To Play or Not to Play: Can an Instrument Really Impact Lip and Tongue Performance?
Abstract
1. Introduction
2. Materials and Methods
2.1. Participant Characteristics
2.2. Study Design
2.3. Tongue and Lip Strength
2.4. Tongue and Lip Relative Strength Estimations
2.5. Tongue and Lip Endurance
2.6. Statistical Analysis
3. Results
3.1. Participant Characteristics
3.2. Tongue and Lip Strength and Endurance.
3.2.1. Tongue Strength and Endurance
- Tongue strength was not significantly different between instrumentalists and controls (59 (10.6) vs. 60 (8.4) kPa, p = 0.785).
- Tongue endurance was also not significantly different between instrumentalists and controls (40.1 (22.5) vs. 35.0 (18.2) seconds, p = 0.494).
3.2.2. Lip Strength and Endurance
- There was not significant difference between instrumentalists and controls for lip strength (28.0 (10) vs. 24.0 (5.9) kPa, p = 0.380) or lip endurance (118.7 (57.3) vs. 159.4 (99.7) seconds, p = 0.225).
3.3. Tongue Relative Strength Estimations
3.3.1. Tongue Relative Strength Differences
- The ability to estimate different tongue intensities was not impacted by instrumental ability (Condition*Group, p = 0.941). Neither was there a group main effect (p = 0.544). Table 1 shows the values for each group. However, a significant condition main effect was found such that the magnitude of differences from measured and calculated values varied based on intensity (p < 0.001).
- Post-hoc analysis for the condition main effect revealed that the 40% differences (marginal mean: 5.8 kPa) were significantly different from the 60% (marginal mean: −0.8 kPa) and 80% (marginal mean: −3.6 kPa) intensities (p < 0.001, Figure 1). The 60% differences were also significantly different from the 80% differences (p = 0.007, Figure 1). Combing instrumentalist and control data, the mean difference for the 40% differences was 5.8 kPa, and the standard deviation was 7.3 kPa. The mean difference for the 60% differences was −0.8 kPa, and the standard deviation was 8.8 kPa. The mean difference for the 80% differences was −3.6, and the standard deviation was 8.1 kPa.
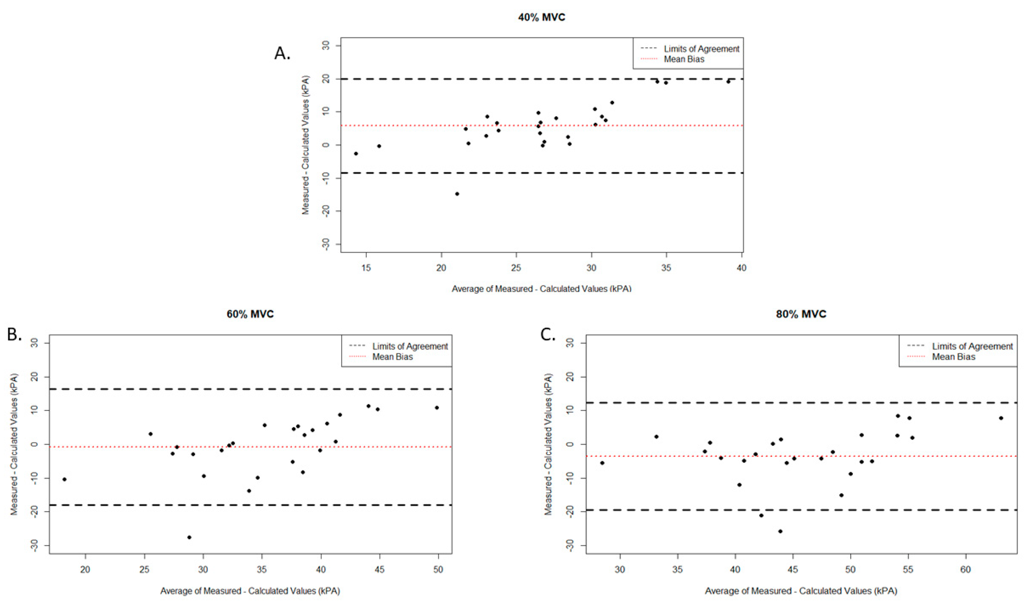
3.3.2. Bland–Altman Plots
- Bland–Altman plots using pooled data revealed that the 40% intensities were overestimated by 5.77 kPa with the limits of agreement being −8.44 to 19.98 kPa (Figure 2).
- For 60% intensities, the mean bias was −0.81 kPa (limits of agreement: −18.06 to 16.43 kPa) and for 80% intensities, the mean bias was −3.59 kPa (limits of agreement: −19.54 to −13.85 kPa) (Figure 2).
