Modulating Micro-Arc Oxidation Coating Properties on 6061 Aluminum Alloy via OH− to F− Ion Ratio Optimization
Abstract
1. Introduction
2. Experiment
2.1. Material Preparation
2.2. Characterization and Performance Testing of Coatings
3. Results and Discussion
3.1. Effects of Different Electrolyte Ratios on Current, Conductivity and pH Value
3.2. Macroscopic Morphology of Micro-Arc Oxidized Layer
3.3. Micro-Morphology of the Micro-Arc Oxidized Coatings
3.4. Elemental Distribution and Phase Composition of Coatings
3.4.1. Elemental Composition
3.4.2. Physical Phase Analysis
3.5. Corrosion Resistance of Coatings in Neutral NaCl Media
3.5.1. Kinetic Potential Polarization Curves
3.5.2. Electrochemical Impedance Spectra
3.6. Friction and Wear Properties of Coatings
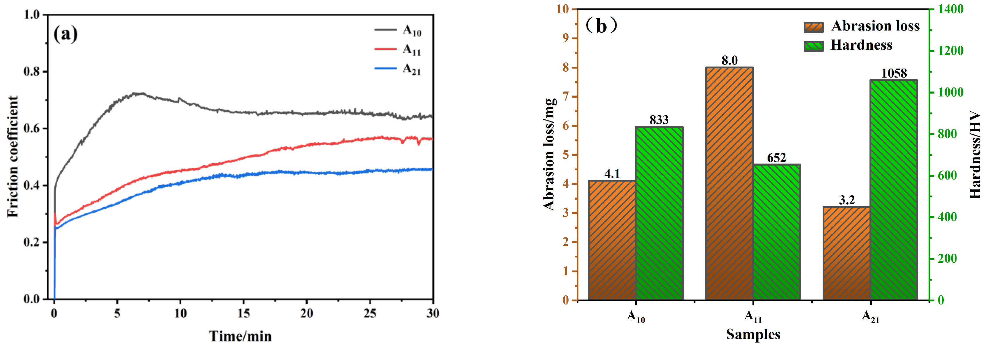
- The A10 coating exhibits the largest wear track profile, with a mix of smooth areas and wear areas, indicating a significant wear effect by the friction vice. Despite the large wear track profile, the abrasion loss for A10 is lower than that of A11 due to its higher porosity, which allows for some wear areas to be discontinuous.
- The A11 coating, which includes KF, shows the most intense abrasion, with a high number of smooth areas on the surface. The friction vice’s wear effect on this layer is substantial, potentially due to the accumulation of debris in the coating’s depressions, increasing the contact area and thus the wear area.
- In contrast, the A21 coating has the smallest wear track profile, with the surface primarily characterized by wear zones. The wear amount for A21 is reduced by 60% compared to A11. While the porosity of A21 and A11 is similar, the higher surface hardness of A21 and the smaller wear area contribute to its lower abrasion loss.
4. Conclusions
- (1)
- In the silicate electrolyte used for micro-arc oxidation on the surface of 6061 aluminum alloy, NaOH and KF are crucial components for coating formation. NaOH aids in the development of a passivation coating on the substrate’s surface and enhances the solution’s conductivity, while KF intensifies the discharge effect, leading to a higher growth rate of the coatings and an increased rate of coating-forming material deposition. Meanwhile, the data show that adding KF and increasing the NaOH concentration can effectively reduce the size of micropores and decrease the porosity of the coating surface and that adding KF will significantly increase the number of micropores.
- (2)
- The formation of a high-quality micro-arc oxidized coating is dependent on the NaOH/KF ratio in the electrolyte. A ratio of 0:1 or 1:2 prevents the formation of a coating with good quality. However, ratios of 1:0, 1:1, and 2:1 result in coatings that are complete, uniformly continuous, and smooth, suggesting that the KF content should not exceed NaOH to achieve a high-quality coating. The abrasion resistance of the micro-arc oxidized coatings is affected by the addition of KF. The A11 exhibits decreased abrasion resistance compared to the A10. Increasing the NaOH concentration can mitigate the negative impact of KF on the coating’s abrasion resistance. The A21 demonstrates the best overall performance in terms of abrasion resistance, hardness, and wear amount.
- (3)
- The corrosion resistance of the micro-arc oxidized coatings in a neutral NaCl solution is markedly improved compared to the 6061 aluminum alloy substrate. A21 shows the highest corrosion resistance among the tested schemes. Electrochemical impedance spectra analysis reveals that the micro-arc oxidized coatings possess a higher impedance modulus and capacitive arc radius than the substrate, signifying a superior resistance to the penetration of the NaCl corrosive medium. The fitting results indicate that the external sparse layer of the coatings is a key factor in determining its corrosion resistance.
