Abstract
Since the causes of aging are diverse, anti-aging requires a wide range of strategies. Kampo, a traditional medicine of Japan, which has its roots in traditional Chinese medicine, is generally prepared by combining several natural compounds to produce a multiple pharmacological effect, which is considered useful against aging with various changes. In this study, we evaluated the effects of a medical cosmetic Kampo cream on 14 healthy female subjects aged 31 to 59 years with dry skin and shallow wrinkles at the corners of the eyes using the split-face method. The subjects applied the test cream to only one side of their faces twice a day for 4 weeks. Their wrinkles around the eyes on both sides of their faces were evaluated from photographs taken by expert examiners who were blinded to the subjects. The effects on skin condition were also assessed using a questionnaire given to the subjects. Judgments made by the experts from the photos suggest that the wrinkles on the side of the face where the cream was used were improved, while those on the other side were not. The reduction in wrinkles was more pronounced in elder subjects. This reduction in wrinkles on the test side of the face was also supported by the results of the questionnaire administered to the subjects. In addition to wrinkles, many other aging-related parameters such as skin softness, makeup adhesion, smoothness, tightness after washing the face, and moisture were suggested to be improved with the use of the test cream. These results indicate that the application of the Kampo cream for 4 weeks showed an anti-wrinkle effect and the preservation of the facial skin in a healthy condition, which may be due to the combined effects of the natural ingredients used in Kampo medicine.
1. Introduction
Among the many mechanisms of aging currently proposed, two of the most influential are the “programmed theory,” which states that aging is congenitally programmed by genes, and the “accumulation of damage” to genes, proteins, and other cellular components, which impairs the physiological functions of the cells [1]. In particular, facial skin is rarely hidden by clothing and is often damaged via UV exposure [2]. This damage causes photo-aging, including a reduction in collagen and elastin, which are the elastic components of the skin’s dermis, and this process is deeply involved in the development of wrinkles [3]. The condition of the epidermis, the outermost layer of the skin that protects the body from the environment, also plays a major role in the formation of age-related wrinkles [4]. The epidermis is constantly renewed through the cell division of epidermal stem cells in the basal layer of the epidermis, but as the skin ages, the cell division cycle of stem cells gradually slows down [5], and dead skin cells gradually accumulate on the surface layer of the skin, causing an increase in the thickness of stratum corneum, roughness, clogged pores, blackheads, acne, etc., as well as skin dryness [6,7]. Such a stratum corneum with low moisture content is highly rigid and promotes the formation of wrinkles [8,9].
Because the causes of aging are diverse, anti-aging requires a wide range of strategies [10]. Kampo is a traditional medicine in Japan influenced by traditional Chinese medicine introduced during the 6th century [11]. Kampo is generally prepared by combining several natural compounds to produce multiple pharmacological effects [12]. Kampo is considered useful against aging and various age-related diseases, with their multiple physiological changes [13]. Previously, we showed that facial [14], exfoliating [15], and exfoliating masks [16] were effective in improving wrinkles at the corners of the eyes and facial skin condition. In this study, we evaluated the effects of a Kampo-medicated cosmetic cream on healthy female subjects aged 31 to 59 years with dry skin and shallow wrinkles at the corners of the eyes, using the split-face method. The test cream, Gold Hakuyo all-in-one cream (quasi drug), contains various bioactive ingredients such as tranexamic acid and dipotassium glycyrrhizate, as well as other Japanese and Chinese plants. Subjects applied the test cream only to the designated side of their face each morning and evening during the 4-week test period. Before and after the 4 weeks of the trial, special inspectors, blinded to the subjects, determined the wrinkle grade from photographs of the subjects’ eye corners on both sides of their faces. The effect on the skin condition and the safety of the test cream were also assessed using a questionnaire administered to the subjects.
2. Subjects and Methods
2.1. Ethical Considerations and Selection of the Subjects
With a significance level of 5% and test statistical power of 80%, the sample size of the study was decided to be 14 ± 1. Applicants, healthy women between 30 and 59 years of age who volunteered to participate in the study, were generally recruited by Japan Clinical Trial Association (JACTA; Tokyo, Japan) through Rabbits-coco, Ltd. (Tokyo, Japan). Subjects were chosen from among the applicants, those who met the following selection and not the exclusion criteria.
Selection criteria: (1) Healthy women between 30 and 59 years of age, (2) those with shallow wrinkles at the corners of the eyes with a wrinkle grade of 1 to 3, and (3) those with dry skin.
Exclusion Criteria: (1) Those with a history of allergy to cosmetics, (2) those who are pregnant, lactating, or planning to be during the study period, (3) those undergoing hormone replacement therapy, (4) those with a history of medical cosmetic treatment affecting the area to be examined in the study, (5) those with facial inflammation or skin disease, (6) those currently visiting hospitals or receiving prescription from a medical doctor, (7) those taking supplements or drugs that may affect the results of the study, (8) those who participated in another human clinical trial within 1 month prior to the time of consent, (9) those planning to participate in another clinical trial during the study period, and (10) those determined to be inappropriate by the primary investigator of the study.
