Characteristics and Species Diversity of Semi-Natural Plant Communities on Langqi Island
Abstract
:Simple Summary
Abstract
1. Introduction
2. Materials and Methods
2.1. Overview of the Study Area
2.2. Setup of the Sample Plots and Field Surveys
2.3. Determination of the Soil Physicochemical Properties
2.4. Data Processing and Analysis
3. Results
3.1. Species Composition
3.2. Classification of Vegetation Type
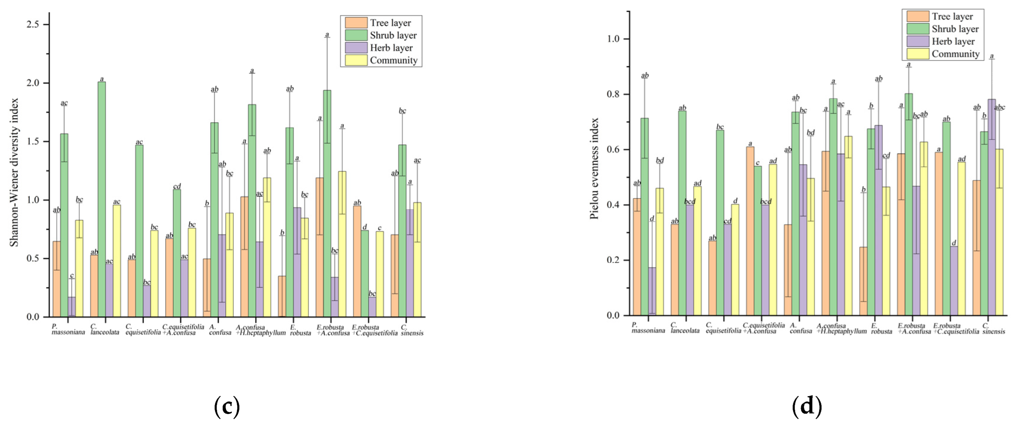
3.3. Analysis of Species Diversity
3.4. Analysis of the Environmental Factors
3.4.1. Correlation between the Species Diversity and Environmental Factors
3.4.2. Correlation between the Formation Distribution and Environmental Factors
4. Discussion
4.1. Characteristics
4.2. Species Diversity and Environmental Factors
5. Conclusions and Recommendations
Author Contributions
Funding
Institutional Review Board Statement
Informed Consent Statement
Data Availability Statement
Conflicts of Interest
Appendix A
| NO. | Elevation/m | Slope/° | Aspect | Position | Distance from Sea/(km) | pH | S g/kg | T-P g/kg | T-K g/kg | A-K mg/kg | A-P mg/kg | T-N g/kg | SOM g/kg | A-N g/kg |
|---|---|---|---|---|---|---|---|---|---|---|---|---|---|---|
| L1 | 61 | 20 | W289 | Low | 1.479 | 5.58 | 0.33 | 0.29 | 4.05 | 77.00 | 21.12 | 0.37 | 2.75 | 0.12 |
| L2 | 38 | 20 | S178 | Low | 0.335 | 4.25 | 0.89 | 0.29 | 5.81 | 133.00 | 1.55 | 1.30 | 12.92 | 0.13 |
| L3 | 45 | 15 | S185 | Middle | 0.541 | 3.95 | 0.72 | 0.27 | 10.07 | 171.43 | 2.10 | 1.45 | 15.53 | 0.16 |
| L4 | 86 | 25 | E101 | Middle | 0.593 | 3.99 | 0.77 | 0.44 | 2.42 | 45.45 | 22.10 | 2.61 | 30.99 | 0.26 |
| L5 | 118 | 17 | N20 | Up | 0.994 | 4.17 | 0.30 | 0.33 | 2.25 | 54.55 | 19.10 | 3.06 | 31.67 | 0.30 |
| L6 | 66 | 19 | W268 | Middle | 1.428 | 4.25 | 0.84 | 0.30 | 4.01 | 180.30 | 3.67 | 2.69 | 29.67 | 0.27 |
| L7 | 87 | 3 | NE24 | Middle | 0.206 | 4.58 | 0.47 | 0.34 | 4.47 | 243.00 | 9.21 | 2.24 | 24.48 | 0.25 |
| L8 | 66 | 30 | E87 | Middle | 0.249 | 3.98 | 0.44 | 0.33 | 8.54 | 260.49 | 4.13 | 2.00 | 25.78 | 0.26 |
| L9 | 79 | 20 | N349 | Middle | 0.327 | 4.06 | 0.83 | 0.31 | 8.40 | 52.94 | 2.71 | 2.87 | 30.93 | 0.34 |
| L10 | 66 | 7 | E96 | Middle | 0.977 | 4.54 | 0.58 | 0.12 | 13.20 | 25.00 | 2.48 | 1.85 | 33.06 | 0.20 |
| L11 | 75 | 8 | SE117 | Middle | 1.002 | 4.42 | 0.62 | 0.13 | 11.26 | 30.10 | 1.61 | 0.97 | 15.20 | 0.12 |
| L12 | 58 | 10 | W260 | Middle | 1.049 | 4.62 | 0.61 | 0.12 | 14.47 | 33.83 | 2.20 | 1.41 | 24.84 | 0.14 |
| L13 | 74 | 40 | S178 | Middle | 1.763 | 4.81 | 0.51 | 0.30 | 12.05 | 261.76 | 5.21 | 1.15 | 11.41 | 0.15 |
| L14 | 173 | 35 | SW236 | Up | 2.215 | 4.44 | 0.62 | 0.09 | 19.04 | 50.98 | 2.54 | 0.90 | 14.01 | 0.12 |
| L15 | 20 | 4 | E90 | Low | 2.771 | 5.29 | 0.76 | 0.72 | 14.56 | 190.38 | 107.72 | 1.57 | 18.38 | 0.19 |
| L16 | 110 | 45 | SW233 | Up | 2.634 | 4.22 | 0.52 | 0.44 | 11.20 | 66.34 | 31.70 | 1.72 | 17.97 | 0.22 |
| L17 | 61 | 25 | SE134 | Up | 0.629 | 5.35 | 0.68 | 0.29 | 16.46 | 80.60 | 3.70 | 1.54 | 14.96 | 0.18 |
| L18 | 38 | 35 | SW220 | Middle | 1.951 | 5.29 | 0.92 | 0.52 | 14.32 | 163.64 | 38.72 | 1.56 | 15.59 | 0.19 |
| L19 | 152 | 35 | E101 | Up | 0.989 | 4.82 | 0.51 | 0.17 | 20.27 | 102.51 | 3.92 | 1.66 | 16.66 | 0.22 |
| L20 | 91 | 18 | NE38 | Middle | 1.729 | 4.67 | 0.65 | 0.35 | 3.56 | 54.55 | 10.58 | 2.64 | 25.64 | 0.28 |
| L21 | 17 | 21 | N340 | Low | 1.658 | 4.06 | 0.77 | 0.40 | 3.68 | 76.00 | 16.80 | 1.84 | 19.99 | 0.22 |
| L22 | 56 | 23 | NE65 | Middle | 3.079 | 4.06 | 0.42 | 0.43 | 6.34 | 288.12 | 12.38 | 1.71 | 18.84 | 0.20 |
| L23 | 57 | 15 | SE147 | Middle | 2.828 | 5.62 | 0.37 | 0.33 | 6.16 | 84.85 | 5.42 | 0.83 | 7.94 | 0.16 |
| L24 | 69 | 13 | W284 | Middle | 2.502 | 5.41 | 0.52 | 0.66 | 7.11 | 255.88 | 9.46 | 1.38 | 13.26 | 0.18 |
| L25 | 20 | 18 | NW309 | Low | 1.347 | 5.30 | 0.47 | 0.24 | 2.77 | 233.65 | 6.50 | 1.39 | 17.81 | 0.15 |
