Abstract
The aim of the study was to evaluate the digital business transformation across EU countries and its relationship with key Sustainable Development Goals (SDGs): SDG 8 (Decent Work and Economic Growth), SDG 9 (Industry, Innovation, and Infrastructure), and SDG 13 (Climate Action). The Digital Business Transformation Index, developed from eleven digital technology indicators related to e-business and e-commerce, is constructed using Principal Component Analysis to provide a comprehensive framework for assessing digitalization at the enterprise level. The results reveal substantial disparities among member states, with northern and western countries leading, while southern and eastern countries are lagging behind. Regression analyses show a strong positive relationship between digital business transformation and SDG 9 and a negative association with SDG 13. Cluster analysis identifies six groups of countries with varying levels of digital and sustainability performance and emphasizes the need for tailored policy responses. Evidence confirms a digital–green trade-off in many EU countries; however, strategic policy integration can mitigate this challenge. The findings underline the importance of targeted investments in R&D, digital infrastructure, and ICT training, particularly in underperforming regions. Tailored measures are essential to ensure that digital business transformation aligns with inclusive and sustainable development across the EU.
1. Introduction
Digitalization, as a process through which organizations, the economy, and society evolve around digital technologies, emerges as a key driver of innovation and value creation. It offers substantial potential for addressing the complex economic, social, and environmental challenges associated with sustainable development [1,2,3,4].
Digital transformation, a broader and more integrated process, is identified as one of the six key transformations required to achieve the Sustainable Development Goals (SDGs) in Europe [5,6]. It plays a crucial role not only in meeting the 17 SDGs by 2030 [7] but also in ensuring a successful green and digital transition. Digital transformation is perceived as an outcome arising from the interaction between business, technology, and society [8], and is defined by the OECD [9] as “the economic and societal effects of digitization and digitalization” (p. 8). Within the business context, digital transformation encompasses the adoption of emerging technologies—such as social media, AI, cloud computing, and analytics—to drive improvements in business models, processes, operations, and competitiveness [10,11]. The adoption, integration, and exploitation of digital technologies represent one of the greatest challenges that enterprises currently face, with significant consequences for business processes, production systems, supply chains, and sales channels [12].
Previous studies and international reports [9,13,14,15,16] have indicated that, over the past two decades, enterprises of all sizes, industries, and economic sectors have increasingly adopted a wide range of digital technologies. These include customer relationship management (CRM), enterprise resource planning (ERP), social media, digital platforms, cloud computing (CC), 3D printing, robotics, artificial intelligence (AI), the Internet of Things (IoT), and others. At the same time, studies focusing on individual or selected digital technologies used by enterprises [1,2,17,18,19,20] reveal their multiple positive effects at both micro and macro levels. Digital transformation can significantly contribute to reducing operational costs, increasing annual turnover, enhancing productivity and competitive advantage, and creating new business model opportunities [21,22,23]. Moreover, it can directly or indirectly promote economic growth and development, improve employment opportunities, and raise living standards [16,24,25]. Additionally, it holds the potential to reduce carbon emissions and pollution through the adoption of innovative, low-carbon technologies [26,27,28]. Nevertheless, the debate over whether digital transformation generates more jobs than it displaces, exacerbates inequality, improves environmental outcomes, or entails trade-offs across the economic, social, and environmental dimensions of sustainability remains a highly relevant and widely discussed global issue.
Furthermore, statistical data [29] indicate that most EU countries have made substantial progress in the adoption of digital technologies by enterprises. Despite this progress, significant disparities persist across member states [14]. In particular, more than half of EU member states face considerable challenges in meeting the targets set out in the “Path to the Digital Decade” by 2030 [30], especially the objective of ensuring that over 90% of SMEs reach at least a basic level of digital intensity. With regard to the achievement of the Sustainable Development Goals (SDGs), considerable disparities also remain among EU countries. Central and eastern European countries, as well as those in the south, have achieved 70.1% and 71.2% of the SDG targets, respectively, compared to 80.4% in northern European countries. Furthermore, the pace of convergence between European regions and member states remains slow [31].
Therefore, to achieve the objectives of the European Green Deal [32], which aims “to transform the EU into a fair and prosperous society with a modern, resource-efficient, and competitive economy” (p. 2) that reaches net-zero greenhouse gas emissions by 2050 and decouples economic growth from resource use, as well as to meet the targets outlined in the Digital Decade [30], EU countries must adopt an integrated and holistic strategy. This approach should address the complex interdependencies between the digital transformation of businesses and the economic, social, and environmental dimensions of sustainability.
In assessing the impact of digital transformation on the simultaneous achievement of the economic, social, and environmental goals of sustainable development, a significant research gap has been identified. Prior studies [16,18,19,20,24,25,33] have predominantly focused on the economic and social aspects of sustainability, frequently overlooking the environmental dimension. This study seeks to address this gap by adopting a comprehensive and integrated perspective on the relationship between digital transformation and sustainable development.
Given this context, the aim of this study is to investigate how the depth of digital business transformation influences progress towards sustainable development across EU countries, with particular focus on socio-economic (SDG 8), industrial innovation (SDG 9), and environmental (SDG 13) dimensions of sustainability. The specific research objectives are as follows: (1) to construct a composite index to assess and compare the level of digital transformation of businesses across EU countries; (2) to examine the impact of the digital transformation of businesses on the selected Sustainable Development Goals (SDGs 8, 9, and 13), as well as overall SDG performance within the EU; (3) to analyze the extent to which enterprise investment in ICT training and research and development, as well as digital skill levels of individuals drive digital business transformation across EU countries; (4) to identify common patterns and disparities among EU member states based on their interrelationship between digital transformation and the economic, social, and environmental pillars of sustainability; (5) to highlight policy measures and business actions to align digital transformation strategies with the Sustainable Development Goals.
Although several studies have explored the impact of various digital technologies on socio-economic development, there is a noticeable gap in adopting an integrative and holistic approach to the digital transformation of businesses. This study aims to address this gap by constructing a composite index—Digital Business Transformation Index (DBTI)—using Principal Component Analysis. The index captures the cumulative adoption of eleven key digital technologies by enterprises, including cloud computing, CRM, ERP, 3D printing, robotics, artificial intelligence, IoT, big data analytics, and e-commerce platforms. Unlike previous research that typically focuses on a single or limited set of digitalization indicators, our approach offers a more comprehensive measure of enterprise-level digital transformation. Moreover, this study contributes to the literature by linking business digitalization with national performance on the Sustainable Development Goals (SDGs), adopting a holistic framework that integrates the socio-economic (SDG 8), industrial-innovation (SDG 9), and environmental (SDG 13) dimensions of sustainability. By aligning digitalization metrics with the three pillars of sustainability, we reveal how firm-level technological adoption contributes to broader national outcomes. The novelty of this research also lies in its multivariate analytical approach—including correlation analysis, regression modeling, and cluster analysis—to explore the complex relationships between digital transformation and sustainable development across EU countries.
Given the challenges that digital transformation poses for EU member states and beyond, a deeper understanding of its characteristics, drivers, and policy implications is essential. This research contributes to the existing literature by providing both theoretical insights and practical guidance for designing more effective policies that leverage digital transformation as a catalyst for social, economic, and environmental development.
2. Theoretical Background and Research Hypotheses
Digital transformation (DT) has received increasing attention from researchers, business experts, and government authorities who have provided plenty of definitions of this concept in the recent years [8,9,10,11,13,34,35,36]. Despite this growing interest, there remains a lack of consistency in how DT is conceptualized and applied, particularly concerning the level at which it is examined [37]. Some studies focus on DT at the societal or macroeconomic level [3,4,16,24,33], while others analyze it at enterprise level [17,35,38] or within specific industries [2,37,39].
Nwaiwu [40] suggests that “the issue of digital business transformation is still in an evolutionary stage” (p. 98), and therefore, a high degree of contextualization is often required when digital business transformation is implemented within a company. Schwertner [10] emphasizes that using as many technologies as possible is not enough for a successful DT. It is also important to rethink, reengineer, and optimize business processes for the company’s development. As previous research [8,21,41] has shown, progress in digital technologies is dramatically changing the way in which business is conducted, as well as the way in which the interplay between consumers, suppliers, and other stakeholders is created. Kowalkiewicz et al. [41] underlined that due to the disruptive nature of digital technologies, this progress brings plenty of challenges, but also various potential opportunities, especially for opportunity-driven businesses.
To assess the effects of digital transformation at different levels (enterprise, economy, and society), empirical studies have analyzed a range of digital technologies adopted by enterprises, including CRM, ERP, social media, e-commerce websites, digital platforms, cloud computing, 3D printing, robotics, AI, IoT, virtual reality, and so on.
Focusing on social media and e-commerce websites, the enterprises across different economic sectors undertook a rapid digital adaptation and intensified e-commerce to respond to the COVID-19 pandemic crisis [42]. An increase in e-commerce generates e-sales growth, boosts labor productivity, and, in turn, leads to growth in production and national GDP [43,44]. To transform their operational processes and business models, companies have extensively adopted digital technologies linked to internal management information systems such as ERP and CRM [21,24], which improve information flows through both the horizontal and/or vertical internal integration and integration with customers/suppliers. By combining the use of these technologies with cloud computing services (CCSs), companies can enhance the quality and efficiency of their core transactional and supply chain processes [22]. Additionally, integration of these technologies can result in an optimized business process, cost savings [21], as well as increased labor productivity [45]. Bach [46], who examined the level of ICT adoption by enterprises using indicators related to integration of internal process (ERP and CRM) and e-commerce, identified disparities across EU countries, often associated with national innovation performance.
Automation technologies have also contributed to economic performance. Graetz and Michaels [47] analyzed data from 17 developed countries (1993–2007) and found that increased robot adoption enhanced labor productivity and reduced output prices. Although the use of robots decreased low-skilled employment, it did not significantly affect total employment. Similarly, Stoica et al. [19] identified a moderate positive relationship between industrial robot use and both GDP per capita and labor productivity across 21 EU countries in 2021.
More recently, technologies like AI, big data, augmented and virtual reality, IoT, and blockchain have revolutionized how businesses create value and interact with consumers [21,44]. Hariyani et al. [1], through a systematic review, pointed out that digital technologies such as IoT, cloud computing, AI, blockchain, remote sensing, and big data analytics play a critical role in achieving the SDGs, including climate action (SDG 13), poverty alleviation (SDG 1), inclusive and equitable economic growth (SDG 8), and innovation, infrastructure development and industry growth (SDG 9). Vărzaru et al. [3] found that in EU countries, technologies like AI, big data, and cloud computing significantly contribute to advancing the Sustainable Development Goals, whereas the impact of the Internet of Things and autonomous robots is relatively moderate.
The relationship between digital transformation and environmental sustainability is complex. Through capabilities such as data analysis, intelligent decision-making, and information exchange, digital transformation is increasingly viewed as an effective means to enhance energy efficiency and facilitate the transition toward greener practices [48]. Moreover, compared to the traditional economy, the digital economy has demonstrated greater resource efficiency, particularly in reducing carbon emissions and environmental pollution [17,26,27,28]. Varriale et al. [2] in a systematic review of 578 papers, identified 1098 sustainable business practices involving 11 digital technologies across 17 industries in support of all 17 Sustainable Development Goals (SDGs). Their findings highlight the contribution of artificial intelligence to specific goals, notably affordable and clean energy (SDG 7), responsible consumption and production (SDG 12), and climate action (SDG 13). In the Chinese context, Li [49] found that digital transformation (including big data analytics, cloud computing, IoT, AI and blockchain) significantly enhances the economic performance of enterprises but follows an inverse U-shaped relationship with environmental performance. While many studies emphasize the positive contributions of digital transformation to a green economy, some researchers caution that the expansion of digital technologies can increase higher energy consumption and CO2 emissions [50,51,52,53]. The tension between the benefits of digital technologies and their unintended environmental consequences can be understood through the lens of the energy rebound effect and the concept of digital pollution. First, the energy rebound effect explains how improvements in energy efficiency, rather than reducing total energy use, can paradoxically lead to increased consumption [54,55]. As digital technologies improve the efficiency and reduce the cost of energy services, businesses and consumers often increase their usage in response to the reduced marginal costs. This behavioral and economic response can partially or even completely offset the anticipated energy savings [55,56,57]. Second, digital technologies require substantial material and energy inputs throughout their lifecycle. The manufacturing, deployment, and maintenance of digital infrastructure, ranging from data centers and communication networks to sensors and connected devices, demand significant amounts of electricity, raw materials, and operational energy [52,58]. For example, data centers and transmission networks alone account for nearly 1% of global energy-related CO2 emissions and their electricity use is projected to double by 2026 [59]. These facilities not only consume energy continuously but also require a highly reliable energy supply, which often still relies on fossil fuels [51]. These developments pose challenges for achieving the Sustainable Development Goals, particularly SDG 13 on climate action. The evaluation of environmental impacts arising from digital technologies, tools, and innovative business models remains a complex undertaking [60].
