Microstructure and Tribological Properties of HVOF-Sprayed Nanostructured WC-12Co/Fe3O4 Coatings
Abstract
1. Introduction
2. Experiment
2.1. Materials and Methods
2.2. Design of Experiment
3. Results and Discussion
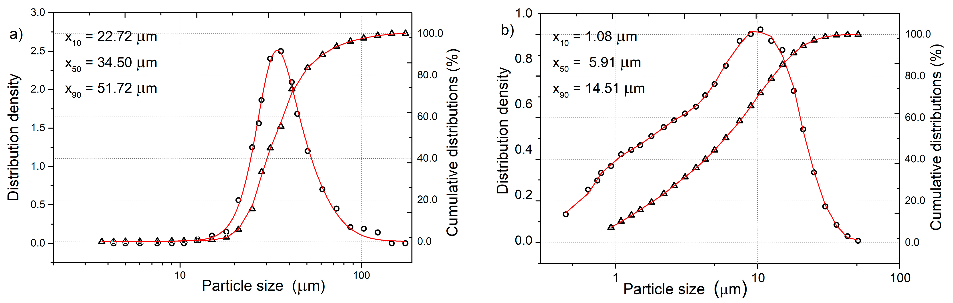
3.1. Microstructure of Nanostructured WC-12Co Nanox Powder
3.2. Microstructure of Nanostructured Fe3O4 Nanox Powder
3.3. Microstructure of Nanostructured WC-12Co/Fe3O4 Coating
3.4. Analysis of Binomial Experiment for CoF of Nanostructured WC-12Co/Fe3O4 Coatings
3.5. Analysis of Binomial Experiment for Hardness of Nanostructured WC-12Co/Fe3O4 Coatings
3.6. Analysis of Binomial Experiment for Wear of Nanostructured WC-12Co/Fe3O4 Coatings
4. Conclusions
- The HVOF-sprayed nanostructured composite coating WC-12Co/Fe3O4 contains nanocrystalline grains, both WC and Fe3O4, which were contained in the nanostructured feedstock.
- The phase composition of the nanostructured composite coating included the same phases that occurred in the starting powders. However, the high temperature of the HVOF process resulted in the decarburization of WC and the appearance of trace amounts of W2C.
- The conducted studies on the influence of input parameters (η, λ, d, Q) on the coefficient of friction, microhardness, and coating wear showed that the greatest influence on the coating properties was the content of Fe3O4. The remaining input parameters did not indicate a significant impact on the tested values.
- Optimization of the spraying parameters as a result of the binomial experiment allowed for reduction in the friction coefficient by 7% and coating wear by 11%.
Author Contributions
Funding
Institutional Review Board Statement
Informed Consent Statement
Data Availability Statement
Conflicts of Interest
References
- Somers, A.E.; Howlett, P.C.; MacFarlane, D.R.; Forsyth, M. A Review of Ionic Liquid Lubricants. Lubricants 2013, 1, 3–21. [Google Scholar] [CrossRef]
- Kałdoński, T.; Wojdyna, P.P. Liquid Lubricants for Space Engineering and Methods for their Testing. J. KONES Powertrain Transp. 2011, 18, 163–184. [Google Scholar]
- Milewski, K.; Kudliński, J.; Madej, M.; Ozimina, D. The interaction between diamond like carbon (DLC) coatings and ionic liquids under boundary lubrication conditions. Metalurgija 2017, 56, 55–58. [Google Scholar]
- Shengyu, Z.; Jun, C.; Zhuhui, Q.; Jun, Y. High temperature solid-lubricating materials: A review. Tribol. Int. 2019, 133, 206–223. [Google Scholar]
- Mazumder, S.; Metselaar, H.S.C.; Sukiman, N.L.; Zulkifli, N.W.M. An overview of fluoride-based solid lubricants in sliding contacts. J. Eur. Ceram. Soc. 2020, 40, 4974–4996. [Google Scholar] [CrossRef]
- Zamani, P.; Valefi, Z.; Mirjani, M. Effect of grinding and lubricating post-treatment on wear performance of plasma sprayed Cr2O3–Al2O3 composite coatings. Surf. Interfaces 2019, 16, 206–214. [Google Scholar] [CrossRef]