3.4. Lip Relative Strength Estimations
3.4.1. Lip Relative Strength Differences
- Only a condition main effect was found for estimating lip strength intensities (p = 0.001). A group main effect was not found (p = 0.800). The difference between the calculated and measured values for 40% (marginal mean: 3.52 kPa) was statistically different compared to the 60% (marginal mean: 1.60 kPa, p = 0.001) and 80% (marginal mean: −1.50 kPa, p < 0.001) differences. The 60% difference was also significantly different from the 80% (p < 0.001) difference. Combing instrumentalist and control data, the mean difference for the 40% differences was 4.0 kPa, and the standard deviation was 3.8 kPa. The mean difference for the 60% differences was 2.3 kPa, and the standard deviation was 3.8 kPa. The mean difference for the 80% differences was −0.4, and the standard deviation was 3.6 kPa.
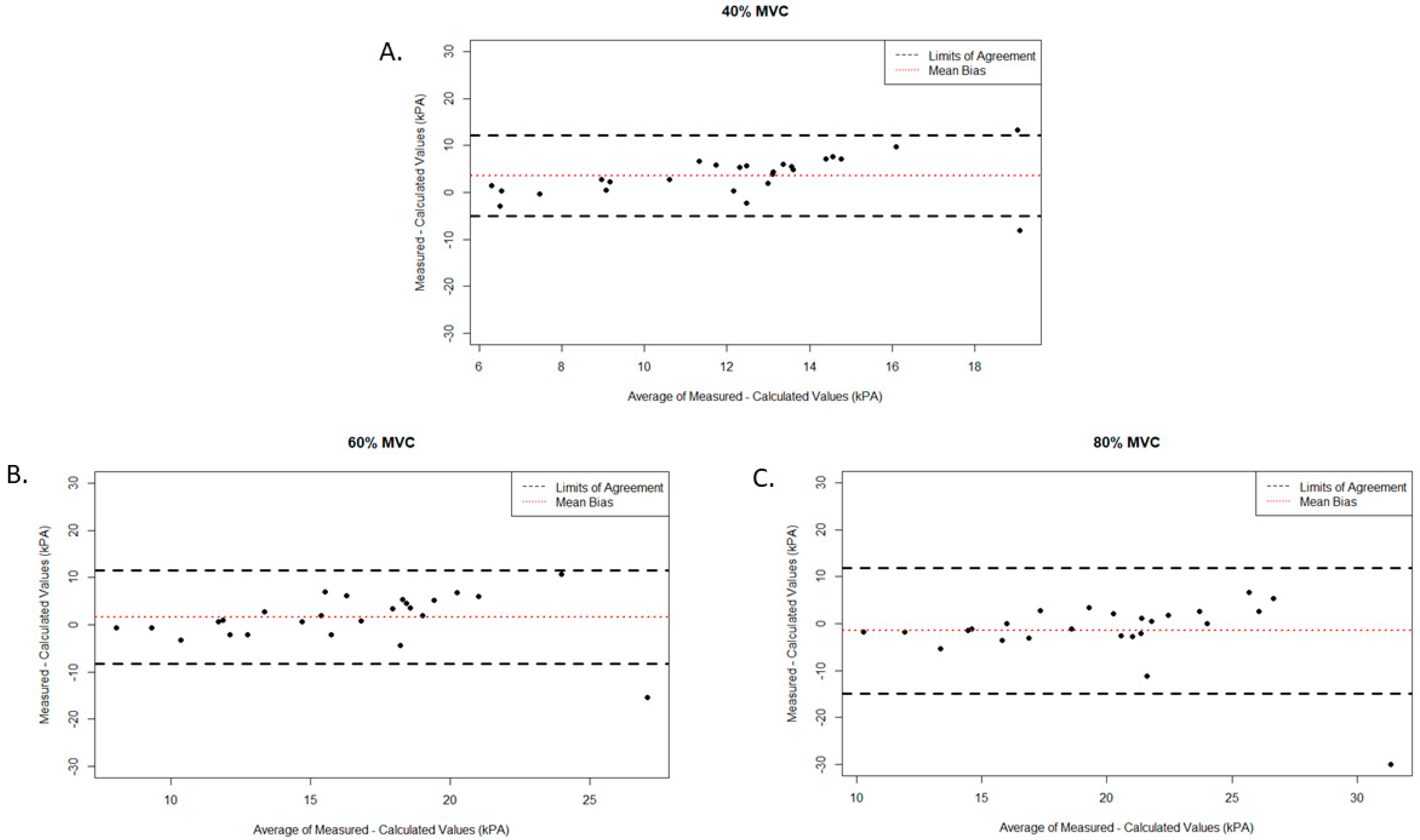
3.4.2. Bland–Altman Plots
- Bland–Altman plots using pooled data revealed that 40% and 60% intensities were on average overestimated (3.53 kPa and 1.61 kPa) while 80% intensities were underestimated (−1.51 kPa) (Figure 3).
