Abstract
Amid intensified global technological competition and increasing restrictions on cross-border knowledge transfer, enhancing the ability to identify, integrate, and recombine diverse technological knowledge has become a critical strategy for strengthening the innovation capabilities of multinational enterprises (MNEs). Based on multidimensional proximity theory and dynamic capability theory, this study takes R&D units within Huawei’s global R&D network as the research object. It constructs a cross-border collaboration framework under the dual boundaries of organization-geography to explore the differences in the role of technological distance on the innovation performance of R&D units in different cooperation scenarios. This study also introduces technological diversification as a mediating variable to reveal the conversion path from heterogeneous knowledge input to innovation output. The findings indicate: (1) A nonlinear relationship exists between technological distance and innovation performance. In local-internal and international-internal collaborations, this relationship follows an inverted U-shaped pattern, whereas in local-external collaborations, it shows a significant positive effect. (2) In international-external collaboration, due to the dual absence of geographical and organizational proximity, the positive effect of technological distance on innovation performance is not significant. (3) The technological diversification capability of R&D units is a crucial mediating factor in the process by which technological distance affects innovation performance, thereby fostering the efficiency of heterogeneous knowledge absorption and recombination. The study examines the micro-mechanisms underlying cross-border collaborations and capability building in MNEs’ R&D units from dual perspectives of contextual fit and capability development, providing theoretical support and practical guidance for MNEs to optimize international technological collaboration mechanisms and improve innovation performance.
1. Introduction
Against the backdrop of accelerating global technological transformation and post-pandemic reconfiguration of global innovation systems, multinational enterprises from emerging markets (EMNEs) are facing increasing barriers in accessing and integrating strategic innovation resources worldwide. Chinese MNEs, represented by Huawei, are confronted with dual challenges of technological “bottlenecks” and external dependence on critical knowledge, prompting them to expand global R&D networks and engage in diverse cross-border collaborations to enhance innovation resilience. However, as these global R&D systems become more complex, managing heterogeneous technological knowledge across organizational and geographical boundaries has emerged as a critical challenge [1]. This complexity directly affects firms’ ability to recombine dispersed knowledge and upgrade their innovation capabilities, raising a critical question: how can MNEs effectively manage technological distance in global innovation networks to enhance knowledge integration and innovation performance?
Technological distance—defined as the difference between partners’ technological knowledge bases has been widely recognized as a critical determinant of innovation outcomes. A moderate level of technological distance can facilitate the integration of novel and complementary knowledge, fostering creativity and knowledge recombination [2]. Yet, excessive distance can lead to cognitive misalignment and knowledge absorption barriers, thus hindering effective learning and innovation outcomes [3]. Consequently, understanding how to balance the trade-off between novelty and absorptive difficulty has become a central issue in innovation research and R&D management. Existing studies have made significant progress in conceptualizing and empirically testing the effects of technological distance on innovation performance. Some studies reveal that a nonlinear relationship may exist between technological distance and innovation performance, often exhibiting an inverted U-shaped or U-shaped pattern, with the specific effects being moderated by factors such as knowledge characteristics, absorptive capacity, and the structure of collaboration [4]. Despite significant progress in examining the relationship between technological distance and innovation, existing research still faces several limitations in the increasingly complex and dynamic global R&D and innovation landscape. First, most existing research continues to be centered on single or homogeneous collaboration contexts, ignoring the diverse mechanisms by which technology distance influences innovation across multiple collaborative contexts. As global R&D networks become increasingly complex, innovation actors are required to make dynamic trade-offs between knowledge novelty and integration costs under varying conditions of multidimensional proximity—an issue that has received insufficient scholarly attention. Second, in terms of research levels, present studies focus mostly on technological collaboration between firms or alliances, with limited attention to the intra-organizational dynamics of R&D units within multinational corporations. This neglect hinders a deeper understanding of the micro-level processes of knowledge integration and recombination within the global innovation system. As the fundamental organizational units for strategy implementation and the core carriers of technological innovation, R&D units not only play a crucial role in accessing local knowledge resources but also serve as vital bridges for cross-boundary knowledge flows and internal coordination. Focusing on the R&D unit level thus enables us to reveal the systemic nesting between micro-level units and macro-level strategies, thereby advancing a more holistic understanding of multinational corporations’ global R&D collaborations mechanisms and offering system-oriented theoretical and practical implications for optimizing global deployment and enhancing innovation performance. Finally, although technological distance between partners provides R&D units with more opportunities for knowledge recombination and innovation, the realization of this potential value relies heavily on the units’ own capacity for knowledge absorption and integration [5]. Therefore, the precise mechanisms and pathways through which technological distance shapes innovation performance remain a promising avenue for further research.
To address these gaps, this study takes Huawei’s R&D units as the research object, integrating multidimensional proximity theory and dynamic capability theory to construct a unified analytical framework that explains how technological distance influences innovation performance under different cross-border collaboration contexts. Specifically, by combining organizational boundaries (internal vs. external) and geographical boundaries (local vs. international), the study identifies four archetypal collaboration contexts: local-internal, local-external, international-internal, and international-external collaborations. Within this framework, the study addresses two core research questions: (1) the impact mechanisms of technological distance on the innovation performance of R&D units under different cross-border collaboration contexts; (2) whether the technological diversification capability of R&D units plays a mediating role in this relationship. By uncovering the contextual path mechanisms among technological distance, absorptive capacity, and innovation performance, this study aims to provide theoretical support and practical guidance for MNEs in addressing the challenges of “technological distance” within global R&D networks, optimizing collaboration strategies, and enhancing global knowledge integration efficiency. Moreover, it seeks to offer managerial insights at the national level for promoting international scientific and technological cooperation and building an autonomous and controllable technological system.
2. Theoretical Analyses
2.1. Technological Distance and Innovation
Technological distance is fundamentally a sort of knowledge distance, as evidenced by differences in technological knowledge accumulation and creative capacity among partners [1,6]. In the process of global collaborative innovation within MNEs, technological distance, as a crucial variable assessing the differences in knowledge between partners, has long been recognized as a critical factor impacting innovation performance [2]. Early studies on the relationship between technological distance and innovation presented two opposing perspectives: one argues that moderate technological distance promotes access to novel, complementary knowledge, facilitating cross-domain recombination and enhancing the novelty and originality of innovation outputs; the other emphasizes that excessive technological distance may increase cognitive barriers and absorptive difficulties, as organizations struggle to interpret, assimilate, and integrate unfamiliar knowledge [7].
Recent research has gradually integrated these perspectives, proposing that the impact of technological distance on innovation follows a nonlinear curve relationship, driven by the combined effects of two opposing mechanisms: “learning capability” and “learning opportunity” [8]. On the one hand, as technological distance increases, the relative absorptive capacity of collaborating organizations gradually declines, introducing challenges related to mutual understanding, communication and coordination [9]. On the other hand, increasing technological distance indicates a greater potential for novel knowledge inflows and recombination, which may help in overcoming path dependence and stimulating technological recombination [10], thereby enhancing a firm’s exploratory innovation capabilities. The interaction of these two mechanisms, knowledge integration challenges and novelty benefits that results in a curvilinear relationship, such as an inverted U-shape or U-shape, between technological distance and innovation performance [4,11,12].
Although existing research has confirmed the dual effects of technological distance on collaborative innovation, the majority of studies have concentrated on single collaboration contexts, with limited systematic exploration of the contextual heterogeneity underlying this relationship. Within the substitution-innovation mechanism, the absence of technological proximity can be compensated by geographical, cognitive, and organizational proximity [13]. Building on the multidimensional proximity perspective, geographical and organizational proximity collectively encapsulate the key dimensions of institutional and cultural distance. Prior studies have emphasized that geographical distance extends beyond spatial metrics, reflecting underlying cultural and institutional separations between a firm’s home country and that of its international partners [9,14]. Meanwhile, organizational proximity represents the alignment of partners’ routines, communication norms, and coordination mechanisms [15,16], thereby indirectly mirroring cultural compatibility that enhances inter-organizational learning and knowledge absorption efficiency.
Organizational proximity reflects the degree of communication norms and coordination mechanisms shared among collaborating units [17]. Such alignment facilitates the establishment of trust-based relationships, reduces coordination costs, and enhances mutual absorptive capacity [18]—thereby enabling organizations to assimilate and recombine technologically distant knowledge more effectively. In contrast, weak organizational proximity increases interpretive divergence and cognitive barriers, which impede the translation of external knowledge into innovative outcomes [15].
Geographical proximity extends beyond mere spatial closeness to encompass cultural and institutional embeddedness between partners. Frequent face-to-face interactions and shared local contexts foster social embeddedness and informal learning routines that support the transfer of tacit and complex knowledge [19]. Such relational embeddedness and trust create favorable conditions for R&D units to absorb and integrate external knowledge, thereby enhancing their innovation capacity [20]. Moreover, geographical proximity, often reinforced by cognitive similarity between partners, enables R&D units to sustain effective collaboration even under conditions of substantial technological distance [21].