- Niemczewska-Wójcik, M.; Madej, M.; Kowalczyk, J.; Piotrowska, K.A. A comparative study of the surface topography in dry and wet turning using the confocal and interferometric modes. Measurement 2022, 204, 112144. [Google Scholar] [CrossRef]
- Seynstahl, A.; Kobrich, M.; Rosnitschek, T.; Goken, M.; Tremmel, S. Enhancing the lifetime and vacuum tribological performance of PVD-MoS2 coatings by nitrogen modification. Surf. Coat. Technol. 2024, 477, 130343. [Google Scholar] [CrossRef]
- Jinbin, Z.; Jiaqing, G.; Xingyao, W.; Xusheng, D. Corrosion and wear resistance improvements in NiCu alloys through flame-grown honeycomb carbon and CVD of graphene coatings. Surf. Coat. Technol. 2023, 473, 130040. [Google Scholar]
- Antoszewski, B.; Gaponova, O.P.; Tarelnyk, V.B.; Myslyvchenko, O.M.; Kurp, P.; Zhylenko, T.I.; Konoplianchenko, I. Assessment of Technological Capabilities for Forming Al-C-B System Coatings on Steel Surfaces by Electrospark Alloying Method. Materials 2021, 14, 739. [Google Scholar] [CrossRef]
- Tongkun, C.; Shuting, L.; Meng, Z. The friction and wear behavior of Cu/Cu-MoS2 self-lubricating coating prepared by electrospark deposition. Surf. Coat. Technol. 2015, 270, 24–32. [Google Scholar]
- Krahmer, D.M.; Egea, A.J.S.; Celentano, D.; Martynenko, V.; Cruchaga, M. Friction characterization when combining laser surface texturing and graphite-based lubricants. J. Mater. Res. Technol. 2019, 9, 1759–1767. [Google Scholar] [CrossRef]
- Antoszewski, B.; Kurp, P. Effect of Surface Texture on the Sliding Pair Lubrication Efficiency. Lubricants 2022, 10, 80. [Google Scholar] [CrossRef]
- Marcinauskas, L.; Mathew, J.S.; Milieška, M.; Thanigachalam, B.; Kupec, A.; Česnavičius, R.; Kėželis, R.; Kalin, M. Microstructure and tribological properties of plasma sprayed alumina and alumina-graphite coatings. Surf. Coat. Technol. 2018, 350, 401–409. [Google Scholar] [CrossRef]
- Scendo, M.; Żórawski, W.; Staszewska, K.; Makrenek, M.; Góral, A. Influence of Surface Pretreatment on the Corrosion Resistance of Cold Sprayed Nickel Coatings in Acid Chloride Solution. J. Mater. Eng. Perf. 2018, 27, 1725–1737. [Google Scholar] [CrossRef]
- Ganvir, A.; Jahagirdar, A.R.; Mulone, A.; Ornfeldt, L.; Bjorklund, B.; Klement, U.; Joshi, S. Novel utilization of liquid feedstock in high velocity air fuel (HVAF) spraying to deposit solid lubricant reinforced wear resistant coatings. J. Mater. Proc. Tech. 2021, 295, 117203. [Google Scholar] [CrossRef]
- Federici, M.; Menapace, C.; Mancini, A.; Straffelini, G.; Gialanella, S. Pin-on-disc study of dry sliding behavior of Co-free HVOF coated disc tested against different friction materials. Friction 2021, 9, 1242–1258. [Google Scholar] [CrossRef]
- Liu, Y.L.; Jeng, M.C.; Hwang, J.R.; Chang, C.H. A Study on Wear Resistance of HVOF-Sprayed Ni-MoS2 Self-Lubricating Composite Coatings. J. Therm. Spray Technol. 2015, 24, 489–495. [Google Scholar] [CrossRef]
