Low-Potential Zone at the Interface of Precipitate and Austenite Affecting Intergranular Corrosion Sensitivity in UNS N08028 Nickel–Iron–Chromium Alloy
Abstract
:1. Introduction
2. Materials and Methods
2.1. Specimen Preparation
2.2. Microstructure and Phase Analysis
2.3. SKPFM Test
2.4. Corrosion Resistance Test
3. Results
3.1. The Microstructure
3.2. The Volta Potential Distribution at the Sigma/Austenite Boundary
3.3. Intergranular Corrosion Sensitivity
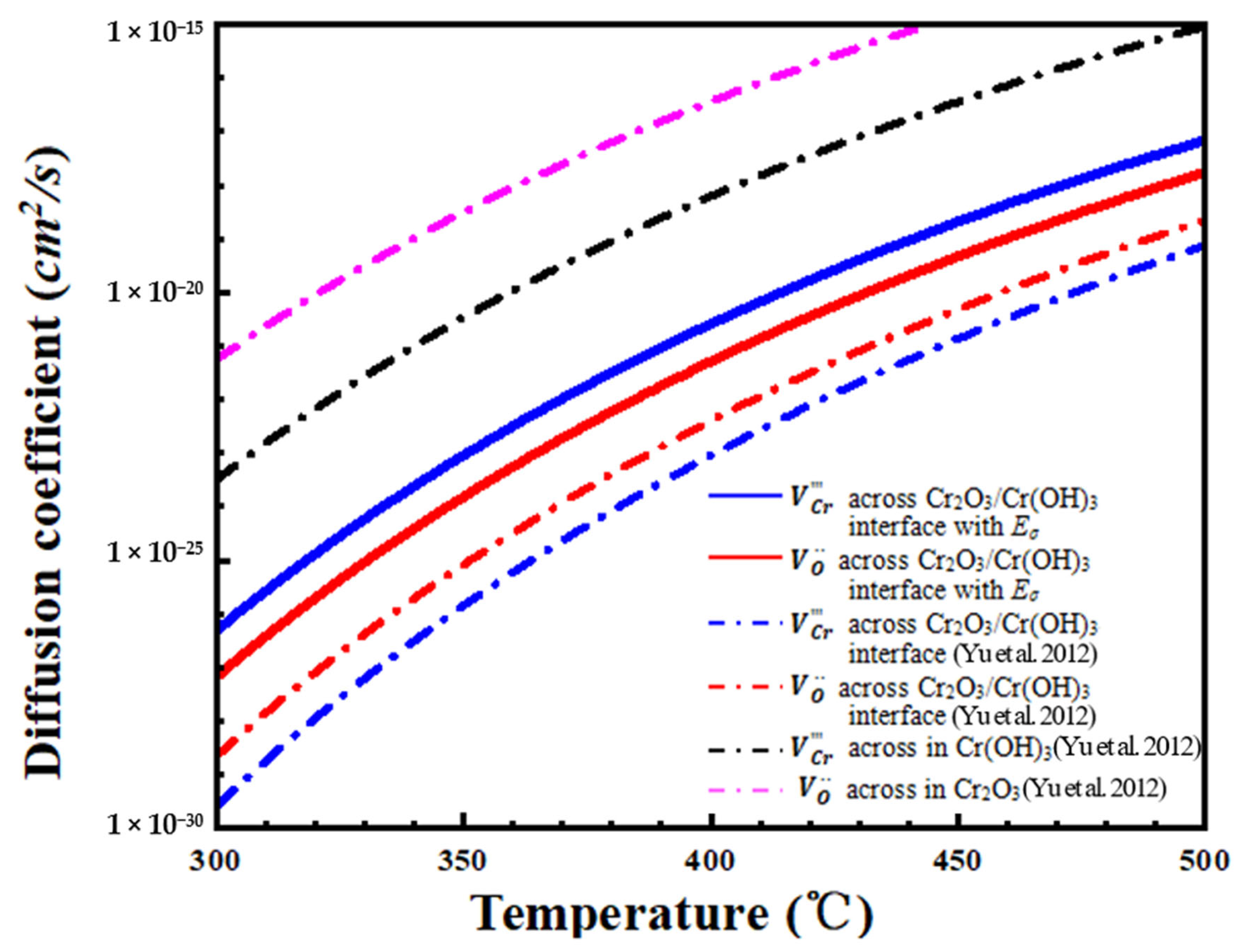
3.4. The Effect of Different Volta Potentials on Ion Migration in Passive Films
4. Discussion
5. Conclusions
- After aging, UNS N08028 demonstrated sigma precipitation phases at the grain boundaries, and as the aging temperature rose, the number and size of these phases increased correspondingly.