Given these dynamics, scholars call for integrated assessments of the impact of digital transformation on the economic and social dimensions of sustainability as well as on the environmental sustainability [17].
The above literature review reveals the multiple effects of using different digital technologies by enterprises at both micro and macro levels. Although most of these studies claim positive effects of digital technologies used by enterprises on their performance indicators as well as on performance macroeconomic indicators related to employment, labor productivity, economic growth and development, there are also research papers that have found insignificant effects or even negative effects [61,62]. In line with this, it is argued that these inconsistent results can be due to the researchers’ use of a range of different digital technologies which capture different aspects of digital transformation of business, which, in turn, can generate different effects on business, economy and society. One reason for taking into account different types of digital technologies is “a lack of clarity on what is meant by digital technologies” [37] (p. 938), on the one hand, and the rapid emergence and evolution of digital technologies, on the other.
Several researchers have employed composite indices to evaluate the degree of digitalization at enterprise level and its impact. Trască et al. [20], using the EC’s Digital Intensity score based on 12 technologies at the SME level in nine CEECs (2018), found a positive correlation with labor productivity (value added per employee). Brodny and Tutak [24] built a composite index incorporating key enterprise digital technologies (AI, robots, 3D printing, ERP, CRM, cloud computing, and big data) and applied the Entropy-MOORA method to show a positive link between technologies use and GDP per capita in EU-27 countries in 2020. Aly [25], using cross-section data for a group of 25 developing countries, in 2017, identified a positive relationship between DT (measured by different indexes such as Digital Adoption Index, Enabling Digitalization Index, DESI), on the one hand, and labor productivity, economic development, and employment, on the other hand. Herman [33] reported a significant positive impact of digital entrepreneurship measured by the European Index of Digital Entrepreneurship Systems (EIDES) on the achievement of SDGs, in EU-25 countries, in the 2018–2019 period. Grigorescu et al. [16] found that higher digitalization of an economy (measured by ICT Development Index and Networked Readiness Index) and stronger human capital (Human Development Index—HDI) positively influenced population’s welfare (GDP per capita) in 11 central and eastern EU countries from 2000 to 2018. For 139 countries, Gouvea et al. [63] found that ICT (expressed by the Network Readiness Index) and human development (HDI) had positive and interactive effects on environmental sustainability (Environmental Performance Index).
Several enablers of DT have been identified. Previous research [64,65] demonstrated that R&D investment is an essential driving factor behind the adoption of digital technologies by enterprises, influencing directly and/or indirectly the economic performance of businesses. Moreover, other authors [66] emphasize the importance of specific competencies and skills for DT, pointing out the existence of a large gap between available skills and required skills. As Wade [36] underlined, one of the most important priorities of an enterprise seeking to achieve successful digital business transformation is “work and workers”. Researchers showed that adopting and exploiting digital technologies have significantly changed the nature of work, the way in which the work and workplaces are organized, for the past decade, generating substantial consequences for skills demand, labor standards, and workers’ welfare [67]. The ICT revolution and Industry 4.0 have fueled an increase in high-skilled jobs which require cognitive and digital skills and, in turn, are feasible to be performed at home [68]. These changes require companies to adapt their HR strategies according to the new digital realities, as there is a critical need for ICT specialists and workers with digital skills as well as for training the workforce to enable them to use digital technologies [9,43,69].
In light of the above literature review, it is highlighted that a wide range of indices and indicators regarding the DT of business have been used to analyze the impact of DT on the business efficiency, or on socio-economic growth and development, or on environmental development.
Building on these insights, this paper introduces as a novelty the construction of a composite index based on eleven indicators (which will be described in the next section) related to e-commerce and e-business, which allows us to evaluate the degree of digital transformation of businesses across EU countries. The paper adopts an integrated perspective on the relationship between digital transformation and sustainable development, focusing on the main research question: To what extent does the degree of business digital transformation influence the achievement of SDGs—an approach that enhances well-being and equity while minimizing environmental harm? Additionally, the current study explores the extent to which key factors, such as enterprise investment in ICT training and research and development, and digital skills influence the digital business transformation.
Although business digitalization is directly or indirectly linked to all 17 Sustainable Development Goals (SDGs), this paper concentrates on three in particular: SDG 8—“Promote sustained, inclusive, and sustainable economic growth, full and productive employment, and decent work for all”; SDG 9—“Build resilient infrastructure, promote inclusive and sustainable industrialization, and foster innovation”; and SDG 13—“Take urgent action to combat climate change and its impacts”. These goals reflect the convergence of inclusive economic development, employment, industrial innovation, and environmental sustainability. The selection of these specific SDGs is grounded in their frequent emphasis in both literature [1,2,3,4,15,70,71] and policy frameworks [7,32,72], which highlight the critical role of digital transformation in promoting economic inclusivity, technological innovation, and climate action.
Digital transformation has the potential to enhance productivity, improve efficiency, and create new job opportunities by automating processes, enabling remote work, and expanding access to global markets [1,20,42,44,67]. Nevertheless, it may also lead to job displacement [61,73], making it necessary to implement inclusive labor policies and invest in upskilling to ensure that economic growth remains equitable and sustainable—key priorities under SDG 8 [7,74].
In relation to SDG 9, emerging digital technologies such as the Internet of Things (IoT), artificial intelligence (AI), and cloud computing are revolutionizing industrial operations [15]. These technologies optimize supply chains, support smart manufacturing, reduce waste, and promote more efficient use of resources [1,23,26]. They also drive investment in infrastructure, particularly digital connectivity, and extend access to essential services in underserved areas, contributing to more inclusive and sustainable industrial development [74,75].
Regarding SDG 13, while digitalization enables tools for climate monitoring, energy management, and environmental data analysis [2], it also brings environmental challenges [51]. The growing demand for energy, expansion of data centers, and increasing levels of e-waste contribute to greenhouse gas emissions [52,58]. Therefore, it is crucial to mitigate these effects through environmentally conscious digital practices—such as adopting green IT, energy-efficient cloud infrastructure, and sustainable e-commerce models—to ensure digitalization aligns with climate action objectives [7,53,76].
Finally, alongside examining how digital transformation supports the economic, social, and environmental pillars of sustainable development, this study also evaluates overall SDG performance by considering the average progress across all 17 goals.
Based on these premises, the following hypotheses (H) were developed:
H1.
Digital business transformation has a positive impact on the achievement of the SDGs (SDG 8, SDG 9, SDG 13, and Total SDGs).
H2.
A higher degree of digital business transformation in EU countries is associated with greater enterprise investment in ICT training and research and development, as well as higher levels of individuals’ digital skills.
H3.
EU countries exhibit both common patterns and significant differences in the interplay between the digital transformation of businesses and the social, economic and environmental pillars of sustainability (SDG 8, SDG 9 and SDG 13).
3. Materials and Methods
3.1. Variables, Data, and Sample
To achieve the aim of this study, the first stage involves constructing a composite index (Digital Business Transformation Index—DBTI) to evaluate the degree of digital transformation of businesses in EU countries, for the most recent year with available data (2023). Definitions of digital transformation (DT) vary, reflecting its multidimensional nature. Fitzgerald et al. [11] define DT as “the use of new digital technologies (social media, mobile, analytics or embedded devices) to enable major business improvements (such as enhancing customer experience, streamlining operations or creating new business models)” (p. 2). Similarly, Schwertner [10] describes DT as “the application of technology to build new business models, processes, software, and systems that result in more profitable revenue, greater competitive advantage, and higher efficiency.” (p. 388). Furthermore, Matt et al. [77] identify four core dimensions of a comprehensive digital transformation strategy: (1) use of digital technologies, (2) changes in value creation, (3) structural transformations, and (4) financial impacts. Given this study’s focus on cross-national comparison using harmonized and available Eurostat data, we concentrated on the “use of digital technologies” dimension. This reflects enterprises’ willingness and capacity to adopt, implement, and benefit from new digital tools, which serves as a key enabler of broader transformation processes [77,78]. Based on the literature review and the complete dataset, eleven variables related to e-commerce and e-business were selected to construct the DBTI.
Table 1 presents the variables used, along with their significance and units of measurement. All variables indicate the percentage of enterprises (all enterprises, without financial sector, with 10 or more employees and self-employed persons) that use a given digital technology.
Table 1.
Indicators for digitalization of EU businesses.
In the second stage of this study, the Digital Business Transformation Index obtained, along the variables described in Table 2, is used to test Hypotheses H1, H2 and H3.
Achievements in sustainable development were analyzed using four composite indexes: the SDG 8 Index score, SDG 9 Index score, SDG 13 Index score, and the Total SDG Index score, for the year 2023. These indexes assess each country’s performance on a scale from 0 to 100, where 100 represents the best possible outcome and can be “interpreted as a percentage towards optimal performance on the SDGs” [79], (p. 68). Accordingly, the gap between a country’s score and 100 indicates the remaining percentage points needed to achieve full SDG performance [79].
Each EU country’s Total SDG Index score is calculated as the average of its scores across all 17 Sustainable Development Goals, based on 125 indicators that cover social and economic prosperity as well as environmental sustainability. Each goal is weighted equally in the overall score, reflecting policymakers’ commitment to treating all SDGs as integrated, indivisible, and of equal importance [79]. As shown in Table 2, substantial disparities exist among EU-27 countries in their performance across the Sustainable Development Goals (SDGs) analyzed. In 2023, the Total SDG Index score ranged from 72.92% in Cyprus to 86.35% in Finland, with a mean of 80.24%. Finland emerges as the overall top performer, reflecting consistently high scores across the individual SDGs. In contrast, Cyprus ranks lowest, primarily due to weaker outcomes in SDGs 8 and 9. The relatively small standard deviation (σ = 3.063) suggests moderate convergence among EU countries in their overall sustainable development performance.
Table 2.
Sustainable development variables and the main enablers of digital business transformation in EU countries: Descriptive statistics.
Table 2.
Sustainable development variables and the main enablers of digital business transformation in EU countries: Descriptive statistics.
| Variables | Minimum | Maximum | Mean | Std. Deviation (σ) | Skewness * | Kurtosis ** |
|---|---|---|---|---|---|---|
| Sustainable development goals | ||||||
| Total SDG Index score (0–100%) | 72.92 (CY) | 86.35 (FI) | 80.24 | 3.063 | −0.093 | 0.361 |
| SDG 8 Index score (0–100%) | 69.09 (CY) | 84.62 (MT) | 79.69 | 3.526 | −1.01 | 1.602 |
| SDG 9 Index score (0–100%) | 70.07 (BG) | 98.28 (SE) | 86.05 | 8.324 | −0.234 | −0.82 |
| SDG 13 Index score (0–100%) | 46.46 (NL) | 87.12 (RO) | 73.37 | 10.678 | −1.225 | 1.094 |
| Main enablers of digital business transformation | ||||||
| Digital skills level 1 | 27.73 | 82.70 | 57.63 | 12.653 | −0.142 | 0.382 |
| Enterprise ICT training 2 | 8.84 | 39.83 | 22.48 | 7.849 | 0.217 | −0.403 |
| Business expenditure on R&D (BERD) 3 | 0.28 | 2.67 | 1.15 | 0.710 | 0.679 | −0.577 |
Note: * std. error = 0.448; ** std. error = 0.872; 1 individuals with basic or above basic overall digital skills (all five component indicators are at basic or above basic level) as percentage of individuals; 2 enterprises that provided training to develop/upgrade ICT skills of their personnel (percentage of enterprises); 3 percentage of gross domestic product (GDP). Total SDG Index scores = average of all 17 SDGs scores; SDG 8—“Promote sustained, inclusive and sustainable economic growth, full and productive employment and decent work for all”; SDG 9—“Build resilient infrastructure, promote inclusive and sustainable industrialization and foster innovation”; SDG 13—“Climate action”. Source: own calculations based on references [29,80].
The SDG 8 Index score—“Promote sustained, inclusive and sustainable economic growth, full and productive employment, and decent work for all”—is based on nine indicators. These indicators relate to economic performance, employment and labor participation, labor rights and working conditions, and financial inclusion [80]. For SDG 8, Malta achieved the highest score (84.62%), while Cyprus again recorded the lowest (69.09%). The variation in scores is moderately wider (σ = 3.526), indicating disparities in labor market outcomes and economic resilience within the EU (Table 2).
The SDG 9 Index score—“Build resilient infrastructure, promote inclusive and sustainable industrialization, and foster innovation”—is based on eleven indicators. These indicators reflect aspects such as infrastructure quality, digital access and technology use, research and innovation capacity (e.g., expenditure on R&D as a percentage of GDP), and the quality and inclusiveness of higher education [80]. Data from Table 2 show that SDG 9 exhibits the most pronounced disparities, with a standard deviation of 8.324 and a range of over 28 points. Sweden leads with an outstanding score of 98.28%, reflecting strong performance in R&D investment, digital infrastructure, and patent generation. Bulgaria ranks lowest (70.07%), followed closely by Romania (70.55%), indicating structural weaknesses in their innovation systems and industrial modernization.