In accordance with the “World Medical Association Declaration of Helsinki” revised in Fortaleza, Brazil, in October 2013, and the Japanese “Ethical Guidelines for Life Sciences and Medical Research Involving Human Subjects”, which became effective in March of 2021, this study was conducted after obtaining approval from the Ethical Review Committee of the Institutional Review Board of Pharmaceutical Law Wisdoms, whose chairman was Toshio Hoga, Attorney at Law (approval number: 1900193). The purpose and methods of the study were fully explained to the subjects, and their written consent was obtained. The study protocol was registered at the UMIN Clinical Trials Registry (UMIN-CTR; ID = UMIN000052971) on 2 December 2023.
2.2. Trial Methods
The research was organized by Japan Clinical Trial Association (JACTA; Tokyo, Japan) and Dr. Akifumi Miyata, director of Miyata Medical Clinic (2-2-8 Nihonbashi, Tokyo, Japan), was the Principal Investigator of the study. Test cream was provided by Shinyamato Kanpoh Pharmaceutical Co., Ltd. (3-16-1 Hikuma, Fukuoka, 814-0163 Japan) All ingredients of the test product: Gold Hakuyo all-in-one cream (quasi drug), provided by Shinyamato Kanpoh Pharmaceutical Co., Ltd., is composed of the following: tranexamic acid and dipotassium glycyrrhizate as active ingredients, whose efficacy and effectiveness have been recognized by the Ministry of Health, Labor and Welfare, Japan. The other ingredients are as follows: purified water; mixture of 1,2-Hexanediol and Caprylyl Glycol; 1,2-Dentanediol; 1,3-Butanediol; artichoke extract; Arachidyl glucoside; Arachidyl alcohol; Behenyl alcohol; arbutin; aloe extract (2); prunus mume fruit extract; olive oil; hydrolyzed silk solution; hydrolyzed egg shell membrane; chamomile extract (1); Xanthan gum; Ethylhexylglycerin; hydrogenated oil; yeast extract (3); fragrance; aluminum oxide; titanium dioxide; Diglycerin; vegetable squalane; Glyceryl monostearate, lipophilic; potassium hydroxide; water-soluble collagen solution (4); Stearic acid; Glycine soja (soybean) seed extract; natural vitamin E; Caprylic/capric triglyceride; Daucus carota sativa (carrot) extract; Glycerin, concentrated; persic oil; honey; 2-Ethylhexyl palmitate; sodium hyaluronate (2); geranium robertianum extract; Phenoxyethanol; hydrolyzed prune; Polyglyceryl-3 methylglucose distearate; Silicic anhydride; Methyl polysiloxane; Polyglyceryl monooleate; Polyethyleneglycol monostearate; yuzu ceramide; Coix extract; magnesium L-ascorbyl-2-phosphate; d-δ-Tocopherol; citric acid; sodium citrate; Glycerol esters of fatty acids; Oryza sativa (rice) bran oil. The test cream is commercially available, meets Japanese national safety standards, and is generally safe to use. If a subject experiences any physical discomfort, such as an adverse reaction, they should contact JACTA immediately and seek medical advice.
The effect of the test cream was evaluated using a split-face study based on the “Guidelines for Evaluation of Anti-Wrinkle Products” established by the Japanese Cosmetic Science Society [17]. Subjects used the test cream only the one side (left side) of their faces and not on the other side (right side). The allocation was kept secret from the inspectors until the end of the trial. The inspectors judged the wrinkles based on photos of the subjects, without knowing the allocation. The study period was four weeks, from 30 November to 28 December 2023, with two measurement dates, one before use and one four weeks later.
During the study period, each morning and evening, all subjects applied the test cream to one side of their face at home according to the following method: After cleansing, washing, and using a facial toner, subjects took an appropriate amount (about the size of a pearl) of test cream in their dry hands, placed it on their forehead and cheeks on the test side of the face, and spread it only over the designated side of the face. Besides the test cream, lotion, sunscreen, and makeup products were allowed on both sides of their faces. During the 4-week test period, subjects were required to keep a journal describing the usage status of the test cream, their skin, and physical conditions. Subjects were also instructed to lead a normal life like before the test and to comply with the following rules:
(1) During the study period, maintain the same lifestyle habits as before study participation, including diet, exercise, alcohol consumption, smoking, sleep duration, and so on. (2) Excessive exercise that deviates significantly from the daily routine, exposure to extreme ultraviolet radiation, lack of sleep, dieting, and binge eating (banquets, all-you-can-eat buffets, etc.) should be avoided during the study period. (3) No cosmetic treatment or special facial care (e.g., esthetic clinics) is allowed during the study period. (4) The use of pharmaceuticals, quasi-drugs, cosmetics, health foods, etc., that claim or emphasize efficacy similar to or related to the efficacy of the test cream, including the improvement of bowel movements, etc., is prohibited. (5) No pharmaceutical products are allowed except in unavoidable cases. If pharmaceuticals are used, the name and amount of the drug used should be recorded in a journal. (6) If quasi-drugs and health foods have been used prior to the study, they can be used continuously without changing the amount, frequency, or method. The use of new quasi-drugs and health foods is prohibited. (7) Alcohol should be abstained on the day before the measurement days, and the subjects should get enough sleep and be in good physical condition.