Author Contributions
Funding
Institutional Review Board Statement
Informed Consent Statement
Data Availability Statement
Conflicts of Interest
References
- Wang, Y.C.; Yuan, L.Y.; Yang, L.; Peng, Y.; Ding, W. Strengthening-toughening of high-strength al-zn cast aluminum alloys: Research progress and prospects. Rare Met. Mater. Eng. 2023, 52, 3954–3970. [Google Scholar]
- Wang, D.D.; Liu, X.T.; Wu, Y.K.; Han, H.; Yang, Z.; Su, Y.; Zhang, X.; Wu, G.; Shen, D. Evolution process of the plasma electrolytic oxidation (peo) coating formed on aluminum in an alkaline sodium hexametaphosphate ((NaPO3)6) electrolyte. J. Alloys Compd. 2019, 798, 129–143. [Google Scholar] [CrossRef]
- Gao, J.; Cui, K.; Li, S.; Zhong, L.; Dai, J.; Yang, Z.; Qiang, R. A New Process of Chemical Plating Ni-P Electromagnetic Induction Heating Activation on the Surface of Aluminium Alloy Base Material. Coatings 2024, 14, 1221. [Google Scholar] [CrossRef]
- Devyatkina, T.I.; Luchneva, S.I.; Vasin, E.N.; Cherkashev, V.V.; Isaev, E.S.; Belyaev; Rogozhin, V.V. Surface preparation of aluminum alloys for electroplating. Russ. J. Appl. Chem. 2020, 93, 1372–1379. [Google Scholar] [CrossRef]
- Xu, F.; Zhu, S.Z.; Ma, Z. Preparation of inorganic coating by sol-gel method and its thermal protection performance. Rare Met. Mater. Eng. 2020, 49, 1261–1267. [Google Scholar]
- Castro, Y.; Özmen, E.; Durán, A. Integrated self-healing coating system for outstanding corrosion protection of AA2024. Surf. Coat. Technol. 2020, 387, 125521. [Google Scholar] [CrossRef]
- Wu, Z.; Chen, Y.; Liu, H.; Hua, W.; Duan, J.; Kong, L. A review of the developments of the characteristics and mechanisms of airless spraying on complex surfaces. Coatings 2023, 13, 2095. [Google Scholar] [CrossRef]
- Baroni, E.; Fortini, A.; Meo, L.; Soffritti, C.; Merlin, M.; Garagnani, G.L. Ball-on-disk wear maps for bearing steel–hard anodized en aw-6082 aluminum alloy tribocouple in dry sliding conditions. Coatings 2024, 14, 1469. [Google Scholar] [CrossRef]
- Wang, T.J.; Liu, X.A.; Zhang, K.Y.; Xie, L.; He, M.T.; Lu, Y.L.; Luo, K.Y.; Hu, K.J.; Li, G.Z.; Wang, M.Z. Effect of current density on the wear resistance of ceramic coatings formed on 7075 aluminum alloy via microarc oxidation. Phys. Met. Metallogr. 2024; prepublish. [Google Scholar] [CrossRef]
- Wang, D.; Liu, X.; Zhang, Q.; Li, D.L.; Liu, X.; Su, H.; Zhang, Y.; Yu, S.X.; Shen, D. Role of the electrolyte composition in establishing plasma discharges and coating growth process during a micro-arc oxidation. Surf. Coat. Technol. 2020, 402, 126349. [Google Scholar] [CrossRef]
- Wang, C.; Ma, R.; Du, A.; Fan, Y.; Zhao, X.; Cao, X. Growth methods of PEO coatings on 7075 aluminum alloy at two cathodic current densities. Surf. Coat. Technol. 2022, 432, 128099. [Google Scholar] [CrossRef]
- Oh, G.H.; Yoon, J.K.; Huh, J.Y.; Doh, J.M. Effect of frequency of plasma electrolytic oxidation on the microstructure and corrosion resistance of 6061 aluminium alloy. Surf. Coat. Technol. 2023, 471, 129861. [Google Scholar] [CrossRef]
- Yeshmanova, G.; Blawert, C.; Serdechnova, M.; Wieland, D.F.; Starykevich, M.; Gazenbiller, E.; Höche, D.; Smagulov, D.; Zheludkevich, M.L. Effect of electrolyte composition on the formation of PEO coatings on AA2024 aluminium alloy. Surf. Interfaces 2024, 44, 103797. [Google Scholar] [CrossRef]