The SDG 13 Index score—“Climate Action”—is assessed using four indicators: CO2 emissions from fossil fuel combustion and cement production, GHG emissions embodied in imports, CO2 emissions embodied in fossil fuel exports, and the Carbon Pricing Score at EUR60/tCO2 [80]. Among all the SDGs analyzed, SDG 13 exhibits the widest performance gap among member states, with scores ranging from 46.46% in the Netherlands and 47.19% in Luxemburg to 87.12% in Romania. It also has the highest standard deviation (σ = 10.678), highlighting a pronounced lack of convergence in climate-related indicators such as territorial emissions, carbon pricing mechanisms, and the carbon footprint of international trade.
Table 3 provides statistical evidence of progress made by EU countries in achieving the selected Sustainable Development Goals (SDGs) between 2017 and 2023. The paired samples t-test compares the average SDG scores over time to determine whether the observed changes are statistically significant.
Table 3.
Changes in Sustainable Development Goals: Paired Samples Test.
The Total SDG Index score increased from 78.97% in 2017 to 80.24% in 2023, which indicates a statistically significant improvement in the overall sustainable development performance of the EU-27 (t = −10.158, p = 0.000). This reflects coordinated policy efforts and the integration of sustainability into national agendas. SDG 8 improved modestly but significantly (+1.54 percentage points, p = 0.001), suggesting enhanced labor market conditions and economic resilience, albeit with persistent disparities across countries. SDG 9 recorded the largest and most significant gain, rising by 5.81 percentage points (p = 0.000). This underscores substantial progress in areas such as digitalization, R&D investment, and infrastructure development, as supported by descriptive data in Table 2. SDG 13 also improved slightly (+1.41 points, p = 0.047), but the small margin and high variability (see standard deviation in Table 2) reflect uneven progress and ongoing challenges in carbon reduction and climate-related policies across the EU.
Taken together, Table 3 complements Table 2 by illustrating not only the current status of sustainable development across EU member states, but also by confirming that the trends over time are statistically significant. The results indicate a clear, though uneven, trajectory toward the 2030 Agenda, with innovation and infrastructure emerging as the most dynamic area, while climate action remains the most fragmented and challenging domain.
To assess the main enablers of digital transformation of businesses, identified based on the literature review, we use three variables: the share of individuals having at least basic digital skills (individuals with basic or above basic overall digital skills (all five component indicators are at basic or above basic level) as percentage of individuals), the share of enterprises that provided training to develop/upgrade ICT skills of their personnel (percentage of enterprises), and business expenditure on R&D as a percentage of GDP (BERD).
The analysis covers all 27 EU member states, based on the availability of statistical data. Complete and comparable time-series data for all eleven variables selected to assess digital business transformation are currently unavailable for the EU-27. Consequently, this study relies on cross-sectional data from 2023, the most recent year for which consistent and comprehensive figures are published by Eurostat and other official sources. Although digital transformation is an ongoing, gradual process, the cross-sectional approach provides a valuable snapshot of digital maturity among EU enterprises at a critical juncture, post-pandemic and amid accelerated digital policy initiatives, such as the EU Digital Decade. While this approach cannot capture temporal dynamics, it provides meaningful insights into country-level variations, policy gaps, and the alignment between digital business transformation and sustainable development outcomes.
The statistical data used in this research were sourced from the Eurostat database [29] and the Database for the Sustainable Development Report 2024 [80]. Data analysis and processing were conducted using IBM SPSS Statistics, version 26.0.
3.2. Statistical Method
To assess the level of digital transformation among enterprises across EU-27 countries, a composite index—the Digital Business Transformation Index (DBTI)—was constructed. This index captures the multidimensional nature of digital adoption by incorporating eleven key indicators related to the use of digital technologies in businesses (see Table 1).
A range of statistical methods can be applied to construct and analyze a composite index [81,82,83]. In this study, we selected Principal Component Analysis (PCA) due to the fact that this method entails the reduction of a large number of initial variables into a few synthetic, uncorrelated factors (principal components). These components are linear combinations of the original variables and capture much of their variance [84].
Thus, PCA was used to reduce the eleven indicators (variables) of digital transformation of enterprises (Table 1) to a single composite index. Given that none of the eleven indicators alone can sufficiently represent the digital transformation of enterprises, a composite index is considered more appropriate and meaningful. The optimal number of principal components was determined using both the Kaiser criterion (the eigenvalue greater than one rule) and the cumulative variance criterion (retaining only those components that explain a large percentage, between 70% and 90%, of the total variation in the original variables) [84,85]. To capture the factor loadings and to interpret the main factors (components) in terms of the original variables, Varimax rotation method with Kaiser normalization was used.
After the principal components were determined, the weights of each principal component were calculated to construct the composite index. Among the various methods for determining weights [81,82], we selected the weights based on PCA to construct the composite index. Accordingly, the weight assigned to each principal component was determined based on the proportion of variance it explains relative to the total variance explained by all retained components.
Next, the composite index was transformed (using percentile rank) to take values between 0 (representing the lowest degree of DT of businesses) and 100 (representing the highest degree) for each EU member state. Thus, the resulting composite index (DBTI) measures the degree of DT of enterprises in each EU member state for the year 2023.
Descriptive statistics, correlation and regression analysis, as well as cluster analysis, were used to test the research Hypotheses H1, H2, and H3. The Pearson correlation coefficient (r) was employed to assess the strength and direction of the association between the analyzed variables.
To identify the impact of Digital Business Transformation Index (DBTI) as independent variable on the Total SDG Index, SDG 8 Index, SDG 9 Index, and SDG 13 Index (as dependent variables), simple linear regression analysis was employed, following Equation (1)
where Y—dependent variable (Total SDG Index, SDG 8 Index, SDG 9 Index and SDG 13 Index), X—explanatory variable (DBTI), α and β-regression coefficients, and ε-residual error.
Y = α+ β × X + ε
To investigate the influence of various potential factors (BERD, Enterprise ICT training and digital skills) on digital transformation of businesses (as dependent variable), hierarchical multiple linear regression analysis was employed, using Equation (2):
where Y-dependent variable (DBTI), X1, X2, X3—explanatory variables (BERD, digital skills and Enterprise ICT training), α and β1, β2, β3—regression coefficients, and ε-residual error.
Y = α + β1 × X1 + β2 × X2 + β3 × X3 + ε
To estimate the regression coefficients, the least-squares method was applied. Fisher Snedecor (F) statistic was used to assess the validity of the regression model. Model’s exploratory power and quality of prediction were assessed based on R-squared value (the coefficient of determination). Multicollinearity of the independent variables was tested based on variance inflation factor (VIF) [85].
To test H3, four variables (DBTI, SDG 8 Index, SDG 9 Index, and SDG 13 Index) were used in the cluster analysis to identify the relatively homogenous clusters among the EU-27 countries. Hierarchical cluster analysis, using Ward’s method and the Euclidian distance, was first applied to determine the optimal number of clusters. Subsequently, the clusters were formed using k-means cluster analysis [86]. These statistical techniques were employed to classify the EU-27 countries and offer a comparative perspective on the interplay between the selected variables.
4. Results and Discussion
4.1. Principal Component Analysis for Constructing the Composite Index—Digital Business Transformation Index (DBTI)
Table 4 presents the descriptive statistics (mean, minimum, maximum, standard deviation, skewness, and kurtosis) for eleven indicators related to the adoption and integration of digital technologies by enterprises in the EU-27 countries in 2023. Based on the standard deviation values, cloud computing services (CCSs) and enterprise resource planning (ERP) exhibited the highest variability, while the use of robots and 3D printing showed the lowest. All variables were right-skewed, indicating that the majority of countries reported values below the mean. The kurtosis values ranged from −1.227 to 0.551, suggesting a platykurtic distribution for all variables, meaning they had flatter distributions with fewer extreme outliers.
Table 4.
Variables included in the PCA: Descriptive statistics (n = 27).
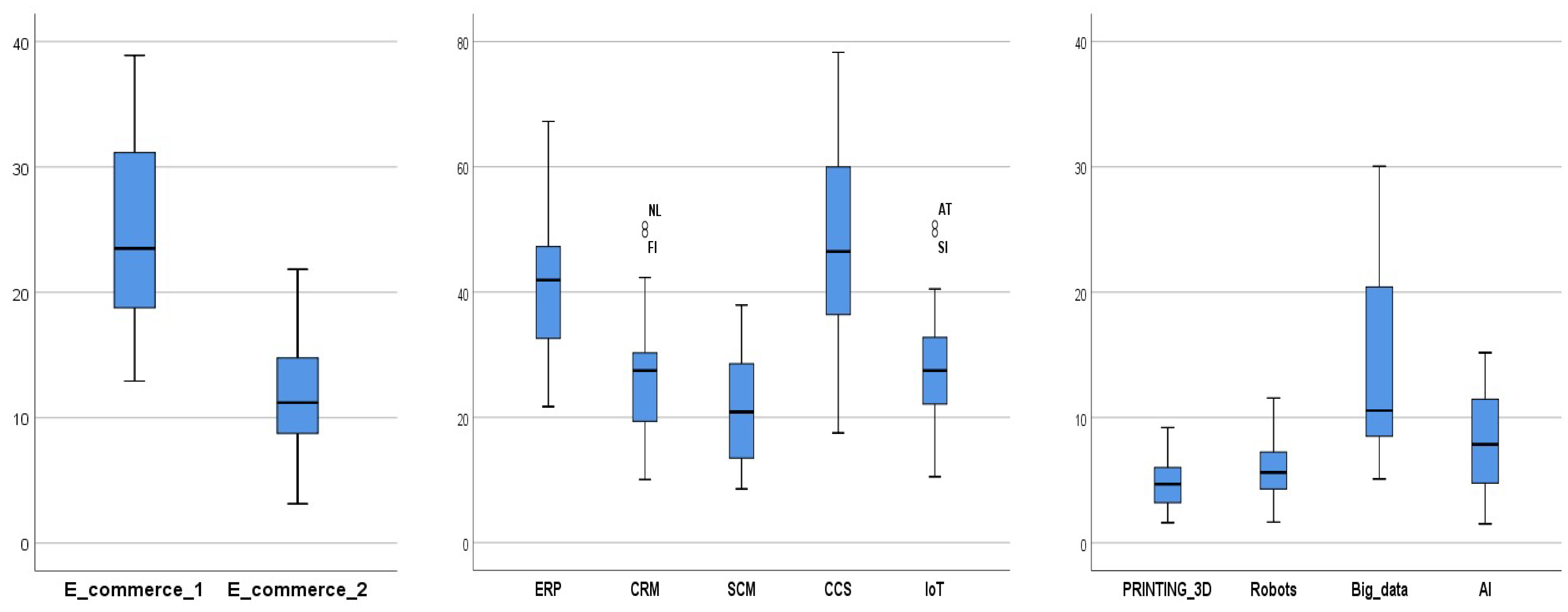
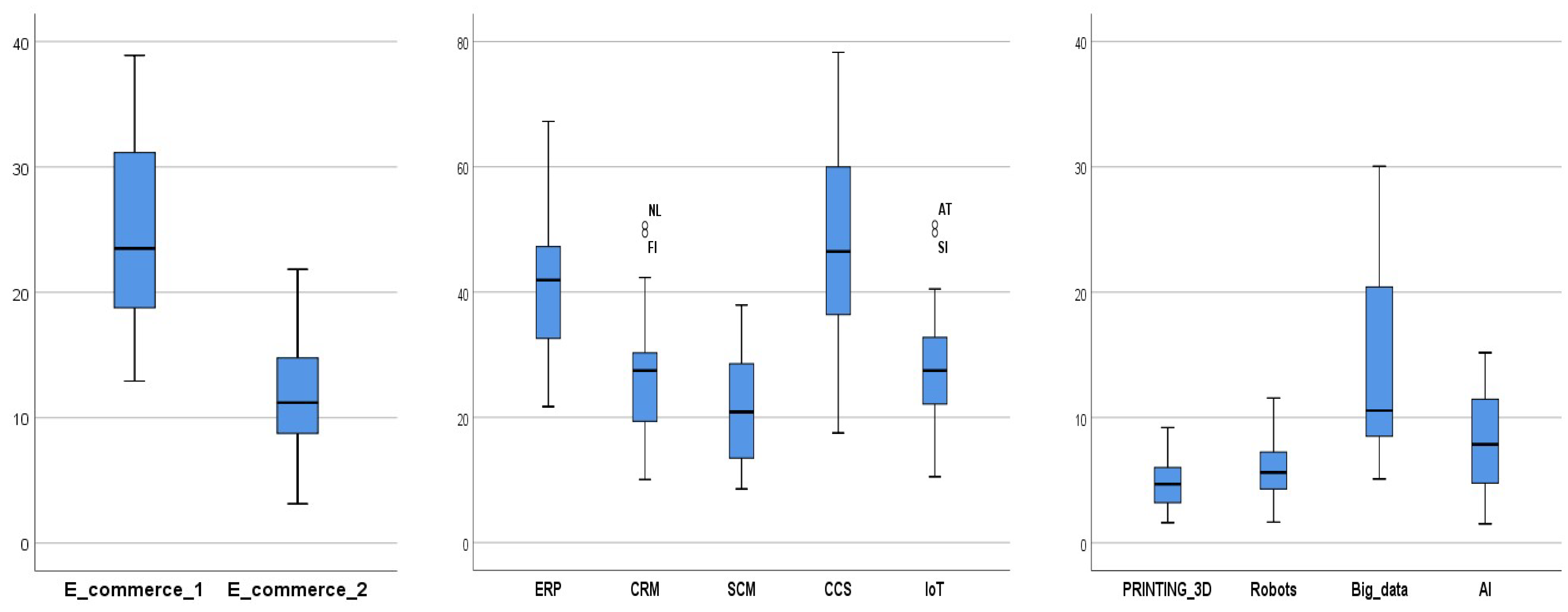
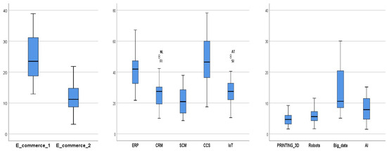
The most widely adopted digital technology among EU-27 enterprises in 2023 was cloud computing services (CCSs), with a usage rate of 46.81%, followed by enterprise resource planning (ERP) at 41.38%, Internet of Things (IoT) at 27.90%, and customer relationship management (CRM) systems at 26.57%. The least adopted technologies were 3D printing (4.70%), industrial or service robots (5.86%), and artificial intelligence (AI) (8.27%). The statistical data revealed significant disparities among EU countries in the adoption of all eleven digital technologies analyzed (Figure 1).
