Next Article in Journal
Blockchain-Based Smart Propertization of Digital Content for Intellectual Rights Protection
Next Article in Special Issue
Optimization of the Spectrum Splitting and Auction for 5th Generation Mobile Networks to Enhance Quality of Services for IoT from the Perspective of Inclusive Sharing Economy
Previous Article in Journal
Two-Dimensional Monte Carlo Filter for a Non-Gaussian Environment
Previous Article in Special Issue
Zero-Keep Filter Pruning for Energy/Power Efficient Deep Neural Networks
 
 
Font Type:
Arial Georgia Verdana
Font Size:
Aa Aa Aa
Line Spacing:
Column Width:
Background:
Article

On the Symbol Error Probability of STBC-NOMA with Timing Offsets and Imperfect Successive Interference Cancellation

by
Muhammad Waseem Akhtar
1,
Syed Ali Hassan
1 and
Haejoon Jung
2,*
1
School of Electrical Engineering and Computer Science (SEECS), National University of Sciences and Technology (NUST), H-12, Islamabad 44000, Pakistan
2
Department of Information and Telecommunication Engineering, Incheon National University, Incheon 22012, Korea
*
Author to whom correspondence should be addressed.
Electronics 2021, 10(12), 1386; https://doi.org/10.3390/electronics10121386
Submission received: 13 May 2021 / Revised: 4 June 2021 / Accepted: 8 June 2021 / Published: 9 June 2021
(This article belongs to the Special Issue Advanced Communication Techniques for 5G and Internet of Things)

Abstract

Due to the ability to handle a large number of users, low latency, and high data rates, NON-orthogonal multiple access (NOMA) is considered a promising access technology for next-generation communication systems. However, as the number of users increases, each user experiences a greater number of successive interference cancellations (SIC), causing the system’s performance to decline. With the increase in the number of users, the fraction of power allocated to each user becomes smaller. Cooperative communication in downlink NOMA is considered as a potential approach to enhance the reliability, capacity, and performance over wireless channels. Space-time block code (STBC)-aided cooperative NOMA (CNOMA) offers an opportunity to improve the weak users’ signal-to-interference-plus-noise (SINR) through strong user cooperation. In this paper, we study the symbol error probability (SEP) performance of the STBC-NOMA and derive the asymptotic expression for SEP when the network is impaired with imperfect SIC (ipSIC) and timing offsets. The simulation results show that the performance of STBC-NOMA was degraded significantly with an increase in the imperfection of SIC and timing errors and that traditional orthogonal access schemes, such as orthogonal frequency division multiple access (OFDMA) and time division multiple access (TDMA), should be used after a threshold SIC level.

1. Introduction

With the enormous growth in the number of mobile devices, it is crucial to develop a new access scheme with high capacity, high spectral efficiency, and low latency, so that it can support a large number of devices with higher data rates. For this reason, non-orthogonal multiple access (NOMA) is proposed to have all the desired properties as a promising access technology for beyond fifth-generation (B5G) and sixth-generation (6G) communication systems [1,2,3]. Unlike orthogonal multiple access (OMA) systems, such as time division multiple access (TDMA) and frequency division multiple access (FDMA), NOMA assigns all users the entire resource block (i.e., the time and frequency band) simultaneously, and the users are distributed in the power domain.
In NOMA, the users with high path losses are termed as the weak users, whereas the users with low path losses are termed as the strong users [4,5]. To maintain fairness among users, the weak users are assigned higher power, while the strong users are given low power. At the receiver side, a strong user applies successive interference cancellations (SICs) on the messages of the weak users, before extracting its own message [1,2,3,4,5]. However, for a greater number of users, it is challenging to handle a significantly large number of SICs in NOMA, which eventually limits the achievable efficiency and causes implementation issues.
To improve the performance of the weak users, several cooperation-based extensions of NOMA are proposed [6,7,8,9,10,11,12]. The concept of NOMA user cooperation was first proposed in [6], where all strong users sent the weak users a composite NOMA signal in subsequent time slots. In this method, the signal-to-interference-plus-noise-ratios (SINRs) of the weak users are vastly improved but at the expense of a greater number of SICs. Simultaneous wireless information and power transfer schemes were introduced in [7,13], where strong users served as data and energy harvesting relays for weak users.
The authors in [9] investigated the performance of fixed power allocation and cognitive radio NOMA-based cooperative schemes. A multicast cognitive radio-based NOMA was proposed in [10], in which multicast secondary users significantly improved the performance of the primary as well as secondary users. In [14], a space-time block code (STBC)-based cooperative NOMA (CNOMA) was proposed, which took advantage of the diversity of STBC codes while keeping the number of SICs constant during the STBC cooperation process. STBC-NOMA increased the overall system’s sum rate while holding the SIC number equal to that of the traditional NOMA.
The authors in [15] provided a comparative analysis of the performance of relay-based CNOMA schemes and proposed a spatial modulation-based novel cooperative scheme that outperformed the conventional cooperative relay selection NOMA and spatial modulation NOMA. The article [16] discussed the effect of power coefficient allocation on the performance of CNOMA. The authors in [17] analyzed the error performance of CNOMA in the presence of a channel estimation error. The authors showed that there was minimal improvement in the error performance of CNOMA with an increase in the transmit power when the channel estimation error was maintained below a certain level. The article [18] discussed the error performance of CNOMA at high interference constraints and high transmit power.
The authors in [19] analyzed the performance of a decode-and-forward CNOMA assuming Nakagami-m fading channels. They derived the bit error rate (BER) performance of downlink and uplink NOMA with imperfect SIC over fading channels. The symbol error probability (SEP) of the strong and weak users in device-to-device (D2D) CNOMA over the wired and wireless network was presented in [20]. The article [21] investigated the outage probability performance of relay-based CNOMA systems with a power splitting mechanism. The article [22] presents the BER performance of a NOMA user with a certain power setting and independent of the modulation schemes used by each user. The article [23] presents an STBC-based cooperation mechanism for NOMA schemes, termed STBC-NOMA, with imperfect SIC, timing offsets, and channel estimation errors.
The principle of cooperative communication emerges from the multiple-input multiple-output (MIMO). Space-time-block codes are also popular in cooperative communication for their efficient performance. We did not use the multiple antennas at the receiver in this research; however, we took advantage of the superposition properties of NOMA and employ STBC for cooperation with weak users. We focused on the scenario of cooperatively using multiple mobile devices.
The performance analysis of STBC-NOMA was well investigated in [24]. However, this analysis was mainly based on the outage probability. To the best of the authors’ knowledge, the BER analysis of STBC-NOMA is lacking in the literature. Symbol error rate (SER) (or BER) analysis is different from the outage probability analysis, in that SER analysis provides more insight into the quality-of-service (QoS) of the individual user, as it is directly related to the symbol level performance of the system, which is more crucial for practical system design. Whereas, the outage probability mainly targets the link-level performance of the system. We summarize the contributions based on the aforementioned discussion as follows:
  • To the best of our knowledge, this is the first work to study the asymptotic analysis of SEP of STBC-NOMA with practical impairments.
  • We derive the expressions for the asymptotic analysis of average SEP for perfect timing and perfect SIC, perfect timing and imperfect SIC, imperfect timing and perfect SIC, and imperfect timing and imperfect SIC.
  • We analyze the average SER performance of the individual user for higher-order modulation schemes, which provides more insight into the performance of the users at different target data rates.
  • We provide the SER performance for concrete channel models, i.e., Rayleigh and Rician fading channels.
  • We show that the performance degradation is more prominent for higher modulation schemes with timing offsets and other limiting factors, such as imperfect SIC.
  • We also provide the SER performance analysis for a higher number of users.
The rest of the paper is organized as follows. Section 2 defines the system model. An overview of the SEP performance analysis is given in Section 3. Section 4 presents the simulation results and, finally, the conclusions are drawn in Section 5.