Taken together, building upon this established foundation, this study extends proximity theory by integrating technological distance into the geographical-organizational proximity framework, thereby constructing a triple-interaction mechanism. Within this framework, geographical and organizational proximity jointly shape the environment in which technological distance influences innovation outcomes. Under different configurations of geographical and organizational proximity, firms face distinct trade-offs between knowledge novelty and integration costs. These contextual variations determine the extent to which technological distance translates into innovation outcomes—enhancing its benefits when novel knowledge is effectively absorbed, but constraining its value when coordination and assimilation barriers dominate. By linking the complementary mechanisms of proximity-based knowledge integration efficiency with the opportunity–constraint dynamics of technological diversity, this study refines the multidimensional proximity perspective and reveals how firms manage the complex trade-offs between knowledge diversity and integration efficiency across collaboration contexts.
Building on this framework, this study categorizes the cross-border R&D collaborations of MNEs into four distinct types: (1) Local-internal collaboration refers to cooperation between internal R&D units within the same MNE that are located in the same country. (2) Local-external collaboration refers to the cooperation between an R&D unit and external organizations located in the same country. (3) International-internal collaboration refers to cooperation between internal R&D units within the same MNE that are located in different countries. (4) International-external collaboration refers to the cooperation between an R&D unit and external organizations located in different countries. The type of Cross-Boundary collaborations is illustrated in Figure 1.
Figure 1.
Types of Cross-Boundary collaborations.
2.2. Technological Diversification
From the perspective of dynamic capability theory, technological diversification is viewed as a dynamic capability that can change, expand, or create technical resources within MNEs [22]. This capability not only enhances the firm’s capacity to identify and absorb external heterogeneous knowledge [23,24], but also facilitates the reconfiguration of its internal knowledge structures, thereby improving the efficiency of new knowledge integration and ultimately boosting innovation performance. When firms engage in multiple technological domains, they create greater opportunities to combine and recombine existing knowledge elements, which broadens the cognitive base of problem-solving and fosters more cross-domain learning and experimentation. Through this process, diversified technological knowledge determines the breadth and richness of knowledge components available for recombination. By effectively leveraging knowledge from diverse domains, R&D teams are able to approach problems from multiple perspectives, thereby enhancing the likelihood and success rate of knowledge recombination and creation, which in turn fosters the development of breakthrough innovations [25].
Moreover, technological diversification contributes to reducing R&D risks by dispersing innovation efforts across multiple knowledge trajectories, thus preventing over-exploitation and helping firms avoid technological lock-in and path dependence [26]. In this way, diversification strengthens the organization’s adaptive capacity, enabling it to flexibly reallocate resources in response to environmental or technological shifts. Empirical studies have consistently shown that technological diversification enhances firms’ innovation activities—both in input dimensions (e.g., R&D intensity) and output dimensions (e.g., patents) [22].
Existing research on technological distance and innovation has mostly concentrated on examining the impact of knowledge heterogeneity provided by cooperation partners on innovation performance, while comparatively neglecting the critical role of R&D units’ own capacity to absorb, integrate, and exploit diversified technological knowledge. The potential value of external knowledge does not spontaneously translate into innovation outcomes; rather, its realization is highly contingent upon the internal capability of the R&D units. In the context of MNEs’ global R&D networks, technological diversification could serve as a bridge capability that transforms external heterogeneity into internal innovative output, linking the external opportunity space created by technological distance with the internal resource reconfiguration process that drives innovation. Hence, it is essential to incorporate technological diversification as a mediating variable and systematically examine its role in shaping the relationship between technological distance and innovation performance across diverse cross-border collaboration contexts.
In summary, this study examines the differential effects of technological distance on innovation performance across different collaboration contexts. Furthermore, from the perspective of dynamic capability theory, the study investigates the mediating role of R&D units’ technological diversification capability in the relationship between technological distance and innovation performance, thereby uncovering the internal mechanisms by which diverse knowledge resources are transformed into innovative outcomes. The findings not only advance the theoretical understanding of the contextualized effects of technological distance on innovation but also provide practical insights for MNEs on how to strategically manage technological distance in relation to partner types, thereby enhancing knowledge integration efficiency and improving innovation outcomes. The theoretical model is illustrated in Figure 2.
Figure 2.
Theoretical model diagram.
3. Hypothesis Formulation
3.1. Technological Distance and Innovation Performance in Local-Internal Collaborations
In the local–internal collaborations, R&D units benefit from both geographical and organizational proximity. On the one hand, alignment in organizational culture, values, and management processes enhances partners’ relative absorptive capacity [27,28]. On the other hand, geographical proximity facilitates frequent face-to-face interactions and informal exchanges, which foster trust-based relationships and efficient mechanisms of knowledge connectivity [29]. The dual-proximity significantly strengthens cognitive alignment and knowledge integration capabilities, facilitating the interpretation and assimilation of distant technological knowledge while mitigating uncertainty and cognitive friction in the knowledge transfer process [30]. Within this context, a moderate level of technological distance introduces novel and heterogeneous knowledge, broadens the avenues for knowledge recombination, and enhances the potential for collaborative innovation. Yet when technological distance becomes excessive, the cognitive gap between partners surpasses their absorptive threshold, increasing coordination costs and reducing knowledge integration efficiency [31]. Even under dual proximity, excessive heterogeneity may lead to redundancy in communication and difficulty in achieving shared understanding, thereby diminishing innovation returns.
Hypothesis 1.
Technological distance has an inverted U-shaped relationship with R&D units’ innovation performance in the local-internal collaborations.
3.2. Technological Distance and Innovation Performance in International-Internal Collaborations
In the context of international–internal collaborations, variations in culture, institutions, norms, and values across countries often shape distinctive innovation trajectories and confer unique technological resource advantages [32,33]. Within such a heterogeneous innovation environment, identical knowledge elements can be leveraged through diversified recombination pathways, thereby broadening the scope for knowledge recombination and new knowledge creation [34]. Moreover, the inflow of heterogeneous knowledge enables organizations to overcome path dependence and facilitates the recombination and renewal of technological knowledge [8]. However, as collaboration between R&D units and international partners deepens, both parties must contend with increasing geographical, cognitive, and cultural distances [27]. Notably, geographical distance raises the costs of knowledge transfer and trust building, which in turn exacerbates barriers to collaboration. Under such conditions, as technological distance widens, cognitive misalignments and integration difficulties escalate, posing greater challenges for R&D units in absorbing and integrating heterogeneous innovation resources [31]. Although organizational proximity may partially mitigate these barriers, the positive effect of technological distance is subject to a threshold; once this threshold is surpassed, its marginal impact on innovation performance becomes negative. Therefore, in the international-internal collaborations, the relationship between technological distance and innovation performance follows an inverted U-shaped pattern.
Hypothesis 2.
Technological distance has an inverted U-shaped relationship with R&D units’ innovation performance in the international-internal collaborations.
3.3. Technological Distance and Innovation Performance in Local-External Collaborations
In external collaborations, focal R&D units gain access to diverse knowledge bases and innovation experiences by cooperating with external organizations, thereby broadening their technology boundaries and acquiring novel knowledge [35]. However, such collaborations typically lack the support of organizational proximity and are characterized by pronounced differences in institutional norms, communication languages, and managerial practices between partners. These disparities often result in cognitive misalignments and communication frictions, thereby increasing the difficulty of knowledge transfer and collaborative innovation. When technological distance becomes excessive and organizational proximity is absent, the costs of knowledge search, comprehension, and integration rise substantially. This not only increases resource commitments but also elevates the risk of collaborative innovation failure, ultimately constraining improvements in innovation performance.
In the local–external collaborations, although organizational proximity between partners is relatively low, geographical proximity enables frequent and direct interactions that foster informal learning, trust building, and the exchange of tacit knowledge, thereby providing both institutional and relational foundations for knowledge coordination and integration [36]. According to organizational learning theory, knowledge search across different boundaries exerts differentiated effects on firms’ innovation performance, and multidimensional cross-border knowledge search paths contribute to experience accumulation, knowledge utilization, and knowledge reconstruction [37]. In this regard, local–external collaborations provide a unique learning setting in which geographical proximity supports intensive face-to-face communication, while external partners contribute heterogeneous technological trajectories and knowledge bases. Such differentiated knowledge offers novel inputs that help R&D units overcome path dependence and stimulate exploratory innovation. Under conditions of high interaction intensity and low coordination costs brought by geographical proximity, the barriers to knowledge absorption and integration imposed by technological distance can be partially alleviated, enabling more efficient assimilation and transformation of novel knowledge and, in turn, enhancing innovation outcomes. Hence, in the context of local–external collaborations, geographical proximity partially alleviates the cognitive challenges posed by high technological distance for R&D units, facilitates the assimilation and integration of heterogeneous technological knowledge, and technological distance becomes not only a source of novelty but also a driver of organizational learning and integrative innovation. Therefore, we propose the following hypotheses:
Hypothesis 3.
In the local–external collaborations, technological distance positively influences R&D units’ innovation performance.
3.4. Technological Distance and Innovation Performance in International-External Collaborations
In international-external collaborations, partners encounter both low organizational and geographical proximity, facing complex institutional, cultural, and cognitive barriers. These disparities in regulatory systems, governance structures, and collaborative mechanisms may weaken the ability of R&D units to transform heterogeneous knowledge into innovation outcomes [13].