Figure 1.
Digital technologies used by the EU enterprises (% of total enterprises). Source: based on reference [29].
To highlight the progress of EU enterprises in digital transformation, six out of the eleven digital technologies were selected based on their availability over at least three years and comparability over time. Table 5 presents the results of paired samples t-tests comparing enterprise adoption levels of these digital technologies between two time points—primarily 2017 and 2023, with exceptions for CCS (compared between 2018 and 2023) and AI (compared between 2021 and 2023).
Table 5.
Digital technologies used by the EU enterprises in 2023 vs. 2017: Paired Samples Test.
Two key e-commerce indicators recorded statistically significant increases. The share of enterprises engaging in any form of e-commerce sales rose from 19.61% in 2017 to 24.99% in 2023 (p = 0.000). Similarly, the proportion of enterprises in which B2C web sales accounted for more than 10% of web turnover grew from 8.12% to 11.93% (p = 0.000). These trends suggest growing investment in digital sales infrastructure, likely driven by evolving consumer behavior and broader digital transformation initiatives. Regarding internal digital integration, ERP systems adoption rose significantly from 34.02% to 41.38% (p = 0.000), reflecting enterprises’ efforts to enhance internal efficiency and information sharing. Likewise, SCM (supply chain management) technologies saw an increase from 16.29% to 21.62% (p = 0.003), indicating improved digital integration with suppliers and customers. Cloud computing services experienced the most substantial growth, with adoption increasing from 28.53% in 2018 to 46.81% in 2023 (p = 0.000). This sharp rise highlights a growing reliance on scalable, internet-based platforms, particularly in response to demands for remote work, flexibility, and real-time data access. In contrast, AI adoption showed only a marginal increase (from 7.70% in 2021 to 8.24% in 2023) and this change was not statistically significant (p = 0.212). Despite widespread interest in AI, practical implementation remains limited, possibly due to technical, financial, or strategic constraints [14].
Considering that cloud computing services, the most widely used of the eleven digital technologies analyzed in 2023 among EU-27 countries, are delivered online, enterprise access to the internet, particularly high-speed connectivity, is a key prerequisite for their effective use, as well as for the adoption of other digital technologies. In line with this, statistical data from the Eurostat Database [29] show that, on average, only 31.36% of EU enterprises have internet connections with speeds between 100 Mb/s and 500 Mb/s. Countries such as Finland, Sweden, Denmark, Belgium, and the Netherlands report the highest shares of enterprises with such high-speed connections, ranging from 36% to 48%. In these countries, enterprises also made significantly greater use of digital technologies related to e-business and e-commerce (Figure 1). These findings support the argument that adequate digital infrastructure is essential for the implementation and integration of advanced digital technologies, an assertion also emphasized in previous studies [4,87]. Furthermore, the varying adoption rates of digital technologies by enterprises across EU countries can be attributed to national contextual factors such as ICT infrastructure, level of economic development, sectoral composition of the economy, employment patterns, and the institutional framework [38].
Principal Component Analysis (PCA) was applied to construct the Digital Business Transformation Index (DBTI), taking into account the cumulative influence of the eleven variables related to the degree of enterprise digitalization across EU countries. All variables were subjected to PCA with Varimax rotation (Kaiser normalization; rotation converged in 7 iterations). As a result, the eleven variables were grouped into three main components (factors) (Table 6), which together explain 77.283% of the total variance.
Table 6.
PCA results: Total variance and eigenvalues explained.
The results of the Principal Component Analysis show that all variables exhibit satisfactory communalities, ranging from 0.616 to 0.883, indicating that a substantial portion of each variable’s variance is explained by the extracted components. To assess the quality and suitability of the PCA results, the Kaiser–Meyer–Olkin (KMO) measure and Bartlett’s test of sphericity were applied (Table 7). The KMO value of 0.759 exceeds the minimum threshold of 0.5 [86], indicating adequate sampling for PCA. Additionally, Bartlett’s test of sphericity yielded a statistically significant result (approx. χ2 = 193.961, df = 55, p < 0.001), further confirming the dataset’s suitability for Principal Component Analysis.
Table 7.
KMO and Bartlett’s Test.
As shown in Table 6, Table 7 and Table 8, the first principal component (PC1) explains 54.901% of the total variance in the original variables and comprises seven indicators. Based on the rotated component matrix (Table 8), PC1 is strongly and positively correlated with artificial intelligence (AI), robots, enterprise resource planning (ERP), customer relationship management (CRM), 3D printing, big data, and supply chain management (SCM) systems. The second principal component (PC2) explains 12.196% of the total variance and is strongly positively correlated with e-commerce platforms and e-commerce sales, and moderately positively correlated with cloud computing services (CCSs). The third principal component (PC3) consists solely of the Internet of Things (IoT) and explains 10.186% of the total variance.
Table 8.
Principal Components for EU countries (Rotated Component Matrix).
In the next step, the composite index was calculated using the weights of each principal component (factor) based on their contribution to the total variance. Thus, the Digital Business Transformation Index (DBTI) was computed as follows:
Subsequently, the DBTI was transformed using percentile ranking to scale its values between 0 and 100, where 0 represents the lowest level of digital transformation among businesses and 100 represents the highest.
Figure 2 presents the DBTI values for each of the analyzed countries. The best-performing countries are Denmark, Finland, Belgium, the Netherlands, Malta, and Germany, all of which have DBTI scores above 75%. In contrast, Romania, Bulgaria, Greece, Hungary, Latvia, and Croatia are the lowest performers, with DBTI scores below 25%.
Figure 2.
Digital Business Transformation Index (DBTI) for the EU-27 countries, in 2023. Source: own calculations based on [29].
The DBTI results highlight a clear regional disparity: northern and western EU countries generally exhibit a higher level of digital business transformation (DBTI above 50%), while eastern and southern EU countries tend to have significantly lower levels (DBTI below 50%). These findings confirm the existence of a persistent west–east and north–south divide in digital business transformation across the EU. Our results are consistent with and complementary to those reported in other studies [16,18,33] which identified similar digital divides using alternative composite indices such as Digital Economy and Society Index, Networked Readiness Index, European Index of Digital Entrepreneurship Systems, and the Enterprise Digital Development Index.
4.2. Influence of Digital Transformation of Businesses on the Achievement of Sustainable Development Goals: Correlation and Regression Results
The composite index (DBTI) was used in the correlation and regression analyses to examine the relationship between the digital transformation of EU businesses and progress on SDG 8, SDG 9, SDG 13, and Total SDG performance across EU countries.
Table 9 presents the results of the correlation analysis between the Digital Business Transformation Index (DBTI) and the selected Sustainable Development Goals. The DBTI is positively correlated with SDG 9 (r = 0.792) and Total SDG performance (r = 0.468), and negatively correlated with SDG 13 (r = −0.493). These findings indicate that EU countries with higher levels of digital business transformation tend to perform significantly better on SDG 9 (Industry, Innovation, and Infrastructure) and overall SDG achievement. However, the negative correlation with SDG 13 (Climate Action) suggests that countries prioritizing digital transformation in business may be lagging in climate efforts or encountering trade-offs between technological advancement and environmental sustainability.
Table 9.
Correlation matrix.
Also, Total SDGs is positively correlated with SDG 8 (r = 0.534) and SDG 9 (r = 0.637). This suggests that EU countries with a high level of employment and economic development (SDG 8), as well as strong innovation and infrastructure (SDG 9), tend to perform better in overall sustainable development. No significant correlation was identified between Total SDGs and SDG 13 (r = 0.178), indicating that progress in climate action does not strongly align with overall SDG performance in EU countries. As all Pearson correlation coefficients are below 0.8, multicollinearity does not pose a problem for subsequent econometric estimations [85].
Furthermore, to assess the extent to which the digital transformation of EU businesses influences performance in the three analyzed pillars of sustainability (SDG 8, SDG 9, and SDG 13), as well as overall sustainable development (Total SDGs), a regression analysis was conducted (see Table 10).
Table 10.
Regression results: the impact of digital transformation of businesses (DBTI) on sustainable development (SDG 8, SDG 9, SDG 13, and Total SDGs).
Model 1 indicates no statistically significant effect of DBTI on SDG 8 (F(1, 25) = 3.945, p = 0.058). Although the standardized coefficient (β = 0.369) suggests a potentially positive association between digital business transformation and socio-economic sustainability, the result is only marginally significant and falls just above the conventional 0.05 threshold. This limits the strength of inference and calls for caution in interpreting the finding as evidence of a substantive effect. The marginal p-value may reflect a Type II error, where the model fails to detect a true relationship due to limited statistical power, which may be influenced by the relatively small sample size (n = 27) and potential heterogeneity across EU countries. Socio-economic outcomes of digitalization can vary significantly depending on contextual factors such as labor market conditions, the availability of digital skills, and sectoral economic structures across countries. While digital transformation generally enhances productivity, its short-term effects on employment may be uneven or delayed, particularly in economies facing digital skill gaps or structural rigidities [15,61,67]. For instance, Fernandez-Portillo et al. [88] found that ICT positively impacted sustainable economic development, measured by GDP per capita, in EU countries between 2014 and 2017, and highlighted the importance of improving digital skills and connectivity to reinforce this relationship.
Model 2 is statistically significant at the 0.001 level (F(1, 25) = 42.826, p < 0.001) and explains a substantial portion of the variation in SDG 9 performance (R2 = 0.631; adjusted R2 = 0.617). The high standardized coefficient (β = 0.795) suggests that digital transformation is a major driver of innovation and infrastructure development, making it a key enabler for achieving SDG 9 in EU countries.
Model 3 reveals a significant negative influence of DBTI on SDG 13 [β = −0.503; F(1, 25) = 8.468, p = 0.007]. The model explains 25.3% of the variance in SDG 13 performance (R2 = 0.253; adjusted R2 = 0.223), indicating that higher levels of digitalization are associated with weaker climate action performance. This negative relationship likely reflects the environmental costs associated with the expansion of digital technologies. Core sectors of digital transformation, such as data centers, digital logistics, and high-tech manufacturing, are highly energy-intensive, as they require substantial electricity and resource inputs across their lifecycle [52,58]. These demands contribute directly to increased energy consumption and carbon emissions, particularly when fossil fuels remain the dominant source of energy. Moreover, this outcome is consistent with findings from previous studies [51,55,57] which highlight the role of the energy rebound effect. As digital technologies improve energy efficiency and reduce the effective cost of energy services, they often stimulate increased usage, partially or fully offsetting the expected environmental gains. This dynamic helps explain why digitalization, despite its potential for efficiency improvements, may ultimately exacerbate environmental degradation if not managed carefully. This suggests that digitalization alone does not guarantee climate progress and may even create environmental trade-offs without targeted green policies.
