Protection of Cu from Oxidation by Ta Capping Layer
Abstract
1. Introduction
2. Experimental and Calculation Details
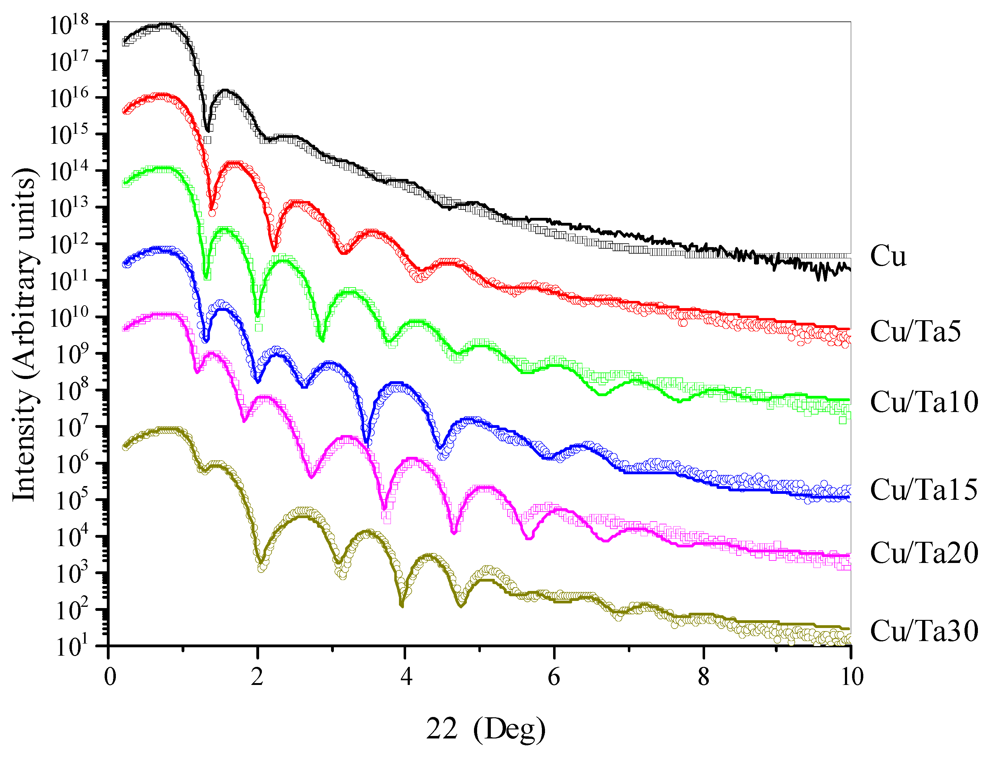
3. Results and Discussion
4. Conclusions
Author Contributions
Funding
Institutional Review Board Statement
Informed Consent Statement
Data Availability Statement
Conflicts of Interest
References
- Nadutov, V.; Perekos, A.; Kokorin, V.; Konoplyuk, S.; Kabantsev, T. Influence of Oxidation on Electrical Properties of Compacted Cu Nanopowders. Nanoscale Res. Lett. 2016, 11, 478. [Google Scholar] [CrossRef] [PubMed]
- Mimura, K.; Lim, J.-W.; Isshiki, M.; Zhu, Y.; Jiang, Q. Brief Review of Oxidation Kinetics of Copper at 350 °C to 1050 °C. Metall. Mater. Trans. A 2006, 37, 1231–1237. [Google Scholar] [CrossRef]
- Goli, P.; Ning, H.; Li, X.; Lu, C.Y.; Novoselov, K.S.; Balandin, A.A. Thermal Properties of Graphene–Copper–Graphene Heterogeneous Films. Nano Lett. 2014, 14, 1497–1503. [Google Scholar] [CrossRef]
- Galbiati, M.; Stoot, A.C.; Mackenzie, D.M.A.; Bøggild, P.; Camilli, L. Real-Time Oxide Evolution of Copper Protected by Graphene and Boron Nitride Barriers. Sci. Rep. 2017, 7, 39770. [Google Scholar] [CrossRef]
- Takeyama, M.B.; Noya, A. Application of Al–Nb Alloy Film to Metal Capping Layer on Cu. Jpn. J. Appl. Phys. 2016, 55, 02BC22. [Google Scholar] [CrossRef]
- Morris, J.R.; Collins, R.A.; Dearnaley, G. The Influence of Ion Implantation on the Thermal Oxidation of Copper. J. Phys. F Met. Phys. 1978, 8, 1333–1342. [Google Scholar] [CrossRef]
- Blaha, P.; Schwarz, K.; Tran, F.; Laskowski, R.; Madsen, G.K.H.; Marks, L.D. WIEN2k: An APW+lo Program for Calculating the Properties of Solids. J. Chem. Phys. 2020, 152, 074101. [Google Scholar] [CrossRef] [PubMed]
- Perdew, J.P.; Ernzerhof, M.; Burke, K. Rationale for Mixing Exact Exchange with Density Functional Approximations. J. Chem. Phys. 1996, 105, 9982–9985. [Google Scholar] [CrossRef]
- MacDonald, A.H.; Picket, W.E.; Koelling, D.D. A Linearised Relativistic Augmented-Plane-Wave Method Utilising Approximate Pure Spin Basis Functions. J. Phys. C Solid State Phys. 1980, 13, 2675–2683. [Google Scholar] [CrossRef]
- Mueller, M.H. The Lattice Parameter of Tantalum. Scr. Metall. 1977, 11, 693. [Google Scholar] [CrossRef]
- Zibrov, I.P.; Filonenko, V.P.; Sundberg, M.; Werner, P.-E. Structures and Phase Transitions of B-Ta2O5 and Z-Ta2O5: Two High-Pressure Forms of Ta2O5. Acta Crystallogr. Sect. B Struct. Sci. 2000, 56, 659–665. [Google Scholar] [CrossRef] [PubMed]