| L26 | 29 | 8 | SW220 | Low | 1.273 | 5.30 | 0.30 | 0.33 | 3.90 | 93.47 | 7.22 | 1.23 | 12.24 | 0.14 |
| L27 | 18 | 25 | NW312 | Low | 0.174 | 6.02 | 0.37 | 0.46 | 2.92 | 67.66 | 11.72 | 1.94 | 19.48 | 0.22 |
| L28 | 18 | 30 | W281 | Low | 0.139 | 5.51 | 0.68 | 0.29 | 2.52 | 53.92 | 10.46 | 2.94 | 30.99 | 0.32 |
| L29 | 10 | 40 | S172 | Low | 0.116 | 5.14 | 0.47 | 0.35 | 2.68 | 74.64 | 13.76 | 2.27 | 26.15 | 0.20 |
| L30 | 15 | 30 | S162 | Low | 0.283 | 6.63 | 0.94 | 0.39 | 2.66 | 75.62 | 19.11 | 3.60 | 41.91 | 0.38 |
| L31 | 8 | 8 | E84 | Low | 0.091 | 4.55 | 0.76 | 0.49 | 2.39 | 56.44 | 7.35 | 2.44 | 29.02 | 0.22 |
| L32 | 19 | 12 | SW240 | Low | 0.162 | 6.21 | 1.62 | 0.55 | 2.49 | 91.79 | 11.86 | 6.88 | 77.51 | 0.74 |
| L33 | 24 | 12 | SE122 | Low | 0.220 | 6.63 | 1.21 | 0.57 | 2.54 | 155.33 | 11.75 | 6.18 | 75.44 | 0.71 |
Appendix B
| NO. | Layer | Dominant Species | IV | Species Count | Species Diversity | Diversity of Different Layers | ||||||
|---|---|---|---|---|---|---|---|---|---|---|---|---|
| R | H | D | J | R | H | D | J | |||||
| L1 | Tree layer | Eucalyptus robusta Smith | 79.48 | 9 | 1.49 | 1.12 | 0.51 | 0.57 | 1.82 | 1.02 | 0.46 | 0.46 |
| Shrub layer | Mallotus repandus (Willd.) Muell. Arg. | 21.96 | 20 | 1.71 | 1.76 | 0.79 | 0.85 | |||||
| Herb layer | Arthraxon hispidus (Thunb.) Makino | 73.21 | 4 | 0.32 | 0.39 | 0.22 | 0.42 | |||||
| L2 | Tree layer | Acacia confusa Merr. | 82.32 | 3 | 1.42 | 1.28 | 0.59 | 0.75 | 0.72 | 0.70 | 0.40 | 0.64 |
| Shrub layer | Microlepia hancei Prantl | 11.08 | 25 | 2.86 | 2.22 | 0.86 | 0.86 | |||||
| Herb layer | Arthraxon hispidus (Thunb.) Makino | 27.72 | 12 | 1.03 | 1.31 | 0.67 | 0.86 | |||||
| L3 | Tree layer | Acacia confusa Merr. | 88.79 | 4 | 1.51 | 1.20 | 0.52 | 0.61 | 0.83 | 0.61 | 0.29 | 0.44 |
| Shrub layer | Vitex negundo var. cannabifolia (Sieb.et Zucc.) Hand.-Mazz. | 12.57 | 34 | 2.36 | 1.67 | 0.70 | 0.71 | |||||
| Herb layer | Eragrostis pilosa (L.) Beauv. | 20.07 | 24 | 1.95 | 1.92 | 0.80 | 0.86 | |||||
| L4 | Tree layer | Acacia confusa Merr. | 100 | 1 | 0.68 | 0.56 | 0.25 | 0.28 | 0.00 | 0.00 | 0.00 | 0.00 |
| Shrub layer | Miscanthus sinensis Anderss. | 21.87 | 24 | 1.91 | 1.47 | 0.65 | 0.66 | |||||
| Herb layer | Digitaria sanguinalis (L.) Scop. | 47.48 | 9 | 0.55 | 0.57 | 0.29 | 0.41 | |||||
| L5 | Tree layer | Acacia confusa Merr. | 57.65 | 9 | 1.62 | 1.41 | 0.64 | 0.69 | 1.90 | 1.68 | 0.75 | 0.77 |
| Shrub layer | Rubus hirsutus Thunb. | 30.15 | 22 | 1.93 | 1.57 | 0.71 | 0.75 | |||||
| Herb layer | Digitaria sanguinalis (L.) Scop. | 33.62 | 7 | 0.44 | 0.48 | 0.25 | 0.39 | |||||
| L6 | Tree layer | Acacia confusa Merr. | 77.19 | 6 | 1.37 | 1.15 | 0.55 | 0.63 | 1.48 | 1.06 | 0.50 | 0.59 |
| Shrub layer | Sageretia thea (Osbeck) Johnst. | 10.45 | 19 | 1.81 | 1.62 | 0.74 | 0.75 | |||||
| Herb layer | Arthraxon hispidus (Thunb.) Makino | 28.71 | 8 | 0.45 | 0.65 | 0.37 | 0.56 | |||||
| L7 | Tree layer | Acacia confusa Merr. | 100 | 1 | 0.52 | 0.51 | 0.26 | 0.35 | 0.00 | 0.00 | 0.00 | 0.00 |
| Shrub layer | Lantana camara L. | 53.41 | 12 | 1.48 | 1.30 | 0.63 | 0.77 | |||||
| Herb layer | Arthraxon hispidus (Thunb.) Makino | 56.23 | 4 | 0.36 | 0.59 | 0.36 | 0.58 | |||||
| L8 | Tree layer | Eucalyptus robusta Smith | 34.85 | 11 | 2.11 | 1.73 | 0.73 | 0.76 | 2.11 | 1.90 | 0.81 | 0.79 |
| Shrub layer | Castanopsis hystrix J. D. Hooker et Thomson ex A. De Candolle | 8.91 | 35 | 3.29 | 2.20 | 0.84 | 0.86 | |||||
| Herb layer | Digitaria sanguinalis (L.) Scop. | 40.82 | 7 | 0.33 | 0.59 | 0.34 | 0.52 | |||||
| L9 | Tree layer | Acacia confusa Merr. | 62.21 | 7 | 1.66 | 1.25 | 0.59 | 0.63 | 1.39 | 1.18 | 0.61 | 0.60 |
| Shrub layer | Sageretia thea (Osbeck) Johnst. | 24.59 | 32 | 3.04 | 1.94 | 0.77 | 0.74 | |||||
| Herb layer | Digitaria sanguinalis (L.) Scop. | 46.50 | 3 | 0.27 | 0.39 | 0.26 | 0.56 | |||||
| L10 | Tree layer | Pinus massoniana Lamb. | 85.91 | 4 | 0.82 | 0.66 | 0.31 | 0.38 | 0.53 | 0.51 | 0.25 | 0.37 |