Moreover, because the SDG 13 Index includes indicators such as CO2 emissions from fossil fuel combustion, emissions embodied in trade, and the Carbon Pricing Score at €60/tCO2 [80], the DBTI–SDG 13 relationship may reflect broader structural factors, including energy mix (e.g., dependence on coal vs. renewables), carbon pricing intensity, and fossil fuel reliance. These confounding elements, which vary across EU states, underscore the need for integrated digital and green transition strategies that align technology investments with carbon reduction pathways.
Model 4 indicates a moderate and statistically significant positive relationship between DBTI and the Total SDG Index (R2 = 0.220; adjusted R2 = 0.188). The model explains approximately 22% of the variance in overall SDG performance (F(1, 25) = 7.034, p = 0.014), suggesting that countries with higher levels of digital business transformation tend to achieve better overall outcomes across the Sustainable Development Goals. The regression coefficient (B = 0.051, p = 0.014) implies that for each additional point in DBTI, a country’s Total SDG score increases by 0.051 points. The standardized coefficient (β = 0.469) reflects a moderate effect size, while the standard error of the estimate (2.76) indicates a relatively close alignment between predicted and observed SDG values. These findings support the argument that digitalization of businesses contributes positively to sustainable development. However, a large share of the variance (approximately 80%) remains influenced by other structural and contextual factors.
The type and magnitude of the impact of digital transformation of businesses on sustainable development in EU countries depend on multiple factors, such as cultural context, infrastructure, and government regulation [89]. It is important to note that for sustainable development, the mere availability of digital technologies and ICT infrastructure is not sufficient. Equally critical is the capacity of individuals and organizations to effectively and creatively utilize these technologies [72].
Based on the correlation and regression results, Hypothesis 1—Digital business transformation has a positive impact on the achievement of the SDGs (SDG 8, SDG 9, SDG 13, and Total SDGs)—is partially confirmed. Digital business transformation in EU countries positively influences progress toward inclusive industry and innovation-related sustainability goals (SDG 9) and overall SDG performance. However, its effects on “sustained, inclusive and sustainable economic growth, full and productive employment, and decent work for all” (SDG 8) and climate action (SDG 13) are more complex and dependent on contextual factors.
These results partially align with previous studies [16,24,25,63,89,90] that have highlighted the positive effects of digital transformation—measured by various indicators such as the Digital Adoption Index, Enabling Digitalization Index, ICT access, ICT usage, and DESI—on dimensions of sustainability, including economic development, employment, labor productivity, and human development. Moreover, this study advances the literature by constructing a composite Digital Business Transformation Index (DBTI) specifically tailored to EU enterprises and directly linking it with SDG achievement at the country level. This integrated approach allows for a more precise assessment of how business digitalization contributes to sustainable development across the EU, capturing both its benefits and trade-offs.
To examine the influence of potential factors on the digital transformation of business, such as enterprise investment in ICT training, business expenditure on research and development (BERD), and digital skills levels of individuals, a multiple linear regression was conducted. The hierarchical regression results, presented in Table 11, show that the model is statistically significant overall (F(3, 23) = 16.925, p < 0.001), explaining approximately 65% of the variance in DBTI (adjusted R2 = 0.648).
Table 11.
Results of hierarchical multiple regression analysis for DBTI.
Among the predictors, enterprise ICT training has a strong and significant positive effect on DBTI (β = 0.611, p = 0.002), indicating that countries with higher shares of enterprises providing ICT training (like Denmark, Finland, Belgium, and the Netherlands) tend to achieve higher levels of digital business transformation (Figure 3). Although digital skills and BERD exhibit positive relationships with DBTI, their effects are not statistically significant (p = 0.222 and p = 0.458, respectively), fact which suggests that their impact may be more complex or mediated by other factors, such as the quality of training programs or the broader innovation ecosystem.
Figure 3.
The link between digital skills, enterprise ICT training, and DBTI in EU countries. Note: * individuals with basic or above basic overall digital skills (all five component indicators are at basic or above basic level) as percentage of individuals; ** enterprises that provided training to develop/upgrade ICT skills of their personnel (percentage of enterprises). Source: own calculations based on [29].
Our results highlight enterprise ICT training, digital skills, and BERD as important antecedents of digital business transformation in the EU-27. Specifically, the share of enterprises providing ICT training significantly predicts DBTI levels, emphasizing the crucial role of workforce upskilling in driving digital transformation. Consequently, Hypothesis H2 is partially confirmed, with enterprise ICT training identified as a key driver of digital transformation in EU businesses.
Corroborating these findings with earlier regression models (Models 2 and 4, Table 10), which demonstrate that DBTI strongly influences progress on SDG 9 and has a moderate positive effect on overall SDG performance, we conclude that investments in training and skills development indirectly contribute to sustainable development by enhancing DBTI, which in turn drives better SDG outcomes.
4.3. The Interplay Between Digital Transformation of Businesses and Social, Economic and Environmental Pillars of Sustainability in the EU Countries: Cluster Analysis
To test Hypothesis 3, a cluster analysis was conducted using four variables: DBTI, SDG 8, SDG 9, and SDG 13. Both hierarchical cluster analysis (using Ward’s method and Euclidean distance) and K-means clustering were employed to determine the optimal number and composition of clusters. As shown in Table 12, Table 13 and Table 14 and Figure 4, the EU countries were grouped into six distinct clusters.
Table 12.
The results of the cluster analysis: Initial and final cluster centers.
Table 13.
The results of the cluster analysis: ANOVA.
Table 14.
The results of the cluster analysis: Silhouette Statistics.
Figure 4.
Clustering of EU-27 countries based on interplay between DBTI and performance in three SDGs (SDG 8, SDG 9, and SDG 13) using MapChart https://www.mapchart.net (accessed on 15 June 2025).
The final cluster centers reveal clearly differentiated profiles across DBTI and the three SDG indicators. The changes between initial and final cluster centers indicate that the K-means algorithm successfully refined the cluster composition, producing well-defined and statistically robust clusters (Table 12). ANOVA results (see Table 13) confirm statistically significant differences between clusters, especially for DBTI (F = 92.47, p < 0.001), SDG 9 (F = 10.68, p < 0.001), and SDG 13 (F = 9.70, p < 0.001). Although SDG 8 also contributes to cluster differentiation, its impact is comparatively weaker (F = 3.91, p = 0.01). These findings suggest that disparities in digital transformation, innovation, and climate policy effectiveness are the main drivers of the clustering solution.
Table 14 summarizes the silhouette statistics, confirming the validity of the six-cluster solution. The overall silhouette score of 0.547 (above the 0.5 threshold suggested by [91]) indicates well-defined clusters. This score reflects moderate to good cohesion within clusters and clear separation between them [91,92], supporting a robust and meaningful segmentation of the dataset.
Cluster 1, which includes Luxembourg, Malta, and the Netherlands, comprises countries with the highest scores in economic growth and employment (SDG 8–82%), as well as strong performance in innovation (SDG 9–87.98%) and digital transformation (DBTI—79.76%) (see Table 12 and Figure 5). However, these countries perform the lowest among all clusters in climate action (SDG 13–51.81%). These are socio-economically strong, digitally mature nations, likely characterized by early digital-industrial leadership. Yet, they have not fully integrated climate considerations into their development models. Accordingly, a key challenge for this cluster is to reconcile digital competitiveness with environmental sustainability.
Figure 5.
SDG 8, SDG 9, SDG 13, and DBTI (mean values per cluster). Source: own calculations based on [29,80].
Cluster 2, consisting of four countries (Cyprus, Estonia, Lithuania, and Slovakia), lags behind in both the digital transformation of businesses and socio-economic indicators. With a low DBTI score (30.4%) and an SDG 9 score (80.1%), moderate performance in SDG 13 (73.1%), and the lowest SDG 8 score (74.21%) among all clusters (Figure 5), these countries appear to be in the early stages of systemic transformation. Despite their digital shortcomings, their relatively moderate climate scores suggest a higher awareness of environmental issues—especially when compared to Clusters 1 and 4—and a growing focus on green development.
Cluster 3 includes seven EU countries (Austria, Czech Republic, Italy, Ireland, Portugal, Poland, and Slovenia). These countries exhibit balanced but middle-tier performance across all dimensions. They rank moderately high in socio-economic and innovation indicators (SDG 8–80.1%; SDG 9–87.1%) and show moderate levels of digital transformation (DBTI—50.0%) and climate action (SDG 13–74.6%). Among the countries included in this cluster, Poland and Ireland rank highest for SDG 8 (83.93% and 83.22%, respectively), while Austria and Italy lead in SDG 9 (97.35% and 88.55%). Portugal and Italy perform best in SDG 13 (84.21% and 80.81%), and Slovenia and Italy dominate the cluster in terms of DBTI (60.71% and 57.14%) (see Figure 6 and Figure 7). This cluster represents a “middle path” group (neither leaders nor laggards) without pronounced trade-offs. Their development model may serve as a reference point for integrated advancement. While their broad-based performance reflects coherent policy frameworks, further acceleration is needed to elevate them into the highest-performing level.
Figure 6.
DBTI in EU countries and its association with (a) SDG 9 and (b) SDG 8.
Figure 7.
The negative link between DBTI and SDG 13 in EU countries.
Cluster 4, comprising Belgium, Denmark, and Finland, represents top-tier digital and innovation leaders. These countries have the highest scores in digital transformation of business (DBTI—92.86%) and innovation (SDG 9–96.66%), along with strong socio-economic performance (SDG 8–81.3%). However, their performance in climate action is lower than expected for such advanced economies (SDG 13–68%), making this the second weakest cluster in that dimension. This suggests that rapid digital and industrial transformation may not yet be fully aligned with de-carbonization goals. It reflects the typical profile of digital-industrial states: technologically advanced and innovation-driven, but still working to fully integrate climate objectives into their growth models. Based on previous studies [54,55,57], higher urbanization, greater R&D intensity, lower coal dependency, and a larger tertiary sector share can amplify the rebound effect, potentially offsetting climate action gains. These factors likely contribute to the relatively low SDG 13 performance observed in Clusters 1 and 4. As statistical data show [93], these countries exhibit, on average, higher levels of urbanization and R&D intensity, higher tertiary sector and lower coal use than other EU member states, conditions that may intensify the rebound effect and challenge progress in climate action.
Cluster 5, consisting of four countries (Germany, France, Spain, and Sweden) represents a more balanced group in terms of the interplay between digital transformation and sustainable development. This cluster ranks highly across all four indicators (Table 9 and Figure 5), with particularly strong scores in climate action (SDG 13–79.0%) and innovation (SDG 9–94.24%). Although their DBTI score (71.43%) is slightly lower than that of Cluster 4 (92.86%), the countries included in this cluster achieve better climate outcomes (79.0% compared to 68%), reflecting a more balanced and sustainable development trajectory. This cluster may serve as a benchmark for EU countries aiming to align digital, socio-economic, and environmental goals simultaneously.
Cluster 6, which includes Bulgaria, Croatia, Greece, Hungary, Latvia, and Romania, reflects a unique profile: the highest performance in climate action despite the lowest digital and innovation capacity. These countries record the lowest scores for DBTI and SDG 9, low to moderate performance in SDG 8, but surprisingly the best performance in SDG 13 (see Table 12 and Figure 5). The lowest DBTI score (12.50%) reflects that this cluster achieved only 15.67% of the DBTI performance reached by Cluster 1 (79.76%), highlighting a significant digital gap compared to other clusters.
In terms of the main drivers of digital business transformation, cluster 6 reported the lowest level of both digital skills (only 46.47% of individuals have basic or above basic overall digital skills) and enterprise ICT training (14.27% of total enterprises). It also has the second—lowest value for business expenditure on R&D (BERD) at 0.61% of GDP among all clusters (see Figure 8). At the EU-27 level, Romania and Bulgaria occupy the last two positions in DBTI and SDG 9 rankings (Figure 6), as well as in digital skills and enterprise ICT training indicators (Figure 3).
Figure 8.
Main drivers of digital business transformation (mean values per cluster). Source: own calculations based on [29].
As for the digital skills variable, statistical data for 2023 (Figure 8) reveal that, on average, countries in clusters 6, 2, and 3—those with lower performance in DBTI, SDG 9, and SDG 8—are characterized by significantly lower levels of digital skills (46.47%, 54.07%, and 57.06%, respectively) compared to countries in clusters 4, 1, and 5 (70.33%, 68.62%, and 61.13%, respectively). These disparities contribute to substantial differences in digital capacity across EU member states. A similar pattern is evident in the share of enterprises providing training to develop or upgrade the ICT skills of their personnel (Figure 8). These data suggest that countries in Clusters 6, 2, and 3—predominantly newer EU member states—remain far from achieving the EU’s 2030 target of ensuring that at least 80% of adults possess basic digital skills [30].
