Sputter-Deposited Indium–Tin Oxide Thin Films for Acetaldehyde Gas Sensing
Abstract
:1. Introduction
2. Materials and Methods
2.1. Film Preparation
2.2. Film Characterization: Techniques
2.3. Gas Sensing Setup
3. Results and Discussion
3.1. Film Characterization: Data
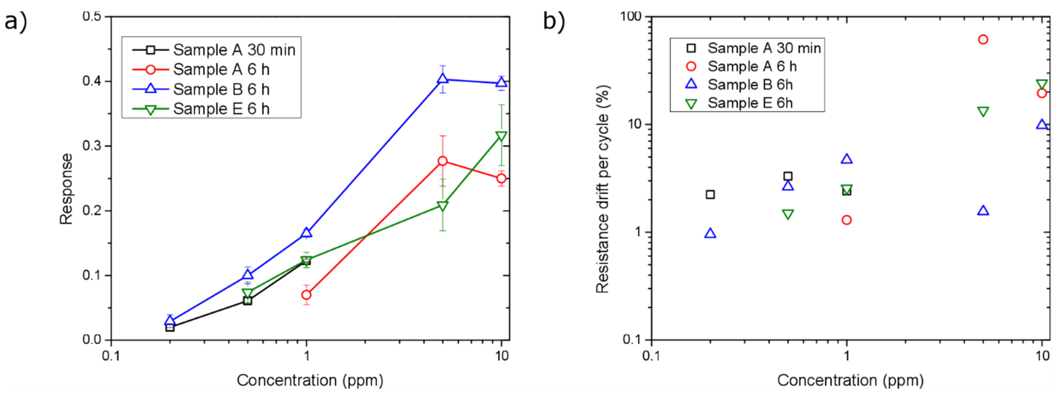
3.2. Acetaldehyde Sensing
4. Conclusions
Acknowledgments
Author Contributions
Conflicts of Interest
Abbreviations
| DC | Direct current |
| VOC | Volatile organic compound |
| SMOX | Semiconducting metal oxide |
| XPS | X-ray photoelectron spectroscopy |
| EDS | Energy-dispersive X-ray spectroscopy |
| SEM | Scanning electron microscopy |
| RBS | Rutherford backscattering spectroscopy |
| XRD | X-ray diffraction |
| ICDD | International Centre for Diffraction Data |
References
- Leech, J.A.; Nelson, W.C.; Burnett, R.T.; Aaron, S.; Raizenne, M.E. It’s about time: A comparison of Canadian and American time-activity patterns. J. Expo. Anal. Environ. Epidemiol. 2002, 12, 427–432. [Google Scholar] [CrossRef] [PubMed]
- Murphy, M. Sick Building Syndrome and the Problem of Uncertainty: Environmental Politics, Technoscience, and Women Workers; Duke University Press: Durham, NC, USA, 2006. [Google Scholar]
- Eckert, M.; Fleischmann, G.; Jira, R.; Bolt, H.M.; Golka, K. Acetaldehyde. In Ullmann’s Encyclopedia of Industrial Chemistry; Wiley-VCH: Weinheim, Germany, 2006. [Google Scholar] [CrossRef]
- Grosjean, D.; Miguel, A.H.; Tavares, T.M. Urban air pollution in Brazil: Acetaldehyde and other carbonyls. Atmos. Environ. B Urban Atmos. 1990, 24, 101–106. [Google Scholar] [CrossRef]
- Kimmerer, T.W.; Kozlowski, T.T. Ethylene, ethane, acetaldehyde, and ethanol production by plants under stress. Plant Physiol. 1982, 69, 840–847. [Google Scholar] [CrossRef] [PubMed]
- Pesis, E.; Dvir, O.; Feygenberg, O.; Ben Arie, R.; Ackerman, M.; Lichter, A. Production of acetaldehyde and ethanol during maturation and modified atmosphere storage of litchi fruit. Postharvest Biol. Technol. 2002, 26, 157–165. [Google Scholar] [CrossRef]
- Barsan, N.; Koziej, D.; Weimar, U. Metal oxide-based gas sensor research: How to? Sens. Actuators B Chem. 2007, 121, 18–35. [Google Scholar] [CrossRef]
- Das, S.; Jayaraman, V. SnO2: A comprehensive review on structures and gas sensors. Progr. Mater. Sci. 2014, 66, 112–255. [Google Scholar] [CrossRef]
- Miller, D.R.; Akbar, S.A.; Morris, P.A. Nanoscale metal oxide-based heterojunctions for gas sensing: A review. Sens. Actuators B Chem. 2014, 204, 250–272. [Google Scholar] [CrossRef]