Nevertheless, differences in technological backgrounds and innovation trajectories often stimulate R&D units to seek novel and frontier knowledge, thereby fostering their motivation to break path dependence and engage in knowledge recombination and technological upgrading. External organizations in different countries typically develop distinctive innovation pathways under varying national policy regimes, thereby providing “external stimulus factors” that can trigger exploratory learning capacity [35,38,39]. In this context, greater technological distance enables R&D units to access novel and breakthrough innovation resources, overcome cognitive inertia, broaden their knowledge scope, and diversify their technological portfolios. Moreover, international technological collaboration is frequently embedded within stronger strategic intent and greater resource commitments [40]. This “high technological distance + high strategic alignment” configuration, when matched with sufficient integration capabilities, can lead to breakthrough outcomes. Therefore, although R&D units may face higher costs of knowledge acquisition and integration, the novelty and exploratory value inherent in technological distance can significantly enhance innovation performance in international-external collaborations.
Hypothesis 4.
In the international–external collaborations, technological distance positively influences R&D units’ innovation performance.
3.5. The Mediating Effect of Technological Diversification
Heterogeneous technological knowledge not only introduces new innovation opportunities for R&D units but also creates a dynamically changing technological environment. Organizations that fail to adapt swiftly to such changes are prone to losing competitive advantages or even being eliminated. The value of dynamic capability lies precisely in helping innovation actors establish resource and capability structures that align with environmental changes and to dynamically match these elements [41].
From the perspective of dynamic capabilities, technological diversification capability reflects the ability of R&D units to absorb and integrate external innovation resources while renewing and reconfiguring their internal knowledge base [42]. R&D units equipped with diversified technological knowledge can effectively avoid the risks of path dependence and technological lock-in that may result from prolonged focus on a single technological trajectory, thereby enhancing organizational innovation flexibility and adaptive capacity [43,44]. Technological distance plays a dual role in this process: on the one hand, it exposes R&D units to heterogeneous technological domains and fosters access to novel innovation resources, thereby stimulating technological diversification. On the one hand, in the context of internationalized R&D, technological distance between R&D units and their partners creates opportunities to access diverse technological domains and acquire heterogeneous innovation resources, thereby fostering technological diversification. On the other hand, the greater the technological distance between R&D units and their partners, the stronger the need for R&D units to develop the absorptive capacity required to effectively integrate and deploy heterogeneous resources [20].
External knowledge does not automatically translate into innovation performance; its value realization depends on the organization’s internal capacity for effective absorption and integration. Technological diversification increases the efficiency with which R&D units utilize external technological knowledge and successfully transform heterogeneous external knowledge into endogenous knowledge [45,46]. This capability enables R&D units to continuously expand, reconfigure, and optimize their technological base in response to external knowledge inputs, thereby fostering sustained innovation and creating differentiated competitive advantages [22]. Accordingly, under different cross-boundary collaboration contexts, technological distance between R&D units and their partners not only drives the renewal of technological resources and the exploration of new technological trajectories but also stimulates the development of technological diversification. Through this mediating mechanism, R&D units are better able to leverage diverse technological resources embedded in international R&D networks and translate them into tangible innovation outcomes. Thus, technological diversification plays a pivotal mediating role in the relationship between technological distance and innovation performance.
Hypothesis 5.
Technological diversification mediates the relationship between technological distance and innovation performance under different cross-boundary collaboration contexts.
4. Research Design
4.1. Sample Selection and Data Sources
This study uses Huawei’s global R&D units as the research sample. We chose Huawei as the focal case for four interrelated reasons. First, Huawei represents a paradigmatic example of an emerging-market multinational enterprise (EMNE) that has constructed an extensive global R&D network integrating both local and international collaborations. This network structure, encompassing over 60 overseas R&D centers, offers a rich empirical foundation for examining the interplay between technological distance, cross-border collaboration, and innovation performance across diverse institutional contexts. This configuration provides an ideal empirical setting that balances internal control with external heterogeneity, thereby mitigating potential home-country cultural interference [47,48,49]. Second, Huawei’s strong innovation orientation and diversified technological portfolio make it a theoretically relevant case for exploring the mechanisms of technological diversification and proximity [50]. Third, data availability and the firm’s transparent patent disclosure system allow robust empirical modeling across multiple R&D units and collaboration types. Fourth, Fourth, since the unit of analysis in this study is the R&D unit, we control the boundaries of the collaboration network to mitigate potential biases caused by differences in patenting tendencies across firms [51,52].
The data is obtained from the World Intellectual Property Organization (WIPO) PATENTSCOPE database. Using “Huawei Tech*” as the applicant name in the search query, we systematically retrieved all patent applications filed by Huawei under the Patent Cooperation Treaty (PCT) framework through June 2024. Considering that in the PCT application process there is typically a time lag of approximately 18 months between the priority date (the date of first filing) and the international publication date, the dataset can provide complete information only for patents with priority dates up to the end of 2023. Patent data filed in 2023 and later may not yet be fully disclosed. Therefore, to ensure the completeness of the dataset, this study adopts the priority date as the reference point and includes all PCT patent applications filed by Huawei from its first PCT application in 1999 through the end of 2023. After data cleaning, a total of 72,264 valid patent records remained. Based on the applicant address and inventor information contained in the patent records, Huawei’ s internal R&D units and external partner organizations were identified, yielding 68 internal R&D units and 403 external organizations. Furthermore, considering that collaboration relationships may persist for three to five years, this study adopts overlapping five-year windows [53] to construct Huawei’ s international R&D and innovation networks based on co-application relationships identified in the patents from 2003 to 2023. This time frame is consistent with prior empirical research on inter-organizational innovation, which suggests that the typical duration from collaborative R&D engagement to observable patent outcomes ranges between three and five years [14,54]. This approach effectively captures sustained collaboration and increases the number of observations, resulting in a total of 20 time periods., and a five-year lag is introduced between the independent and dependent variables in the regression models to minimize potential endogeneity and reverse causality. For example, if a collaboration network and the measure of technological distance are constructed using patent records from 2004 to 2008, the innovation performance of R&D units in 2009 is used as the dependent variable. The panel dataset is unbalanced, comprising a total of 738 longitudinal observations. The Data Processing Flowchart is illustrated in Figure 3.
Figure 3.
Data Processing Flowchart.
4.2. Variables
4.2.1. Dependent Variables
In existing innovation research, patent data have been widely used to measure the innovation performance of organizations due to its objectivity, quantifiability, and comparability [52,55]. In this study, the number of patent applications filed by an R&D unit in year t is selected as the indicator of its innovation performance. Considering that the patent data in this research exhibits a right-skewed distribution, the innovation performance variable is log-transformed.
4.2.2. Independent Variables
Technological distance reflects the degree of difference between collaboration partners in their technological knowledge [56]. In measuring technological distance across different cross-boundary collaboration contexts, this study adopts the approach proposed by Jaffe (1986) [57] and incorporates the classification of collaboration contexts developed by Karna [58]. Based on patent data, we calculate the average technological distance between each focal R&D unit and its partners in four categories: local-internal, local-external, international-internal, and international-external. For example, local-internal technological distance refers to the average distance between an R&D unit and its local internal partners.
Step 1: The technological distance between each R&D unit and its partners under different cross-boundary collaboration contexts is calculated using the following formula:
In this formula, denotes the year, refers to the collaborating entity, and represents one of the four cross-boundary collaboration contexts. and denote the frequency of occurrence of the technological field in the patents applied by the focal R&D unit and its partner j during the period from year to . denotes the total number of technological fields involved in the patents jointly applied by the focal R&D unit and partner within the same period. A higher value indicates a greater technological distance between the two collaborating parties.
Step 2: The technological distance of R&D unit in year under the cross-boundary collaboration context is calculated as follows:
represents the number of partners associated with the R&D unit under the cross-boundary collaboration context. The technological distance between the R&D unit and its partners is quantified as the average of the technological distances computed across all partners within each cross-boundary collaboration context.
4.2.3. Mediating Variable
Technological diversification refers to the heterogeneity of technological classification attributes among the knowledge elements within an innovation entity [26]. Patent data can represent the technological innovation progress of an organization and reflect the distribution of its technological domains [22]. According to prior research, technological diversification can be measured in three ways: simple counts, the Herfindahl-Hirschman Index (HHI) [59], and the entropy index [60,61]. Previous studies suggest that simply taking the logarithm of the number of patents of an R&D unit ignores the detailed characteristics of the knowledge elements embedded in the patents. Compared with the HHI, the entropy index is more appropriate for assessing the degree of diversification in an R&D unit’s knowledge base [60]. This is because the entropy index employs IPC classifications as proxies for detailed technological categories to measure the diversity of a firm’s knowledge base,. Moreover, the entropy index incorporates the weights assigned to IPC subclasses, thereby providing a more accurate representation of technological diversification. In this study, the technological diversification of an R&D unit is calculated based on IPC information from patent data in year t. The degree of diversification is measured by the information entropy of the proportions of patents across different categories, expressed as follows:
denotes the total number of PCT patent applications filed by the R&D unit in year , represents the number of PCT patent applications filed by the R&D unit in year within the -th patent subclass; and refers to the total number of patent subclasses to which the PCT patents applied by the R&D unit in year belong.