2. System Model

We recall that the key principle behind the NOMA implementation is to allow a certain level of interference from other users’ messages and to subtract them at the receiver side from the composite NOMA signal using SIC before detecting its own signal. The users are discriminated against on the basis of the different power levels assigned to them.
The system model comprises a base station (BS) and U users. Each user and the BS are equipped with a single antenna. Unlike the BS, typical mobile devices cannot accommodate multiple antennas, due to hardware, power, and space limitations. Thus, in this case, a virtual antenna array can be created by the cooperation of multiple single-antenna nodes [6].
For this reason, in this paper, we focus on a scenario to exploit multiple mobile devices in a cooperative manner. It is noted that even with the limited space of mobile devices, it is possible to have a higher number of antennas at a higher frequency (e.g., millimeter-wave), which we leave for future study. Let u { 1 , 2 , 3 , , U } is the set of all users. User 1, u 1 , is considered to be the closest user to B S and is, thus, deemed the strongest user. The user U, u U , known as the weakest user is located at the farthest distance from the B S . G 1 represents the STBC transmitting user’s pair, whereas G 2 represents the STBC receiving user’s pair.
Two signals are received by each user in G 2 . One comes from the B S through the direct NOMA process and contains a composite NOMA signal, and the other comes from users in G 1 . As shown in Figure 1, the channel between the B S and the user u is represented by g u , whereas h j   j { 1 , 2 } is the channel between the second user of G 2 and the jth user in G 1 , respectively. Similarly, f j   j { 1 , 2 } is the channel between the first user of G 2 and jth user in G 1 , respectively. The channel between the B S and each user and between two users is considered as a flat fading Rayleigh channel.
The transmission is completed in two steps. The first step is the direct NOMA stage, in which the B S broadcasts to all users the composite NOMA signal given as
m n o m a = u = 1 U q u m u ,
where q u = a u Q n o m a is the transmit power form BS for the user u, a u is the coefficient of power allotted to user u, the power of the composite NOMA signal is represented by Q n o m a , and the information message for the user u is m u . In this work, we are mainly interested in determining the SEP performance of the weakest user, i.e., u U , from a fairness perspective. Therefore, we set the performance of the weakest user as a threshold for other users. As shown in Figure 1, u U receives two types of independent signals, one through the direct NOMA phase and the other through the STBC cooperation phase. The signal received in the direct NOMA transmission phase is given as
y U , D N = g U u = 1 U q u m u + n u ,
where g U is the channel between the BS and user U, q u is the power assigned to the user u, m u is the message of user u, and n u is additive white Gaussian noise (AWGN) at user u in the time slot t = 0 .
In the STBC cooperation phase, the first two strong users send the messages of next two weak users by making 2 × 2 STBC transmissions. The signals received at user 3 and user 4 in the STBC cooperation phase are given as
y ˜ 3 = ( | f 1 | 2 + τ 1 | f 2 | 2 ) m 3 + ( τ 1 1 ) f 1 * f 2 m 4 + τ 2 | f 2 | 2 m 4 * + f 1 * η 3 , 1 + f 2 η 3 , 2 * ,
and
y ˜ 4 = ( | h 1 | 2 + τ 1 | h 2 | 2 ) m 4 + ( 1 τ 1 ) h 1 h 2 * m 3 τ 2 h 1 h 2 * m 4 * + h 2 * η 4 , 1 h 1 η 4 , 2 * ,
respectively. The notations h 1 and h 2 represent the channel between user u 4 and the first and second users of the STBC transmitting pair, respectively. Similarly, f 1 and f 2 are the channels between user u 3 and the first and second users of the STBC transmitting pair, respectively. The variable η u , t is the additive noise at the user u in time slot t { 1 , 2 } . As shown in Figure 2, τ = τ 2 is the timing offset observed due to imperfections in the timing synchronization, and τ 1 + τ 2 = 1, while τ 2 { 0 , 1 } represents imperfect and perfect timing synchronization, respectively, and ( · ) * represents the complex conjugate.
On the receiver side, by applying SIC to the messages of the weak users, the strongest user detects its own message. The messages of weak users can be identified by powerful users. The strong users will, therefore, serve as relays to re-transmit the weak user’s messages. In phase 2, which is the Alamouti cooperation phase, the users in G 1 cooperate with the users in G 2 by means of the Alamouti transmission scheme, as shown in Figure 1. After applying the maximal ratio combining (MRC), the SINR with perfect SIC and imperfect timing synchronization at each user for 2 < u U is given by
γ u τ = | g u | 2 q u i = 1 u 1 | g u | 2 q i + σ 2 + ( α 1 2 + τ 1 α 2 2 ) 2 q s ( 1 τ 1 ) 2 α 1 2 α 2 2 + τ 2 2 α 1 2 α 2 2 + ( α 1 2 + α 2 2 ) σ 2 ,
= γ g + γ h 1 τ + γ h 2 τ + γ h 1 h 2 τ ,
where
γ g = | g u | 2 q u i = 1 u 1 | g u | 2 q i + σ 2 ,
γ h 1 τ = α 1 4 q s ( 1 τ 1 ) 2 α 1 2 α 2 2 + τ 2 2 α 1 2 α 2 2 + ( α 2 2 + α 2 2 ) σ 2 ,
γ h 2 τ = τ 1 2 α 2 4 q s ( 1 τ 1 ) 2 α 1 2 α 2 2 + τ 2 2 α 1 2 α 2 2 + ( α 1 2 + α 2 2 ) σ 2 ,
γ h 1 h 2 τ = 2 τ 1 α 1 2 α 2 2 q s ( 1 τ 1 ) 2 α 1 2 α 2 2 + τ 2 2 α 1 2 α 2 2 + ( α 1 2 + α 2 2 ) σ 2 .
For the perfect timing synchronization (i.e., τ = 0) and perfect SIC case, the SINR at the user u is given as
γ u = | g u | 2 q u i = 1 u 1 | g u | 2 q i + σ 2 + ( α 1 2 + α 2 2 ) q s σ 2 ,
= γ g + γ h 1 + γ h 2 ,
where α 1 2 = | h 1 | 2 and α 2 2 = | h 2 | 2 . Further, γ h 1 = α 1 2 q s σ 2 , γ h 2 = α 2 2 q s σ 2 , q i is the power of the ith interfering user, q s is the power transmitted in the cooperation phase by the STBC transmitting user pair, and σ 2 is the noise power.
For the case of imperfect SIC and perfect timing synchronizations, the SINR at each user is given as
γ u χ = | g u | 2 q u χ p j | g u | 2 + i = 1 u 1 | g u | 2 q i + σ 2 + ( α 1 2 + α 2 2 ) q s σ 2 ,
= γ g χ + γ h 1 + γ h 2 ,
where γ g χ = | g u | 2 q u χ p j | g | 2 + j = 1 u 1 | g u | 2 p j + σ 2 , and χ { 0 , 1 } represents the perfect and imperfect SIC performed at the receiver, respectively. Moreover, the interference power at the receiver due to imperfect SIC is p j . p j is the interference power received due to imperfect SIC. Similarly, the SINR with imperfect SIC and imperfect timing synchronization is given as
γ u χ , τ = | g u | 2 q u χ p j | g u | 2 + i = 1 u 1 | g u | 2 q i + σ 2 + ( α 1 2 + τ 1 α 2 2 ) 2 q s ( 1 τ 1 ) 2 α 1 2 α 2 2 + τ 2 2 α 1 2 α 2 2 + ( α 1 2 + α 2 2 ) σ 2 ,
= γ g χ + γ h 1 τ + γ h 2 τ + γ h 1 h 2 τ .
To evaluate the system performance with imperfect SIC and timing errors, we derive the SEP in the next section.