- Qin, Y.; Wu, G.H.; Atrens, A.; Zhang, X.L.; Zhang, L.; Ding, W.J. Effect of naoh concentration on microstructure and corrosion resistance of MAO coating on cast Al−Li alloy. J. Transactions. Nonferrous. Trans. Nonferrous Met. Soc. China 2021, 31, 913–924. [Google Scholar] [CrossRef]
- Dong, H.R.; Ma, Y.; Wang, S.; An, L.Y.; Yuan, H. Effect of potassium fluoride on growth and microstructure of MAO coatings on az91d magnesium alloys. Rare Met. Mater. Eng. 2018, 47, 249–254. [Google Scholar]
- Xie, X.M.; Yang, E.H.; Zhang, Z.Y.; Wei, W.; Li, D.; Zhao, X.; Yang, R.; Li, W. Effects of K2TIF6 and electrolyte temperatures on energy consumption and properties of MAO coatings on 6063 aluminum alloy. Materials 2023, 16, 1830. [Google Scholar] [CrossRef] [PubMed]
- Sun, S.; Ye, G.; Lu, Z.; Weng, Y.; Ma, G.; Liu, J. Surface treatment of Zn-Mn-Mg alloys by micro-arc oxidation in silicate-based solutions with different NaF concentrations. Materials 2021, 14, 4289. [Google Scholar] [CrossRef]
- Wang, Y.; Zhang, J.; Wang, W.; Yu, F.; Cao, W.; Hu, S. Effect of sodium fluoride additive on microstructure and corrosion performance of micro-arc oxidation coatings on EK30 magnesium alloy. Surf. Coat. Technol. 2024, 496, 131628. [Google Scholar] [CrossRef]
- Abbas, A.; Ting-Yi, W.; Hsin-Chih, L. Effects of Electrolyte Compositions and Electrical Parameters on Micro-Arc Oxidation Coatings on 7075 Aluminum Alloy. J. Compos. Sci. 2023, 7, 472. [Google Scholar] [CrossRef]
- RYU, H.S.; HONG, S.H. Effects of KF, NaOH, and KOH Electrolytes on Properties of Microarc-oxidized Coatings on AZ91D Magnesium Alloy. J. Electrochem. Soc. 2009, 156, C298–C303. [Google Scholar] [CrossRef]
- Sheng, L.U.; Wang, Z.X.; Chen, J. Optimization of dual electrolyte and characteristic of micro-arc oxidation coating fabricated on ZK60 Mg alloy. Trans. Nonferrous Met. Soc. China 2011, 21, 929–935. [Google Scholar]
- Duan, H.; Du, K.; Yan, C. Electrochemical corrosion behavior of composite coatings of sealed MAO coating on magnesium alloy AZ91D. Electrochim. Acta 2006, 51, 2898–2908. [Google Scholar] [CrossRef]
- Guo, H.F.; An, M.Z. Growth of ceramic coatings on AZ91D magnesium alloys by micro-arc oxidation in aluminateefluoride solutions and evaluation of corrosion resistance. Appl. Surf. Sci. 2005, 246, 229–238. [Google Scholar] [CrossRef]
- Al Bosta, M.M.; Ma, K.J.; Chien, H.H. The effect of MAO processing time on surface properties and low temperature infrared emissivity of ceramic coating on aluminium 6061 alloy. Infrared Phys. Technol. 2013, 60, 323–334. [Google Scholar] [CrossRef]
- Wang, Y.K.; Sheng, L.; Xiong, R.Z.; Li, B.S. Study of ceramic coatings formed by MAO on Al matrix composite surface. Surf. Eng. 1999, 15, 112–114. [Google Scholar] [CrossRef]
- Kaseem, M.; Yang, H.W.; Ko, Y.G. Toward a nearly defect-free coating via high-energy plasma sparks. Sci. Rep. 2017, 7, 2378. [Google Scholar] [CrossRef] [PubMed]
- Dzhurinskiy, D.V.; Dautov, S.S.; Shornikov, P.G.; Akhatov, I.S. Surface modification of aluminum 6061-O alloy by plasma electrolytic oxidation to improve corrosion resistance properties. Coatings 2020, 11, 4. [Google Scholar] [CrossRef]
- Borgardt, E.D.; Katsman, A.V.; Krishtal, M.M. Effect of TiN particles on mechanical and anticorrosive properties of oxide layersformed by PEO on silumin. J. Phys. Conf. Ser. 2021, 2144, 012009. [Google Scholar] [CrossRef]