- Rickerby, D.G.; Skouloudis, A.N. Application of nanocrystalline metal oxide gas sensors for air quality monitoring. Int. J. Nanotechnol. 2014, 11, 583–593. [Google Scholar] [CrossRef]
- Zhang, G.; Liu, M. Effect of particle size and dopant on properties of SnO2-based gas sensors. Sens. Actuators B Chem. 2000, 69, 144–152. [Google Scholar] [CrossRef]
- Giberti, A.; Carotta, M.C.; Fabbri, B.; Gherardi, S.; Guidi, V.; Malagù, C. High-sensitivity detection of acetaldehyde. Sens. Actuators B Chem. 2012, 174, 402–405. [Google Scholar] [CrossRef]
- Tang, W.; Wang, J.; Yao, P.; Li, X. A microscale formaldehyde gas sensor based on Zn2SnO4/SnO2 and produced by combining hydrothermal synthesis with post-synthetic heat treatment. J. Mater. Sci. 2014, 49, 1246–1255. [Google Scholar] [CrossRef]
- Liu, L.; Li, X.; Dutta, P.K.; Wang, J. Room temperature impedance spectroscopy-based sensing of formaldehyde with porous TiO2 under UV illumination. Sens. Actuators B Chem. 2013, 185, 1–9. [Google Scholar] [CrossRef]
- Castro-Hurtado, I.; Mandayo, G.G.; Castaño, E. Conductometric formaldehyde gas sensors. A review: From conventional films to nanostructured materials. Thin Solid Films 2013, 548, 665–676. [Google Scholar] [CrossRef]
- Tian, S.; Ding, X.; Zeng, D.; Zhang, S.; Xie, C. Pore-size-dependent sensing property of hierarchical SnO2 mesoporous microfibers as formaldehyde sensors. Sens. Actuators B Chem. 2013, 186, 640–647. [Google Scholar] [CrossRef]
- Taguchi, N. Gas Detecting Element and Method of Making It. US Patent No. 3664795A, 1972. [Google Scholar]
- Luyo, C.; Ionescu, R.; Reyes, L.F.; Topalian, Z.; Estrada, W.; Llobet, E.; Granqvist, C.G.; Heszler, P. Gas sensing response of NiO nanoparticle films made by reactive gas deposition. Sens. Actuators B Chem. 2009, 138, 14–20. [Google Scholar] [CrossRef]
- Sberveglieri, G.; Faglia, G.; Groppelli, S.; Nelli, P. Methods for the preparation of NO, NO2 and H2 sensors based on tin oxide thin films, grown by means of the r.f. magnetron sputtering technique. Sens. Actuators B Chem. 1992, 8, 79–88. [Google Scholar] [CrossRef]
- Kemmler, J.A.; Pokhrel, S.; Birkenstock, J.; Schowalter, M.; Rosenauer, A.; Bârsan, N.; Weimar, U.; Mädler, L. Quenched, nanocrystalline In4Sn3O12 high temperature phase for gas sensing applications. Sens. Actuators B Chem. 2012, 16, 740–747. [Google Scholar] [CrossRef]
- Mayer, M. SIMNRA, a simulation program for the analysis of NRA, RBS and ERDA. AIP Conf. Proc. 1999, 475, 541–544. [Google Scholar]
- Cullity, B.D.; Stock, S.R. Elements of X-ray Diffraction; Pearson: Upper Saddle River, NJ, USA, 2001. [Google Scholar]