| Shrub layer | Rhodomyrtus tomentosa (Ait.) Hassk. | 44.07 | 19 | 1.85 | 1.36 | 0.61 | 0.64 | |||||
| Herb layer | Ischaemum ciliare Retzius | 100 | 1 | 0.00 | 0.00 | 0.00 | 0.00 | |||||
| L11 | Tree layer | Eucalyptus robusta Smith | 54.36 | 5 | 1.62 | 1.27 | 0.57 | 0.61 | 0.84 | 1.05 | 0.60 | 0.65 |
| Shrub layer | Rhodomyrtus tomentosa (Ait.) Hassk. | 13.28 | 37 | 3.92 | 2.40 | 0.86 | 0.84 | |||||
| Herb layer | Digitaria sanguinalis (L.) Scop. | 18.33 | 5 | 0.10 | 0.12 | 0.07 | 0.17 | |||||
| L12 | Tree layer | Pinus massoniana Lamb. | 75.35 | 8 | 1.41 | 0.96 | 0.44 | 0.45 | 1.36 | 0.93 | 0.44 | 0.45 |
| Shrub layer | Rhodomyrtus tomentosa (Ait.) Hassk. | 39.65 | 26 | 2.32 | 1.51 | 0.64 | 0.62 | |||||
| Herb layer | Digitaria sanguinalis (L.) Scop. | 18.33 | 6 | 0.15 | 0.20 | 0.12 | 0.19 | |||||
| L13 | Tree layer | Cunninghamia lanceolata (Lamb.) Hook. | 86.99 | 5 | 1.52 | 0.96 | 0.40 | 0.47 | 1.03 | 0.53 | 0.23 | 0.33 |
| Shrub layer | Heptapleurum delavayi Franch. | 15.27 | 38 | 3.10 | 2.01 | 0.78 | 0.74 | |||||
| Herb layer | Pteris semipinnata L. Sp. | 28.93 | 8 | 0.38 | 0.45 | 0.25 | 0.40 | |||||
| L14 | Tree layer | Pinus massoniana Lamb. | 85.51 | 3 | 0.87 | 0.86 | 0.40 | 0.56 | 0.48 | 0.50 | 0.26 | 0.45 |
| Shrub layer | Rhodomyrtus tomentosa (Ait.) Hassk. | 16.26 | 17 | 1.88 | 1.83 | 0.80 | 0.88 | |||||
| Herb layer | Dicranopteris pedata (Houttuyn) Nakaike | 75.38 | 5 | 0.34 | 0.31 | 0.15 | 0.33 | |||||
| L15 | Tree layer | Eucalyptus robusta Smith | 97.8 | 2 | 0.92 | 0.70 | 0.32 | 0.44 | 0.24 | 0.14 | 0.06 | 0.21 |
| Shrub layer | Lantana camara L. | 26.47 | 20 | 2.22 | 1.53 | 0.66 | 0.65 | |||||
| Herb layer | Arthraxon hispidus (Thunb.) Makino | 45.69 | 11 | 0.68 | 0.87 | 0.47 | 0.70 | |||||
| L16 | Tree layer | Acacia confusa Merr. | 90.13 | 3 | 1.31 | 0.90 | 0.38 | 0.50 | 0.52 | 0.40 | 0.20 | 0.36 |
| Shrub layer | Eleutherococcus trifoliatus (Linnaeus) S. Y. Hu | 19.61 | 30 | 3.31 | 2.11 | 0.80 | 0.78 | |||||
| Herb layer | Arthraxon hispidus (Thunb.) Makino | 71.93 | 4 | 0.28 | 0.35 | 0.21 | 0.44 | |||||
| L17 | Tree layer | Acacia confusa Merr. | 93.99 | 4 | 0.97 | 0.70 | 0.32 | 0.43 | 0.74 | 0.38 | 0.16 | 0.27 |
| Shrub layer | Lantana camara L. | 31.49 | 17 | 1.87 | 1.54 | 0.70 | 0.74 | |||||
| Herb layer | Cynodon dactylon (L.) Pers. | 37.6 | 4 | 0.17 | 0.26 | 0.17 | 0.37 | |||||
| L18 | Tree layer | Eucalyptus robusta Smith | 90.87 | 5 | 1.45 | 1.04 | 0.45 | 0.55 | 0.82 | 0.50 | 0.22 | 0.31 |
| Shrub layer | Miscanthus floridulus (Lab.) Warb. ex Schum et Laut. | 12.86 | 33 | 3.02 | 2.05 | 0.78 | 0.76 | |||||
| Herb layer | Bidens pilosa L. | 35.91 | 9 | 0.65 | 0.89 | 0.52 | 0.81 | |||||
| L19 | Tree layer | Acacia confusa Merr. | 90.24 | 4 | 1.16 | 0.86 | 0.39 | 0.54 | 0.82 | 0.52 | 0.23 | 0.37 |
| Shrub layer | Elaeagnus oldhamii Maximowicz | 13.93 | 24 | 2.39 | 1.73 | 0.76 | 0.82 | |||||
| Herb layer | Arthraxon hispidus (Thunb.) Makino | 49.57 | 3 | 0.18 | 0.38 | 0.25 | 0.55 | |||||
| L20 | Tree layer | Acacia confusa Merr. | 22.04 | 5 | 1.32 | 1.03 | 0.48 | 0.58 | 0.98 | 0.86 | 0.45 | 0.54 |
| Shrub layer | Miscanthus floridulus (Lab.) Warb. ex Schum et Laut. | 20.31 | 27 | 2.57 | 1.78 | 0.73 | 0.73 | |||||
| Herb layer | Digitaria sanguinalis (L.) Scop. | 43.78 | 4 | 0.29 | 0.34 | 0.20 | 0.43 | |||||
| L21 | Tree layer | Acacia confusa Merr. | 69.98 | 6 | 1.56 | 1.32 | 0.63 | 0.72 | 1.53 | 1.23 | 0.60 | 0.69 |
| Shrub layer | Mallotus repandus (Willd.) Muell. Arg. | 13.34 | 26 | 2.35 | 1.76 | 0.75 | 0.76 | |||||
| Herb layer | Digitaria sanguinalis (L.) Scop. | 36.25 | 8 | 0.63 | 0.90 | 0.50 | 0.73 | |||||
| L22 | Tree layer | Eucalyptus robusta Smith | 100 | 1 | 0.74 | 0.69 | 0.33 | 0.33 | 0.00 | 0.00 | 0.00 | 0.00 |
| Shrub layer | Miscanthus floridulus (Lab.) Warb. ex Schum et Laut. | 34.92 | 22 | 1.56 | 1.32 | 0.64 | 0.59 | |||||