These results confirm a critical need for workers with digital skills and ICT specialists, as well as for workforce training to enable the effective use of digital technologies—especially in the countries included in Clusters 6 and 2—as supported by other studies [43].
A particularly pressing challenge for countries in Clusters 2 and 6 is the very low share of business expenditure on R&D as a percentage of GDP (0.59% and 0.61%, respectively, Figure 8)—a level more than three times lower than that of Cluster 4, the leading group in both digital transformation and SDG 9 performance.
These findings are consistent with other empirical studies [33,43,66,73,94], which indicate that insufficient digital skills, along with low levels of enterprise investment in both ICT training and R&D, represent major structural barriers to advancing digital transformation in businesses. Consequently, this undermines progress toward achieving higher levels of sustainable development, particularly in relation to SDG 8 (Decent Work and Economic Growth) and SDG 9 (Industry, Innovation, and Infrastructure).
As the European Union pursues its twin priorities—the green transition (e.g., climate action) and digital transformation—a critical question arises: Do countries face a trade-off between going green and going digital? Based on the results of a cluster analysis using 2023 data from 27 EU countries, we find evidence of tension, though not an inevitable trade-off. These trade-offs are neither universal nor structural; rather, they vary across country clusters and are strongly influenced by national capacities and policy choices.
The results show that countries performing strongly in climate action (SDG 13) often exhibit lower digital transformation scores (DBTI), and vice versa. For instance, Cluster 6 (e.g., Bulgaria, Romania, and Hungary) achieves the highest climate scores but has the lowest DBTI performance. In contrast, Cluster 1 (e.g., The Netherlands, Luxembourg, and Malta) exhibits high digital performance but low climate action outcomes. This contrast suggests a developmental trade-off, where limited national resources or focused policy agendas may lead countries to prioritize one transition over the other. However, the example of Cluster 5 (Germany, France, Spain, and Sweden) demonstrates that strong performance in both domains is possible. These countries have effectively aligned digital and green policies, positioning themselves as role models for integrated and sustainable development within the EU.
The analysis demonstrates that, across EU countries, higher levels of digitalization tend to enhance socio-economic and industrial performance. However, the most digitally advanced clusters often lag behind in climate action, indicating the presence of a digital–green trade-off. Conversely, some countries achieve high climate performance despite low levels of digitalization, suggesting the existence of alternative pathways to sustainability. A few countries (notably those in Cluster 5) manage to balance strong digital and climate outcomes, representing best practices for integrated development.
Therefore, Hypothesis 3—that EU countries exhibit both common patterns and significant differences in the interplay between the digital transformation of businesses and the social, economic, and environmental pillars of sustainability (SDG 8, SDG 9, and SDG 13)—is confirmed.
As Bergman and Foxon [53] emphasize, digitalization pathways are shaped by choices in technology, business models, and data governance. Policymakers should prioritize pathways that advance social welfare and environmental benefits alongside economic gains. Accordingly, distinct and targeted policy measures are required to foster greater convergence among EU member states while promoting high performance across all three pillars of sustainable development.
5. Conclusions and Main Implications
This study aimed to assess the extent of digital business transformation across the EU-27 countries and its relationship with key dimensions of sustainable development—socio-economic (SDG 8), industrial-innovation (SDG 9), and environmental (SDG 13). By developing and applying the Digital Business Transformation Index (DBTI), the research provides a robust composite framework for evaluating how enterprise-level digital adoption contributes to—or potentially challenges—the EU’s broader sustainability agenda. The empirical results offer new insights into the multidimensional character of digitalization, the persistence of disparities among EU countries, and the potential synergies or tensions between digital and green transitions. These findings carry important implications for both EU-wide policy and national-level strategy development.
The results show that the levels of digital transformation of businesses vary significantly across member states. Significant progress in digital transformation among EU enterprises has been identified in recent years, particularly in the adoption of core technologies such as cloud computing, ERP systems, and e-commerce platforms. Technologies such as cloud computing, ERP systems, and IoT are widely adopted, whereas more advanced applications—like AI, robotics, and 3D printing—exhibit limited diffusion. By applying Principal Component Analysis (PCA) to eleven digital technology indicators, the DBTI captures the multidimensional nature of business digitalization, providing a comprehensive and empirically grounded metric. Northern and western European countries (e.g., Denmark, Finland, and the Netherlands) score highest on the DBTI, while southern and eastern countries (e.g., Romania, Bulgaria, and Greece) remain at the lower end, reflecting a persistent north–south and west–east divide.
The results of the regression analyses show that the digital transformation of businesses has a strong positive influence on SDG 9 (Industry, Innovation, and Infrastructure) and a moderate positive influence on overall SDG performance, reinforcing its role as a key enabler of sustainable development. However, the insignificant influence of DBTI on SDG 8 (Decent Work and Economic Growth) suggests that the economic benefits of digitalization may not automatically translate into broader socio-economic inclusion. More critically, DBTI has a negative influence on SDG 13 (Climate Action), suggesting that in the absence of targeted policies, higher levels of digital activity may exacerbate environmental pressures. This highlights the need to deliberately integrate green objectives into digital transformation strategies.
The findings from the cluster analysis provide a nuanced understanding of how digital business transformation interacts with different pillars of sustainable development across EU countries. Hypothesis 3—that EU countries exhibit both shared patterns and significant divergences in the relationship between digital business transformation and sustainability performance—is confirmed. Six distinct clusters were identified, each representing a unique configuration of strengths and weaknesses. Thus, Clusters 1 and 4 demonstrate strong performance in digital business transformation and socio-economic indicators (SDG 8 and SDG 9) but lag behind in environmental outcomes (SDG 13). These countries are digital and innovation leaders that have yet to fully internalize climate objectives within their development models. Clusters 2 and 6 show weaker performance in both digital transformation and socio-economic indicators but perform relatively well in climate action, suggesting a developmental focus skewed toward environmental goals—potentially driven by EU-level incentives or structural constraints. Cluster 3 represents a middle-performing group with modest but balanced achievements across all dimensions. These countries may lack the strategic alignment or momentum to significantly advance. Cluster 5 stands out as the most balanced and integrated group, achieving high scores across all sustainability indicators.
One of the key findings is the existence of a digital–green trade-off in many EU countries. High digital transformation scores often coincide with relatively weak climate action, while countries performing strongly in SDG 13 tend to lag in digital maturity. This pattern underscores the difficulty of synchronizing two complex, resource-intensive transitions. However, Cluster 5 demonstrates that alignment is possible, suggesting that this trade-off is not structural but rather contingent upon effective policy integration, targeted investments, and coordinated institutional strategies.
The study confirms that deficits in digital skills, enterprise ICT training, and R&D investment are major barriers to digital transformation, especially in Clusters 2 and 6. These deficiencies limit not only technological adoption but also innovation and productivity, impeding progress on SDGs 8 and 9. In contrast, countries in Clusters 1, 4, and 5 demonstrate significantly higher levels of digital skills and innovation capacity, highlighting the enabling role of human capital and innovation ecosystems in driving sustainable digital transitions.
The complexity of EU countries’ development pathways in the digital and sustainability dimensions calls for tailored policies that reconcile digital transformation with environmental goals while fostering inclusive growth across the European Union.
Countries in Cluster 6 have achieved significant progress in environmental sustainability but lag behind in digital development. Their experience shows that climate leadership can emerge independently of digital transformation of businesses, although the long-term viability of this model may be limited by weak technological infrastructure. To bridge the gap between environmental goal and digital technological capacity, these nations need substantial investment in digital transformation. Achieving a more balanced transition will require digital-adoption strategies that are explicitly aligned with their environmental priorities. Therefore, countries in Cluster 6, as well as those in Cluster 2 (with DBTI scores below 50% and BERD levels under 0.7% of GDP), strongly need to invest in digital technologies and research and development (R&D). This can be achieved by improving access to finance for entrepreneurs and enterprises and by enhancing the efficiency of formal institutions and regulatory frameworks related to digital technologies and R&D. Additionally, to improve the digital readiness of member states lagging in technology adoption, policymakers should strategically allocate resources to support the development and diffusion of digital technologies in these regions. Measures may include financial incentives, and subsidies aimed at encouraging technology adoption and fostering innovation [55,79]. As the EC Report [95] states, public funding is essential to ensure the financial capital needed for digital transformation, as the private sector alone is unlikely to meet this investment demand. This is due to factors such as information barriers or risks that need to be mitigated (e.g., in industrial transformation), or because the scale of required investments exceeds the capacity of any individual company or sector. Therefore, a genuine public-private partnership is necessary to promote a high level of R&D, with positive consequences for digital business transformation.
Furthermore, the accelerated adoption of digital technologies by businesses, particularly in the context of COVID-19, has led to a higher demand for digital competencies in the workforce, ranging from basic to advanced skills [66,96]. Our results also show that in countries in Cluster 4 and Cluster 2, the share of enterprises providing training to develop or upgrade the ICT skills of their personnel is very low—only 14.24% and 18.91% of total enterprises, respectively. To address this pressing challenge, it is imperative for enterprises to invest more in training their employees to enhance digital skills. This should involve not only strategies to recruit new digital talent but also efforts to upskill and reskill existing employees [95], thereby increasing workforce resilience.
In addition to the policies shared with Cluster 6—such as investments in digital infrastructure, R&D, and workforce upskilling—Cluster 2 countries require a more integrated policy mix that addresses both their digital and socio-economic deficits. Given their relatively low performance in SDG 8 (Decent Work and Economic Growth), targeted policies should aim to stimulate inclusive economic development through digital entrepreneurship ecosystems [31]. This includes support for start-ups and SMEs in digital sectors through incubators, tax incentives, and simplified regulatory frameworks. Furthermore, to leverage their emerging environmental awareness and moderate climate performance, Cluster 2 countries could benefit from policies that promote the convergence of green and digital transitions (the “twin transition”), such as funding programs for green-tech innovation and digital tools for energy efficiency in SMEs. Investments in digital public services and infrastructure in rural and underserved areas would also help bridge regional disparities and improve access to digital opportunities. Finally, capacity-building initiatives aimed at public institutions—especially in education and labor market governance—are essential to ensure that digital transformation is inclusive and aligned with long-term socio-economic development goals.
Countries in Cluster 3 (Cyprus, Estonia, Lithuania, and Slovakia) which demonstrate relatively balanced progress in both digitalization and sustainability, but middle-tier performance across all dimensions, should focus on scaling integrated digital-sustainability initiatives to consolidate their position. By aligning digital transformation efforts with environmental goals, they can amplify their impact on both fronts. Supporting innovation ecosystems that simultaneously target green outcomes and economic growth will be crucial for sustaining this balance and driving inclusive progress.
For Cluster 1, policy measures should prioritize the promotion of green digital innovation, the implementation of sustainable ICT strategies, and the introduction of incentives to reduce the carbon footprint of the digital sector. Strengthening the alignment between technological advancement and environmental responsibility will be key to sustainable development.
In Cluster 4 countries, where digital capabilities are highly developed, but climate performance remains weak, the focus should be on leveraging digital strengths to drive environmental improvements. This includes accelerating the deployment of climate adaptation technologies, fostering digital solutions for energy efficiency, and embedding circular economy principles into the digital sector. By integrating environmental objectives into their digital leadership strategies, these countries can effectively bridge the gap between innovation and sustainability.
Countries in Cluster 5, as frontrunners in the EU’s twin transition, should focus on sustaining and expanding robust, integrated innovation ecosystems that simultaneously advance digital transformation and environmental sustainability. Given their relatively balanced performance across digital, innovation, environmental, and socio-economic indicators, these countries are well positioned to lead cross-border cooperation efforts. Rather than replicating uniform solutions, their role should involve facilitating the diffusion of effective policy frameworks, institutional practices, and regulatory models that have proven successful in aligning digital and green agendas. In doing so, they can support less advanced member states in designing context-specific strategies that enable a more coherent and inclusive transition.
Limitations and Future Research
It is important to acknowledge several limitations of this study. First, the reliance on cross-sectional data from 2023 limits the ability to capture the dynamic relationship between digital transformation and SDG progress over time. This constraint arises from the current lack of consistent longitudinal data covering all digital transformation variables across the EU-27, which also restricts the scope of statistical analysis. As more longitudinal (panel) data become available, future research should leverage these datasets, along with instrumental variable approaches, to better account for time-dependent dynamics and more robustly explore causal relationships. Second, our empirical analysis includes only eleven variables related to the digital transformation of businesses. Consequently, certain aspects of digitalization—such as social media, autonomous robots, blockchain, cyber-physical systems, augmented reality, and virtual reality—may not be fully captured. Future research should consider incorporating a broader range of variables. Third, this study focuses exclusively on EU countries. Expanding the scope to include countries from other regions would enable more global comparisons and insights. Fourth, the current analysis does not differentiate businesses by size or sector. Future studies should conduct comparative analyses between SMEs and large enterprises, as well as across different economic sectors, to gain a more nuanced understanding of how digital transformation unfolds in diverse business contexts.