3. Symbol Error Probability (SEP) Analysis

In this section, we evaluate our system model by analyzing the SEP under two practical impairments such as imperfect SIC and timing offset. We focus on the SEP of User U because it has the worst channel conditions and is also affected by other issues. Then, we set the performance of User U as a benchmark for other users. We first evaluate our system model by considering a simple case of four users, and then generalize it for a higher number of users, i.e., u > 4 .
A decision variable z { g , h 1 , h 2 } is defined by applying MRC at each receiver. We define the SINR of the signal from the direct path and that from transmitting STBC user pair as γ g , γ h 1 , and γ h 2 . Further, γ g χ , and γ h 1 τ , γ h 2 τ , γ h 1 h 2 τ are the SINRs of the signal through direct path with imperfect SIC, SINRs of the signal through STBC transmission, and with imperfect timings synchronizations. For fixed values of g u , h j j { 1 , 2 } , the variable z is realized to be Gaussian for fixed values of g u   u { 1 , 2 , 3 , 4 } , and h j   j { 1 , 2 } , and the SEP is given as P e = Q ( M γ z ) , where M depends upon the type of modulation ( M = 2 for BPSK, M = 4 for quadrature phase shift keying (QPSK), M = 16 for 16-quadrature amplitude modulation (QAM), etc.) and Q ( x ) ( 1 / 2 π x e t 2 / 2 d t ) .
The Gaussians tail function on the distribution of z can be used to compute SEP in cooperative networks. The use of a moment generating function (MGF) is another choice [25]. Both of these methods necessitate a great deal of arithmetic, and the resulting expressions provide very little information. The third method for determining the SEP for large SNR is to examine the PDF of SNR around zero [26,27,28]. This method provides useful insights with less computations. Therefore, we utilized the third approach to find the average SEP of STBC-NOMA with imperfect SIC and timing errors in this section.
For any SNR, γ , with the PDF p γ ( l ) that satisfies the Maclaurin series of expansion (a Maclaurin series of expansion is a Tayor series of expansion about zero), i.e., p γ ( l ) = l m 1 p γ ( m 1 ) ( 0 ) / ( m 1 ) ! + 0 ( l ) m , where p γ ( m 1 ) ( l ) is the ( m 1 ) t h derivative of p γ ( l ) and k is a positive number that determines the order of smoothness of P e ¯ at the origin, which is determined with channel PDF. Further, m is the smallest integer greater than or equal to 1 for which p γ ( m 1 ) ( 0 ) 0 , the asymptotic expression for average SEP, P e ¯ , is given as
P e ¯ Π m = 1 m + 1 ( 2 m 1 ) 2 ( m + 1 ) k m + 1 . 1 m ! . m p γ u z γ m ( 0 ) , as E [ γ ]
where
m p γ u z γ m ( 0 ) = lim γ u z 0 + m p γ u z γ m .
The approximate expression for the SNR is practically more useful compared to that of the exact form [29].

3.1. Perfect SIC and Perfect Timing Synchronization

Equation (12) represents the case of perfect timing synchronization and perfect SIC. Let us represent Equation (12) as V = A + B + C, where V = γ u , A = γ g , B = γ h 1 , and C = γ h 2 . Let us define the variable V as
V = A + B + C .
Thus, p v ( v ) = 0 , and its first derivative determined at 0 is given as
p v v ( 0 ) = a 0 b 0 c 0 .
Plugging in the (19) into (17), and following the same procedure as in (32) of [26] we obtain
P e ¯ 5 4 M 3 p γ g ( 0 ) p γ h 1 ( 0 ) p γ h 2 ( 0 ) .
In case of Rayleigh fading, the PDF of the SNR is P γ ( γ ) = 1 γ ¯ e γ γ ¯ which reduces the (20) to
P e ¯ 5 4 M 3 1 γ ¯ g + 1 γ ¯ h 1 + 1 γ ¯ h 2 .
Similarly, for the Rician fading channel, the PDF of SNR is non-central chi-square distribution [26], and the outage probability in this case is given as
P e ¯ 5 ( K + 1 ) 3 4 M 3 1 γ ¯ g + 1 γ ¯ h 1 + 1 γ ¯ h 2 ,
where K is the ratio of signal power in the line-of-sight (LOS) dominant factor over the non-LoS scattered components.

3.2. Imperfect SIC and Perfect Timing Synchronization

The case of imperfect SIC and perfect timing synchronization is presented in (14). Applying the same procedure as from (18) through (21), the (14) and (22) produces the form of
P e ¯ χ 5 4 M 3 1 γ ¯ g χ + 1 γ ¯ h 1 + 1 γ ¯ h 2 ,
and
P e ¯ χ 5 ( K + 1 ) 3 4 M 3 1 γ ¯ g χ + 1 γ ¯ h 1 + 1 γ ¯ h 2 ,
respectively.

3.3. Perfect SIC and Imperfect Timing Synchronization

The case of perfect SIC and imperfect timing synchronization is presented in (6). Applying the same procedure as from (18) through (21), the average SEP, P e ¯ τ , for Rayleigh and Rician channels can be calculated as
P e ¯ τ 5 4 M 3 1 γ ¯ g + 1 γ ¯ h 1 τ + 1 γ ¯ h 2 τ + 1 γ ¯ h 1 h 2 τ ,
and
P e ¯ τ 5 ( K + 1 ) 3 4 M 3 1 γ ¯ g + 1 γ ¯ h 1 τ + 1 γ ¯ h 2 τ + 1 γ ¯ h 1 h 2 τ ,
respectively.

3.4. Imperfect SIC and Imperfect Timing Synchronization

Applying the same procedure as from (18) through (21), for the case of imperfect timing synchronization and imperfect SIC, (16) turns the form of
P e ¯ τ , χ 5 4 M 3 1 γ ¯ g χ + 1 γ ¯ h 1 τ + 1 γ ¯ h 2 τ + 1 γ ¯ h 1 h 2 τ ,
and
P e ¯ τ , χ 5 ( K + 1 ) 3 4 M 3 1 γ ¯ g χ + 1 γ ¯ h 1 τ + 1 γ ¯ h 2 τ + 1 γ ¯ h 1 h 2 τ ,
for Raleigh and Rician fading channels, respectively.

3.5. Discussion

We can see from (20) that the average SEP is affected by the number of cooperating branches and the modulation order, M. The average SEP performance improves as the number of cooperating branches increases. From (21) to (28), it can also be seen that as the modulation order, M, is increased, the average SEP performance degrades. Similarly, we can see that the average SEP performance improves as the value of K increases in (22), (24), (26), and (28). In addition, as the number of users increases, the value of terms 1 γ ¯ g and 1 γ ¯ g χ in (21) to (28) increases, which ultimately degrades the SEP performance of the system. Furthermore, an increase in timing offset in (25) to (28) increases the values of terms 1 γ ¯ h 1 τ , 1 γ ¯ h 2 τ , and 1 γ ¯ h 1 h 2 τ , which also degrades the average SEP performance of the system.
In the next section, we present the simulation results based on our analysis in Section 3.