| Herb layer | Arthraxon hispidus (Thunb.) Makino | 26.53 | 18 | 1.34 | 1.47 | 0.70 | 0.78 | |||||
| L23 | Tree layer | Casuarina equisetifolia L. | 92.5 | 6 | 1.23 | 0.74 | 0.33 | 0.40 | 1.23 | 0.49 | 0.19 | 0.27 |
| Shrub layer | Rubus corchorifolius L. f. | 14.24 | 24 | 1.90 | 1.47 | 0.67 | 0.67 | |||||
| Herb layer | Arthraxon hispidus (Thunb.) Makino | 59.79 | 4 | 0.20 | 0.27 | 0.16 | 0.33 | |||||
| L24 | Tree layer | Eucalyptus robusta Smith | 81.17 | 5 | 1.13 | 0.95 | 0.48 | 0.54 | 0.97 | 0.76 | 0.42 | 0.47 |
| Shrub layer | Rubus hirsutus Thunb. | 22.55 | 23 | 1.82 | 1.57 | 0.71 | 0.70 | |||||
| Herb layer | Arthraxon hispidus (Thunb.) Makino | 49.76 | 7 | 0.48 | 0.51 | 0.26 | 0.46 | |||||
| L25 | Tree layer | Eucalyptus robusta Smith | 69.74 | 5 | 0.59 | 0.73 | 0.41 | 0.56 | 0.90 | 0.95 | 0.49 | 0.59 |
| Shrub layer | Melia azedarach L. | 12.94 | 6 | 0.42 | 0.74 | 0.46 | 0.70 | |||||
| Herb layer | Bidens pilosa L. | 45.72 | 2 | 0.09 | 0.17 | 0.12 | 0.25 | |||||
| L26 | Tree layer | Eucalyptus robusta Smith | 83.16 | 6 | 1.11 | 0.86 | 0.40 | 0.57 | 1.11 | 0.79 | 0.35 | 0.44 |
| Shrub layer | Eucalyptus robusta Smith | 16.50 | 17 | 1.76 | 1.39 | 0.62 | 0.66 | |||||
| Herb layer | Cyperus rotundus L. | 49.11 | 3 | 0.15 | 0.26 | 0.18 | 0.76 | |||||
| L27 | Tree layer | Celtis sinensis Pers. | 84.85 | 3 | 1.05 | 1.03 | 0.52 | 0.70 | 0.60 | 0.66 | 0.36 | 0.60 |
| Shrub layer | Elaeagnus oldhamii Maximowicz | 16.02 | 18 | 2.05 | 1.66 | 0.72 | 0.71 | |||||
| Herb layer | Ophiopogon bodinieri Levl. | 44.70 | 7 | 0.65 | 1.02 | 0.60 | 0.91 | |||||
| L28 | Tree layer | Celtis sinensis Pers. | 76.11 | 7 | 1.63 | 1.30 | 0.60 | 0.70 | 2.00 | 1.26 | 0.56 | 0.65 |
| Shrub layer | Plumbago zeylanica L. | 25.16 | 20 | 1.65 | 1.52 | 0.66 | 0.68 | |||||
| Herb layer | Arthraxon hispidus (Thunb.) Makino | 15.07 | 10 | 0.68 | 1.04 | 0.59 | 0.86 | |||||
| L29 | Tree layer | Celtis sinensis Pers. | 93.16 | 2 | 0.54 | 0.57 | 0.29 | 0.50 | 0.28 | 0.30 | 0.16 | 0.43 |
| Shrub layer | Plumbago zeylanica L. | 34.14 | 14 | 1.10 | 1.05 | 0.52 | 0.62 | |||||
| Herb layer | Liriope graminifolia (L.) Baker | 32.91 | 7 | 0.33 | 0.51 | 0.29 | 0.50 | |||||
| L30 | Tree layer | Celtis sinensis Pers. | 100 | 1 | 0.69 | 0.61 | 0.30 | 0.36 | 0.00 | 0.00 | 0.00 | 0.00 |
| Shrub layer | Plumbago zeylanica L. | 35.42 | 19 | 1.95 | 1.47 | 0.65 | 0.65 | |||||
| Herb layer | Liriope spicata (Thunb.) Lour. | 30.66 | 10 | 0.53 | 0.85 | 0.50 | 0.83 | |||||
| L31 | Tree layer | Casuarina equisetifolia L. | 80.23 | 3 | 0.69 | 0.76 | 0.40 | 0.55 | 0.54 | 0.67 | 0.38 | 0.61 |
| Shrub layer | Sageretia thea (Osbeck) Johnst. | 16.12 | 15 | 1.16 | 1.09 | 0.51 | 0.54 | |||||
| Herb layer | Bidens pilosa L. | 61.62 | 5 | 0.38 | 0.49 | 0.28 | 0.40 | |||||
| L32 | Tree layer | Celtis sinensis Pers. | 79.92 | 3 | 0.95 | 0.98 | 0.52 | 0.68 | 0.67 | 0.75 | 0.45 | 0.68 |
| Shrub layer | Plumbago zeylanica L. | 27.28 | 17 | 1.56 | 1.32 | 0.62 | 0.61 | |||||
| Herb layer | Liriope spicata (Thunb.) Lour. | 30.34 | 11 | 0.71 | 1.02 | 0.54 | 0.77 | |||||
| L33 | Tree layer | Celtis sinensis Pers. | 77.39 | 9 | 1.91 | 1.38 | 0.61 | 0.67 | 2.13 | 1.25 | 0.53 | 0.57 |
| Shrub layer | Eleutherococcus trifoliatus (Linnaeus) S. Y. Hu | 28.19 | 25 | 2.31 | 1.81 | 0.76 | 0.72 | |||||
| Herb layer | Liriope spicata (Thunb.) Lour. | 29.30 | 7 | 0.78 | 1.06 | 0.59 | 0.82 | |||||
References
- Luo, Y.; Gong, Y. α-Diversity of desert shrub communities and its relationship with climatic factors in Xinjiang. Forests 2023, 14, 178. [Google Scholar] [CrossRef]
- Zhao, N.; Lu, S.; Li, S.; Wu, J.; Fan, Y. Study on plant diversity of typical plant communities in Songshan Nature Reserve, Beijing. Acta Bot. Boreali-Occident. Sin. 2018, 38, 2120–2128. [Google Scholar]
- Tilman, D.; Reich, P.B.; Knops, J.M. Biodiversity and ecosystem stability in a decade-long grassland experiment. Nature 2006, 441, 629–632. [Google Scholar] [CrossRef] [PubMed]