- Gabor, R.; Prymus, T.; Cvrček, L.; Nehasil, V.; Hlinka, J.; Buřil, M.; Tokarčíková, M.; Seidlerová, J. Final surface modification for better wear resistance of ceramic coating on cast AlSi10Mg alloy. Ceram. Int. 2022, 48, 37433–37447. [Google Scholar] [CrossRef]
- Li, X.J.; Zhang, M.; Wen, S.; Mao, X.; Huo, W.G.; Guo, Y.Y.; Wang, Y.X. Microstructure and wear resistance of micro-arc oxidation ceramic coatings prepared on 2A50 aluminum alloys. Surf. Coat. Technol. 2020, 394, 125853. [Google Scholar] [CrossRef]
- Vatan, H.N.; Ebrahimi-Kahrizsangi, R.; Kasiri-Asgarani, M. Structural, tribological and electrochemical behavior of SiC nanocomposite oxide coatings fabricated by plasma electrolytic oxidation (PEO) on AZ31 magnesium alloy. J. Alloys Compd. 2016, 683, 241–255. [Google Scholar] [CrossRef]














| Scheme | Na2SiO3(g/L) | NaH2PO4(g/L) | C3H8O3(g/L) | NaOH(g/L) | KF·2H2O(g/L) | NaOH/KF |
|---|---|---|---|---|---|---|
| A01 | 12 | 12 | 3 | 0 | 2 | 0:1 |
| A10 | 12 | 12 | 3 | 2 | 0 | 1:0 |
| A11 | 12 | 12 | 3 | 2 | 2 | 1:1 |
| A12 | 12 | 12 | 3 | 2 | 4 | 1:2 |
| A21 | 12 | 12 | 3 | 4 | 2 | 2:1 |
| Samples | Small Pore (0~1 μm) | Medium Pore (1~2 μm) | Big Pore (>2 μm) | Porosity/% |
|---|---|---|---|---|
| A10 | 1108 | 40 | 26 | 6.26 |
| A11 | 1596 | 86 | 11 | 5.44 |
| A21 | 1176 | 60 | 10 | 4.29 |
| Samples | Ecorr/V | Jcorr/(A·cm−2) | Rp/(Ω·cm2) |
|---|---|---|---|
| Substrate | −1.558 | 6.68 × 10−4 | 118 |
| A10 | −1.446 | 1.32 × 10−6 | 3.28 × 103 |
| A11 | −1.413 | 1.30 × 10−4 | 406 |
| A21 | −1.279 | 1.85 × 10−7 | 1.50 × 105 |
| Serial Number | /Ω·cm2 | CPE1 | /Ω·cm2 | CPE2 | /Ω·cm2 | ||
|---|---|---|---|---|---|---|---|
| A10 | 44.51 | 4.69 × 10−7 | 0.92 | 22,166 | 6.31 × 10−7 | 0.83 | 10,371 |
| A11 | 37.21 | 1.85 × 10−5 | 0.85 | 10,043 | 2.57 × 10−4 | 1.06 | 6314 |
| A21 | 62.19 | 1.52 × 10−6 | 0.76 | 37,370 | 5.38 × 10−6 | 0.94 | 12,973 |
Disclaimer/Publisher’s Note: The statements, opinions and data contained in all publications are solely those of the individual author(s) and contributor(s) and not of MDPI and/or the editor(s). MDPI and/or the editor(s) disclaim responsibility for any injury to people or property resulting from any ideas, methods, instructions or products referred to in the content. |
© 2025 by the authors. Licensee MDPI, Basel, Switzerland. This article is an open access article distributed under the terms and conditions of the Creative Commons Attribution (CC BY) license (https://creativecommons.org/licenses/by/4.0/).
Share and Cite
Li, B.; Lei, H.; Yang, X.; Liao, X.; Huang, Z.; Hao, D.; Jiang, B. Modulating Micro-Arc Oxidation Coating Properties on 6061 Aluminum Alloy via OH− to F− Ion Ratio Optimization. Coatings 2025, 15, 157. https://doi.org/10.3390/coatings15020157
Li B, Lei H, Yang X, Liao X, Huang Z, Hao D, Jiang B. Modulating Micro-Arc Oxidation Coating Properties on 6061 Aluminum Alloy via OH− to F− Ion Ratio Optimization. Coatings. 2025; 15(2):157. https://doi.org/10.3390/coatings15020157
Chicago/Turabian StyleLi, Bing, Heping Lei, Xing Yang, Xiuxiang Liao, Zhu Huang, Daichao Hao, and Bingchun Jiang. 2025. "Modulating Micro-Arc Oxidation Coating Properties on 6061 Aluminum Alloy via OH− to F− Ion Ratio Optimization" Coatings 15, no. 2: 157. https://doi.org/10.3390/coatings15020157
APA StyleLi, B., Lei, H., Yang, X., Liao, X., Huang, Z., Hao, D., & Jiang, B. (2025). Modulating Micro-Arc Oxidation Coating Properties on 6061 Aluminum Alloy via OH− to F− Ion Ratio Optimization. Coatings, 15(2), 157. https://doi.org/10.3390/coatings15020157