- Asgari, H.; Saha, G.; Mohammadi, M. Tribological behavior of nanostructured high velocity oxy-fuel (HVOF) thermal sprayed WC-17NiCr coatings. Ceram. Int. 2017, 43, 2123–2135. [Google Scholar] [CrossRef]
- Myalska-Głowacka, H.; Bolelli, G.; Lusvarghi, L.; Cios, G.; Godzierz, M.; Talaniuk, V. Influence of nano-sized WC addition on the microstructure, residual stress, and tribological properties of WC-Co HVAF-sprayed coatings. Surf. Coat. Technol. 2024, 473, 130040. [Google Scholar] [CrossRef]
- Lekatou, A.G.; Sioulas, D.; Grimanelis, D. Corrosion and wear of coatings fabricated by HVOF-spraying of nanostructured and conventional WC–10Co-4Cr powders on Al7075-T6. Int. J. Ref. Met. Hard Mater. 2023, 112, 106164. [Google Scholar] [CrossRef]
- Gautam, R.K.S.; Tripathi, V.M.; Jha, P.; Sahab, S.; Tyagi, R.; Nautiyal, H. Investigations of high temperature synergetic tribological behavior of HVOF deposited Ni-based metallic coating with self-lubricating ceramic phase (h-BN). Surf. Coat. Technol. 2023, 473, 130041. [Google Scholar] [CrossRef]
- Kumar, V.; Verma, R.; Shrivastava, S. Microhardness and dry sliding wear behaviour of HVOF sprayed WC-Co-Cr+ graphene nanoplatelets coating. Mater. Today Proc. 2023, in press. [CrossRef]
- Zhu, X.; Ma, G.; Ding, Z.; Mu, H.; Piao, Z.; Liu, M.; Guo, W.; Xing, Z.; Wang, H. Tribological properties of the WC-10Co-4Cr-4CaF2 wear-resistant self-lubricating coating at different temperatures. Surf. Coat. Technol. 2023, 475, 130129. [Google Scholar] [CrossRef]
- Bastakys, L.; Marcinauskas, L.; Milieška, M.; Kalin, M.; Keželis, R. Tribological Properties of Cr2O3, Cr2O3–SiO2-TiO2 and Cr2O3–SiO2-TiO2-Graphite Coatings Deposited by Atmospheric Plasma Spraying. Coatings 2023, 13, 408. [Google Scholar] [CrossRef]
- Bauman, I.; Hagen, L.; Tillmann, W.; Hollingsworth, P.; Stangier, D.; Schmidtmann, G.; Tolan, M.; Paulus, M.; Sternemann, C. Process characteristics, particle behavior and coating properties during HVOF spraying of conventional, fine and nanostructured WC-12Co powders. Surf. Coat. Technol. 2021, 405, 126716. [Google Scholar] [CrossRef]
- Sienicki, J.; Żórawski, W.; Dworak, A.; Koruba, P.; Jurewicz, P.; Reiner, J. Cold spraying and laser cladding in the aircraft coating production as an alternative to harmful cadmium and chromium electroplating processes. Aircr. Eng. Aerosp. Technol. 2019, 91, 205–215. [Google Scholar] [CrossRef]
- Panpan, T.; Xin, Z.; Bin, S.; Hao, C.; Yuzhuang, Z.; Jincan, Y.; Yuan, X.; Hualin, L.; Sheng, H.; Tianhui, R.; et al. Enhancedanticorrosion and tribological properties of Ti6Al4V alloys with Fe3O4/HA coatings. Surf. Coat. Technol. 2022, 433, 128118. [Google Scholar]
- Park, J.O.; Rhee, K.Y.; Park, S.J. Silane treatment of Fe3O4 and its effect on the magnetic and wear properties of Fe3O4/epoxy nanocomposites. Appl. Surf. Sci. 2010, 256, 6945–6950. [Google Scholar] [CrossRef]
