7b. This increase in leakage current with an increase in the channel layer thickness was associated with the wider current path and higher 2DEG concentration resulting from the thicker channel region. This lowered the channel resistance, which tends to lower the VBR. Furthermore, the decrease in VBR might have been associated with the increase in the drain-induced barrier lowering with an increase in the channel thickness. In addition, the deterioration of the gate control causes higher punch-through leakage [33].
Figure 7.
(a) IDS–VDS characteristic curve at bias VGS = –6 V, and (b) VBR at various values of thickness of the GaN channel (Tch).
Figure 8a shows the VBR characteristic curves of the AlGaN/GaN HEMTs as a function of the AlGaN barrier layer thickness varying in the range of 10–35 nm. It was observed that the drain current increased slightly along with the increase in the thickness of the AlGaN barrier layer. A total of VBR = 860 V was obtained for the AlGaN/GaN HEMT (Figure 8b) with an AlGaN barrier layer thickness of 10 nm. The VBR increased to 935 V along with the increase in the thickness of the AlGaN barrier layer to 15 nm, and subsequently decreased along with the increase in the thickness of the AlGaN barrier layer. This implies that the critical value of the thickness of the AlGaN barrier layer is 15 nm for effective device operation. The decrease in the VBR below a certain critical value of the thickness of the AlGaN barrier layer could be explained as follows. For the AlGaN/GaN HEMT with low AlGaN barrier thickness, the surface donor-like trap level was below the Fermi level. At the critical barrier thickness, the surface traps reached the Fermi level and the electrons from these traps were driven into the channel by the strong polarization-induced electric field in AlGaN, creating the 2DEG and leaving behind the positive charge [34]. Until all the surface traps were empty, the Fermi level remained essentially at the donor energy and an increase in the number of electrons transferred with an increase in the barrier thickness. As the negative voltage was increased, the electrons from the gate might have leaked into the trap states in the ungated surfaces and created a “virtual gate” modulating the depletion region. This abrupt change in the gate voltage led to the RF drain current collapse phenomenon.
Figure 8.
(a) IDS–VDS characteristic curve at bias VGS = –6 V, and (b) VBR at various values of thickness of the AlGaN barrier (Tbarrier).
The simulated output and transfer characteristics of the proposed field-plated AlGaN/GaN HEMT structure shown in Figure 1, with an optimized geometry of LGS = 2 µm, LG = 1.5 µm, LGD = 5 µm, Tox = 0.2 µm, and LFP = 1.5 µm, are presented in Figure 9a,b, respectively. The IDS–VDS characteristics in Figure 9a are shown as a function of VGS varying from –4 V to +1 V in steps of 1 V. It can be noted that the current increased distinctly along with the increase in VGS. The drain current IDS was 186 mA/mm at 14 V for VGS = 0 V. Figure 9b displays the corresponding transfer characteristic and transconductance curve at VDS = 10 V. The device exhibited a Vth of approximately −4 V, Imax of 310 mA/mm at VGS = 2 V, and a peak transconductance (Gm) of 70 mS/mm at VGS = 1 V. The VBR of the optimized device structure with the gate bias was maintained at −6 V, and the device displayed a value of 970 V at IGS = 0.14 A/mm, as shown in Figure 9c. The various values obtained from the optimized AlGaN/GaN HEMT structure are mentioned in Figure 1 and the results are presented in Table 2. An on-resistance (RON) of 3.12 Ω cm, determined by the slope of the IDS–VDS curve at VGS = 0 V, and the power device figure of merit (FOM) of 0.3 MV2/Ω cm, are comparable with the results obtained from the simulated and experimentally fabricated devices possessing various HEMT structures reported earlier.

Figure 9.
Optimized AlGaN/GaN HEMT structure (a) IDS–VDS characteristic curve at bias VDS = 10 V, (b) IDS and gm versus VGS characteristic curve, and (c) IGS versus VBR or VDS characteristic curve.