Wrinkles at the corners of the subjects’ eyes were photographed in the laboratory in JACTA (4-3-17 Shinjuku, Tokyo, Japan) on two observation days before and after the use of the test products. On the observation days, subjects removed makeup cosmetics with a commercially available cleanser and washed their face with a facial wash and acclimatized their skin by resting for 20 min in a room maintained at a temperature of 21 ± 1 °C and a humidity of 50 ± 5%. Then, photos of both sides of the subjects’ outer corners of the eyes were taken in accordance with the “Wrinkle Photography” in “Guidelines for Evaluation of Anti-Wrinkle Products” established by the Japanese Cosmetic Science Society [18].
2.3. Evaluation Procedures
Based on the photographs taken, wrinkle grades were determined by the inspectors under the supervision of a dermatologist with clinical experience equivalent to a medical specialist, in accordance with the “Guidelines for Evaluation of Anti-Wrinkle Products” published by the Japanese Cosmetic Science Society [17]. In evaluating wrinkles, the inspectors were not informed of the allocation of the test cream. The inspectors rated the subject’s wrinkle status on the following 8 grades in increments of 0.25, with higher levels indicating more serious wrinkles: Grade 0: no wrinkles; Grade 1: a few indistinct; shallow wrinkles; Grade 2: a few distinct; shallow wrinkles; Grade 3: several distinct shallow wrinkles; Grade 4: distinct shallow wrinkles and a few deeper wrinkles; Grade 5: deeper wrinkles; Grade 6: distinct deeper wrinkles; Grade 7: much deeper wrinkles.
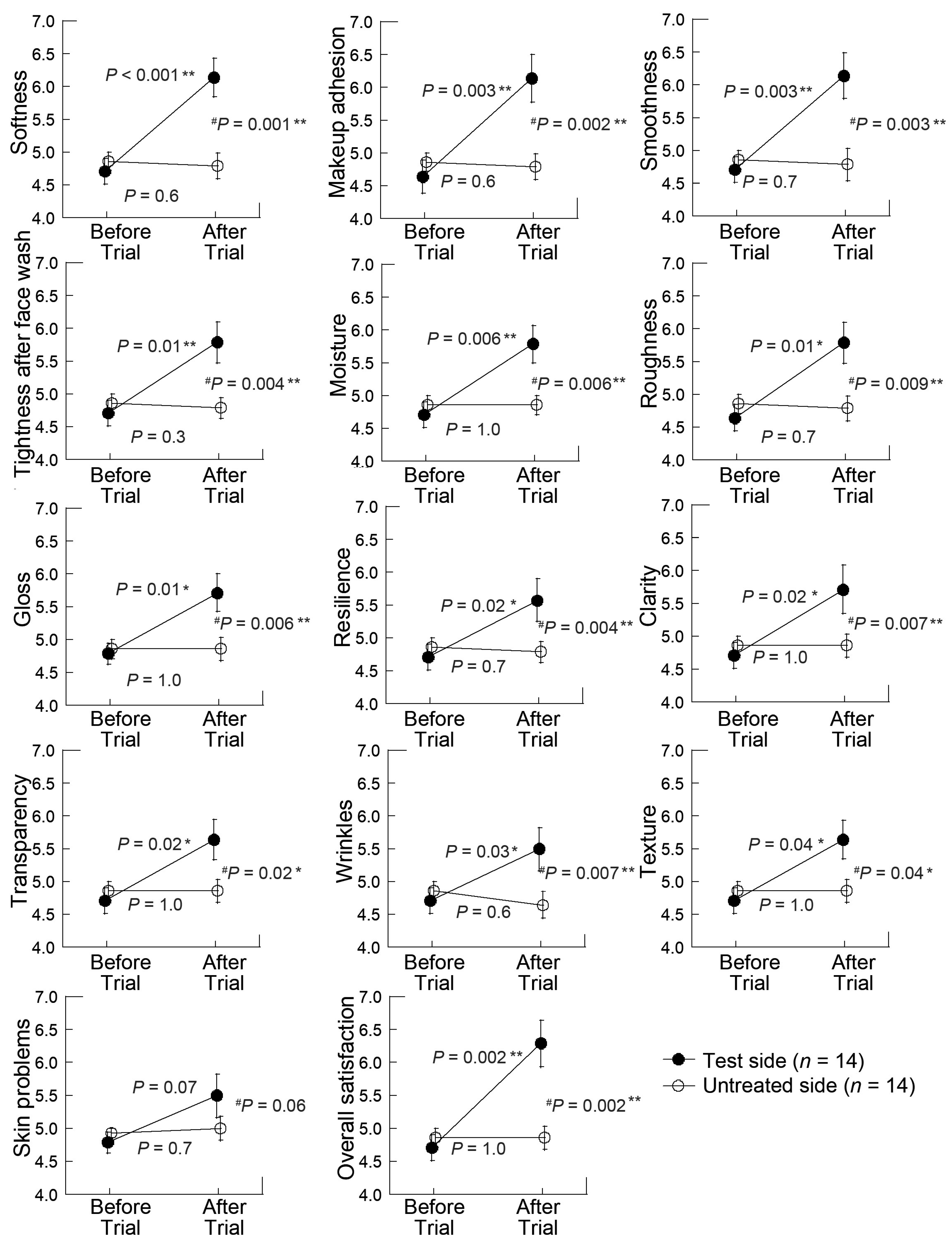
To evaluate the effect of the test cream on their skin condition as a secondary outcome, a questionnaire was also administered to the subjects twice before and after the trial. The questionnaire consisted of 14 items: skin softness, makeup adhesion, skin smoothness, skin tightness after face wash, moisture, roughness, gloss, resilience, clarity, transparency, wrinkles, texture, problems such as acne and pimples, and overall satisfaction of the test cream. Subjects rated them on a 9-point scale from 1: very bad to 9: very good by themselves.