- Isomäki, I.; Hämäläinen, M.; Gierlotka, W.; Onderka, B.; Fitzner, K. Thermodynamic evaluation of the In–Sn–O system. J. Alloys Cpds. 2006, 422, 173–177. [Google Scholar] [CrossRef]
- Kohl, D. Function and applications of gas sensors. J. Phys. D Appl. Phys. 2001, 34, R125–R149. [Google Scholar] [CrossRef]
- Barsan, N.; Weimar, U. Conduction model of metal oxide gas sensors. J. Electroceram. 2001, 7, 143–167. [Google Scholar] [CrossRef]
- D’Amico, A.; Di Natale, C. A contribution on some basic definitions of sensors properties. IEEE Sensors J. 2001, 1, 183–190. [Google Scholar] [CrossRef]









| Sample | p [Pa] | fAr [mL/min] | fO2 [mL/min] | Target 1 In(3 wt.%)–Sn(97 wt.%) P [W] | Target 2 In(90 wt.%)–Sn(10 wt.%) P [W] |
|---|---|---|---|---|---|
| A | 0.58 | 25 | 17.2 | 55 | – |
| B | 0.58 | 25 | 13.0 | 44 | 11 |
| C | 0.58 | 25 | 12.0 | 33 | 22 |
| D | 0.53 | 25 | 9.0 | 22 | 33 |
| E | 0.53 | 25 | 9.0 | 11 | 44 |
| F | 0.53 | 25 | 9.0 | – | 55 |
| Sample | d [nm] | In/[In+Sn](%) (as-deposited) (XPS) | Sn/[In+Sn](%) (as-deposited) (XPS) | In/[In+Sn](%) (6 h annealed) (EDS) | Sn/[In+Sn](%) (6 h annealed) (EDS) | O [at. %] (as-deposited) (RBS) | O [at. %] (6 h annealed) (RBS) |
|---|---|---|---|---|---|---|---|
| A | 170 | 3 | 97 | 4 | 96 | 65 | 63 |
| B | 180 | 10 | 90 | 12 | 88 | 65 | 65 |
| C | 190 | 21 | 79 | 24 | 76 | 65 | 66 |
| D | 150 | 31 | 69 | 35 | 65 | 65 | 66 |
| E | 120 | 49 | 51 | 52 | 48 | 64 | 66 |
| F | 110 | 75 | 25 | 76 | 24 | 64 | 60 |
© 2016 by the authors; licensee MDPI, Basel, Switzerland. This article is an open access article distributed under the terms and conditions of the Creative Commons by Attribution (CC-BY) license (http://creativecommons.org/licenses/by/4.0/).
Share and Cite
Cindemir, U.; Lansåker, P.C.; Österlund, L.; Niklasson, G.A.; Granqvist, C.-G. Sputter-Deposited Indium–Tin Oxide Thin Films for Acetaldehyde Gas Sensing. Coatings 2016, 6, 19. https://doi.org/10.3390/coatings6020019
Cindemir U, Lansåker PC, Österlund L, Niklasson GA, Granqvist C-G. Sputter-Deposited Indium–Tin Oxide Thin Films for Acetaldehyde Gas Sensing. Coatings. 2016; 6(2):19. https://doi.org/10.3390/coatings6020019
Chicago/Turabian StyleCindemir, Umut, Pia C. Lansåker, Lars Österlund, Gunnar A. Niklasson, and Claes-Göran Granqvist. 2016. "Sputter-Deposited Indium–Tin Oxide Thin Films for Acetaldehyde Gas Sensing" Coatings 6, no. 2: 19. https://doi.org/10.3390/coatings6020019
APA StyleCindemir, U., Lansåker, P. C., Österlund, L., Niklasson, G. A., & Granqvist, C.-G. (2016). Sputter-Deposited Indium–Tin Oxide Thin Films for Acetaldehyde Gas Sensing. Coatings, 6(2), 19. https://doi.org/10.3390/coatings6020019