4. Conclusions
The impact of device geometry and the thickness of the channel and barrier layer on the VBR characteristics of field-plated AlGaN/GaN high-electron mobility transistors (HEMTs) was explored using Atlas TCAD numerical simulation. The effect of device geometry was investigated by varying the parameters, such as the LFP, LGD, LGS, LG, Tox, Tch, and Tbarrier. The VBR strongly depends on the length and thickness of the aforementioned parameters. Based on the optimum VBR values obtained for all the geometrical parameters, an optimized device geometry of the field-plated AlGaN/GaN HEMT structure was proposed following a simulation of the output, transfer characteristics, and transconductance. A VBR of 970 V was obtained at IGS = 0.14 A/mm for the optimized AlGaN/GaN HEMT structure. This optimized device geometry of the proposed AlGaN/GaN HEMT structure could be useful for the implementation of HEMT-structured AlGaN/GaN heterostructures.
Author Contributions
Conceptualization, S.P. and V.J.; methodology, S.P.; formal analysis, S.P., V.J., T.-H.J. and J.P.; writing—original draft preparation, S.P.; writing—review and editing, K.-H.S. and C.-J.C.; supervision, K.-H.S. and C.-J.C. All authors have read and agreed to the published version of the manuscript.
Funding
This study was supported by the Korea Evaluation Institute of Industrial Technology (KEIT) grant (Project No. 20004314), funded by the Ministry of Trade, Industry and Energy, Republic of Korea, and by the Korea Electric Power Corporation (Grant number: R20XO01-10).
Conflicts of Interest
The authors declare no conflict of interest. The funding agencies had no role in the decision to publish the results.
References
- Cho, K.-H.; Kim, Y.-S.; Lim, J.; Choi, Y.-H.; Han, M.-K. Design of AlGaN/GaN HEMTs employing mesa field plate for breakdown voltage enhancement. Solid State Electron. 2010, 54, 405–409. [Google Scholar] [CrossRef]
- Wang, X.; Huang, S.; Zheng, Y.; Wei, K.; Chen, X.; Zhang, H.; Liu, X. Effect of GaN channel layer thickness on DC and RF performance of GaN HEMTs with composite AlGaN/GaN buffer. IEEE Trans. Electron Devices 2014, 61, 1341–1346. [Google Scholar] [CrossRef]
- Lee, Y.; Yao, Y.; Huang, C.; Lin, T.; Cheng, L.; Liu, C.; Wang, M.; Hwang, J. High breakdown voltage in AlGaN/GaN HEMTs using AlGaN/GaN/AlGaN quantum-well electron-blocking layers. Nanoscale Res. Lett. 2014, 9, 433. [Google Scholar] [CrossRef] [PubMed]
- Dora, Y.; Chakraborty, A.; McCarthy, L.; Keller, S.; DenBaars, S.P.; Mishra, U.K. High Breakdown Voltage Achieved on AlGaN/GaN HEMTs With Integrated Slant Field Plates. IEEE Electron Device Lett. 2006, 27, 713–715. [Google Scholar] [CrossRef]
- Liao, B.; Zhou, Q.; Qin, J.; Wang, H. Simulation of AlGaN/GaN HEMTs’ breakdown voltage enhancement using gate field-plate, source field-plate and drain field plate. Electronics 2019, 8, 406. [Google Scholar] [CrossRef]
- Zhang, N.Q.; Keller, S.; Parish, G.; Heikman, S.; BenBaars, S.P.; Mishra, U.K. High breakdown in GaN HEMT with overlapping gate structure. IEEE Electron Device Lett. 2000, 21, 421–423. [Google Scholar] [CrossRef]
- Trew, R.J.; Mishra, U.K. Gate breakdown in MESFET’s and HEMT’s. IEEE Electron Device Lett. 1991, 12, 524–526. [Google Scholar] [CrossRef]
- Zhang, P.; Zhao, S.-L.; Hou, B.; Wang, C.; Zheng, X.-F.; Ma, X.-H.; Zhang, J.-C.; Hao, Y. Improvement of the off-state breakdown voltage with field plate and low-density drain in AlGaN/GaN high-electron mobility transistors. Chin. Phys. B 2015, 24, 037304. [Google Scholar] [CrossRef]