Author Contributions
Conceptualization, E.H. and M.-A.G.; methodology, E.H. and M.-A.G.; software, E.H. and M.-A.G.; validation, E.H. and M.-A.G.; formal analysis, E.H. and M.-A.G.; investigation, E.H. and M.-A.G.; writing—original draft preparation, E.H. and M.-A.G.; writing—review and editing, E.H. and M.-A.G.; visualization, E.H. and M.-A.G.; supervision, E.H. and M.-A.G. All authors have read and agreed to the published version of the manuscript.
Funding
This research received no external funding.
Data Availability Statement
All data are contained within the article.
Conflicts of Interest
The authors declare no conflicts of interest.
References
- Hariyani, D.; Hariyani, P.; Mishra, S. Digital technologies for the Sustainable Development Goals. Green Technol. Sustain. 2025, 3, 100202. [Google Scholar] [CrossRef]
- Varriale, V.; Camilleri, M.A.; Cammarano, A.; Michelino, F.; Müller, J.; Strazzullo, S. Unleashing digital transformation to achieve the sustainable development goals across multiple sectors. Sustain. Dev. 2025, 33, 565–579. [Google Scholar] [CrossRef]
- Vărzaru, A.A.; Bocean, C.G.; Gheorghe, M.; Simion, D.; Mangra, M.G.; Cioabă, A.A. Assessing the Impact of Digital Technologies on the Sustainable Development Goals Within the European Union. Electronics 2024, 13, 4695. [Google Scholar] [CrossRef]
- ElMassah, S.; Mohieldin, M. Digital transformation and localizing the Sustainable Development Goals (SDGs). Ecol. Econ. 2020, 169, 106490. [Google Scholar] [CrossRef]
- UN Sustainable Development Solutions Network (SDSN) in Collaboration with SDSN Europe Sustainable Development Report 2022. Achieving the SDGs: Europe’s Compass in Multipolar World. Available online: https://s3.amazonaws.com/sustainabledevelopment.report/2022/europe-sustainable-development-report-2022.pdf (accessed on 12 March 2025).
- Sachs, J.D.; Schmidt-Traub, G.; Mazzucato, M.; Messner, D.; Nakicenovic, N.; Rockström, J. Six transformations to achieve the sustainable development goals. Nat. Sustain. 2019, 2, 805–814. [Google Scholar] [CrossRef]
- United Nations (UN) General Assembly. Transforming Our World: The 2030 Agenda for Sustainable Development; Resolution Adopted by the General Assembly on 25 September 2015; A/RES/70/1; United Nations: New York, NY, USA, 2015; Available online: https://sdgs.un.org/2030agenda (accessed on 24 May 2025).
- Van Veldhoven, Z.; Vanthienen, J. Digital transformation as an interaction-driven perspective between business, society, and technology. Electron. Mark. 2022, 32, 629–644. [Google Scholar] [CrossRef]
- OECD. Going Digital in a Multilateral World; OECD Publishing: Paris, France, 2018. [Google Scholar]
- Schwertner, K. Digital transformation of business. Trakia J. Sci. 2017, 15, 388–393. [Google Scholar] [CrossRef]
- Fitzgerald, M.; Kruschwitz, N.; Bonnet, D.; Welch, M. Embracing digital technology: A new strategic imperative. MIT Sloan Manag. Rev. 2014, 55, 1–12. [Google Scholar]
- Jafari-Sadeghi, V.; Garcia-Perez, A.; Candelo, E.; Couturier, J. Exploring the impact of digital transformation on technology entrepreneurship and technological market expansion: The role of technology readiness, exploration and exploitation. J. Bus. Res. 2021, 124, 100–111. [Google Scholar] [CrossRef]
- European Union (EU). Digital Transformation Scoreboard 2018: EU Businesses Go Digital: Opportunities, Outcomes and Uptake; Publications Office of the European Union: Luxembourg, 2018. [Google Scholar]
- European Commission (EC). State of the Digital Decade 2025: Keep Building the EU’s Sovereignty and Digital Future, COM(2025) 290 Final, ANNEX 1, Brussels, 16 June 2025. Available online: https://digital-strategy.ec.europa.eu/en/library/state-digital-decade-2025-report (accessed on 30 June 2025).
- Schwab, K. The Fourth Industrial Revolution; World Economic Forum: Geneva, Switzerland, 2016. [Google Scholar]
- Grigorescu, A.; Pelinescu, E.; Ion, A.E.; Dutcas, M.F. Human capital in digital economy: An empirical analysis of Central and Eastern European Countries from the European Union. Sustainability 2021, 13, 2020. [Google Scholar] [CrossRef]
- Feroz, A.K.; Zo, H.; Chiravuri, A. Digital transformation and environmental sustainability: A review and research agenda. Sustainability 2021, 13, 1530. [Google Scholar] [CrossRef]
- Olczyk, M.; Kuc-Czarnecka, M. Digital transformation and economic growth-DESI improvement and implementation. Technol. Econ. Dev. Econ. 2022, 28, 775–803. [Google Scholar] [CrossRef]
- Stoica, I.; Zaman, G.; Suciu, M.C.; Purcărea, V.L.; Jude, C.R.; Radu, A.V.; Radu, A.C. A Better Integration of Industrial Robots in Romanian Enterprises and the Labour Market. Appl. Sci. 2022, 12, 6014. [Google Scholar] [CrossRef]
- Trască, D.L.; Stefan, G.M.; Sahlian, D.N.; Hoinaru, R.; Serban-Oprescu, G.L. Digitization and business activities. The struggle to catch Up in CEE Countries. Sustainability 2019, 11, 2204. [Google Scholar] [CrossRef]
- Matarazzo, M.; Penco, L.; Profumo, G.; Quaglia, R. Digital transformation and customer value creation in made in Italy SMEs: A dynamic capabilities perspective. J. Bus. Res. 2021, 123, 642–656. [Google Scholar] [CrossRef]
- Zhang, G.; Wang, W.; Liang, Y. Understanding the Complex Adoption Behavior of Cloud Services by SMEs Based on Complexity Theory: A Fuzzy Sets Qualitative Comparative Analysis (fsQCA). Complexity 2021, 2021, 5591446. [Google Scholar] [CrossRef]
- Costa, E. Industry 5.0 and SDG 9: A symbiotic dance towards sustainable transformation. Sustain. Earth Rev. 2024, 7, 4. [Google Scholar] [CrossRef]
- Brodny, J.; Tutak, M. Analyzing the level of digitalization among the enterprises of the European Union member states and their impact on economic growth. J. Open Innov. Technol. Mark. Complex. 2022, 8, 70. [Google Scholar] [CrossRef]
- Aly, H. Digital transformation, development and productivity in developing countries: Is artificial intelligence a curse or a blessing? Rev. Econ. Political Sci. 2022, 7, 238–256. [Google Scholar] [CrossRef]
- Lv, L.; Chen, Y. The Collision of digital and green: Digital transformation and green economic efficiency. J. Environ. Manag. 2024, 351, 119906. [Google Scholar] [CrossRef]
- Jiang, H.; Elahi, E.; Gao, M.; Huang, Y.; Liu, X. Digital economy to encourage sustainable consumption and reduce carbon emissions. J. Clean. Prod. 2024, 443, 140867. [Google Scholar] [CrossRef]
- Buglea, A.; Cișmașu, I.D.; Gligor, D.A.G.; Jurcuț, C.N. Exploring the Impact of Digital Transformation on Non-Financial Performance in Central and Eastern European Countries. Electronics 2025, 14, 1226. [Google Scholar] [CrossRef]
- Eurostat Database. Digital Economy and Society Database. 2025. Available online: https://ec.europa.eu/eurostat/web/digital-economy-and-society/database (accessed on 30 April 2025).
- European Commission. Europe’s Digital Decade: Commission Sets the Course towards a Digitally Empowered Europe by 2030. 2021. Available online: https://ec.europa.eu/commission/presscorner/detail/en/IP_21_983 (accessed on 10 May 2025).
- Lafortune, G.; Fuller, G. Europe Sustainable Development Report 2025: SDG Priorities for the New EU Leadership; Dublin University Press: Dublin, Ireland, 2025; Available online: https://s3.amazonaws.com/sustainabledevelopment.report/2025/europe-sustainable-development-report-2025.pdf (accessed on 30 May 2025).
- European Commission. The European Green Deal; 11.12.2019 COM (2019) 640 Final; Communication from the Commission to the European Parliament, The European Council, The Council, The European Economic and Social Committee and the Committee of the Regions: Brussels, Belgium, 2019; Available online: https://eur-lex.europa.eu/resource.html?uri=cellar:b828d165-1c22-11ea-8c1f-01aa75ed71a1.0002.02/DOC_1&format=PDF (accessed on 30 April 2025).
- Herman, E. The interplay between digital entrepreneurship and sustainable development in the context of the EU digital economy: A multivariate analysis. Mathematics 2022, 10, 1682. [Google Scholar] [CrossRef]
- Kraus, S.; Jones, P.; Kailer, N.; Weinmann, A.; Chaparro-Banegas, N.; Roig-Tierno, N. Digital Transformation: An Overview of the Current State of the Art of Research. SAGE Open 2021, 11, 21582440211047576. [Google Scholar] [CrossRef]
- Plekhanov, D.; Franke, H.; Netland, T.H. Digital transformation: A review and research agenda. Eur. Manag. J. 2023, 41, 821–844. [Google Scholar] [CrossRef]
- Wade, M. Digital Business Transformation: A Conceptual Framework. Global Center for Digital Business Transformation. 2015, pp. 1–9. Available online: https://www.imd.org/contentassets/d0a4d992d38a41ff85de509156475caa/framework (accessed on 12 December 2024).
- Jones, M.D.; Hutcheson, S.; Camba, J.D. Past, present, and future barriers to digital transformation in manufacturing: A review. J. Manuf. Syst. 2021, 60, 936–948. [Google Scholar] [CrossRef]
- Ionescu, A.M.; Clipa, A.M.; Turnea, E.S.; Clipa, C.I.; Bedrule-Grigoruță, M.V.; Roth, S. The impact of innovation framework conditions on corporate digital technology integration: Institutions as facilitators for sustainable digital transformation. J. Bus. Econ. Manag. 2022, 23, 1037–1059. [Google Scholar] [CrossRef]
- Opazo-Basáez, M.; Vendrell-Herrero, F.; Bustinza, O.F.; Vaillant, Y.; Marić, J. Is digital transformation equally attractive to all manufacturers? Contextualizing the operational and customer benefits of smart manufacturing. Int. J. Phys. Distrib. Logist. Manag. 2023, 53, 489–511. [Google Scholar]
- Nwaiwu, F. Review and Comparison of Conceptual Frameworks on Digital Business Transformation. J. Compet. 2018, 10, 86–100. [Google Scholar] [CrossRef]
- Kowalkiewicz, M.; Safrudin, N.; Schulze, B. The business consequences of a digitally transformed economy. In Shaping the Digital Enterprise: Trends and Use Cases in Digital Innovation and Transformation; Oswald, G., Kleinemeier, M., Eds.; Springer International Publishing: Cham, Switzerland, 2017; pp. 29–67. [Google Scholar]
- Bravo, R.; Gonzalez Segura, M.; Temowo, O.; Samaddar, S. How does a pandemic disrupt the benefits of ecommerce? A case study of small and medium enterprises in the US. J. Theor. Appl. Electron. Commer. Res. 2022, 17, 522–557. [Google Scholar] [CrossRef]
- Scutariu, A.L.; Șuşu, Ș.; Huidumac-Petrescu, C.E.; Gogonea, R.M. A cluster analysis concerning the behavior of enterprises with e-commerce activity in the context of the COVID-19 Pandemic. J. Theor. Appl. Electron. Commer. Res. 2021, 17, 47–68. [Google Scholar] [CrossRef]
- Domadenik, P.; Koman, M.; Redek, T. Shaping the Future: Opportunities and Challenges of e-Commerce; Casnik Finance: Ljubljana, Slovenia, 2018; Available online: https://www.ef.uni-lj.si/assets/Studij/IMB/PKP-knjiga/PKP_18_Shaping-the-Future_Opportunities-and-Challenges-of-E-Commerce.pdf (accessed on 12 June 2025).