4.2.4. Control Variables
To control for the influence of other factors, this study incorporates the following control variables, drawing on prior research and covering both the focal R&D unit’s characteristics and the external environment: R&D Unit Size—Human and capital resources influence innovation output. Following prior studies, we measure unit size as the number of inventors per 1000 employees during the observation period; Age—Defined as the time from establishment to the observation year. As exact founding dates are unavailable, we approximate age by the interval between the year of the unit’s first patent output and the observation year; R&D Intensity—The cumulative R&D capability of a unit is represented by its patent stock [60], measured as the number of patents granted in the five years preceding the observation year; Host Country Technological Level—international R&D and external knowledge spillovers are shaped by the host country’s technological environment. Following Belderbos et al. (2023), we measure this as the share of the host country’s ICT-related patents (Huawei’s core technological domain) in the global total, using data from the OECD database [62]; Average Collaboration Intensity—The mean frequency of collaboration between the focal R&D unit and its partners, reflecting the efficiency of knowledge diffusion.
Table 1 presents all variable names and descriptions.
Table 1.
Variable names and descriptions.
4.3. Statistical Model
Given the panel structure of the dataset and the continuous nature of the dependent variable, we employ a two-way fixed effects model—incorporating both year and R&D unit fixed effects to account for unobserved heterogeneity across time and individual units [63].
5. Results
5.1. Descriptive Statistics and Correlation Analysis
Table 2 presents the descriptive statistics and correlation analysis. The results indicate that certain variables exhibit relatively strong correlations. To further assess potential multicollinearity, we conducted a variance inflation factor (VIF) test. The results show that the mean VIF value is 2.1, which is well below the conventional threshold of 10, suggesting that multicollinearity is not a serious concern in this study and that regression analysis can be appropriately performed.
Table 2.
Correlation coefficient and descriptive statistical results.
5.2. Baseline Regression Results
Table 3 presents the results on the relationship between technological distance and innovation performance under different cross-boundary collaboration contexts. Model 1 serves as the baseline model, which includes only the control variables to examine their effects on the innovation performance of R&D units. The regression results indicate that an R&D unit’s research capability, number of inventors, length of establishment, and average local collaboration intensity all have a significant positive effect on innovation performance, whereas average international internal collaboration intensity has a significant negative effect.
Table 3.
The results on the relationship between technological distance and innovation performance under different cross-boundary collaboration contexts.
Models 2–5 examine the effects of technological distance on innovation performance across the four types of cross-boundary R&D collaboration contexts, while Model 6 incorporates all independent and control variables simultaneously to test the robustness of the findings. In Model 2, the coefficient of the squared term of local–internal technological distance is significantly negative, indicating an inverted U-shaped relationship between local–internal technological distance and innovation performance (, ), thereby supporting Hypothesis 1. This result suggests that in contexts characterized by both geographical and organizational proximity, a moderate level of technological distance facilitates collaborative learning and knowledge recombination, whereas excessive distance increases the costs of knowledge integration, ultimately hampering innovation performance. Model 3 shows that the squared term of international-internal technological distance is also significantly negative (, 5), confirming an inverted U-shaped effect and supporting Hypothesis 2. Model 4 tests the role of local–external technological distance, and the coefficient is significantly positive, indicating a positive impact on innovation performance. Model 5 examines international-external collaborations, where the coefficient of technological distance is positive but not statistically significant. This may be attributed to the absence of both organizational and geographical proximity in such collaboration, which substantially raises the costs of knowledge transfer and integration, thereby weakening the potential benefits of technological heterogeneity. Finally, Model 6, the full specification including all independent variables, confirms the significant effects of technological distance across different collaborative contexts. The stability of coefficients across specifications indicates that the results are robust.
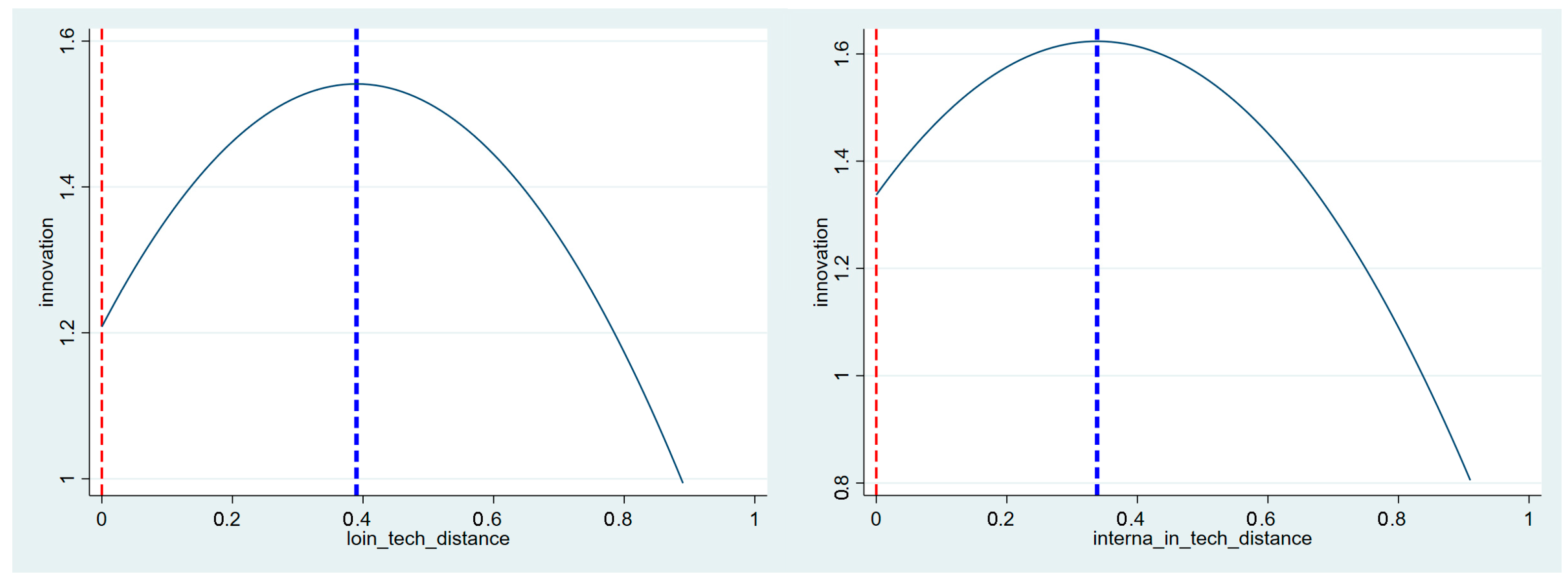
For the nonlinear relationships in the regression analysis, Haans (2016) argues that conventional tests for nonlinearity are flawed and that an inverted U-shaped relationship requires further verification [64]. Therefore, after initially identifying inverted U-shaped relationships between local internal technological distance and innovation performance, as well as between international internal technological distance and innovation performance, this study adopts the testing approach proposed by Haans to examine the statistical significance of the inverted U-shape, thereby further assessing the robustness of these relationships. Figure 4 illustrates the inverted U-shaped relationships between technological distance, technological diversification, and innovation performance, visually depicting the nonlinear effects derived from the regression estimates. Table 4 reports the results of the inverted U-shape significance tests, confirming the statistical validity of the inverted U-shaped effects, and with turning points lying within the observed data ranges and both slopes differing significantly (p < 0.05). These results demonstrate that the nonlinear effects are not an artifact of model specification but represent genuine curvilinear patterns. For local internal technological distance, the estimated turning point is 0.35, which lies within the observed range (0, 0.89); the slope on the left-hand side of the curve is significantly positive (1.47, p < 0.05), while the slope on the right-hand side is significantly negative (−2.27, p < 0.05). For international internal technological distance, the estimated turning point is 0.33, within the observed range (0, 0.92); the slope on the left-hand side is significantly positive (1.52, p < 0.05), and the slope on the right-hand side is significantly negative (−2.69, p < 0.05). These findings provide robust support for the existence of significant inverted U-shaped relationships between technological distance and innovation performance in both contexts.

Figure 4.