- Huang, X.; Lang, X.; Li, S.; Liu, W.; Su, J. Indicator selection and driving factors of ecosystem multifunctionality: Research status and perspectives. Biodivers. Sci. 2021, 29, 1673. [Google Scholar] [CrossRef]
- Ye, W.H. The maintenance mechanism of plant community and its species diversity. Chin. Biodivers. 2000, 8, 17–24. [Google Scholar]
- Li, H.; He, L.; Wu, K.; Yan, W.; Deng, D.; Chen, D.; Liu, S.; Wen, Z. Research on plant community characteristics and biodiversity in the whole section of the main stream of Baihe River in the upper reaches of the Yellow River. Pratacultural Sci. 2023, 40, 848–863. [Google Scholar]
- Zhao, Z.Q.; Chai, Y.; Cui, M.; Li, G.; He, L.; Ma, S.; Liu, Y. Study on species diversity of plant communities in dry-hot valleys of Northwest and Southeast Yunnan. Res. Environ. Sci. 2022, 35, 2447–2457. [Google Scholar]
- Dar Pervaiz, A.; Reshi Zafar, A. Impact of alien species on species composition, floristic and functional diversity of aquatic and terrestrial ecosystems. Trop. Ecol. 2020, 61, 446–459. [Google Scholar]
- Huang, L.J.; Zhang, Z.K.; Zheng, J.M.; Huang, S.; Lin, L.; Wang, Q.; Deng, C.; Liu, X. Functional traits and evolution trend of wild plants in continental island: A case study of Pingtan Island. J. Trop. Subtrop. Bot. 2017, 25, 429–437. [Google Scholar]
- Li, S.; Tu, T.; Li, S.; Yang, X.; Zheng, Y.; Guo, L.; Zhang, D.; Jiang, L. Different mechanisms underlie similar species-area relationships in two tropical archipelagoes. Plant Divers. 2023, in press. [Google Scholar] [CrossRef]
- Li, S.; Liber, K. Influence of different revegetation choices on plant community and soil development nine years after initial planting on a reclaimed coal gob pile in the Shanxi mining area, China. Sci. Total Environ. 2018, 618, 1314–1323. [Google Scholar] [CrossRef] [PubMed]
- Jiang, G. Urban vegetation: Its characteristic, type and function. Chin. Bull. Bot. 1993, 10, 21–27. [Google Scholar]
- Nan, P.; Su, B. Study on the structure characteristics of semi-natural plant communities in Shenyang. For. Resour. Manag. 2016, 6, 71–76+81. [Google Scholar]
- Xiao, J.; Zhong, Z.; Wang, C.; Li, M.; Wen, Q.; Lin, X.; Luo, Z.; Qian, Z.; Li, M.; Deng, C. Rare species are significant in harsh environments and unstable communities based on the changes of species richness and community stability in different sub-assemblages. Sustainability 2023, 15, 13994. [Google Scholar] [CrossRef]
- Zhang, J.; Zhang, L.; Zhao, D.; Wu, D.; Bai, P.; Deng, C. Characteristics and species diversity of secondary vegetation on Qi’ao Island, Zhuhai. Acta Bot. Boreali-Occident. Sin. 2019, 39, 173–184. [Google Scholar]
- Guirado, M.; Pino, J.; Rodà, F. Understorey plant species richness and composition in metropolitan forest archipelagos: Effects of forest size, adjacent land use and distance to the edge. Glob. Ecol. Biogeogr. 2006, 15, 50–62. [Google Scholar] [CrossRef]
- Li, X.; Fan, S.; Guan, J.; Zhao, F.; Dong, L. Diversity and influencing factors on spontaneous plant distribution in Beijing Olympic Forest Park. Landsc. Urban Plan. 2019, 181, 157–168. [Google Scholar] [CrossRef]
- Preparation Group of “Flora Fujian”. Fujian Provincial Science and Technology Commission. In Flora Fujian; Fujian Science and Technology Publishing House: Fuzhou, China, 1982; pp. 1–631. [Google Scholar]
- Editorial Committee of “Flora of China”. Chinese Academy of Sciences. Flora of China; Science Press: Beijing, China, 2004; pp. 1–1044. [Google Scholar]
- Ma, J.S.; Li, H.R. The Checklist of the Alien Invasive Plants in China; Higher Education Press: Beijing, China, 2018; pp. 2–300. [Google Scholar]
- Pei, Y.; Wang, Z.X.; Zhu, S.M.; Ge, Y.; Shi, Y. Classification and Piceaschrenkiana var tianschanica forest communities in western Tianshan Mountains. Xinjiang Agric. Sci. 2021, 58, 313–323. [Google Scholar]