- Wu, Y.F.; Moore, M.; Wisleder, T.; Chavarkar, P.M.; Mishra, U.K.; Parikh, P. High Gain Microwave GaN HEMTs with Source-Terminated Field-Plates. In Proceedings of the IEDM Technical Digest. IEEE International Electron Devices Meeting, San Francisco, CA, USA, 13–15 December 2004. [Google Scholar] [CrossRef]
- Ando, Y.; Okamoto, Y.; Miyamoto, H.; Nakayama, T.; Inoue, T.; Kuzuhara, M. 10-W/mm AlGaN-GaN HFET with a field modulating plate. IEEE Electron Device Lett. 2003, 24, 289–291. [Google Scholar] [CrossRef]
- Ando, Y.; Wakejima, A.; Okamoto, Y.; Nakayama, T.; Ota, K.; Yamanoguchi, K.; Murase, Y.; Kasahara, K.; Matsunaga, K.; Inoue, T.; et al. Novel AlGaN/GaN Dual-field-plate FET with high gain, increased linearly and stability. In Proceedings of the IEEE International Electron Devices Meeting, Washington, DC, USA, 5 December 2005. [Google Scholar] [CrossRef]
- Lee, J.G.; Lee, H.J.; Cha, H.Y. Field plated AlGaN/GaN-on-Si HEMTs for high voltage switching applications. J. Korean Phys. Soc. 2011, 59, 2297–2300. [Google Scholar] [CrossRef][Green Version]
- Kumar, V.; Chen, G.; Guo, S.; Adesida, I. Field-plated 0.25-μm gate-length AlGaN/GaN HEMTs with varying field-plate length. IEEE Trans. Electron Devices 2006, 53, 1477–1480. [Google Scholar] [CrossRef]
- Remashan, K.; Huang, W.P.; Chyi, J.I. Simulation and fabrication of high voltage AlGaN/GaN based Schottky diodes with field plate edge termination. Microelectron. Eng. 2007, 84, 2907–2915. [Google Scholar] [CrossRef]
- Kaddeche, M.; Telia, A.; Soltani, A. Analytical modeling and analysis of Al m Ga1−m N/GaN HEMTs employing both field-plate and high-k dielectric stack for high-voltage operation. J. Comput. Electron. 2013, 12, 501–510. [Google Scholar] [CrossRef]
- Karmalkar, S.; Mishra, U. Enhancement of breakdown voltage in AlGaN/GaN high electron mobility transistors using a field plate. IEEE Trans. Electron Devices 2001, 48, 1515–1521. [Google Scholar] [CrossRef]
- Karmalkar, S.; Shur, M.S.; Simin, G.; Asif Khan, M. Field-plate engineering for HFETs. IEEE Trans. Electron Devices 2005, 52, 2534–2540. [Google Scholar] [CrossRef]
- Berzoy, C.; Lashway, R.; Moradisizkoohi, H.; Mohammed, O.A. Breakdown voltage improvement and analysis of GaN HEMTs through field flate inclusion and substrate removal. In Proceedings of the 2017 IEEE 5th Workshop on Wide Bandgap Power Devices and Applications (WiPDA), Albuquerque, NM, USA, 30 October–1 November 2017. [Google Scholar] [CrossRef]
- Anand, M.J.; Ng, G.I.; Arulkumaran, S.; Wang, H.; Li, Y.; Vicknesh, S.; Egawa, T. Low Specific ON-resistance and High Figure-of-Merit AlGaN/GaN HEMTs on Si substrate with Non-Gold Metal Stacks. In Proceedings of the 71st Device Research Conference, Notre Dame, IN, USA, 23–26 June 2013. [Google Scholar] [CrossRef]
- Ghione, G. Looking for Quality in TCAD-Based Papers. IEEE Trans. Electron Device 2019, 8, 3252–3253. [Google Scholar] [CrossRef]
- Saito, W.; Kuraguchi, M.; Takada, Y.; Tsuda, K.; Omura, I.; Ogura, T. Design Optimization of High Breakdown Voltage AlGaN–GaN Power HEMT on an Insulating Substrate for RONA–VB Tradeoff Characteristics. IEEE Trans. Electron Device 2005, 52. [Google Scholar] [CrossRef]
- Zhu, L.; Wang, J.; Jiang, H.; Wang, H.; Wu, W.; Zhou, Y.; Dai, G. Theoretical Analysis of Buffer Trapping Effects on off-State Breakdown between Gate and Drain in AlGaN/GaN HEMTs. In Proceedings of the 2016 International Conference on Integrated Circuits and Microsystems (ICICM), Chengdu, China, 23–25 November 2016. [Google Scholar] [CrossRef]