- Around the sigma precipitates, a Cr-depleted zone was generated. With rising aging temperature, the Cr content in the Cr-depleted zone increased, but the width of the Cr-depleted zone did not widen.
- A low-potential zone was found adjacent to the sigma precipitates by SKPFM. The potential difference between the sigma precipitates and low-potential zones was high and reached a value of 102 mV, and it increased with the growth of the sigma precipitates.
- Under the potential difference between the sigma precipitates and the low-potential zone, the Cr2O3/Cr(OH)3 interface still controlled the mass transport. However, the diffusion coefficient of cation and anion vacancies accelerated significantly, and the blocking ability of the passive film weakened.
- As the temperature of aging increases, the low-potential zone along the grain boundaries and Cr loss had an impact on intergranular corrosion.
Author Contributions
Funding
Institutional Review Board Statement
Informed Consent Statement
Data Availability Statement
Conflicts of Interest
References
- King, A.; Johnson, G.; Engelberg, D.; Ludwig, W.; Marrow, J. Observations of intergranular stress corrosion cracking in a grain-mapped polycrystal. Science 2008, 321, 382–385. [Google Scholar] [CrossRef]
- Gwinner, B.; Auroy, M.; Balbaud-Célérier, F.; Fauvet, P.; Larabi-Gruet, N.; Laghoutaris, P.; Robin, R. Towards a reliable determination of the intergranular corrosion rate of austenitic stainless steel in oxidizing media. Corros. Sci. 2016, 107, 60–75. [Google Scholar] [CrossRef]
- Qian, J.; Chen, C.; Yu, H.; Liu, F.; Yang, H.; Zhang, Z. The influence and the mechanism of the precipitate/austenite interfacial C-enrichment on the intergranular corrosion sensitivity in 310 S stainless steel. Corros. Sci. 2016, 111, 352–361. [Google Scholar] [CrossRef]
- Kumar, S.; Prasad, B.S.; Kain, V.; Reddy, J. Methods for making alloy 600 resistant to sensitization and intergranular corrosion. Corros. Sci. 2013, 70, 55–61. [Google Scholar]
- Shimada, M.; Kokawa, H.; Wang, Z.J.; Sato, Y.S.; Karibe, I. Optimization of grain boundary character distribution for intergranular corrosion resistant 304 stainless steel by twin-induced grain boundary engineering. Acta Mater. 2002, 50, 2331–2341. [Google Scholar] [CrossRef]
- Arutunow, A.; Darowicki, K.; Tobiszewski, M.T. Electrical mapping of AISI 304 stainless steel subjected to intergranular corrosion performed by means of AFM–LIS in the contact mode. Corros. Sci. 2013, 71, 37–42. [Google Scholar] [CrossRef]
- Aydogdu, G.H.; Aydinol, M.K. Determination of susceptibility to intergranular corrosion and electrochemical reactivation behaviour of AISI 316L type stainless steel. Corros. Sci. 2006, 48, 3565–3583. [Google Scholar] [CrossRef]
- Strauss, B.; Schottry, H.; Hinnüber, J. Die Carbidausscheidung beim Glühen von nichtrostendem unmagnetischem Chromnickelstahl. Z. Anorg. Allg. Chem. 1930, 188, 309–324. [Google Scholar] [CrossRef]
- Bain, E.C.; Aborn, R.H.; Rutherford, J.J.B. The nature and prevention of intergranular corrosion in austenitic stainless steels. Trans. Am. Soc. Steel Treat. 1933, 21, 481–509. [Google Scholar]
- Sahlaoui, H.; Makhlouf, K.; Sidhom, H.; Philibert, J. Effects of ageing conditions on the precipitates evolution, chromium depletion and intergranular corrosion susceptibility of AISI 316L: Experimental and modeling results. Mater. Sci. Eng. A 2004, 372, 98–108. [Google Scholar] [CrossRef]
- Stickler, R.; Vinckier, A. Morphology of grain-boundary carbides and its influence on intergranular corrosion of 304 stainless steel. Trans. ASM 1961, 54, 80–82. [Google Scholar]
- Stickler, R.; Vinckier, A. Electron microscope investigation of the intergranular corrosion fracture surfaces in a sensitized austenitic stainless steel. Corros. Sci. 1963, 3, 1–8. [Google Scholar] [CrossRef]