4. Discussion
5. Conclusions
Author Contributions
Funding
Acknowledgments
Conflicts of Interest
References
- Solomon, N.P. What is orofacial fatigue and how does it affect function for swallowing and speech? Semin. Speech Lang. 2006, 27, 268–282. [Google Scholar] [CrossRef] [PubMed]
- Hiramatsu, T.; Kataoka, H.; Osaki, M.; Hagino, H. Effect of aging on oral and swallowing function after meal consumption. Clin. Interv. Aging 2015, 10, 229–235. [Google Scholar] [CrossRef] [PubMed][Green Version]
- Frowen, J.; Drosdowsky, A.; Perry, A.; Corry, J. Long-term swallowing after chemoradiotherapy: Prospective study of functional and patient-reported changes over time. Head Neck 2016, 38, E307–E315. [Google Scholar] [CrossRef] [PubMed]
- Bianco, T.; Freour, V.; Cossette, I.; Bevilacqua, F.; Caussé, R. Measures of Facial Muscle Activation, Intra-oral Pressure and Mouthpiece Force in Trumpet Playing. J. New Music Res. 2012, 41, 49–65. [Google Scholar] [CrossRef]
- Robin, D.A.; Goel, A.; Somodi, L.B.; Luschei, E.S. Tongue strength and endurance: Relation to highly skilled movements. J. Speech Hear. Res. 1992, 35, 1239–1245. [Google Scholar] [CrossRef] [PubMed]
- Potter, N.L.; Johnson, L.R.; Johnson, S.E.; VanDam, M. Facial and lingual strength and endurance in skilled trumpet players. Med. Probl. Perform. Art. 2015, 30, 90–95. [Google Scholar] [CrossRef]
- Robbins, J.; Gangnon, R.E.; Theis, S.M.; Kays, S.A.; Hewitt, A.L.; Hind, J.A. The Effects of Lingual Exercise on Swallowing in Older Adults. J. Am. Geriatr. Soc. 2005, 53, 1483–1489. [Google Scholar] [CrossRef]
- Van den Steen, L.; Schellen, C.; Verstraelen, K.; Beeckman, A.S.; Vanderwegen, J.; de Bodt, M.; van Nuffelen, G. Tongue-Strengthening Exercises in Healthy Older Adults: Specificity of Bulb Position and Detraining Effects. Dysphagia 2018, 33, 337–344. [Google Scholar] [CrossRef]
- Hsiang, C.C.; Chen, A.W.G.; Chen, C.H.; Chen, M.K. Early Postoperative Oral Exercise Improves Swallowing Function Among Patients With Oral Cavity Cancer: A Randomized Controlled Trial. Ear Nose Throat J. 2019, 98, E73–E80. [Google Scholar] [CrossRef] [PubMed]
- Van den Steen, L.; Vanderwegen, J.; Guns, C.; Elen, R.; de Bodt, M.; van Nuffelen, G. Tongue-Strengthening Exercises in Healthy Older Adults: Does Exercise Load Matter? A Randomized Controlled Trial. Dysphagia 2019, 34, 315–324. [Google Scholar] [CrossRef] [PubMed]
- Wong, V.; Abe, T.; Spitz, R.W.; Bell, Z.W.; Yamada, Y.; Chatakondi, R.N.; Loenneke, J.P. Effects of Age, Sex, Disease, and Exercise Training on Lip Muscle Strength. Cosmetics 2020, 7, 18. [Google Scholar] [CrossRef]
- Abe, T.; Viana, R.B.; Wong, V.; Bell, Z.W.; Spitz, R.W.; Yamada, Y.; Thiebaud, R.S.; Loenneke, J.P. The influence of training variables on lingual strength and swallowing in adults with and without dysphagia. JCSM Clin. Rep. 2020, 5, 29–41. [Google Scholar]
- Von Elm, E.; Altman, D.; Egger, M.; Pocock, S.; Gotzsche, P.; Vandenbroucke, J. The Strengthening the Reporting of Observational Studies in Epidemiology (STROBE) Statement: Guidelines for reporting observational studies. Ann. Intern. Med. 2007, 147, 573–577. [Google Scholar] [CrossRef] [PubMed]
- Abe, T.; Wong, V.; Spitz, R.W.; Viana, R.B.; Bell, Z.W.; Yamada, Y.; Chatakondi, R.N.; Loenneke, J.P. Influence of sex and resistance training status on orofacial muscle strength and morphology in healthy adults between the ages of 18 and 40: A cross-sectional study. Am. J. Hum. Biol. 2020, e23401. [Google Scholar] [CrossRef] [PubMed]