4. Simulation Results

In this section, we validate our analysis by comparing it with simulation results. This simulation was performed by considering the flat fading Rayleigh channel between the B S and users and user-to-user. The modulation scheme for this simulation is assumed to be quadrature phase-shift keying (QPSK) (i.e., M = 4). The total number of users in the system under consideration is 4 (i.e., U = 4). The power allocation coefficients are a 1 = 0.1, a 2 = 0.2, a 3 = 0.3, and a 4 = 0.4. These coefficients were chosen based on the best system performance evaluation. The maximum power transmitted by the B S is 46 dBm, whereas the maximum power transmitted by each user is 20 dBm. In order to make a fair comparison between the two schemes, we used the same power budget for both.
Figure 3 depicts the impact of timing offset ( τ ) on the performance of STBC-NOMA with perfect SIC implementation. The simulation results are seen to be very similar to the analytical results for the entire range of transmitting SNR. The graph shows that, at SEP of 10 2 , there is a 2.5 dB loss in the performance of STBC-NOMA with a timing offset of 0.3. This loss increases to 5 and 12.5 dB with a timing offset of 0.5 and 0.7, respectively. Figure 3 shows that the increase in imperfection in the timing synchronization in STBC-NOMA leads the system to approach the performance of non-cooperative NOMA. There is a great correlation between simulation and analytical results, which validates our analysis in Section 3.
Similarly, the impact of imperfections in the SIC implementations of the STBC-NOMA is shown in Figure 4. The plot shows that, as the SIC imperfection level rises, the SEP performance increases as well. At the 10 2 SEP point, there is a 5 and 14 dB SNR loss observed with the −30 and −20 dB imperfect SIC implementation, respectively.
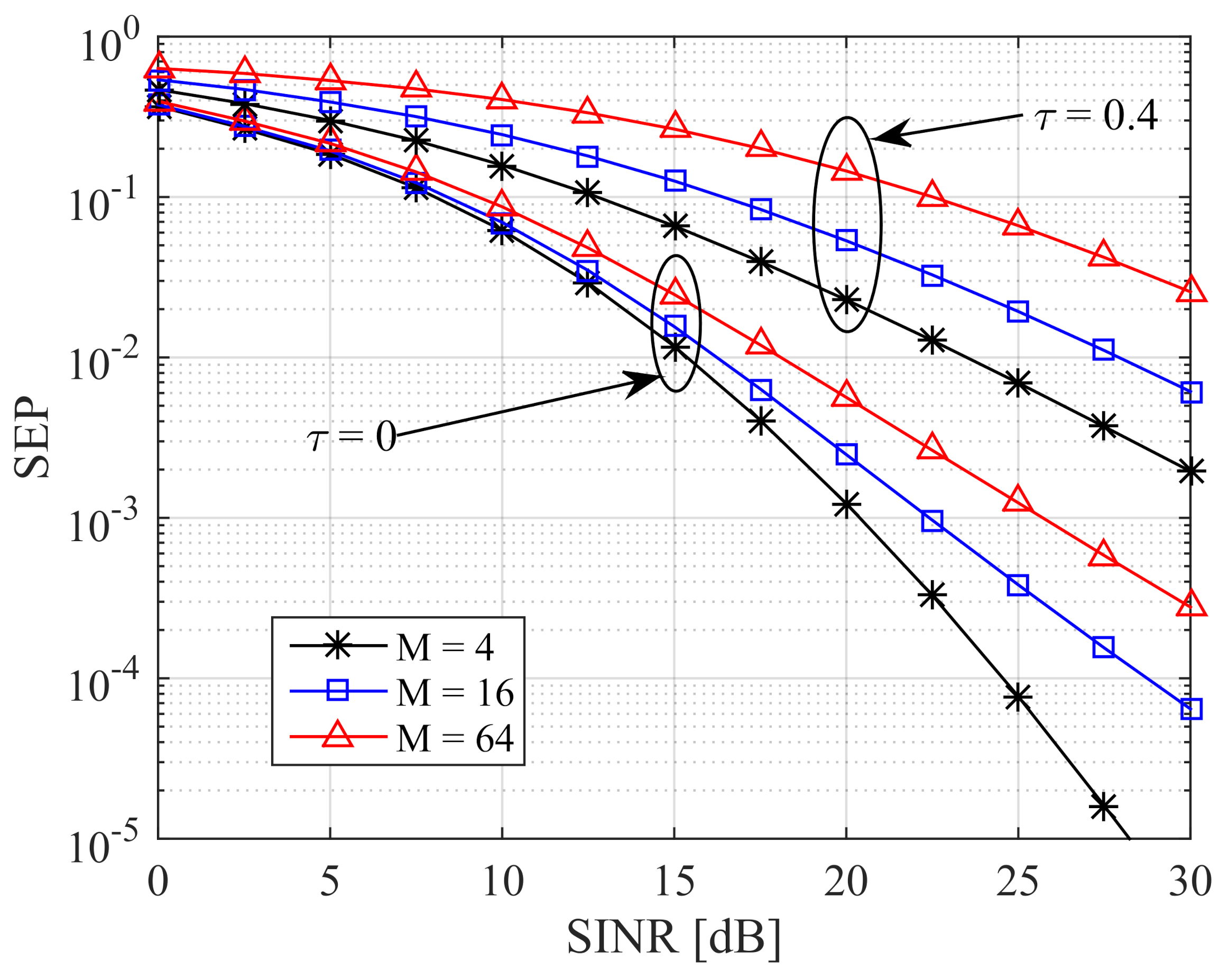
The SER probability of STBC-NOMA user 4 is shown in Figure 5 for higher modulation orders (i.e., M = 4 , 16, and 64). There is a 2.5 and 5 dB loss for SER of 10 3 , with an increase in modulation scheme from M = 4 to M = 16 , and M = 64 , respectively, for perfect synchronization of timing (i.e., τ = 0 ) and perfect SIC. For higher-order modulations with timing offsets, the SER performance gap is more prominent. It shows SINR losses of 5 and 10 dB at at SER of 10 2 with an increase in modulation scheme from M = 4 to M = 16 , and M = 64 , respectively, assuming τ = 0.4 and perfect SIC for modulation scheme.
Figure 6 depicts the impact of imperfect SIC over Rayleigh and Rician channels with U = 4. It is shown that for the SER of 10 2 , there is a 5 dB SINR loss for −30 dB of imperfection in SIC and a 13 dB SINR loss with −20 dB of imperfection in SIC with Rayleigh channel. Similarly, for the SER of 10 2 , there is a 1 dB SINR loss for −30 dB of SIC imperfection, and there is a 3.5 dB SINR loss with −20 dB of SIC imperfection for the Rician channel. It is clear from the figure that the impact of imperfection in SIC over the Rayleigh channel is more prominent than that of the Rician channel.
The effect of a growing number of users on the SER of STBC-NOMA over Rayleigh and Rician channels with perfect timing synchronization and perfect SIC is depicted in Figure 7. The SER of the weakest user over the Rayleigh fading channel with U = 4 is 10 4.1 at SINR of 25 dB, while it achieves SERs of 10 3 and 10 2 with U = 6 and U = 8, respectively. The weakest user, on the other hand, achieves SERs of 10 3 , 10 2.4 , and 10 2 at SINRs of 10 dB with U = {4, 6, 8}, respectively, over the Rician fading channel. In STBC-NOMA, the SINR of the weakest user decreases as the number of users increases, resulting in a deterioration of the SEP performance or system’s outage.
Similar approaches were applied in cooperative relay selection (CRS)-NOMA [30] and novel design using CRS (CRS-ND) [31] for the cooperative mechanism in NOMA. Table 1 shows the comparison of our proposed scheme with CRS-NOMA and CRS-ND. As noted in the table, the proposed STBC-CNOMA outperformed the CRS-NOMA and CRS-ND in terms of the total number of hops for complete transmission. However, the CRS-NOMA and CRS-ND schemes outperformed the STBC-CNOMA in terms of the total number of transmissions required for a higher number of users.