- Rahman, S.; Priyadarshan, G.; Raja, K.S.; Nesbitt, C.; Misra, M. Investigation of the secondary phases of alloy 617 by scanning kelvin probe force microscope. Mater. Lett. 2008, 62, 2263–2266. [Google Scholar] [CrossRef]
- Anantha, K.H.; Örnek, C.; Ejnermark, S.; Medvedeva, A.; Sjöström, J.; Pan, J. Correlative microstructure analysis and in situ corrosion study of AISI 420 martensitic stainless steel for plastic molding applications. J. Electrochem. Soc. 2017, 164, C85–C93. [Google Scholar] [CrossRef]
- Guo, L.Q.; Li, M.; Shi, X.L.; Yan, Y.; Li, X.Y.; Qiao, L.J. Effect of annealing temperature on the corrosion behavior of duplex stainless steel studied by in situ techniques. Corros. Sci. 2011, 53, 3733–3741. [Google Scholar] [CrossRef]
- Sathirachinda, N.; Pettersson, R.; Wessman, S.; Pan, J. Study of nobility of chromium nitrides in isothermally aged duplex stainless steels by using SKPFM and SEM/EDS. Corros. Sci. 2010, 52, 179–186. [Google Scholar] [CrossRef]
- Sathirachinda, N.; Pettersson, R.; Pan, J. Depletion effects at phase boundaries in 2205 duplex stainless steel characterized with SKPFM and TEM/EDS. Corros. Sci. 2009, 51, 1850–1860. [Google Scholar] [CrossRef]
- Jiang, R.J.; Chen, C.F.; Zheng, S.Q.; Cui, L.S. The non-linear fitting method to study the semiconductor properties of passive films of INCONEL alloy G3. J. Electroanal. Chem. 2011, 658, 52–56. [Google Scholar] [CrossRef]
- Carmezim, M.J.; Simoes, A.M.; Montemor, M.F.; Belo, M.D.C. Capacitance behaviour of passive films on ferritic and austenitic stainless steel. Corros. Sci. 2005, 47, 581–591. [Google Scholar] [CrossRef]
- Jiang, R.; Chen, C.; Zheng, S. The non-linear fitting method to analyze the measured M–S plots of bipolar passive films. Electrochim. Acta 2010, 55, 2498–2504. [Google Scholar] [CrossRef]
- Macdonald, D.D. The history of the point defect model for the passive state: A brief review of film growth aspects. Electrochim. Acta 2011, 56, 1761–1772. [Google Scholar] [CrossRef]
- Bojinov, M.; Fabricius, G.; Laitinen, T.; Mäkelä, K.; Saario, T.; Sundholm, G. Coupling between ionic defect structure and electronic conduction in passive films on iron, chromium and iron–chromium alloys. Electrochim. Acta 2000, 45, 2029–2048. [Google Scholar] [CrossRef]
- Macdonald, D.D. Passivity-the key to our metals-based civilization. Pure Appl. Chem. 1999, 71, 951–978. [Google Scholar] [CrossRef]
- Guo, X.P.; Tomoe, Y.; Imaizumi, H.; Katoh, K. The electrochemical behavior and impedance characteristics of the passive film on carbon steel in nitric acid solutions. J. Electroanal. Chem. 1998, 445, 95–103. [Google Scholar] [CrossRef]
- Yu, H.; Chen, C.; Jiang, R.; Qiu, P.; Li, Y. Migration of ion vacancy in hydroxylated oxide film formed on Cr: A density functional theory investigation. J. Phys. Chem. C 2012, 116, 25478–25485. [Google Scholar] [CrossRef]
- Zuo, Q.; Liu, F.; Wang, L.; Chen, C. Evolution of secondary phases formed upon solidification of a Ni-based alloy. Metall. Mater. Trans. A 2013, 44, 3014–3027. [Google Scholar] [CrossRef]
- Turchi, P.E.A.; Kaufman, L.; Liu, Z.K. Modeling of Ni–Cr–Mo based alloys: Part I—Phase stability. Calphad 2006, 30, 70–87. [Google Scholar] [CrossRef]
- Sahlaoui, H.; Sidhom, H.; Philibert, J. Prediction of chromium depleted-zone evolution during aging of Ni–Cr–Fe alloys. Acta Mater. 2002, 50, 1383–1392. [Google Scholar] [CrossRef]
- Pan, Y.M.; Dunn, D.S.; Cragnolino, G.A.; Sridhar, N. Grain-boundary chemistry and intergranular corrosion in alloy 825. Metall. Mater. Trans. A 2000, 31, 1163–1173. [Google Scholar] [CrossRef]
- ASTM G48-03; Standard Test Methods for Pitting and Crevice Corrosion Resistance of Stainless Steels and Related Alloys by Use of Ferric Chloride Solution. Annual Book of ASTM Standards; ASTM International: West Conshohocken, PA, USA, 2003; pp. 191–201.