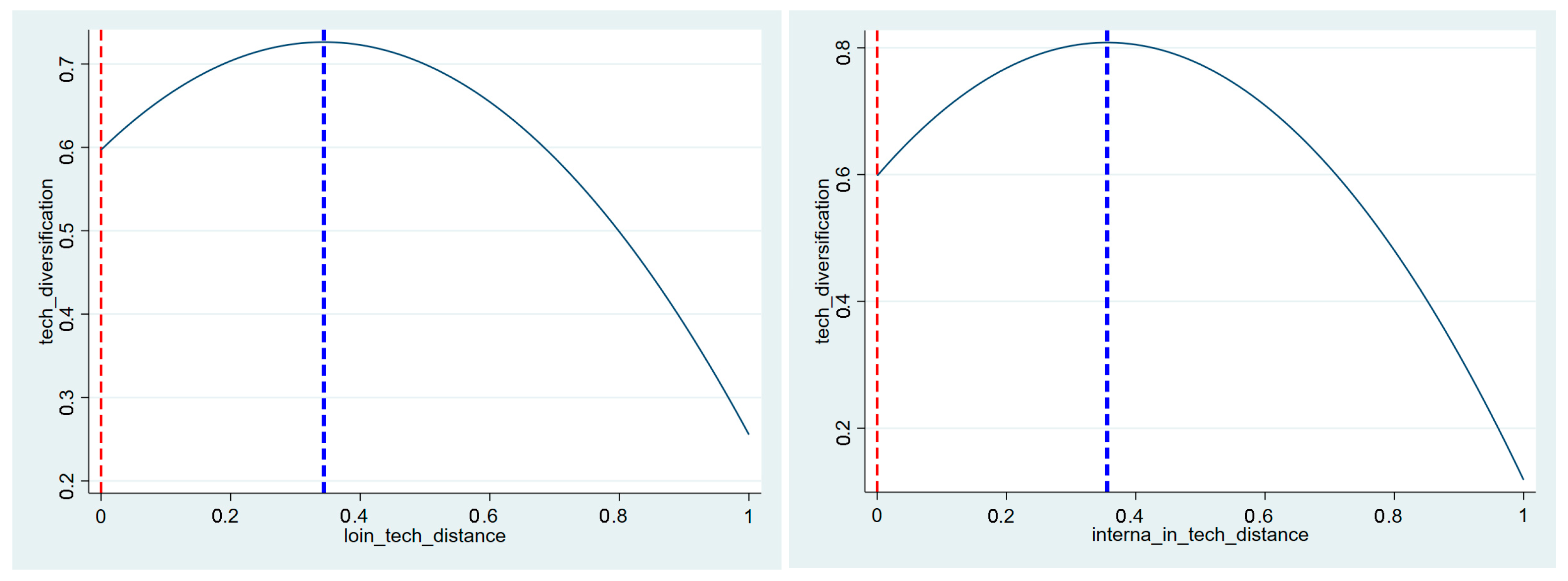
The relationship between Technological Distance (Technological diversification) and Innovation Performance.Notes: The two figures above illustrate the inverted U-shaped relationship between technological distance and innovation performance under different cross-boundary collaboration contexts. The two figures below show the inverted U-shaped relationship between technological distance and technological diversification.
Table 4.
Empirical Test of the Inverted U-Shaped Effect.
Given the presence of nonlinear relationships among the variables, the three-step procedure proposed by Baron and Kenny (1986) [65] is insufficient to uncover the mediating pathways underlying the inverted U-shaped relationship. Therefore, following the approach suggested by Edwards and Lambert and further elaborated by Edwards et al. [66], this study employs a mediation analysis framework designed for nonlinear contexts to examine the role of technological diversification in the relationship between technological distance and innovation performance (see Table 5).
Table 5.
The Mediating Effect of Technological Diversification.
From Model 7, it can be observed that technological diversification is significantly and positively correlated with innovation performance (regression coefficient = 1.1771, significance level p < 0.01), indicating that the technological diversification of an R&D unit contributes to the enhancement of its innovation performance. According to Models 8 and 9, the squared terms of local-internal technological distance and international-internal technological distance are significantly negatively correlated with technological diversification, suggesting that both local internal and international internal technological distances exhibit an inverted U-shaped relationship with technological diversification. In other words, compared to low or high levels of internal technological distance, a moderate level of internal technological distance is more conducive to improving the absorptive capacity of an R&D unit. Model 10 shows that local external technological distance is significantly positively correlated with technological diversification, whereas Model 11 indicates that cross-national external technological distance has no significant direct effect on the innovation performance of an R&D unit, making it difficult to determine the mediating role of technological diversification between them. When technological distances in different cross-boundary collaboration contexts and technological diversification are simultaneously included in the model, technological diversification remains significantly positive, the squared terms of internal technological distances become insignificant, and the coefficient of local external technological distance remains significantly positive but decreases from 0.6044 to 0.2725. This suggests that technological diversification plays a strong mediating role between internal technological distances and innovation performance, and a partial mediating role between local external technological distance and innovation performance.
5.3. Heterogeneity Analysis
Building on the analysis of the relationship between technological distance and innovation under different cross-boundary contexts, this study conducts a comparative analysis to further examine differences across contexts, thereby highlighting the context-dependent nature of technological distance’s impact on innovation. The results (Table 3 and Table 4) reveal notable differences in the shape and inflection points of the inverted U-shaped curves under different collaboration settings, indicating that the optimal level of technological distance varies systematically with the configuration of geographical and organizational proximity.
Specifically, the turning point of the curve is higher in local–internal collaborations than in international–internal collaborations, suggesting that R&D units engaged in local–internal cooperation can sustain a broader range of technological distance before the marginal benefits of novelty begin to decline. This phenomenon can be attributed to the coexistence of strong organizational and geographical proximity, which echoes findings by Capaldo (2014) that spatial and organizational proximity jointly enhance communication efficiency and trust-based knowledge transfer [17]. Such proximity not only reduces coordination and communication costs but also enhances mutual trust and absorptive efficiency, thereby mitigating the integration challenges posed by technological distance. In contrast, while international-internal collaborations retain organizational proximity, they are simultaneously constrained by spatial separation and institutional heterogeneity including differences in regulatory environments and administrative systems which increase coordination frictions and shorten the feasible range of technological distance. This partially aligns with the argument that geographic dispersion weakens internal knowledge sharing despite common governance structures [67].
Turning to external collaborations, the empirical results indicate that local–external technological distance exhibits a significant positive effect on innovation performance, with a larger coefficient than that observed in international–external collaborations, whose effect is statistically insignificant. This result supports Boschma’s (2005) proximity framework, suggesting that geographical proximity can compensate for the lack of organizational proximity by facilitating frequent face-to-face interaction, strengthening social embeddedness, and enabling efficient exchange of tacit and complex knowledge [16,17]. These factors jointly alleviate cognitive barriers arising from technological distance and promote the absorption and integration of heterogeneous knowledge [13]. Furthermore, the weaker innovation-enhancing effect of technological distance observed in international-external collaborations can also be explained by the degree of organizational and institutional embeddedness. As Marín and Bell (2010) found in their study of multinational subsidiaries in Argentina, subsidiaries that were weakly integrated both into their parent corporations and into local technological systems—referred to as “dually isolated” units—demonstrated substantially lower levels of innovative activity [68]. This finding highlights that limited organizational and local embeddedness can significantly constrain knowledge exchange and learning dynamics. Analogously, in international–external collaborations, partners often face dual barriers arising from both institutional heterogeneity and the absence of shared organizational routines. Such structural isolation undermines the efficient transformation of distant technological knowledge into innovation outcomes. In contrast, local-external collaborations benefit from geographical and cultural proximity, which enhances trust formation and facilitates tacit knowledge transfer, thereby enabling R&D units to better exploit the potential benefits of technological distance.
5.4. Robustness Checks
5.4.1. FGLS
Given that the sample in this study constitutes an unbalanced panel dataset, potential issues such as heteroskedasticity across groups, serial correlation within groups, and cross-sectional dependence may arise. To address these concerns, the feasible generalized least squares (FGLS) method is employed to conduct robustness checks on the relationship between technological distance and innovation performance. FGLS effectively corrects for heteroskedasticity and serial correlation within panels, thereby improving estimation efficiency. The robustness test results are consistent with the aforementioned empirical findings, indicating that the conclusions of this study are robust. The detailed robustness results are presented in Table 6 and Table 7.
Table 6.
Robustness Check using FGLS.
Table 7.
Empirical Test of the Inverted U-Shaped Effect.
5.4.2. The Generalized Method of Moments (GMM)
To further verify the robustness of the baseline regression results, this study employs the System Generalized Method of Moments (System GMM) estimator for dynamic panel data analysis. Given that firms’ innovation performance (ln_inno) may exhibit dynamic persistence—where current innovation output depends on past innovation performance—and that the key explanatory variable (technological distance) may be endogenous, the traditional fixed-effects model could suffer from bias. The System GMM approach effectively addresses endogeneity, autocorrelation, and unobserved heterogeneity in panel data, making it suitable for the characteristics of this dataset. The robustness test results (Table 8) are consistent with the aforementioned empirical findings, indicating that the conclusions of this study are robust. Furthermore, the Arellano–Bond tests for autocorrelation (AR (1) and AR (2)) and the Hansen J-test for over-identifying restrictions indicate that the model specification is valid and the instruments are exogenous. Overall, the System GMM results are consistent with the baseline fixed-effects estimates, providing strong evidence for the robustness of the main findings. The detailed robustness results are presented:
Table 8.
Robustness Check using System GMM.
5.4.3. Different Metrics of Innovation
To further verify the robustness of the findings, the dependent variable was replaced by a proxy for patent family size—specifically, the number of patent documents sharing at least one common priority with a given PCT application.
The patent family size reflects both the breadth of geographical protection and the extent of international technology diffusion of a particular invention. Larger family sizes indicate that the focal technology has been strategically deployed in multiple markets, suggesting higher technological and commercial significance [55]. The estimation results (Table 9) remain consistent in sign and significance with those of the baseline models, confirming that the positive effects of technological distance on innovation performance hold when accounting for patent quality and impact.
Table 9.
Robustness Check: Using Patent Value as the Measure of Innovation Performance.