- Chen, J.-C.; Tsai, W.-T. Chemical–Mechanical Polishing Behavior of Tantalum in Slurries Containing Citric Acid and Alumina. Surf. Coatings Technol. 2004, 185, 50–57. [Google Scholar] [CrossRef]
- Yin, K.-M.; Chang, L.; Chen, F.-R.; Kai, J.-J.; Chiang, C.-C.; Chuang, G.; Ding, P.; Chin, B.; Zhang, H.; Chen, F. Oxidation of Ta Diffusion Barrier Layer for Cu Metallization in Thermal Annealing. Thin Solid Films 2001, 388, 27–33. [Google Scholar] [CrossRef]




| Sample | Layers’ Thicknesses (Å) | Surface Composition (at. %) | ||||||
|---|---|---|---|---|---|---|---|---|
| Cu | CuO | Ta | Ta2O5 | C | O | Ta | Cu | |
| Cu | 85 | 15 | 0 | 0 | 48.7 | 27.7 | - | 23.6 |
| Cu/Ta5 | 81 | 14 | 0 | 8 | 54.7 | 30.1 | 6.5 | 8.7 |
| Cu/Ta10 | 83 | 11 | 0 | 12 | 40.4 | 42.7 | 12.9 | 40. |
| Cu/Ta15 | 90 | 0 | 7 | 9 | 25.6 | 53.8 | 19.7 | 0.9 |
| Cu/Ta20 | 98 | 0 | 11 | 12 | 27.9 | 50.1 | 21.0 | 1.0 |
| Cu/Ta30 | 84 | 0 | 21 | 12 | 25.4 | 51.6 | 22.7 | 0.3 |
Disclaimer/Publisher’s Note: The statements, opinions and data contained in all publications are solely those of the individual author(s) and contributor(s) and not of MDPI and/or the editor(s). MDPI and/or the editor(s) disclaim responsibility for any injury to people or property resulting from any ideas, methods, instructions or products referred to in the content. |
© 2023 by the authors. Licensee MDPI, Basel, Switzerland. This article is an open access article distributed under the terms and conditions of the Creative Commons Attribution (CC BY) license (https://creativecommons.org/licenses/by/4.0/).
Share and Cite
Zhidkov, I.S.; Kukharenko, A.I.; Milyaev, M.A.; Kravtsov, E.A.; Makarova, M.V.; Gapontsev, V.V.; Streltsov, S.V.; Cholakh, S.O.; Kurmaev, E.Z. Protection of Cu from Oxidation by Ta Capping Layer. Coatings 2023, 13, 926. https://doi.org/10.3390/coatings13050926
Zhidkov IS, Kukharenko AI, Milyaev MA, Kravtsov EA, Makarova MV, Gapontsev VV, Streltsov SV, Cholakh SO, Kurmaev EZ. Protection of Cu from Oxidation by Ta Capping Layer. Coatings. 2023; 13(5):926. https://doi.org/10.3390/coatings13050926
Chicago/Turabian StyleZhidkov, Ivan S., Andrey I. Kukharenko, Mikhail A. Milyaev, Evgeniy A. Kravtsov, Marina V. Makarova, Vladimir V. Gapontsev, Sergey V. Streltsov, Seif O. Cholakh, and Ernst Z. Kurmaev. 2023. "Protection of Cu from Oxidation by Ta Capping Layer" Coatings 13, no. 5: 926. https://doi.org/10.3390/coatings13050926
APA StyleZhidkov, I. S., Kukharenko, A. I., Milyaev, M. A., Kravtsov, E. A., Makarova, M. V., Gapontsev, V. V., Streltsov, S. V., Cholakh, S. O., & Kurmaev, E. Z. (2023). Protection of Cu from Oxidation by Ta Capping Layer. Coatings, 13(5), 926. https://doi.org/10.3390/coatings13050926