2.4. Statistical Analysis
The mean and standard error of the mean (SEM) were calculated from the wrinkle grades determined by the inspectors and the scores of the questionnaire. They are expressed as mean ± SEM. The Wilcoxon signed-rank test was used to assess the change in wrinkles at the ipsilateral eye corners, the paired t-test was used to compare the skin conditions before and after the trial, and repeated measure analysis of variance (ANOVA) was performed for the comparison between the test and untreated sides of the faces, represented as #P in this study. In all cases, a P-value of less than 5% (P < 0.05) was considered statistically significant. No adjustment was made for the multiple tests of multiple items at multiple time points.
3. Results
3.1. Change in the Wrinkles Around Eyes After the Trial
Fourteen female subjects, between the ages of 31 and 59 (mean age: 48.2 ± 9.5 years), participated in the study, all of whom completed the 4-week trial. No adverse events related to the use of the test cream occurred during the study. No statistical differences were found between the left and right sides in the parameters measured in this study.
From the photographs of the subject’s eyes before and after the 4-week trial, the wrinkle grade was determined by the inspectors. No statistically significant differences were observed in the wrinkles at the corners of the eyes on the untreated side. On the other hand, a statistically significant difference (P < 0.05) in the wrinkle grade on the test side was found between before and after the trial (Table 1, Figure 1A). A comparison between the test and untreated sides also suggested a significant difference (#P < 0.05) between the test and untreated sides of the faces.
Table 1.
Wrinkle grade around the eyes before and after using the test cream for 4 weeks.
Figure 1.
Change in wrinkles around the eyes before and after use of the test cream for 4 weeks. (A): Before and after the 4-week trial, both sides of the subjects’ faces were photographed, and the wrinkles on the photos were evaluated by skilled inspectors according to the wrinkle grade established by Japanese Cosmetic Science Society. Higher wrinkle grades indicate deeper winkles. P values between the test and untreated sides were denoted as #P. (B): Changes in the wrinkle grade on both sides of the face. (C): The relationship between wrinkles on each side of the face and subjects’ age. (D): Changes in the wrinkle grade against the age of the subjects. Error bars denote the standard error of the mean (SEM). *P < 0.05.
Because the initial wrinkle grades varied among subjects, it is unclear from the simple mean calculation what the change in wrinkle grade is. When we analyzed the change in wrinkle grade on both sides of the face, we clearly recognized a decrease in wrinkles on the treated side, while no change was observed on the untreated side (Figure 1B). A comparison of both facial surfaces showed statistically significant differences (P < 0.01).
Wrinkle grades tend to increase with age (Figure 1C). No changes in wrinkle grade were observed in subjects under 40 years of age after using the test product, whereas in many subjects over 40 years of age, a decrease in wrinkle grade was observed only on the test side of the face (Figure 1C,D). These results indicate that the test product is effective in reducing wrinkles in relatively elderly subjects with a high wrinkle grade.
3.2. Change in the Facial Skin Condition After the Trial
To examine the effects of the test products other than wrinkle reduction, a questionnaire was administered to the subjects on facial skin conditions before and after the 4-week trial (Table 2, Figure 2).
Table 2.
Skin conditions before and after using the test cream for 4 weeks.
Figure 2.
Change in the skin conditions before and after use of the test cream for 4 weeks. The skin condition of both sides of subjects’ faces was also examined with the questionnaire. Higher values denote better conditions. Error bars denote the standard error of the mean (SEM). **P < 0.01, 0.01 < *P < 0.05.