5. Conclusions

In this paper, we investigated the SEP performance of STBC-NOMA with imperfect SIC and timing offset. We derived the asymptotic expressions for the SEP with imperfections in SIC and timing synchronization of STBC-NOMA, which can serve as the upper bound of the actual SEP performance in the presence of variable timing offsets and imperfect SIC. We concluded that the SEP excessively increases as the timing offset increases. Similarly, the impact of imperfect SIC on the SEP probability increases as the degree of the SIC imperfection increases. Thus, it is essential to minimize both the timing error and SIC imperfection.
In the future, we will investigate the impact of the frequency offsets and consider more generalized channel models, such as Hoyt fading, as in [30]. From the performance analysis and simulation results, it can be summarized that there is a trade-off between system impairments (i.e., imperfect SIC and timing offsets) and orders for modulation. As the performance degradations caused by higher values of timing offsets and imperfect SIC become more prominent, a low modulation order can, therefore, be applied to systems with higher system impairments and vice versa.

Author Contributions

M.W.A. performed the formal analysis, simulation, and original draft preparation. S.A.H. created the main ideas and validated the analysis. H.J. crystallized the mathematical framework and performed the manuscript editing. All authors have read and agreed to the published version of the manuscript.

Funding

This work was supported in part by Incheon National University Research Grant in 2021 and in part by the Korean Government through the National Research Foundation of Korea (NRF) under Grant NRF-2021M1A2A2061357.

Conflicts of Interest

The authors declare no conflict of interest.