- Mehdi, H.; Attar, S.R.; Esteban, M.L.; Reza, O.; Bernerd, P. Diverging consequences of past forest management on plant and soil attributes in ancient oak forests of southwestern Iran. For. Ecol. Manag. 2021, 494, 119360. [Google Scholar]
- Meng, X.Y.; Fan, S.X.; Dong, L.; Kong, X.; Wang, M.; Li, K.; Wang, W. Correlation between understory plant diversity and soil factors in Beijing Urban Forests. J. Northeast For. Univ. 2023, 51, 102–114. [Google Scholar]
- Wu, Z.Y.; Zhou, Z.K.; Sun, H. The Areal-Types of Seed Plants and Their Origin and Differentiation; Yunnan Science & Technology Press: Kunming, China, 2006; pp. 1–566. [Google Scholar]
- Wu, Z.Y.; Zhou, Z.K.; Li, D.Z.; Peng, H.; Sun, H. The areal-types of the world families of seed plants. Acta Bot. Yunnanica 2003, 25, 245–257. [Google Scholar]
- Wu, Z.Y. The areal-types of Chinese Genera of Seed Plants. Acta Bot. Yunnanica 1991, 13, 1–3. [Google Scholar]
- Wu, Z.H. The systematic scheme of pteridophyta by R.C. Ching. Guihaia 1984, 4, 289–307. [Google Scholar]
- He, Y.Q.; Zeng, J.Y.; Chen, G.J.; Xiao, J.; Deng, C. Characteristics and species diversity of typical forest community in Dalian Island of Pingtan, Fujian, China. Chin. J. Appl. Environ. Biol. 2022, 28, 759–769. [Google Scholar]
- Xiao, J.H.; Lai, M.Y.; Li, M.; Wang, C.; Zhong, Z.; Wen, Q.; Qian, Z.; Luo, Z.; Wang, Y.; Deng, Q. Characteristics of Pinus massoniana forest community and species diversity of island in Sandu Gulf, Ningde, Fujian Province. Acta Ecol. Sin. 2023, 43, 9827–9843. [Google Scholar]
- Wang, Y.S.; Shangguan, T.L. Discussion on calculating method of important values. J. Shanxi Univ. (Nat.·Sci.·Ed.) 2010, 33, 312–316. [Google Scholar]
- Huang, Y.; Pang, X.C.; Chen, J.F.; Wang, L.; Wu, Y. Relationship between plant diversity and soil factors of typical wetland types in Guangfo Area. J. Trop. Subtrop. Bot. 2022, 30, 697–707. [Google Scholar]
- Zheng, J.M.; Fang, X.; Zhu, X.P.; Zhu, D.; Deng, C. Wild plant germplasm and biodiversity in Dayu Island, Pingtan. J. Anhui Agric. Univ. 2016, 43, 640–645. [Google Scholar]
- Ma, X.D. The Study on Characteristics and Interspecific Associations of Communities in Reed Island. Master’s Thesis, Fujian Agriculture and Forestry University, Fuzhou, China, 2023. [Google Scholar]
- He, Y.Q.; Chen, G.J.; Zeng, J.Y.; Xiao, J.; Deng, C. Research on seed plant flora of Dalian Island in Pintan. J. Southwest For. Univ. 2022, 42, 37–50. [Google Scholar]
- Ye, Z.Y. Flora of seed plants in Pingtan Island, Fujian and effects of exotic plants. Guihaia 2017, 37, 280–293. [Google Scholar]
- Lin, C.; Wei, S.; Xiao, H.; He, Q. Aspects of refreshment and remake on the coastal shelter forest in Fujian Province based on the characteristics of celtis sinensis community on coastal dune in Langqi Island. Acta Ecol. Sin. 1995, 1, 54–60. [Google Scholar]
- Li, M.F.; Dong, Y.S.; Qi, Y.C.; Geng, Y. Effect of land-use change on the contents of C&N in temperate grassland soils. Grassl. China 2005, 1, 2–7. [Google Scholar]
- Li, Y.Y. Diversity and Biogeography of Bryophytes in Haitan Island and Its Adjacent Islands, Fujian Province. Master’s Thesis, Shanghai Normal University, Shanghai, China, 2020. [Google Scholar]
- Wu, H.; Wang, D.X.; Huang, Q.P.; Zhang, Y.; Song, B. Influence of environmental factors on species diversity of pine-oak mixed forest in the middle part of south Qinling Mountains. J. Northwest A & F Univ. (Nat.·Sci.·Ed.) 2012, 40, 41–50. [Google Scholar]
- Strengbom, J.; Walheim, M.; Näsholm, T.; Ericson, L. Regional differences in the occurrence of understorey species reflect nitrogen deposition in Swedish forests. AMBIO A J. Hum. Environ. 2003, 32, 91–97. [Google Scholar] [CrossRef]
- Pan, Z.L. The Response of Productivity and Species Diversity to Warming and Nitrogen Addition in Stipa breviflora Desert Steppe. Master’s Thesis, Inner Mongolia Agricultural University, Hohhot, China, 2017. [Google Scholar]