The result show that there was no statistically significant change in any of the test items on the untreated side of the face. On the other hand, not a single item showed a decrease in the mean score of the test-side faces, and statistically significant differences were observed in the scores before and after the 4-week trial for many items. In particular, significant differences of P < 0.01 were observed in the items of skin softness, makeup adhesion, smoothness, tightness after face wash, moisture, and overall satisfaction of the test cream. In addition to these items, a comparison of the two sides of the face showed significant differences in many other items, including roughness, gloss, resilience, and clarity (#P < 0.01). Changes in the wrinkles were also supported by the results of the questionnaire.
For further analysis, we calculated the correlation coefficient between the change in wrinkle grade and the change in skin condition (Table 3). A positive correlation was found between the decrease in wrinkle grade and the improvement in skin condition for all items. In particular, the correlation coefficients for skin softness, smoothness, moisture, and wrinkles were 0.4 or higher.
Table 3.
Correlation coefficients between skin conditions and changes in wrinkle grade.
4. Discussion
In this study, we analyzed the changes in wrinkles at the corners of the eyes of 14 women and skin conditions after using Gold Hakuyo all-in-one cream (quasi drug), which contains various natural bioactive ingredients, twice a day for 4 weeks. No adverse events occurred during the trial period, indicating the safety of the test cream. Wrinkle grade was determined by the inspectors based on photographs of the left and right eye corners of the subjects before and after test cream use. Statistically significant differences in the winkle grade were observed in the pre–post comparison only on the test side of the subjects’ faces, and a comparison between the test and untreated sides also suggested a significant difference between the two sides of the faces. These statistical analyses suggest significant improvement in the wrinkles on the test side of the faces via objective assessment. The reduction in wrinkles was more pronounced in elder subjects. Changes in the wrinkles grade were more pronounced in older subjects than in younger subjects, indicating a greater effect in older subjects. However, we do not believe the test cream is ineffective for younger subjects. It is possible that the changes in younger subjects were too small to be detected because the degree of early wrinkles was less than in older subjects.
This reduction in wrinkles on the test side of the face was also supported by the results of the questionnaire administered to the subjects. However, it is important to note that this questionnaire-based exam is subjective and influenced by the subjects’ desire to please the tester since the subjects knew which side of their face was being tested. We have carried out similar studies several times with different cosmetics, but not all of them have resulted in subjects feeling an improvement in their wrinkles [19], possibly because wrinkles do not change rapidly, and it is difficult for subjects to feel the change. The most important thing for a cosmetic product is that many users can realize the effects of skin improvement. A high score for “overall skin satisfaction” was also achieved in the questionnaire result, indicating that the skin improvement effect was perceived by the subjects.
In our previous studies, the test products that showed anti-wrinkle effects contained active ingredients such as allantoin [19] and placenta [14,15,16]. These indigents have been reported to have physiological activity directly related to wrinkles, such as fibroblast [20,21]. Although the test cream used in this study does not contain any of the active ingredients that have been reported to reduce wrinkles, dipotassium glycyrrhizate, one of the active ingredients in the test cream, has been suggested to promote wound healing by increasing collagen content in wound areas [22], and this mechanism may contribute to wrinkle reduction. Other ingredients in the test cream may also contribute to wrinkle reduction. Hydrolyzed egg shell has been shown to increase the expression of type III collagen in fibroblast cells [23], which may preserve dermal elasticity and prevent wrinkle formation. Apigenin, a bioflavonoid abundant in the chamomile extract, also stimulates the type-I and type-III collagen synthesis of fibroblasts [24]. Another component of chamomile extract is bisabolol, a natural monocyclic sesquiterpene alcohol [25]. Its antioxidant properties have been suggested to help prevent wrinkles [26]. It is possible that some antioxidant ingredients such as natural vitamin E, persic oil [27], and honey [28] may act through a similar mechanism to reduce wrinkles. We consider that, as is usually the case with Kampo, a combination of different ingredients may have provided the anti-wrinkle activity.
In addition to wrinkles, many other aging-related parameters, including skin softness, makeup adhesion, smoothness, tightness after face wash, and moisture, were suggested to improve with the use of the test cream. In particular, changes in skin softness, smoothness, moisture, and wrinkles were suggested to be highly correlated with a decrease in wrinkle grade. These results suggest that in addition to the condition of the epidermis, such as softness and smoothness, maintaining moisture is important for removing shallow wrinkles. The skin barrier functionality is contingent on its ability to retain moisture. Moisturizing the skin cannot be accomplished by simply supplying water. It requires the addition of a balanced combination of hydrophilic humectants, which absorb and retain moisture in the epidermis, and hydrophobic emollients, which prevent moisture from evaporating from the skin’s surface [29]. Hydrolyzed silk solution, hydrolyzed egg shell membrane, and hydrolyzed prune contained in this test cream are rich in amino acids and are expected to act as humectants. On the other hand, olive oil, natural vitamin E, persic oil, polyglyceryl-3-methylglucose distearate, and yuzu ceramide act as emollients. In addition, some of the ingredients in the test cream, such as tranexamic acid [30], arbutin [31], prunus mume fruit extract [32], and luteolin contained in chamomile extract [33] have been reported to have a whitening effect by inhibiting melanin synthesis. These components might contribute to improvements in the skin conditions in this study, such as skin gloss, clarity, and transparency. Objective trials are expected in the future to verify the whitening effect.