References

  1. Saito, Y.; Kishiyama, Y.; Benjebbour, A.; Nakamura, T.; Li, A.; Higuchi, K. Non-orthogonal multiple access (NOMA) for cellular future radio access. In Proceedings of the 2013 IEEE 77th Vehicular Technology Conference (VTC Spring), Dresden, Germany, 2–5 June 2013; pp. 1–5. [Google Scholar]
  2. Dai, L.; Wang, B.; Yuan, Y.; Han, S.; Chih-Lin, I.; Wang, Z. Non-orthogonal multiple access for 5G: Solutions, challenges, opportunities, and future research trends. IEEE Commun. Mag. 2015, 53, 74–81. [Google Scholar] [CrossRef]
  3. Ding, Z.; Yang, Z.; Fan, P.; Poor, H.V. On the performance of non-orthogonal multiple access in 5G systems with randomly deployed users. IEEE Signal Process. Lett. 2014, 21, 1501–1505. [Google Scholar] [CrossRef]
  4. Saito, Y.; Benjebbour, A.; Kishiyama, Y.; Nakamura, T. System-level performance evaluation of downlink non-orthogonal multiple access (NOMA). In Proceedings of the 2013 IEEE 24th Annual International Symposium on Personal, Indoor, and Mobile Radio Communications (PIMRC), London, UK, 8–11 September 2013; pp. 611–615. [Google Scholar]
  5. Timotheou, S.; Krikidis, I. Fairness for non-orthogonal multiple access in 5G systems. IEEE Signal Process. Lett. 2015, 22, 1647–1651. [Google Scholar] [CrossRef]
  6. Ding, Z.; Peng, M.; Poor, H.V. Cooperative non-orthogonal multiple access in 5G systems. IEEE Commun. Lett. 2015, 19, 1462–1465. [Google Scholar] [CrossRef]
  7. Liu, Y.; Ding, Z.; Elkashlan, M.; Poor, H.V. Cooperative Non-orthogonal Multiple Access with Simultaneous Wireless Information and Power Transfer. IEEE J. Sel. Areas Commun. 2016, 34, 938–953. [Google Scholar] [CrossRef]
  8. Lv, L.; Chen, J.; Ni, Q. Cooperative Non-Orthogonal Multiple Access in Cognitive Radio. IEEE Commun. Lett. 2016, 20, 2059–2062. [Google Scholar] [CrossRef]
  9. Yang, Z.; Ding, Z.; Fan, P.; Al-Dhahir, N. The Impact of Power Allocation on Cooperative Non-orthogonal Multiple Access Networks with SWIPT. IEEE Trans. Wirel. Commun. 2017, 16, 4332–4343. [Google Scholar] [CrossRef]
  10. Lv, L.; Chen, J.; Ni, Q.; Ding, Z. Design of Cooperative Non-Orthogonal Multicast Cognitive Multiple Access for 5G Systems: User Scheduling and Performance Analysis. IEEE Trans. Commun. 2017, 65, 2641–2656. [Google Scholar] [CrossRef]
  11. Zhong, C.; Zhang, Z. Non-Orthogonal Multiple Access with Cooperative Full-Duplex Relaying. IEEE Commun. Lett. 2016, 20, 2478–2481. [Google Scholar] [CrossRef]
  12. Zhang, Z.; Ma, Z.; Xiao, M.; Ding, Z.; Fan, P. Full-Duplex Device-to-Device-Aided Cooperative Nonorthogonal Multiple Access. IEEE Trans. Veh. Technol. 2017, 66, 4467–4471. [Google Scholar]
  13. Liu, Y.; Ding, Z.; Eïkashlan, M.; Poor, H.V. Cooperative non-orthogonal multiple access in 5G systems with SWIPT. In Proceedings of the 2015 23rd European Signal Processing Conference (EUSIPCO), Nice, France, 31 August–4 September 2015; pp. 1999–2003. [Google Scholar]
  14. Yue, X.; Liu, Y.; Kang, S.; Nallanathan, A.; Ding, Z. Exploiting Full/Half-Duplex User Relaying in NOMA Systems. IEEE Trans. Commun. 2018, 66, 560–575. [Google Scholar] [CrossRef]
  15. Li, Q.; Wen, M.; Basar, E.; Poor, H.V.; Chen, F. Spatial Modulation-Aided Cooperative NOMA: Performance Analysis and Comparative Study. IEEE J. Sel. Top. Signal Process. 2019, 13, 715–728. [Google Scholar] [CrossRef]
  16. Kara, F.; Kaya, H. On the Error Performance of Cooperative-NOMA with Statistical CSIT. IEEE Commun. Lett. 2019, 23, 128–131. [Google Scholar] [CrossRef]
  17. Liang, X.; Wu, Y.; Ng, D.W.K.; Jin, S.; Yao, Y.; Hong, T. Outage Probability of Cooperative NOMA Networks Under Imperfect CSI With User Selection. IEEE Access 2020, 8, 117921–117931. [Google Scholar] [CrossRef]
  18. Im, G.; Lee, J.H. Outage Probability for Cooperative NOMA Systems with Imperfect SIC in Cognitive Radio Networks. IEEE Commun. Lett. 2019, 23, 692–695. [Google Scholar] [CrossRef]
  19. Kara, F.; Kaya, H. Error Analysis of Decode-Forward Cooperative Relaying NOMA Schemes over Nakagami-m Fading Channels. arXiv 2020, arXiv:2004.12407. [Google Scholar]
  20. Kara, F.; Kaya, H. BER performances of downlink and uplink NOMA in the presence of SIC errors over fading channels. IET Commun. 2018, 12, 1834–1844. [Google Scholar] [CrossRef]
  21. Dash, S.P.; Joshi, S. Performance analysis of a cooperative D2D communication network with NOMA. IET Commun. 2020, 14, 2731–2739. [Google Scholar] [CrossRef]
  22. Ly, T.T.H.; Nguyen, H.S.; Nguyen, T.S.; Huynh, V.V.; Nguyen, T.L.; Voznak, M. Outage probability analysis in relaying cooperative systems with NOMA considering power splitting. Symmetry 2019, 11, 72. [Google Scholar] [CrossRef]