To ensure the robustness of our findings, we re-estimated all baseline models using forward citations as the dependent variable. The inclusion of forward citations provides a complementary and quality-adjusted view of innovation performance. Unlike patent counts, which primarily capture the quantity of inventive activity, forward citations measure the technological influence and knowledge diffusion of a patent, reflecting the extent to which an invention contributes to subsequent technological developments [69]. The results, reported in Table 10, remain consistent in sign and statistical significance with those obtained using patent counts, indicating that the observed effects of technological distance is robust across different innovation performance measures.
Table 10.
Robustness Check: Using Patent forward citation as the Measure of Innovation Performance.
6. Conclusions and Implications
6.1. Conclusions and Theoretical Implications
Drawing on the perspectives of multidimensional proximity and dynamic capability theories, this study investigates how technological distance shapes the innovation performance of R&D units within multinational enterprises (MNEs) under different cross-border collaboration contexts. By incorporating technological diversification as a mediating variable, it opens the “black box” of how heterogeneous technological knowledge is absorbed, integrated, and transformed into innovation outcomes.
The empirical findings reveal significant contextual heterogeneity. In internal collaborations, the relationship between technological distance and innovation performance exhibits a significant inverted U-shape, confirming absorptive capacity theory, which posits that a moderate level of cognitive distance enhances the efficiency of knowledge integration and recombination [5]. In local-external collaborations, geographical proximity alleviates the communication and coordination barriers caused by high technological distance, facilitating the absorption and transformation of heterogeneous knowledge. By contrast, in international–external collaborations, the simultaneous absence of both organizational and geographical proximity constrains knowledge integration, thereby revealing boundary conditions that qualify the conventional assumption that cross-border openness uniformly promotes innovation. This study addresses the limitation of prior research that has predominantly focused on single or homogeneous collaboration contexts, overlooking the heterogeneity of technological distance effects under varying cross-border collaboration settings. By constructing a contextual classification framework based on the interaction of multidimensional proximity dimensions—namely, organizational and geographical proximity—this study identifies four distinct types of cross-boundary collaboration contexts and uncovers the context-dependent nature of the technological distance–innovation relationship. This finding enriches the contextual mechanism perspective within the technological distance literature, and extends the boundary conditions of how technological distance influences innovation performance across diverse innovation contexts.
From the perspective of dynamic capabilities, this study incorporates technological diversification capability as a mediating variable to uncover the underlying mechanism through which technological distance influences innovation performance. By establishing a “resources–capabilities–innovation” analytical framework, the study emphasizes that the ability of R&D units to diversify their technological knowledge base is a critical link in effectively absorbing and integrating heterogeneous knowledge and transforming it into innovative outcomes. This finding suggests that focal R&D units, when engaging in innovation activities, should holistically consider both their own and their partners’ technological knowledge profiles. While technological distance creates opportunities to access heterogeneous technological knowledge, the realization of its potential benefits depends on the development of internal technological diversification capability.
In sum, these contributions establish a comprehensive “context–capability–outcome” framework, enriching the theoretical understanding of how technological distance operates under varying proximity configurations and how internal capabilities dynamically moderate its innovation effects within global R&D networks. Beyond its theoretical refinement, this framework offers valuable insights for understanding how multinational enterprises strategically reconfigure their global R&D networks and technological partnerships to maintain innovation resilience amid external disruptions such as the COVID-19 pandemic.
6.2. Managerial Implications
This study provides insights for MNEs in strategically organizing the global deployment of their R&D units and fostering effective technological innovation collaboration. When initiating global R&D deployment, MNEs should formulate context-specific technological collaboration strategies that take into account both the specific cooperation context and the technological capabilities of individual R&D units. Accordingly, the key managerial implications can be summarized as follows:
First, MNEs should carefully account for technological distance in relation to the proximity characteristics of different collaboration contexts. In local–internal and international–internal collaborations, maintaining a moderate level of technological distance can stimulate synergistic innovation effects. In contrast, in international-external collaborations, firms should be cautious of the dual challenges posed by organizational and geographical distance, and thus prioritize partners with higher institutional compatibility and stronger cognitive complementarity to avoid the “too-distant-to-absorb” risk of collaborative failure. In local-external collaborations, firms are encouraged to actively engage with local organizations that possess advanced but distinct technological capabilities, thereby leveraging geographical proximity for efficient communication and cognitive alignment, transforming technological distance from a potential barrier into an opportunity for innovation. Moreover, R&D units should be encouraged to pursue exploration-oriented heterogeneous collaborations and foster open knowledge networks. For international–external collaborations, MNEs are further advised to strengthen cross-cultural governance mechanisms and enhance global resource coordination capacity to reduce institutional and cognitive barriers.
Second, technological diversification not only enhances an R&D unit’s receptiveness to heterogeneous technologies but also functions as a critical bridge linking “external input” with “internal transformation.” MNEs should calibrate their knowledge portfolios according to the varying roles of technological diversification across collaboration contexts. In local–internal and international–internal collaborations, where technological diversification fully mediates the distance–innovation link, MNEs should enhance internal technological diversity through cross-domain teams, internal knowledge platforms, and rotational R&D programs. These practices strengthen absorptive capacity and enable efficient transformation of heterogeneous knowledge into innovation outcomes. In local–external collaborations, where partial mediation occurs, MNEs should balance exploration and exploitation by engaging with partners possessing moderately distant yet complementary technologies. A moderate level of diversification leverages geographical proximity to facilitate cognitive alignment and effective knowledge transfer while avoiding redundancy. In international–external collaborations, where mediation weakens, MNEs should prioritize integration capability before broadening diversification. Establishing unified technical standards, digital collaboration infrastructures, and cross-cultural governance mechanisms can create the absorptive foundations necessary for effective global knowledge recombination.
7. Limitations and Future Research
This study, grounded in the dual theoretical perspectives of multidimensional proximity and dynamic capabilities, explores the mechanisms through which technological distance influences innovation in multinational enterprises’ R&D units across different cross-boundary collaboration contexts. While the findings extend the existing theoretical framework, several limitations remain.
First, the empirical analysis relies on international PCT patent data, focusing on explicit collaborative relationships manifested through patent outputs. This approach does not capture non-patented R&D collaborations and informal knowledge exchange activities, which may constitute important channels for diversified knowledge acquisition and integration. Future research could integrate multiple data sources—such as co-authored scientific publications, project funding records, and joint standard-setting activities to provide a more comprehensive and dynamic view of innovation collaborations. By combining joint R&D project data, and in-depth interviews, scholars could further examine how technological distance influences innovation under different collaboration models. Such extensions would enhance both the explanatory power of the findings for practice and the broader policy relevance of the research.
Second, this study inevitably bears the limitation of being grounded in a single-firm research context. While Huawei provides a representative and information-rich case for examining the interplay between technological distance, proximity, and innovation, its idiosyncratic characteristics—such as its organizational culture, governance structure, and strategic orientation—may influence the direction, magnitude of the relationships among variables. Future research could expand the scope of analysis by incorporating multiple firms across diverse industries and institutional settings. Comparative investigations could explore whether and how differences in administrative structures, control systems, organizational cultures, leadership styles, and strategic priorities shape or moderate the effects identified in this study. Such cross-firm and cross-sector analyses would not only enhance the external validity of the proposed mechanisms but also deepen our understanding of how firm-level governance and cultural logics condition the operation of technological distance within global R&D networks.
Third, the COVID-19 pandemic has profoundly altered global collaboration norms, accelerating the adoption of digital coordination tools, remote collaboration mechanisms, and ICT-based knowledge integration routines [70]. These transformations have redefined how organizations balance knowledge novelty and integration costs under conditions of institutional and cultural heterogeneity. future research could extend this framework to examine how broader environmental shocks and digital transformation trends reshape cross-border knowledge management. As Min (2023) demonstrates, the pandemic accelerated supply chain transformation and forced firms to redesign their collaborative architectures to mitigate systemic risks [71]. Qrunfleh et al. (2023) further highlight that organizations adopting structured mitigation and coordination routines were more capable of recombining heterogeneous knowledge under crisis [72]. In line with these insights, future research could investigate how digital coordination and ICT adoption (Kumar et al., 2023) mediate the relationship between technological distance and innovation outcomes in global R&D networks [70]. In addition, the resilience of MSMEs and start-ups offers a valuable comparative lens to understand how smaller, resource-constrained entities manage technological and institutional distances differently from large multinationals [73,74].
Author Contributions
Conceptualization, Y.T. and S.W.; methodology, S.W.; software, S.W.; validation, X.H. and S.W.; formal analysis, S.W.; investigation, S.W.; resources, X.H. and S.W.; data curation, X.H. and S.W.; Writing original draft preparation, Y.T. and S.W.; writing review and editing, Y.T. and S.W.; visualization, S.W.; supervision, X.H. and Y.T.; project administration, X.H. and Y.T.; funding acquisition, X.H. and Y.T. All authors have read and agreed to the published version of the manuscript.
Funding
This work was supported by General programs of the National Natural Science Foundation of China (72374084), Foreign Expert Project of China (DL2023199001L) (H20250484), and Guangzhou Philosophy and Social Science Development Project (2022GZYB25).
Data Availability Statement
The datasets used and/or analyzed in the current study are available from the corresponding author upon reasonable request.
Conflicts of Interest
The authors declare no conflict of interest.