- Yin, Y.; Faulkner, R.G.; Moreton, P.; Armson, I.; Coyle, P. Grain boundary chromium depletion in austenitic alloys. J. Mater. Sci. 2010, 45, 5872–5882. [Google Scholar] [CrossRef]
- Trillo, E.A.; Murr, L.E. Effects of carbon content, deformation, and interfacial energetics on carbide precipitation and corrosion sensitization in 304 stainless steel. Acta Mater. 1998, 47, 235–245. [Google Scholar] [CrossRef]
- Lejcek, P. Grain Boundary Segregation in Metals; Springer: Berlin/Heidelberg, Germany, 2010; p. 136. [Google Scholar]
- Thuvander, M.; Miller, M.K.; Stiller, K. Grain boundary segregation during heat treatment at 600 °C in a model Alloy 600. Mater. Sci. Eng. A 1999, 270, 38–43. [Google Scholar] [CrossRef]
- Thuvander, M.; Stiller, K. Evolution of grain boundary chemistry in a Ni–17Cr–9Fe model alloy. Mater. Sci. Eng. A 1998, 250, 93–98. [Google Scholar] [CrossRef]
- Was, G.S.; Tischner, H.H.; Latanision, R.M. The influence of thermal treatment on the chemistry and structure of grain boundaries in Inconel 600. Metall. Mater. Trans. A 1981, 12, 1397–1408. [Google Scholar] [CrossRef]






| Cr | Ni | Mo | C | Cu | Si | Mn | P | S | Fe |
|---|---|---|---|---|---|---|---|---|---|
| 28 | 30 | 4 | 0.02 | 0.8 | 0.02 | 1 | 0.03 | 0.03 | 36.1 |
| l2v (/s) | ETS − Ereac (eV) | En-p (V/cm2) | Uσ (V/cm2) | q (e) | (nm) | (nm) | Diffusion Coefficient (cm2/s) | |
|---|---|---|---|---|---|---|---|---|
| 2.54 × 1011 | 1.58 | 5.58 × 106 | 102 | +2 | 0.308 | 6.0 | ||
| 5.64 × 1011 | 1.70 | −3 | 0.262 | 8.7 |
Disclaimer/Publisher’s Note: The statements, opinions and data contained in all publications are solely those of the individual author(s) and contributor(s) and not of MDPI and/or the editor(s). MDPI and/or the editor(s) disclaim responsibility for any injury to people or property resulting from any ideas, methods, instructions or products referred to in the content. |
© 2023 by the authors. Licensee MDPI, Basel, Switzerland. This article is an open access article distributed under the terms and conditions of the Creative Commons Attribution (CC BY) license (https://creativecommons.org/licenses/by/4.0/).
Share and Cite
Fan, X.; Yu, Y.; Fang, K.; Wang, J.; Zhang, H.; Yu, X.; Du, B.; Dong, L.; Li, Y. Low-Potential Zone at the Interface of Precipitate and Austenite Affecting Intergranular Corrosion Sensitivity in UNS N08028 Nickel–Iron–Chromium Alloy. Coatings 2023, 13, 1304. https://doi.org/10.3390/coatings13081304
Fan X, Yu Y, Fang K, Wang J, Zhang H, Yu X, Du B, Dong L, Li Y. Low-Potential Zone at the Interface of Precipitate and Austenite Affecting Intergranular Corrosion Sensitivity in UNS N08028 Nickel–Iron–Chromium Alloy. Coatings. 2023; 13(8):1304. https://doi.org/10.3390/coatings13081304
Chicago/Turabian StyleFan, Xuehua, Yong Yu, Kun Fang, Jie Wang, Hong Zhang, Xiaohong Yu, Bo Du, Lei Dong, and Yuan Li. 2023. "Low-Potential Zone at the Interface of Precipitate and Austenite Affecting Intergranular Corrosion Sensitivity in UNS N08028 Nickel–Iron–Chromium Alloy" Coatings 13, no. 8: 1304. https://doi.org/10.3390/coatings13081304
APA StyleFan, X., Yu, Y., Fang, K., Wang, J., Zhang, H., Yu, X., Du, B., Dong, L., & Li, Y. (2023). Low-Potential Zone at the Interface of Precipitate and Austenite Affecting Intergranular Corrosion Sensitivity in UNS N08028 Nickel–Iron–Chromium Alloy. Coatings, 13(8), 1304. https://doi.org/10.3390/coatings13081304