- Zhao, P.; Qu, J.J.; Han, Q.J.; Xu, X.; Jiang, S.; Fu, G. Mutual feedback relationship between vegetation communities and soil nutrient in the edge of Dunhuang Oasis. J. Desert Res. 2018, 38, 791–799. [Google Scholar]
- Khan, A.M.; Qureshi, R.; Saqib, Z. Multivariate analyses of the vegetation of the western Himalayan forests of Muzaffarabad district, Azad Jammu and Kashmir, Pakistan. Ecol. Indic. 2019, 104, 723–736. [Google Scholar] [CrossRef]
- Zhou, J.M.; Shen, R.F. Dictionary of Soil Science; Science Press: Beijing, China, 2013; pp. 433–437. [Google Scholar]
- Certini, G. Effects of fire on properties of forest soils: A review. Oecologia 2005, 143, 1–10. [Google Scholar] [CrossRef]
- Liu, X.J.; Chu, J.T.; Zhang, Y.; Shan, Q. Effects of environmental factors and fire disturbance factors on distribution of Chamerion angustifolium in Kanas taiga. Ecol. Environ. Sci. 2022, 31, 37–43. [Google Scholar]
- Jafari, M.; Chahouki, M.A.Z.; Tavili, A.; Azarnivand, H.; Amiri, G.Z. Effective environmental factors in the distribution of vegetation types in Poshtkouh rangelands of Yazd Province (Iran). J. Arid Environ. 2004, 56, 627–641. [Google Scholar] [CrossRef]
- Barajas-Barbosa, M.P.; Weigelt, P.; Borregaard, M.K.; Keppel, G.; Kreft, H. Environmental heterogeneity dynamics drive plant diversity on oceanic islands. J. Biogeogr. 2020, 47, 2248–2260. [Google Scholar] [CrossRef]
- Wang, H.B.; He, H.B.; Xiong, J.; Qiu, L.; Fang, C.; Zeng, C.; Yan, L.; Lin, W. Effects of potassium stress on allelopathic potential of rice (Oryza sativa L.). Acta Ecol. Sin. 2008, 28, 6219–6227. [Google Scholar]
- Chen, X.D. The succesional change law of the forest soil hydrolytic Nitrogen and rapidly avalilable potassium in Jinyun Mountain. J. Southwest China Norm. Univ. (Nat. Sci.) 1998, 23, 121–124. [Google Scholar]
- Zhang, W.W.; Xue, W.Y.; Yang, B.; Zhao, Z. Differences in community characteristics, species diversity, and their coupling associations among three Quercus acutissima forests in Qiaoshan. Acta Ecol. Sin. 2019, 39, 3991–4001. [Google Scholar]
- Li, J.; Xie, H.H.; Liu, Y.; Hong, T.; Lin, Y.; Lin, H.; Chen, C.; Wu, C.; Hong, W. Effect of two allelochemicals of Casuarina equisetifolia on dynamic change of root activity and endogenous hormone of its seedling under hydroponic cultivation. Chin. J. Trop. Crops 2012, 33, 2091–2097. [Google Scholar]
- Lin, W.X. Study of Response on Casuarina Self-Allelopathy. Master’s Thesis, Fujian Agriculture and Forestry University, Fuzhou, China, 2005. [Google Scholar]
- Lim, C.J.; Basri, M.; Ee, G.C.L.; Omar, D. Phytoinhibitory activities and extraction optimization of potent invasive plants as eco-friendly weed suppressant against Echinochloa colona (L.) Link. Ind. Crops Prod. 2017, 100, 19–34. [Google Scholar] [CrossRef]
- Zhao, Y.B.; Zhang, D.J.; Zhang, J.; Zhou, H.; Wei, D.; Zhang, J.; Yuan, Y. Understory vegetation diversity of Pinus massoniana plantations with various canopy density. Chin. J. Appl. Environ. Biol. 2016, 22, 1048–1054. [Google Scholar]
- Chen, J.; Zhang, Y.J.; Liu, W.; Wang, C.; Ma, F.; Xu, H. Distribution Patterns and Determinants of Invasive Alien Plants in China. Plants 2023, 12, 2341. [Google Scholar] [CrossRef]






| Species IV and Diversity Index | Calculation Equation | Explanation |
|---|---|---|
| Tree layer IV | IV1 = (Ar + Pr + Fr)/3 | Ar ‘relative abundance’ = (number of plants of a particular species)/(total number of plants of all species) × 100% Pr ‘relative dominance’ = (basal area of a particular species)/(total basal area of all species) × 100% Fr ‘relative frequency’ = (frequency of a particular species)/(total frequency of all species) × 100% Cr ‘relative coverage’ = (sum of coverage of all individuals of a particular species)/(total coverage of all species) × 100% |