Although we demonstrated that the test product reduces wrinkles at the corners of the eyes, as the test product is a blend of multiple components of Kampo medicine, it is difficult to clearly identify the effects of specific components and the mechanism of the wrinkle reduction, which is a limitation of the study. Various animal [34] and in vitro models [35] using cultured cells are being developed to study wrinkle formation and reduction. It is expected that, in the future, these experimental systems will enable detailed measurements of wrinkle changes and lead to the elucidation of the molecular mechanisms of Kampo components that reduce wrinkles. Additionally, since the subjects in this study were selected from individuals interested in beauty who had registered for the clinical trial, larger-scale trials targeting a more general population are required to demonstrate definitive efficacy. Furthermore, as this study targeted subjects with relatively shallow wrinkles, further verification is needed regarding efficacy for deeper wrinkles, which has been identified as the aim of future research.
Since the test cream is an all-in-one type, there is no need to use multiple cosmetic products other than the test cream, and it has been shown to be effective in preventing wrinkles and various age-related symptoms on facial skin.
Author Contributions
Conceptualization, K.K. (Kimitaka Kiyohara), M.Y., N.Y. and K.O.; methodology, K.O.; formal analysis, K.K. (Kenji Kikushima); investigation, K.K. (Kimitaka Kiyohara), M.N. and S.H.; re-sources, M.Y., K.K. (Kimitaka Kiyohara), M.N., S.H. and N.Y.; data curation, K.K. (Kenji Kikushima); writing—original draft preparation, K.K. (Kenji Kikushima); writing—review and editing, K.K. (Kenji Kikushima) and K.O.; visualization, K.K. (Kenji Kikushima); supervision, K.O.; project administration, N.Y. and K.O.; funding acquisition, M.Y. and N.Y. All authors have read and agreed to the published version of the manuscript.
Funding
This research received no external funding.
Institutional Review Board Statement
The study was conducted in accordance with the Declaration of Helsinki, and the protocol was approved by the Ethical Review Committee of Institutional Review Board of Pharmaceutical Law Wisdoms (1900193) on 16 February 2023.
Informed Consent Statement
Informed consent for participation was obtained from all subjects involved in the study.
Data Availability Statement
The original contributions presented in this study are included in the article. Further inquiries can be directed to the corresponding author.
Conflicts of Interest
This study was conducted by Japan Association for Clinical Trials (JACTA), with research funding and supplies provided by Mz Science Co., Ltd. and Shinyamato Kanpoh Pharmaceutical Co., Ltd. Mariko Yamaguchi, Saki Hajima, and Naoya Yamaguchi the authors are employees of Mz Science Co., Ltd.; Kimitaka Kiyohara, Miyako Nagai the authors are employees of Shinyamato Kanpoh Pharmaceutical Co., Ltd. The remain authors declare that the research was conducted in the absence of any commercial or financial relationships that could be construed as a potential conflict of interest. The funders had no role in the design of the study; in the collection, analyses or interpretation of data; in the writing of the manuscript; or in the decision to publish the results.
References
- Li, Y.; Tian, X.; Luo, J.; Bao, T.; Wang, S.; Wu, X. Molecular mechanisms of aging and anti-aging strategies. Cell Commun. Signal 2024, 22, 285. [Google Scholar] [CrossRef]
- Merin, K.A.; Shaji, M.; Kameswaran, R. A Review on Sun Exposure and Skin Diseases. Indian J. Dermatol. 2022, 67, 625. [Google Scholar] [CrossRef]