  23. Assaf, T.; Al-Dweik, A.; El Moursi, M.S.; Zeineldin, H.; Al-Jarrah, M. Exact Bit Error-Rate Analysis of Two-User NOMA Using QAM with Arbitrary Modulation Orders. IEEE Commun. Lett. 2020, 24, 2705–2709. [Google Scholar] [CrossRef]
  24. Akhtar, M.W.; Hassan, S.A.; Saleem, S.; Jung, H. STBC-Aided Cooperative NOMA with Timing Offsets, Imperfect Successive Interference Cancellation, and Imperfect Channel State Information. IEEE Trans. Veh. Technol. 2020, 69, 11712–11727. [Google Scholar] [CrossRef]
  25. Simon, M.K.; Alouini, M.S. Digital Communication over Fading Channels; John Wiley & Sons: Hoboken, NJ, USA, 2005; Volume 95. [Google Scholar]
  26. Ribeiro, A.; Cai, X.; Giannakis, G.B. Symbol error probabilities for general Cooperative links. IEEE Trans. Wirel. Commun. 2005, 4, 1264–1273. [Google Scholar] [CrossRef]
  27. Zhao, Y.; Adve, R.; Lim, T.J. Symbol error rate of selection amplify-and-forward relay systems. IEEE Commun. Lett. 2006, 10, 757–759. [Google Scholar] [CrossRef]
  28. Ikki, S.S.; Ahmed, M.H. On the performance of cooperative-diversity networks with the Nth best-relay selection scheme. IEEE Trans. Commun. 2010, 58, 3062–3069. [Google Scholar] [CrossRef]
  29. Boyer, J.; Falconer, D.; Yanikomeroglu, H. A theoretical characterization of the multihop wireless communications channel with diversity. In Proceedings of the GLOBECOM’01, IEEE Global Telecommunications Conference (Cat. No.01CH37270), San Antonio, TX, USA, 25–29 November 2001; Volume 2, pp. 841–845. [Google Scholar] [CrossRef]
  30. Panic, S.R.; Jayakody, D.N.K. Performance Analysis of NOMA-Based Cooperative Relay Systems over Hoyt Fading Channels. In Proceedings of the 2019 IEEE 89th Vehicular Technology Conference (VTC2019-Spring), Kuala Lumpur, Malaysia, 28 April–1 May 2019; pp. 1–5. [Google Scholar] [CrossRef]
  31. Xu, M.; Ji, F.; Wen, M.; Duan, W. Novel Receiver Design for the Cooperative Relaying System with Non-Orthogonal Multiple Access. IEEE Commun. Lett. 2016, 20, 1679–1682. [Google Scholar] [CrossRef]
Figure 1. System model for cooperative communication with Alamouti-coded downlink NOMA for U = 4.
Figure 1. System model for cooperative communication with Alamouti-coded downlink NOMA for U = 4.
Electronics 10 01386 g001
Figure 2. Timing diagram for STBC cooperation with timing offset ( τ ).
Figure 2. Timing diagram for STBC cooperation with timing offset ( τ ).
Electronics 10 01386 g002
Figure 3. Symbol error probability of STBC-NOMA with U = 4 for perfect SIC and different values of timing offset ( τ ).
Figure 3. Symbol error probability of STBC-NOMA with U = 4 for perfect SIC and different values of timing offset ( τ ).
Electronics 10 01386 g003
Figure 4. Symbol error probability of STBC-NOMA with U = 4 for imperfect SIC and perfect timing synchronization.
Figure 4. Symbol error probability of STBC-NOMA with U = 4 for imperfect SIC and perfect timing synchronization.
Electronics 10 01386 g004
Figure 5. Symbol error probability of STBC-NOMA with U = 4 for perfect SIC, imperfect timing synchronization, and different modulation schemes (i.e., M = 4, 16, and 64).
Figure 5. Symbol error probability of STBC-NOMA with U = 4 for perfect SIC, imperfect timing synchronization, and different modulation schemes (i.e., M = 4, 16, and 64).
Electronics 10 01386 g005
Figure 6. Symbol error probability of STBC-NOMA with U = 4 for imperfect SIC, and perfect timing synchronization over Rayleigh and Rician fading channels with K = 4 dB.
Figure 6. Symbol error probability of STBC-NOMA with U = 4 for imperfect SIC, and perfect timing synchronization over Rayleigh and Rician fading channels with K = 4 dB.
Electronics 10 01386 g006
Figure 7. Symbol error probability of STBC-NOMA with imperfect SIC, and perfect timing synchronization over Rayleigh and Rician fading channels for U = (4, 6, and 8), and with K = 4 dB.
Figure 7. Symbol error probability of STBC-NOMA with imperfect SIC, and perfect timing synchronization over Rayleigh and Rician fading channels for U = (4, 6, and 8), and with K = 4 dB.
Electronics 10 01386 g007
Table 1. A comparison of different cooperative schemes in NOMA.
Table 1. A comparison of different cooperative schemes in NOMA.
ParametersSTBC-CNOMACRS-NOMACRS-ND
Number of hopsU − 1UU
Number of transmissions2U − 3UU
Publisher’s Note: MDPI stays neutral with regard to jurisdictional claims in published maps and institutional affiliations.