- Cenamor, J.; Parida, V.; Wincent, J. How entrepreneurial SMEs compete through digital platforms: The roles of digital platform capability, network capability and ambidexterity. J. Bus. Res. 2019, 100, 196–206. [Google Scholar] [CrossRef]
- Bach, M.P. Exploring information and communications technology adoption in enterprises and its impact on innovation performance of European countries. Ekon. Časopis 2014, 62, 335–362. [Google Scholar]
- Graetz, G.; Michaels, G. Robots at work. Rev. Econ. Stat. 2018, 100, 753–768. [Google Scholar] [CrossRef]
- Huang, C.; Lin, B. How digital economy index selection and model uncertainty will affect energy green transition. Energy Econ. 2024, 136, 107774. [Google Scholar] [CrossRef]
- Li, L. Digital transformation and sustainable performance: The moderating role of market turbulence. Ind. Mark. Manag. 2022, 104, 28–37. [Google Scholar] [CrossRef]
- Park, Y.; Meng, F.; Baloch, M.A. The effect of ICT, financial development, growth, and trade openness on CO2 emissions: An empirical analysis. Environ. Sci. Pollut. Res. Int. 2018, 25, 30708–30719. [Google Scholar] [CrossRef]
- OECD. How Can the Digital Transformation Affect the Net-Zero Transition?: A Conceptual Framework for the “Twin” Transition; OECD Science, Technology and Industry Working Papers 2025/17; OECD: Paris, France, 2025; Available online: https://www.oecd.org/content/dam/oecd/en/publications/reports/2025/06/how-can-the-digital-transformation-affect-the-net-zero-transition_59727994/4ee71f6d-en.pdf (accessed on 5 August 2025).
- Qian, Q.; Xian, B.; Wang, Y.; Li, X. The impact of digital economy on carbon emissions: Based on the rebound effect. Energy 2025, 333, 137345. [Google Scholar] [CrossRef]
- Bergman, N.; Foxon, T.J. Drivers and effects of digitalization on energy demand in low-carbon scenarios. Clim. Policy 2023, 23, 329–342. [Google Scholar] [CrossRef]
- Lange, S.; Pohl, J.; Santarius, T. Digitalization and energy consumption. Does ICT reduce energy demand? Ecol. Econ. 2020, 176, 106760. [Google Scholar] [CrossRef]
- Huang, C.; Lin, B. The impact of digital economy on energy rebound effect in China: A stochastic energy demand frontier approach. Energy Policy 2025, 196, 114418. [Google Scholar] [CrossRef]
- Berner, A.; Bruns, S.; Moneta, A.; Stern, D.I. Do energy efficiency improvements reduce energy use? Empirical evidence on the economy-wide rebound effect in Europe and the United States. Energy Econ. 2022, 110, 105939. [Google Scholar] [CrossRef]
- Peng, H.; Zhang, Y.; Liu, J. The energy rebound effect of digital development: Evidence from 285 cities in China. Energy 2023, 270, 126837. [Google Scholar] [CrossRef]
- Belkhir, L.; Elmeligi, A. Assessing ICT global emissions footprint: Trends to 2040 & recommendations. J. Clean. Prod. 2018, 177, 448–463. [Google Scholar] [CrossRef]
- IEA. Tracking Data Centres and Data Transmission Networks. 2025. Available online: https://www.iea.org/energy-system/buildings/data-centres-and-data-transmission-networks (accessed on 5 August 2025).
- OECD. Leveraging Digital Business Models, Tools and Technologies for Reliable Environmental Information and Consumer Engagement in The Circular Economy; OECD Digital Economy Papers, June 2025 No. 377; OECD: Paris, France, 2025; Available online: https://www.oecd.org/content/dam/oecd/en/publications/reports/2025/06/leveraging-digital-business-models-tools-and-technologies-for-reliable-environmental-information-and-consumer-engagement-in-the-circular-economy_3a3881df/33c6e2bc-en.pdf (accessed on 30 June 2025).
- Balsmeier, B.; Woerter, M. Is this time different? How digitalization influences job creation and destruction. Res. Policy 2019, 48, 103765. [Google Scholar] [CrossRef]
- Biagi, F.; Falk, M. The impact of ICT and e-commerce on employment in Europe. J. Policy Model 2017, 39, 1–18. [Google Scholar] [CrossRef]
- Gouvea, R.; Kapelianis, D.; Kassicieh, S. Assessing the Nexus of Sustainability and Information & Communications Technology. Technol. Forecast. Soc. Change 2018, 130, 39–44. [Google Scholar] [CrossRef]
- Tseng, F.M.; Liang, C.W.; Nguyen, N.B. Blockchain technology adoption and business performance in large enterprises: A comparison of the United States and China. Technol. Soc. 2023, 73, 102230. [Google Scholar] [CrossRef]
- Zhu, F.; Shi, Q.; Balezentis, T.; Zhang, C. The impact of e-commerce and R&D on firm-level production in China: Evidence from manufacturing sector. Struct. Change Econ. Dyn. 2023, 65, 101–110. [Google Scholar]
- Schlegel, D.; Kraus, P. Skills and competencies for digital transformation—A critical analysis in the context of robotic process automation. Int. J. Organ. Anal. 2023, 31, 804–822. [Google Scholar] [CrossRef]
- Berger, T.; Frey, C. Structural Transformation in the OECD: Digitalization, Deindustrialization and the Future of Work; OECD Social, Employment and Migration Working Papers; OECD Publishing: Paris, France, 2016. [Google Scholar]
- The World Bank. World Development Report 2019: The Changing Nature of Work; World Bank Publications: Washington, DC, USA, 2019; Available online: https://documents1.worldbank.org/curated/en/816281518818814423/pdf/2019-WDR-Report.pdf (accessed on 12 January 2025).
- Foroughi, A. Supply chain workforce training: Addressing the digital skills gap. High. Educ. Ski. Work. Learn. 2020, 11, 683–696. [Google Scholar] [CrossRef]
- Sanina, A.; Styrin, E.; Vigoda-Gadot, E.; Yudina, M.; Semenova, A. Digital Government Transformation and Sustainable Development Goals: To What Extent Are They Interconnected? Bibliometric Analysis Results. Sustainability 2024, 16, 9761. [Google Scholar] [CrossRef]
- Rijal, S.; Erwin, M.K.; Aman, A.; Judijanto, L. Digitalization and the Sustainable Development Goals (SDGs): A Bibliometric Analysis of the Role of Technology. Sustain. Dev. Insights 2025, 2, 14–27. [Google Scholar]
- European Commission. Digital Decade Policy Programme 2030. Available online: https://digital-strategy.ec.europa.eu/en/library/digital-decade-policy-programme-2030 (accessed on 30 June 2025).
- Bughin, J.; Hazan, E.; Lund, S.; Dahlström, P.; Wiesinger, A.; Subramaniam, A. Skill Shift: Automation and the Future of the Workforce; McKinsey Global Institute: San Francisco, CA, USA, 2018; Volume 1, pp. 3–84. Available online: https://www.mckinsey.com/~/media/mckinsey/industries/public%20and%20social%20sector/our%20insights/skill%20shift%20automation%20and%20the%20future%20of%20the%20workforce/mgi-skill-shift-automation-and-future-of-the-workforce-may-2018.pdf (accessed on 5 August 2025).
- UN. The Sustainable Development Goals Report 2025. Available online: https://unstats.un.org/sdgs/report/2025/The-Sustainable-Development-Goals-Report-2025.pdf (accessed on 5 August 2025).
- Aziz, K.M.A.; Daoud, A.O.; Singh, A.K.; Alhusban, M. Integrating digital mapping technologies in urban development: Advancing sustainable and resilient infrastructure for SDG 9 achievement—A systematic review. Alex. Eng. J. 2025, 116, 512–524. [Google Scholar] [CrossRef]
- Chishti, M.Z.; Salam, M.; Xaisongkham, S.; Du, A.M. Influence of green ICT and socioeconomic factors on sustainable development: Evidence from Chinese provinces. Res. Int. Bus. Financ. 2025, 73, 102624. [Google Scholar] [CrossRef]
- Matt, C.; Hess, T.; Benlian, A. Digital Transformation Strategies. Bus. Inf. Syst. Eng. 2015, 57, 339–343. [Google Scholar] [CrossRef]
- Hess, T.; Matt, C.; Benlian, A.; Wiesböck, F. Options for Formulating a Digital Transformation Strategy. MIS Q. Exec. 2016, 15, 103–119. [Google Scholar]
- Sachs, J.D.; Lafortune, G.; Fuller, G. The SDGs and the UN Summit of the Future. Sustainable Development Report 2024; SDSN: Paris, France; Dublin University Press: Dublin, Ireland, 2024; Available online: https://files.unsdsn.org/sustainable-development-report-2024.pdf (accessed on 10 April 2025).
- Database for the Sustainable Development Report 2024. Available online: https://dashboards.sdgindex.org/explorer (accessed on 10 April 2025).
- OECD. Handbook on Constructing Composite Indicators: Methodology and User Guide; OECD: Paris, France, 2008; Available online: https://www.oecd.org/sdd/42495745.pdf (accessed on 20 July 2023).
- Greco, S.; Ishizaka, A.; Tasiou, M.; Torrisi, G. On the methodological framework of composite indices: A review of the issues of weighting, aggregation, and robustness. Soc. Indic. Res. 2019, 141, 61–94. [Google Scholar] [CrossRef]
- Chen, R.; Ji, Y.; Jiang, G.; Xiao, H.; Xie, R.; Zhu, P. Composite index construction with expert opinion. J. Bus. Econ. Stat. 2022, 41, 67–79. [Google Scholar] [CrossRef]
- Jolliffe, I. Principal Component Analysis, 2nd ed.; Springer: New York, NY, USA, 2002. [Google Scholar]
- Landau, S.; Everitt, B.S. A Handbook of Statistical Analyses Using SPSS; Chapman & Hall/CRC Press LLC: Boca Raton, FL, USA, 2004. [Google Scholar]
- Everit, B.S.; Landau, S.; Leese, M.; Stahl, D. Cluster Analysis, 5th ed.; Willey: London, UK, 2011. [Google Scholar]
- Bahrini, R.; Qaffas, A.A. Impact of Information and Communication Technology on Economic Growth: Evidence from Developing Countries. Economies 2019, 7, 21. [Google Scholar] [CrossRef]
- Fernández-Portillo, A.; Almodóvar-González, M.; Coca-Perez, J.L.; Jiménez-Naranjo, H.V. Is sustainable economic development possible thanks to the deployment of ICT? Sustainability 2019, 11, 6307. [Google Scholar] [CrossRef]
- Dagilienė, L.; Bruneckienė, J.; Jucevičius, R.; Lukauskas, M. Exploring smart economic development and competitiveness in Central and Eastern European countries. Compet. Rev. 2020, 30, 485–505. [Google Scholar] [CrossRef]
- Evangelista, R.; Guerrieri, P.; Meliciani, V. The economic impact of digital technologies in Europe. Econ. Innov. New Technol. 2014, 23, 802–824. [Google Scholar] [CrossRef]
- Shahapure, K.R.; Nicholas, C. Cluster quality analysis using silhouette score. In Proceedings of the 2020 IEEE 7th International Conference on Data Science and Advanced Analytics (DSAA), Sydney, NSW, Australia, 6–9 October 2020; Available online: https://ieeexplore.ieee.org/abstract/document/9260048 (accessed on 4 May 2025).
- Januzaj, Y.; Beqiri, E.; Luma, A. Determining the Optimal Number of Clusters using Silhouette Score as a Data Mining Technique. Int. J. Online Biomed. Eng. 2023, 19, 174–182. [Google Scholar] [CrossRef]
- Eurostat Database. Sustainable Development Indicators. 2025. Available online: https://ec.europa.eu/eurostat/web/sdi/database (accessed on 5 August 2025).
- Herman, E. Innovation and entrepreneurship for competitiveness in the EU: An empirical analysis. In Proceedings of the International Conference on Business Excellence, Bucharest, Romania, 22–23 March 2018; pp. 425–435. [Google Scholar]
- European Commission. Shaping the Digital Transformation in Europe. In McKinsey & Company Report. 2020. Available online: https://op.europa.eu/en/publication-detail/-/publication/917c520f-fd56-11ea-b44f-01aa75ed71a1 (accessed on 20 March 2025).
- Feijao, C.; Flanagan, I.; van Stolk, C.; Gunasheka, S. The Global Digital Skills Gap. Current Trends and Future Directions; RAND Corporation: Santa Monica, CA, USA; Cambridge, UK, 2021; Available online: https://www.rand.org/pubs/research_reports/RRA1533-1.html (accessed on 24 May 2025).
Disclaimer/Publisher’s Note: The statements, opinions and data contained in all publications are solely those of the individual author(s) and contributor(s) and not of MDPI and/or the editor(s). MDPI and/or the editor(s) disclaim responsibility for any injury to people or property resulting from any ideas, methods, instructions or products referred to in the content. |
© 2025 by the authors. Licensee MDPI, Basel, Switzerland. This article is an open access article distributed under the terms and conditions of the Creative Commons Attribution (CC BY) license (https://creativecommons.org/licenses/by/4.0/).