- Gromkowska-Kępka, K.J.; Puścion-Jakubik, A.; Markiewicz-Żukowska, R.; Socha, K. The impact of ultraviolet radiation on skin photoaging—Review of in vitro studies. J. Cosmet. Dermatol. 2021, 20, 3427–3431. [Google Scholar] [CrossRef]
- Park, S. Biochemical, structural and physical changes in aging human skin, and their relationship. Biogerontology 2022, 23, 275–288. [Google Scholar] [CrossRef]
- Tang, X.; Wang, J.; Chen, J.; Liu, W.; Qiao, P.; Quan, H.; Li, Z.; Dang, E.; Wang, G.; Shao, S. Epidermal stem cells: Skin surveillance and clinical perspective. J. Transl. Med. 2024, 22, 779. [Google Scholar] [CrossRef]
- Moroki, T. Morphological characteristics and notes of the skin in preclinical toxicity assessment. J. Toxicol. Pathol. 2023, 36, 85–94. [Google Scholar] [CrossRef] [PubMed]
- Biniek, K.; Kaczvinsky, J.; Matts, P.; Dauskardt, R.H. Understanding age-induced alterations to the biomechanical barrier function of human stratum corneum. J. Dermatol. Sci. 2015, 80, 94–101. [Google Scholar] [CrossRef] [PubMed]
- Fukuda, K.; Ito, Y.; Furuichi, Y.; Matsui, T.; Horikawa, H.; Miyano, T.; Okada, T.; van Logtestijn, M.; Tanaka, R.J.; Miyawaki, A.; et al. Three stepwise pH progressions in stratum corneum for homeostatic maintenance of the skin. Nat. Commun. 2024, 15, 4062. [Google Scholar] [CrossRef] [PubMed]
- Santoprete, R.; Hourblin, V.; Foucher, A.; Dufour, O.; Bernard, D.; Domanov, Y.; Querleux, B.; Potter, A. Reduction of wrinkles: From a computational hypothesis to a clinical, instrumental, and biological proof. Skin Res. Technol. 2023, 29, e13267. [Google Scholar] [CrossRef]
- Tenchov, R.; Sasso, J.M.; Wang, X.; Zhou, Q.A. Antiaging Strategies and Remedies: A Landscape of Research Progress and Promise. ACS Chem. Neurosci. 2024, 15, 408–446. [Google Scholar] [CrossRef]
- Kuchta, K.; Cameron, S. Editorial: Kampo Medicine in a Modern Context: Ethnopharmacological Perspectives. Front. Pharmacol. 2022, 13, 971254. [Google Scholar] [CrossRef]
- Yamamoto, M. KAMPOmics: A framework for multidisciplinary and comprehensive research on Japanese traditional medicine. Gene 2022, 831, 146555. [Google Scholar] [CrossRef]
- Takayama, S.; Tomita, N.; Arita, R.; Ono, R.; Kikuchi, A.; Ishii, T. Kampo Medicine for Various Aging-Related Symptoms: A Review of Geriatric Syndrome. Front. Nutr. 2020, 7, 86. [Google Scholar] [CrossRef] [PubMed]
- Kikushima, K.; Yamaguchi, M.; Kiyohara, K.; Yamaguchi, N.; Ohnuki, K. Use of the Face Wash Containing Placenta Extracts for 4 Weeks Improves the Facial Wrinkles around Eyes. Jpn. Pharmacol. Ther. 2020, 48, 1767–1775. [Google Scholar]
- Kikushima, K.; Yamaguchi, M.; Maeda, M.; Kiyohara, K.; Yamaguchi, N.; Ohnuki, K. Use of the Peeling Gel containing Natural Ingredients for 4 Weeks Improves the Facial Wrinkles around Eyes. Jpn. Pharmacol. Ther. 2022, 50, 1657–1665. [Google Scholar]
- Kikushima, K.; Yamaguchi, M.; Ogawa, E.; Hajima, S.; Yamaguchi, N.; Ohnuki, K. Improvement of the Facial Wrinkles around Eyes after four Weeks’ Use of Medicinal Peeling Mask. Jpn. Pharmacol. Ther. 2025, 53, 137–146. [Google Scholar]
- Task Force Committee for Evaluation of Anti-aging Function. Guideline for Evaluation of Anti-wrinkle Products. J. Jpn. Cosmet. Sci. Soc. 2006, 30, 316–332. Available online: https://www.jcss.jp/journal/contents_guideline1.pdf (accessed on 17 November 2025).
- Task Force Committee for Evaluation of Anti-Aging Function. Guideline for Evaluation of Anti-Wrinkle Products. J. Jpn. Cosmet. Sci. Soc. 2007, 31 (Suppl. S4), 411–431. Available online: http://www.jcss.jp/en/journal/pdf/contents_guideline1.pdf (accessed on 17 November 2025).