- Guanghong, Z.; Yufu, Z.; Xiangming, W.; Mujian, X.; Yue, Z.; Hongyan, D. Sliding tribological properties of 0.45% carbon steel lubricated with Fe3O4 magnetic nano-particle additives in base oil. Wear 2013, 301, 753. [Google Scholar]
- Yufu, X.; Jian, G.; Yubin, P.; Zhichao, L.; Jingyuan, Y.; Xianguo, H. Lubricating mechanism of Fe3O4@MoS2 core-shell nanocomposites as oil additives for steel/steel contact. Trib. Int. 2018, 121, 241. [Google Scholar]
- Jian, H.; Yong, L.; Xiaohua, J.; Haojie, S. Preparation and tribological properties of core-shell Fe3O4@C microspheres. Trib. Int. 2019, 129, 427. [Google Scholar]
- Xiangling, W.; Xiangyuan, Y. Effect of morphology on tribological properties of Fe3O4 as lubricant additive: Nanospheres, nanowires and nanosheets. Trib. Int. 2024, 191, 109201. [Google Scholar]
- Thiruvikraman, C.; Balasubramanian, V.; Sridhar, K. Optimizing HVOF Spray Parameters to Maximize Bonding Strength of WC-CrC-Ni Coatings on AISI 304L Stainless Steel. J. Therm. Spray Technol. 2014, 23, 860. [Google Scholar] [CrossRef]
- Rajendran, P.R.; Duraisamy, T.; Seshadri, R.C.; Mohankumar, A.; Ranganathan, S.; Balachandran, G.; Murugan, K.; Renjith, L. Optimisation of HVOF Spray Process Parameters to Achieve Minimum Porosity and Maximum Hardness in WC-10Ni-5Cr. Coatings 2022, 12, 339. [Google Scholar] [CrossRef]
- Polański, Z. Metodyka Badań Doświadczalnych; Politechnika Krakowska: Kraków, Poland, 1978. (In Polish) [Google Scholar]
- Derringer, G.; Suich, R. A Quarterly Journal of Methods, Applications and Related Topics. J. Qual. Technol. 1980, 12, 214–219. [Google Scholar] [CrossRef]
- Kear, B.H.; Skandan, G.; Sadangi, R.K. Factors Controlling Decarburization in HVOF Sprayed Nano-WC/Co Hardcoatings. Scripta Mater. 2001, 44, 1703. [Google Scholar] [CrossRef]
- García-Rodríguez, S.; López, A.L.; Bonache, V.; Torres, B.; Rams, J. Fabrication, Wear, and Corrosion Resistance of HVOF Sprayed WC-12Co on ZE41 Magnesium Alloy. Coatings 2020, 10, 502. [Google Scholar] [CrossRef]
- Zhe, G.; Sihan, H.; Gaolian, S.; Deli, D.; Shu, L. Tribological behaviour at various temperatures of WC-Co coatings prepared using different thermal spraying techniques. Tribol. Int. 2016, 104, 36. [Google Scholar]
- Yunxin, W.; Fuxing, W.; Yinqian, C.; Nanping, C. A study of the optimisation mechanism of solid lubricant concentration in Ni/MoS2 self-lubricating composite. Wear 1997, 205, 64. [Google Scholar]
- Hauchan, H.R.; Saladi, S.; Variya, S.; Solanki, A.; Tailor, S.; Sooraj, K.P.; Ranjan, M.; Joshi, S. Role of micro- and nano-CeO2 reinforcements on characteristics and tribological performance of HVOF sprayed Cr3C2-NiCr coatings. Surf. Coat. Technol. 2023, 467, 129684. [Google Scholar]
- Afsous, M.; Shafyei, A.; Soltani, M.; Eskandari, A. Characterization and Evaluation of Tribological Properties of NiCrBSi-Gr Composite Coatings Deposited on Stainless Steel 420 by HVOF. J. Therm. Spray Technol. 2020, 29, 773. [Google Scholar] [CrossRef]