| IV of the shrub and herb layers | IV2 = (Ar + Cr + Fr)/3 | |
| Margalef index | R = (S − 1)/lnN | S is the number of species in the quadrat and N is the sum of the numbers of all species. Ni is the number of individuals of the ith species, i = 1, 2, 3, …S, and Pi is the species IV |
| Simpson’s dominance index | ||
| Shannon–Wiener diversity index | ||
| Pielou uniformity index | J = H /lnS | |
| Overall community diversity | W = 0.5WT + 0.3WS + 0.2WH | W is the overall diversity index of the community; WT, WS, and WH are the diversity indices of the tree, shrub, and herb layers, respectively |
| Vegetation Type | Formation | Cluster |
|---|---|---|
| Evergreen coniferous forest | Pinus massoniana | Pinus massoniana − Rhodomyrtus tomentosa + Rosa laevigata + Melastoma malabathricum − Dicranopteris pedata + Cyperus rotundus |
| Cunninghamia lanceolata | Cunninghamia lanceolata − Heptapleurum delavayi + Begonia cucullata − Pteris semipinnata + Arthraxon hispidus + Dicranopteris pedata | |
| Casuarina equisetifolia | Casuarina equisetifolia − Rubus corchorifolius − Pteris semipinnata + Arthraxon hispidus | |
| Casuarina equisetifolia + Acacia confusa | Casuarina equisetifolia + Acacia confusa − Sageretia thea − Bidens pilosa | |
| Acacia confusa | Acacia confusa − Elaeagnus oldhamii + Eleutherococcus trifoliatus + Rubus hirsutus − Arthraxon hispidus + Oplismenus undulatifolius | |
| Evergreen broad-leaved forest | Acacia confusa + Heptapleurum ellipticum | Acacia confusa + Heptapleurum heptaphyllum − Sageretia thea + Murraya exotica + Mallotus repandus − Digitaria sanguinalis + Arthraxon hispidus |
| Eucalyptus robusta | Eucalyptus robusta − Rubus hirsutus + Miscanthus floridulus + Mallotus repandus − Bidens pilosa + Arthraxon hispidus | |
| Eucalyptus robusta + Acacia confusa | Eucalyptus robusta + Acacia confusa − Rhodomyrtus tomentosa + Smilax china − Digitaria sanguinalis + Oplismenus undulatifolius + Chrysanthemum indicum | |
| Eucalyptus robusta + Casuarina equisetifolia | Eucalyptus robusta + Casuarina equisetifolia − Bidens pilosa + Cyperus rotundus | |
| Deciduous broad-leaved forest | Celtis sinensis | Celtis sinensis − Plumbago zeylanica + Eleutherococcus trifoliatus + Elaeagnus oldhamii−Liriope spicata + Equisetum ramosissimum |
Disclaimer/Publisher’s Note: The statements, opinions and data contained in all publications are solely those of the individual author(s) and contributor(s) and not of MDPI and/or the editor(s). MDPI and/or the editor(s) disclaim responsibility for any injury to people or property resulting from any ideas, methods, instructions or products referred to in the content. |
© 2023 by the authors. Licensee MDPI, Basel, Switzerland. This article is an open access article distributed under the terms and conditions of the Creative Commons Attribution (CC BY) license (https://creativecommons.org/licenses/by/4.0/).
Share and Cite
Liu, Y.; Huang, Y.; Wang, Y.; Wang, C.; Xiao, Z.; Shen, S.; Zeng, J.; Deng, C. Characteristics and Species Diversity of Semi-Natural Plant Communities on Langqi Island. Biology 2024, 13, 11. https://doi.org/10.3390/biology13010011
Liu Y, Huang Y, Wang Y, Wang C, Xiao Z, Shen S, Zeng J, Deng C. Characteristics and Species Diversity of Semi-Natural Plant Communities on Langqi Island. Biology. 2024; 13(1):11. https://doi.org/10.3390/biology13010011
Chicago/Turabian StyleLiu, Yang, Yunteng Huang, Yingxue Wang, Chunxiao Wang, Zixin Xiao, Siyuan Shen, Jiyi Zeng, and Chuanyuan Deng. 2024. "Characteristics and Species Diversity of Semi-Natural Plant Communities on Langqi Island" Biology 13, no. 1: 11. https://doi.org/10.3390/biology13010011
APA StyleLiu, Y., Huang, Y., Wang, Y., Wang, C., Xiao, Z., Shen, S., Zeng, J., & Deng, C. (2024). Characteristics and Species Diversity of Semi-Natural Plant Communities on Langqi Island. Biology, 13(1), 11. https://doi.org/10.3390/biology13010011