- Kikushima, K.; Shimizu, K.; Yamaguchi, M.; Kiyohara, K.; Nagai, M.; Yamaguchi, N.; Ohnuki, K. Improvement of the Facial Wrinkles around Eyes by the Use of a Chinese Medicinal Cream for 4 Weeks. Jpn. Pharmacol. Ther. 2022, 50, 2005–2013. [Google Scholar]
- Tomas, M.; Günal-Köroğlu, D.; Kamiloglu, S.; Ozdal, T.; Capanoglu, E. The state of the art in anti-aging: Plant-based phytochemicals for skin care. Immun. Ageing 2025, 22, 5. [Google Scholar] [CrossRef]
- Nagae, M.; Nagata, M.; Teramoto, M.; Yamakawa, M.; Matsuki, T.; Ohnuki, K.; Shimizu, K. Effect of Porcine Placenta Extract Supplement on Skin Condition in Healthy Adult Women: A Randomized, Double-Blind Placebo-Controlled Study. Nutrients 2020, 12, 1671. [Google Scholar] [CrossRef]
- Leite, C.D.S.; Bonafé, G.A.; Pires, O.C.; dos Santos, T.W.; Pereira, G.P.; Pereira, J.A.; Rocha, T.; Martinez, C.A.R.; Ortega, M.M.; Ribeiro, M.L. Dipotassium Glycyrrhizininate Improves Skin Wound Healing by Modulating Inflammatory Process. Int. J. Mol. Sci. 2023, 24, 3839. [Google Scholar] [CrossRef]
- Ohto-Fujita, E.; Shimizu, M.; Atomi, A.; Hiruta, H.; Hosoda, R.; Horinouchi, S.; Miyazaki, S.; Murakami, T.; Asano, Y.; Hasebe, Y.; et al. Eggshell membrane and its major component lysozyme and ovotransferrin enhance the secretion of decorin as an endogenous antifibrotic mediator from lung fibroblasts and ameliorate bleomycin-induced pulmonary fibrosis. Biochem. Biophys. Rep. 2024, 39, 101806. [Google Scholar] [CrossRef]
- Zhang, Y.; Wang, J.; Cheng, X.; Yi, B.; Zhang, X.; Li, Q. Apigenin induces dermal collagen synthesis via smad2/3 signaling pathway. Eur. J. Histochem. 2015, 59, 2467. [Google Scholar] [CrossRef]
- Eddin, L.B.; Jha, N.K.; Goyal, S.N.; Agrawal, Y.O.; Subramanya, S.B.; Bastaki, S.M.A.; Ojha, S. Health Benefits, Pharmacological Effects, Molecular Mechanisms, and Therapeutic Potential of α-Bisabolol. Nutrients 2022, 14, 1370. [Google Scholar] [CrossRef]
- Yonei, Y.; Yagi, M. Verification of improvement of periorbital wrinkles by using Asakado Skin Care. Glycative Stress Res. 2023, 10, 27–42. [Google Scholar] [CrossRef]
- Landolsi, C.; Salem-Berrabah, O.B.; Feki, M.; Harrabi, S.; Hosseinian, F. Unsaponifiable Compounds and Phenols Content, Antioxidant and Antitrypsin Activities of Prunus persica Kernel Oil. J. Oleo Sci. 2024, 73, 865–874. [Google Scholar] [CrossRef]
- Pena Júnior, D.S.; Almeida, C.A.; Santos, M.C.F.; Fonseca, P.H.V.; Menezes, E.V.; Junior, A.F.d.M.; Brandão, M.M.; de Oliveira, D.A.; de Souza, L.F.; Silva, J.C. Antioxidant activities of some monofloral honey types produced across Minas Gerais (Brazil). PLoS ONE 2022, 17, e0262038. [Google Scholar] [CrossRef]
- Purnamawati, S.; Indrastuti, N.; Danarti, R.; Saefudin, T. The Role of Moisturizers in Addressing Various Kinds of Dermatitis: A Review. Clin. Med. Res. 2017, 15, 75–87. [Google Scholar] [CrossRef]
- Maeda, K. Mechanism of Action of Topical Tranexamic Acid in the Treatment of Melasma and Sun-Induced Skin Hyperpigmentation. Cosmetics 2022, 9, 108. [Google Scholar] [CrossRef]
- Boo, Y.C. Arbutin as a Skin Depigmenting Agent with Antimelanogenic and Antioxidant Properties. Antioxidants 2021, 10, 1129. [Google Scholar] [CrossRef]
- Hara, M.; Yaar, M.; Byers, H.R.; Goukassian, D.; Gonsalves, J.; Gilchrest, B.A.; Fine, R.E. Kinesin participates in melanosomal movement along melanocyte dendrites. J. Investig. Dermatol. 2000, 114, 438–443. [Google Scholar] [CrossRef]
- Singh, A.; Yadav, S.; Pathak, P.; Verma, A.; Yadav, J.P. Harnessing Luteolin’s Therapeutic Potential in Human Disorders: Medicinal Significance, Biological, Clinical Properties and Analytical aspects. Pharmacol. Res. Mod. Chin. Med. 2024, 10, 100401. [Google Scholar] [CrossRef]
- Singh, B.; Schoeb, T.R.; Bajpai, P.; Slominski, A.; Singh, K.K. Reversing wrinkled skin and hair loss in mice by restoring mitochondrial function. Cell Death Dis. 2018, 9, 735. [Google Scholar] [CrossRef]
- Cruz, A.M.; Gonçalves, M.C.; Marques, M.S.; Veiga, F.; Paiva-Santos, A.C.; Pires, P.C. In Vitro Models for Anti-Aging Efficacy Assessment: A Critical Update in Dermocosmetic Research. Cosmetics 2023, 10, 66. [Google Scholar] [CrossRef]
Disclaimer/Publisher’s Note: The statements, opinions and data contained in all publications are solely those of the individual author(s) and contributor(s) and not of MDPI and/or the editor(s). MDPI and/or the editor(s) disclaim responsibility for any injury to people or property resulting from any ideas, methods, instructions or products referred to in the content. |
© 2025 by the authors. Licensee MDPI, Basel, Switzerland. This article is an open access article distributed under the terms and conditions of the Creative Commons Attribution (CC BY) license (https://creativecommons.org/licenses/by/4.0/).