References
- Zhu, X.; Yang, N.; Zhang, M.; Wang, Y. Firm Innovation: Technological Boundary-Spanning Search and Knowledge Base and Distance. Manag. Decis. 2024, 62, 326–351. [Google Scholar] [CrossRef]
- Nooteboom, B.; Van Haverbeke, W.; Duysters, G.; Gilsing, V.; van den Oord, A. Optimal Cognitive Distance and Absorptive Capacity. Res. Policy 2007, 36, 1016–1034. [Google Scholar] [CrossRef]
- Lane, P.J.; Lubatkin, M. Relative Absorptive Capacity and Interorganizational Learning. Strateg. Manag. J. 1998, 19, 461–477. [Google Scholar] [CrossRef]
- Subramanian, A.M.; Bo, W.; Kah-Hin, C. The Role of Knowledge Base Homogeneity in Learning from Strategic Alliances. Res. Policy 2018, 47, 158–168. [Google Scholar] [CrossRef]
- Cohen, W.; Levinthal, D. Absorptive-Capacity—A New Perspective on Learning and Innovation. Adm. Sci. Q. 1990, 35, 128–152. [Google Scholar] [CrossRef]
- Zhu, S.; Hagedoorn, J.; Zhang, S.; Liu, F. Effects of Technological Distance on Innovation Performance under Heterogeneous Technological Orientations. Technovation 2021, 106, 102301. [Google Scholar] [CrossRef]
- Wang, F. Does the Recombination of Distant Scientific Knowledge Generate Valuable Inventions? An Analysis of Pharmaceutical Patents. Technovation 2024, 130, 102947. [Google Scholar] [CrossRef]
- Wuyts, S.; Dutta, S. Benefiting from Alliance Portfolio Diversity: The Role of Past Internal Knowledge Creation Strategy. J. Manag. 2014, 40, 1653–1674. [Google Scholar] [CrossRef]
- Karoui, B.E.; Chtourou, W. Knowledge Distance and Business Model Reconfiguration: The Moderating Role of Tie Strength. Eur. J. Innov. Manag. 2024, 28, 3796–3819. [Google Scholar] [CrossRef]
- Kavusan, K.; Noorderhaven, N.G.; Duysters, G.M. Knowledge Acquisition and Complementary Specialization in Alliances: The Impact of Technological Overlap and Alliance Experience. Res. Policy 2016, 45, 2153–2165. [Google Scholar] [CrossRef]
- Kok, H.; Faems, D.; de Faria, P. Ties That Matter: The Impact of Alliance Partner Knowledge Recombination Novelty on Knowledge Utilization in R&D Alliances. Res. Policy 2020, 49, 104011. [Google Scholar] [CrossRef]
- Schulze, A.; Brojerdi, G.J.C. The Effect of the Distance between Partners’ Knowledge Components on Collaborative Innovation. Eur. Manag. Rev. 2012, 9, 85–98. [Google Scholar] [CrossRef]
- Garcia Martinez, M.; Zouaghi, F.; Sánchez García, M. Geographical and Cognitive Proximity Effects on Innovation Performance: Which Types of Proximity for Which Types of Innovation? Eur. Manag. Rev. 2025, 22, 291–317. [Google Scholar] [CrossRef]
- Capaldo, A.; Lavie, D.; Petruzzelli, A. Knowledge Maturity and the Scientific Value of Innovations: The Roles of Knowledge Distance and Adoption. J. Manag. 2017, 43, 503–533. [Google Scholar] [CrossRef]
- Steinmo, M.; Rasmussen, E. How Firms Collaborate with Public Research Organizations: The Evolution of Proximity Dimensions in Successful Innovation Projects. J. Bus. Res. 2016, 69, 1250–1259. [Google Scholar] [CrossRef]
- Boschma, R. Proximity and Innovation: A Critical Assessment. Reg. Stud. 2005, 39, 61–74. [Google Scholar] [CrossRef]
- Capaldo, A.; Petruzzelli, A.M. Partner Geographic and Organizational Proximity and the Innovative Performance of Knowledge-Creating Alliances. Eur. Manag. Rev. 2014, 11, 63–84. [Google Scholar] [CrossRef]
- Gomes-Casseres, B.; Hagedoorn, J.; Jaffe, A.B. Do Alliances Promote Knowledge Flows? J. Financ. Econ. 2006, 80, 5–33. [Google Scholar] [CrossRef]
- Xavier Molina-Morales, F.; Teresa Martinez-Fernandez, M. Social Networks: Effects of Social Capital on Firm Innovation. J. Small Bus. Manag. 2010, 48, 258–279. [Google Scholar] [CrossRef]
- Petruzzelli, A.M. Balancing Knowledge Exploration and Exploitation within and across Technological and Geographical Domains. Knowl. Manag. Res. Pract. 2014, 12, 123–132. [Google Scholar] [CrossRef]
- Molina-Morales, F.X.; García-Villaverde, P.M.; Parra-Requena, G. Geographical and Cognitive Proximity Effects on Innovation Performance in SMEs: A Way through Knowledge Acquisition. Int Entrep Manag J 2014, 10, 231–251. [Google Scholar] [CrossRef]
- Kim, J.; Lee, C.; Cho, Y. Technological Diversification, Core-Technology Competence, and Firm Growth. Res. Policy 2016, 45, 113–124. [Google Scholar] [CrossRef]
- Quintana-García, C.; Benavides-Velasco, C. Innovative Competence, Exploration and Exploitation: The Influence of Technological Diversification. Res. Policy 2008, 37, 492–507. [Google Scholar] [CrossRef]
- Yoo, S.-H.; Lee, C.-Y. Technological Diversification, Technology Portfolio Properties, and R&D Productivity. J. Technol. Transf. 2023, 48, 2074–2105. [Google Scholar] [CrossRef]
- Zhou, W.; Li, H. R&D Team Network Configurations, Knowledge Diversity and Breakthrough Innovation: A Combined Effect Framework. Eur. J. Innov. Manag. 2024, 28, 2285–2303. [Google Scholar] [CrossRef]
- Ran, R.; Zhang, J.; Yang, X.; Chen, Y. Can Technological Diversity Drive Firm Resilience? Evidence from Chinese Listed Firms. J. Bus. Res. 2024, 183, 114852. [Google Scholar] [CrossRef]
- Greco, M.; Grimaldi, M.; Cricelli, L. Benefits and Costs of Open Innovation: The BeCO Framework. Technol. Anal. Strateg. Manag. 2019, 31, 53–66. [Google Scholar] [CrossRef]
- Todorova, G.; Durisin, B. Absorptive Capacity: Valuing a Reconceptualization. Acad. Manage. Rev. 2007, 32, 774–786. [Google Scholar] [CrossRef]
- Santamaria, L.; Nieto, M.; Rodriguez, A. Failed and Successful Innovations: The Role of Geographic Proximity and International Diversity of Partners in Technological Collaboration. Technol. Forecast. Soc. Change 2021, 166, 120575. [Google Scholar] [CrossRef]
- Asakawa, K.; Park, Y.; Song, J.; Kim, S.-J. Internal Embeddedness, Geographic Distance, and Global Knowledge Sourcing by Overseas Subsidiaries. J. Int. Bus. Stud. 2018, 49, 743–752. [Google Scholar] [CrossRef]
- Li, D.; Heimeriks, G.; Alkemade, F. Recombinant Invention in Solar Photovoltaic Technology: Can Geographical Proximity Bridge Technological Distance? Reg. Stud. 2021, 55, 605–616. [Google Scholar] [CrossRef]
- Li, J.; Wu, X.; Cui, V. Overseas R&D, Domestic R&D, and Parent Company Innovation Performance in Emerging Market. RD Manag. 2025, 55, 554–576. [Google Scholar] [CrossRef]
- Un, C.A.; Rodriguez, A. Local and Global Knowledge Complementarity: R&D Collaborations and Innovation of Foreign and Domestic Firms. J. Int. Manag. 2018, 24, 137–152. [Google Scholar] [CrossRef]
- Yayavaram, S.; Ahuja, G. Decomposability in Knowledge Structures and Its Impact on the Usefulness of Inventions and Knowledge-Base Malleability. Adm. Sci. Q. 2008, 53, 333–362. [Google Scholar] [CrossRef]
- Ehls, D.; Polier, S.; Herstatt, C. Reviewing the Field of External Knowledge Search for Innovation: Theoretical Underpinnings and Future (Re-)Search Directions. J. Prod. Innov. Manag. 2020, 37, 405–430. [Google Scholar] [CrossRef]
- Uzzi, B. Social Structure and Competition in Interfirm Networks: The Paradox of Embeddedness. Adm. Sci. Q. 1997, 42, 35–67. [Google Scholar] [CrossRef]
- Duan, Y.; Liu, S.; Mu, C.; Liu, X.; Cheng, E.; Liu, Y. The Moderating Effect of Managerial Discretion on Cross-Border Knowledge Search and the Innovation Quality of High-Tech Firms in a Global Health Emergency: Evidence from China. JKM 2023, 27, 121–155. [Google Scholar] [CrossRef]
- Duysters, G.; Lokshin, B. Determinants of Alliance Portfolio Complexity and Its Effect on Innovative Performance of Companies. J. Prod. Innov. Manag. 2011, 28, 570–585. [Google Scholar] [CrossRef]
- Lavie, D.; Miller, S.R. Alliance Portfolio Internationalization and Firm Performance. Organ Sci. 2008, 19, 623–646. [Google Scholar] [CrossRef]