Share and Cite

MDPI and ACS Style

Akhtar, M.W.; Hassan, S.A.; Jung, H. On the Symbol Error Probability of STBC-NOMA with Timing Offsets and Imperfect Successive Interference Cancellation. Electronics 2021, 10, 1386. https://doi.org/10.3390/electronics10121386

AMA Style

Akhtar MW, Hassan SA, Jung H. On the Symbol Error Probability of STBC-NOMA with Timing Offsets and Imperfect Successive Interference Cancellation. Electronics. 2021; 10(12):1386. https://doi.org/10.3390/electronics10121386

Chicago/Turabian Style

Akhtar, Muhammad Waseem, Syed Ali Hassan, and Haejoon Jung. 2021. "On the Symbol Error Probability of STBC-NOMA with Timing Offsets and Imperfect Successive Interference Cancellation" Electronics 10, no. 12: 1386. https://doi.org/10.3390/electronics10121386

APA Style

Akhtar, M. W., Hassan, S. A., & Jung, H. (2021). On the Symbol Error Probability of STBC-NOMA with Timing Offsets and Imperfect Successive Interference Cancellation. Electronics, 10(12), 1386. https://doi.org/10.3390/electronics10121386

Note that from the first issue of 2016, this journal uses article numbers instead of page numbers. See further details here.

Article Metrics

Back to TopTop