- Adams, V.; Mathisen, B.; Baines, S.; Lazarus, C.; Callister, R. Reliability of measurements of tongue and hand strength and endurance using the iowa oral performance instrument with healthy adults. Dysphagia 2014, 29, 83–95. [Google Scholar] [CrossRef] [PubMed]
- Abe, T.; Bell, Z.W.; Wong, V.; Spitz, R.W.; Viana, R.B.; Yamada, Y.; Chatakondi, R.N.; Loenneke, J.P. A Practical Method for Assessing Lip Compression Strengthening in Healthy Adults. Cosmetics 2020, 7, 5. [Google Scholar] [CrossRef]
- Fuhrimann, S.; Schüpbach, A.; Thüer, U.; Ingervall, B. Natural lip function in wind instrument players. Eur. J. Orthod. 1987, 9, 216–223. [Google Scholar] [CrossRef] [PubMed]
- Gotouda, A.; Yamaguchi, T.; Okada, K.; Matsuki, T.; Gotouda, S.; Inoue, N. Influence of playing wind instruments on activity of masticatory muscles. J. Oral Rehabil. 2007, 34, 645–651. [Google Scholar] [CrossRef] [PubMed]
- Sunada, Y.; Magara, J.; Tsujimura, T.; Ono, K.; Inoue, M. Endurance measurement of hyoid muscle activity and hyoid-laryngeal position during tongue lift movement. J. Oral Rehabil. 2020. [Google Scholar] [CrossRef] [PubMed]



| Control | Instrumentalist | |||||
|---|---|---|---|---|---|---|
| Measured | Calculated | Difference | Measured | Calculated | Difference | |
| Tongue Strength (kPa) | ||||||
| 40% MVC * | 30.6 (8.4) | 24.0 (3.4) | 6.6 (6.8) | 28.4 (9.0) | 23.6 (4.2) | 4.8 (7.9) |
| 60% MVC *,† | 35.9 (9.5) | 36.0 (5.1) | −0.1 (7.4) | 33.8 (11.3) | 35.4 (6.4) | −1.6 (10.5) |
| 80% MVC | 45.5 (9.3) | 48.0 (6.7) | −2.5 (6.1) | 42.4 (10.6) | 47.2 (8.5) | −4.8 (10.2) |
| Lip Strength (kPa) | ||||||
| 40% MVC * | 12.9 (5.4) | 9.6 (2.3) | 3.3 (4.2) | 15.0 (3.7) | 11.2 (4.0) | 3.8 (4.8) |
| 60% MVC *,† | 15.8 (6.3) | 14.4 (3.5) | 1.4 (4.4) | 18.7 (3.5) | 16.9 (6.0) | 1.8 (6.0) |
| 80% MVC | 17.6 (5.6) | 19.2 (4.7) | −1.9 (3.5) | 21.4 (4.5) | 22.5 (8.0) | −1.1 (9.6) |
© 2020 by the authors. Licensee MDPI, Basel, Switzerland. This article is an open access article distributed under the terms and conditions of the Creative Commons Attribution (CC BY) license (http://creativecommons.org/licenses/by/4.0/).
Share and Cite
Thiebaud, R.S.; Abe, T.; Denning, W.M.; Loenneke, J.P.; Okerlund, M.J.; Ryan, J.S.J.; Boyce, W.; McBride, M.; Hernandez, J. To Play or Not to Play: Can an Instrument Really Impact Lip and Tongue Performance? Cosmetics 2020, 7, 50. https://doi.org/10.3390/cosmetics7020050
Thiebaud RS, Abe T, Denning WM, Loenneke JP, Okerlund MJ, Ryan JSJ, Boyce W, McBride M, Hernandez J. To Play or Not to Play: Can an Instrument Really Impact Lip and Tongue Performance? Cosmetics. 2020; 7(2):50. https://doi.org/10.3390/cosmetics7020050
Chicago/Turabian StyleThiebaud, Robert S., Takashi Abe, W. Matt Denning, Jeremy P. Loenneke, Micah J. Okerlund, Joe S. J. Ryan, Whitney Boyce, Maggie McBride, and Jared Hernandez. 2020. "To Play or Not to Play: Can an Instrument Really Impact Lip and Tongue Performance?" Cosmetics 7, no. 2: 50. https://doi.org/10.3390/cosmetics7020050
APA StyleThiebaud, R. S., Abe, T., Denning, W. M., Loenneke, J. P., Okerlund, M. J., Ryan, J. S. J., Boyce, W., McBride, M., & Hernandez, J. (2020). To Play or Not to Play: Can an Instrument Really Impact Lip and Tongue Performance? Cosmetics, 7(2), 50. https://doi.org/10.3390/cosmetics7020050