- Roy, A.; Sharifi, N.; Munagala, V.N.V.; Alidokht, S.A.; Patel, P.; Makowiec, M.; Chromik, R.R.; Moreau, C.; Stoyanov, P. Microstructural evolution and tribological behavior of suspension plasma sprayed CuO as high-temperature lubricious coatings. Wear 2023, 524–525, 204874. [Google Scholar] [CrossRef]

















| Level | Parameter | |||
|---|---|---|---|---|
| η, wt.% Fe3O4 | λ, O2/C3H8 | d, mm | Q, L/min | |
| Lower | 5 | 4.4 | 180 | 336 |
| Upper | 15 | 5.0 | 230 | 414 |
| Experiment | η wt.% Fe3O4 | λ O2/C3H8 | d mm | Q L/min | CoF, µ | Microhardness HV0.1 | Coating Wear, g |
|---|---|---|---|---|---|---|---|
| 1 | 5 | 4.7 | 180 | 336 | 0.2642 | 867.4 | 0.00089 |
| 2 | 5 | 4.7 | 200 | 375 | 0.3133 | 993.5 | 0.00143 |
| 3 | 5 | 5.0 | 180 | 375 | 0.3934 | 845.9 | 0.00061 |
| 4 | 5 | 5.0 | 200 | 336 | 0.3057 | 873.2 | 0.00071 |
| 5 | 15 | 4.7 | 180 | 375 | 0.2143 | 907.4 | 0.00131 |
| 6 | 15 | 4.7 | 200 | 336 | 0.1966 | 899.9 | 0.00161 |
| 7 | 15 | 5.0 | 180 | 336 | 0.2162 | 874.2 | 0.00157 |
| 8 | 15 | 5.0 | 200 | 375 | 0.2096 | 864.2 | 0.00199 |
| Experiment | η wt.% Fe3O4 | λ O2/C3H8 | d mm | Q l/min | Coefficient of Friction, µ | Microhardness HV0.1 | Coating Wear, g |
|---|---|---|---|---|---|---|---|
| 9 | 15.9 | 4.6 | 175 | 344.4 | 0.1907 | 867.4 | 0.00054 |
Disclaimer/Publisher’s Note: The statements, opinions and data contained in all publications are solely those of the individual author(s) and contributor(s) and not of MDPI and/or the editor(s). MDPI and/or the editor(s) disclaim responsibility for any injury to people or property resulting from any ideas, methods, instructions or products referred to in the content. |
© 2024 by the authors. Licensee MDPI, Basel, Switzerland. This article is an open access article distributed under the terms and conditions of the Creative Commons Attribution (CC BY) license (https://creativecommons.org/licenses/by/4.0/).
Share and Cite
Żórawski, W.; Góral, A.; Bokuvka, O.; Makrenek, M.; Vicen, M. Microstructure and Tribological Properties of HVOF-Sprayed Nanostructured WC-12Co/Fe3O4 Coatings. Coatings 2024, 14, 752. https://doi.org/10.3390/coatings14060752
Żórawski W, Góral A, Bokuvka O, Makrenek M, Vicen M. Microstructure and Tribological Properties of HVOF-Sprayed Nanostructured WC-12Co/Fe3O4 Coatings. Coatings. 2024; 14(6):752. https://doi.org/10.3390/coatings14060752
Chicago/Turabian StyleŻórawski, Wojciech, Anna Góral, Otakar Bokuvka, Medard Makrenek, and Martin Vicen. 2024. "Microstructure and Tribological Properties of HVOF-Sprayed Nanostructured WC-12Co/Fe3O4 Coatings" Coatings 14, no. 6: 752. https://doi.org/10.3390/coatings14060752
APA StyleŻórawski, W., Góral, A., Bokuvka, O., Makrenek, M., & Vicen, M. (2024). Microstructure and Tribological Properties of HVOF-Sprayed Nanostructured WC-12Co/Fe3O4 Coatings. Coatings, 14(6), 752. https://doi.org/10.3390/coatings14060752