- Nirmal, D.; Arivazhagan, L.; Fletcher, A.A.S.; Ajayan, J.; Prajoon, P. Current collapse modeling in AlGaN/GaN HEMT using small signal equivalent circuit for high power application. Superlattices Microstruct. 2018, 113, 810–820. [Google Scholar] [CrossRef]
- Wang, L.; Wang, S.; Tan, C.; Ye, H.; Luo, H.; Chen, X. The Breakdown Voltage of AlGaN/GaN HEMT is Restricted to The Structure Parameters of The Device: A Study Based on TCAD. In Proceedings of the 2018 19th International Conference on Electronic Packaging Technology (ICEPT), Shanghai, China, 8–11 August 2018. [Google Scholar] [CrossRef]
- Bhavana, P.; Mishra, S.; Karmalkar, S. Analysis of the Significant Rise in Breakdown Voltage of GaN HEMTs from Near-Threshold to Deep Off-State Gate Bias Conditions. IEEE Trans. Device Mater. Relibility 2019, 19, 766–773. [Google Scholar] [CrossRef]
- Fletcher, A.A.S.; Nirmal, D.; Ajayan, J.; Arivazhagan, L. Analysis of AlGaN/GaN HEMT using discrete field plate technique for high power and high frequency applications. Int. J. Electron. Commun. 2019, 99, 325–330. [Google Scholar] [CrossRef]
- Jebalin, B.K.; Rekh, S.A.; Prajoon, P.; Kumar, M.N.; Nirmal, D. The influence of high-k passivation layer on breakdown voltage of Schottky AlGaN/GaN HEMTs. Microelectron. J. 2015, 46, 1387–1391. [Google Scholar] [CrossRef]
- Kabemura, T.; Ueda, S.; Kawada, Y.; Horio, K. Enhancement of Breakdown Voltage in AlGaN/GaN HEMTs: Field plate Plus High-k Passivation layer and High Acceptor density in Buffer Layer. IEEE Trans. Electron Devices 2018, 65, 3848–3854. [Google Scholar] [CrossRef]
- Neha, N.; Kumari, V.; Gupta, M.; Saxena, M. Simulation based breakdown voltage analysis of 3-step field plate AlGaN/GaN HEMT. In Proceedings of the 2018 4th International Conference on Devices, Circuits and Systems (ICDCS), Coimbatore, India, 16–17 March 2018. [Google Scholar] [CrossRef]
- Baliga, B.J. Trends in power semiconductor devices. IEEE Trans. Electron. Devices 1996, 43, 1717–1731. [Google Scholar] [CrossRef]
- Uren, M.; Nash, K.; Balmer, R.; Martin, T.; Morvan, E.; Caillas, N.; Delage, S.; Ducatteau, D.; Grimbert, B.; De Jaeger, J. Punch-through in short-channel AlGaN/GaN HFETs. IEEE Trans. Electron. Devices 2006, 53, 395–398. [Google Scholar] [CrossRef]
- Luo, J.; Zhao, S.-L.; Mi, M.-H.; Chen, W.-W.; Hou, B.; Zhang, J.-C.; Ma, X.-H.; Hao, Y. Effect of gate length on breakdown voltage in AlGaN/GaN high-electron-mobility transistor. Chin. Phys. B 2016, 25, 027303. [Google Scholar] [CrossRef]
- Xiao-Hua, M.; Ya-man, Z.; Xin-Hua, W.; Ting-Ting, Y.; Lei, P.; Wei-Wei, C.; Xin-Yu, L. Breakdown mechanisms in AlGaN/GaN high electron mobility transistors with different GaN channel thickness values. Chin. Phys. B 2015, 24, 027101. [Google Scholar] [CrossRef]
- Ibbetson, J.P.; Fini, P.T.; Ness, K.D.; DenBaars, S.P.; Speck, J.S.; Mishra, U.K. Polarization effects, surface states, and the source of electrons in AlGaN/GaN heterostructure field effect transistors. Appl. Phys. Lett. 2000, 77, 250–252. [Google Scholar] [CrossRef]
Publisher’s Note: MDPI stays neutral with regard to jurisdictional claims in published maps and institutional affiliations. |
© 2021 by the authors. Licensee MDPI, Basel, Switzerland. This article is an open access article distributed under the terms and conditions of the Creative Commons Attribution (CC BY) license (https://creativecommons.org/licenses/by/4.0/).