- Alcácer, J.; Zhao, M. Local R&D Strategies and Multilocation Firms: The Role of Internal Linkages. Manag. Sci. 2012, 58, 734–753. [Google Scholar] [CrossRef]
- Ostadi, B.; Barrani, L.; Aghdasi, M. Developing a Strategic Roadmap towards Integration in Industry 4.0: A Dynamic Capabilities Theory Perspective. Technol. Forecast. Soc. Change 2024, 208, 123679. [Google Scholar] [CrossRef]
- Cepeda, G.; Vera, D. Dynamic Capabilities and Operational Capabilities: A Knowledge Management Perspective. J. Bus. Res. 2007, 60, 426–437. [Google Scholar] [CrossRef]
- George, G.; Kotha, R.; Zheng, Y. Entry into Insular Domains: A Longitudinal Study of Knowledge Structuration and Innovation in Biotechnology Firms. J. Manage. Stud. 2008, 45, 1448–1474. [Google Scholar] [CrossRef]
- Li-Ying, J.; Wang, Y.; Ning, L. How Do Dynamic Capabilities Transform External Technologies into Firms’ Renewed Technological Resources?—A Mediation Model. Asia Pac. J. Manag. 2016, 33, 1009–1036. [Google Scholar] [CrossRef]
- Laursen, K.; Salter, A. Open for Innovation: The Role of Openness in Explaining Innovation Performance among UK Manufacturing Firms. Strateg. Manag. J. 2006, 27, 131–150. [Google Scholar] [CrossRef]
- Miller, D.J. Technological Diversity, Related Diversification, and Firm Performance. Strateg. Manag. J. 2006, 27, 601–619. [Google Scholar] [CrossRef]
- Santangelo, G.D.; Phene, A. Knowledge Sourcing by the Multinational Enterprise: An Individual Creativity-Based Model. J. Int. Bus. Stud. 2022, 53, 434–448. [Google Scholar] [CrossRef]
- Cantwell, J.; Piscitello, L. The Location of Technological Activities of MNCs in European Regions: The Role of Spillovers and Local Competencies. J. Int. Manag. 2002, 8, 69–96. [Google Scholar]
- Almeida, P.; Phene, A. Subsidiaries and Knowledge Creation: The Influence of the MNC and Host Country on Innovation. Strateg. Manag. J. 2004, 25, 847–864. [Google Scholar] [CrossRef]
- Guo, L.; Zhang, M.Y.; Dodgson, M.; Gann, D. Huawei’s Catch-up in the Global Telecommunication Industry: Innovation Capability and Transition to Leadership. Technol. Anal. Strateg. Manag. 2019, 31, 1395–1411. [Google Scholar] [CrossRef]
- Yan, Y.; Zhang, J.; Guan, J. Network Embeddedness and Innovation: Evidence from the Alternative Energy Field. IEEE Trans. Eng. Manag. 2020, 67, 769–782. [Google Scholar] [CrossRef]
- Wang, C.; Rodan, S.; Fruin, M.; Xu, X. Knowledge Networks, Collaboration Networks, and Exploratory Innovation. AMJ 2014, 57, 484–514. [Google Scholar] [CrossRef]
- Guan, J.; Zhang, J.; Yan, Y. The Impact of Multilevel Networks on Innovation. Res. Policy 2015, 44, 545–559. [Google Scholar] [CrossRef]
- Yan, Y.; Guan, J. Social Capital, Exploitative and Exploratory Innovations: The Mediating Roles of Ego-Network Dynamics. Technol. Forecast. Soc. Change 2018, 126, 244–258. [Google Scholar] [CrossRef]
- Guan, J.; Liu, N. Exploitative and Exploratory Innovations in Knowledge Network and Collaboration Network: A Patent Analysis in the Technological Field of Nano-Energy. Res. Policy 2016, 45, 97–112. [Google Scholar] [CrossRef]
- Moreira, S.; Markus, A.; Laursen, K. Knowledge Diversity and Coordination: The Effect of Intrafirm Inventor Task Networks on Absorption Speed. Strateg. Manag. J. 2018, 39, 2517–2546. [Google Scholar] [CrossRef]
- Jaffe, A.B. Technological Opportunity and Spillovers of R&D: Evidence from Firms’ Patents, Profits and Market Value. Corp. Financ. Valuat. 1986, 76, 984–1001. [Google Scholar]
- Karna, A.; Täube, F.; Sonderegger, P. Evolution of Innovation Networks across Geographical and Organizational Boundaries: A Study of R&D Subsidiaries in the Bangalore IT Cluster. Eur. Manag. Rev. 2013, 10, 211–226. [Google Scholar] [CrossRef]
- Garcia-Vega, M. Does Technological Diversification Promote Innovation? An Empirical Analysis for European Firms. Res. Policy 2006, 35, 230–246. [Google Scholar] [CrossRef]
- Chen, Y.-S.; Chang, K.-C. Using the Entropy-Based Patent Measure to Explore the Influences of Related and Unrelated Technological Diversification upon Technological Competences and Firm Performance. Scientometrics 2012, 90, 825–841. [Google Scholar] [CrossRef]
- Kim, S.; Jun, B.; Lee, J. Technological Relatedness: How Do Firms Diversify Their Technology? Scientometrics 2023, 128, 4901–4931. [Google Scholar] [CrossRef]
- Belderbos, R.; Leten, B.; Suzuki, S. International R&D and MNCs’ Innovation Performance: An Integrated Approach. J. Int. Manag. 2023, 29, 101083. [Google Scholar] [CrossRef]
- Grigoriou, K.; Rothaermel, F.T. Structural Microfoundations of Innovation: The Role of Relational Stars. J. Manag. 2014, 40, 586–615. [Google Scholar] [CrossRef]
- Haans, R.; Pieters, C.; He, Z. Thinking About U: Theorizing and Testing U- and Inverted U-Shaped Relationships in Strategy Research. Strateg. Manag. J. 2016, 37, 1177–1195. [Google Scholar] [CrossRef]
- Baron, R.M.; Kenny, D.A. The Moderator-Mediator Variable Distinction in Social Psychological Research: Conceptual, Strategic, and Statistical Considerations. J. Pers. Soc. Psychol. 1986, 51, 1173. [Google Scholar] [CrossRef]
- Edwards, J.R.; Lambert, L.S. Methods for Integrating Moderation and Mediation: A General Analytical Framework Using Moderated Path Analysis. Psychol. Methods 2007, 12, 1–22. [Google Scholar] [CrossRef]
- Qin, C.; Wang, Y.; Ramburuth, P. The Impact of Knowledge Transfer on MNC Subsidiary Performance: Does Cultural Distance Matter? Knowl. Manag. Res. Pract. 2017, 15, 78–89. [Google Scholar] [CrossRef]
- Marin, A.; Bell, M. The Local/Global Integration of MNC Subsidiaries and Their Technological Behaviour: Argentina in the Late 1990s. Res. Policy 2010, 39, 919–931. [Google Scholar] [CrossRef]
- Yan, Y.; Guan, J. How Multiple Networks Help in Creating Knowledge: Evidence from Alternative Energy Pa-tents. Scientometrics 2018, 115, 51–77. [Google Scholar] [CrossRef]
- Kumar, V.; Verma, P.; Mittal, A.; Tuesta Panduro, J.A.; Singh, S.; Paliwal, M.; Sharma, N.K. Adoption of ICTs as an Emergent Business Strategy during and Following COVID-19 Crisis: Evidence from Indian MSMEs. Benchmarking Int. J. 2023, 30, 1850–1883. [Google Scholar] [CrossRef]
- Min, H. Assessing the Impact of a COVID-19 Pandemic on Supply Chain Transformation: An Exploratory Analysis. Benchmarking Int. J. 2023, 30, 1765–1781. [Google Scholar] [CrossRef]
- Qrunfleh, S.; Vivek, S.; Merz, R.; Mathivathanan, D. Mitigation Themes in Supply Chain Research during the COVID-19 Pandemic: A Systematic Literature Review. Benchmarking Int. J. 2023, 30, 1832–1849. [Google Scholar] [CrossRef]
- Varma, D.; Dutta, P. Restarting MSMEs and Start-Ups Post COVID-19: A Grounded Theory Approach to Identify Success Factors to Tackle Changed Business Landscape. Benchmarking Int. J. 2023, 30, 1912–1941. [Google Scholar] [CrossRef]
- Sreenivasan, A.; Suresh, M.; Panduro, J. Modelling the Resilience of Start-Ups during COVID-19 Pandemic. Benchmarking Int. J. 2023, 30, 2085–2109. [Google Scholar] [CrossRef]
Disclaimer/Publisher’s Note: The statements, opinions and data contained in all publications are solely those of the individual author(s) and contributor(s) and not of MDPI and/or the editor(s). MDPI and/or the editor(s) disclaim responsibility for any injury to people or property resulting from any ideas, methods, instructions or products referred to in the content. |
© 2025 by the authors. Licensee MDPI, Basel, Switzerland. This article is an open access article distributed under the terms and conditions of the Creative Commons Attribution (CC BY) license (https://creativecommons.org/licenses/by/4.0/).




