Anti-Corrosion Coating Formation by a Biopolymeric Extract of Artemisia herba-alba Plant: Experimental and Theoretical Investigations
Abstract
1. Introduction
2. Materials and Methods
2.1. Materials
2.2. Gravimetric Tests
2.3. Electrochemical Tests
2.4. UV-Visible Test
2.5. Visualization of Metal Surface
2.6. Computational Studies
2.6.1. DFT
2.6.2. MC and MD Simulations
3. Results and Discussion
3.1. Confirmation of the Chemical Structure of Extracted CHA
3.2. Gravimetric Test
3.2.1. Effect of CHA Extract Concentration
3.2.2. Effect of Temperature and Activation Kinetics Parameters
3.3. Electrochemical Tests
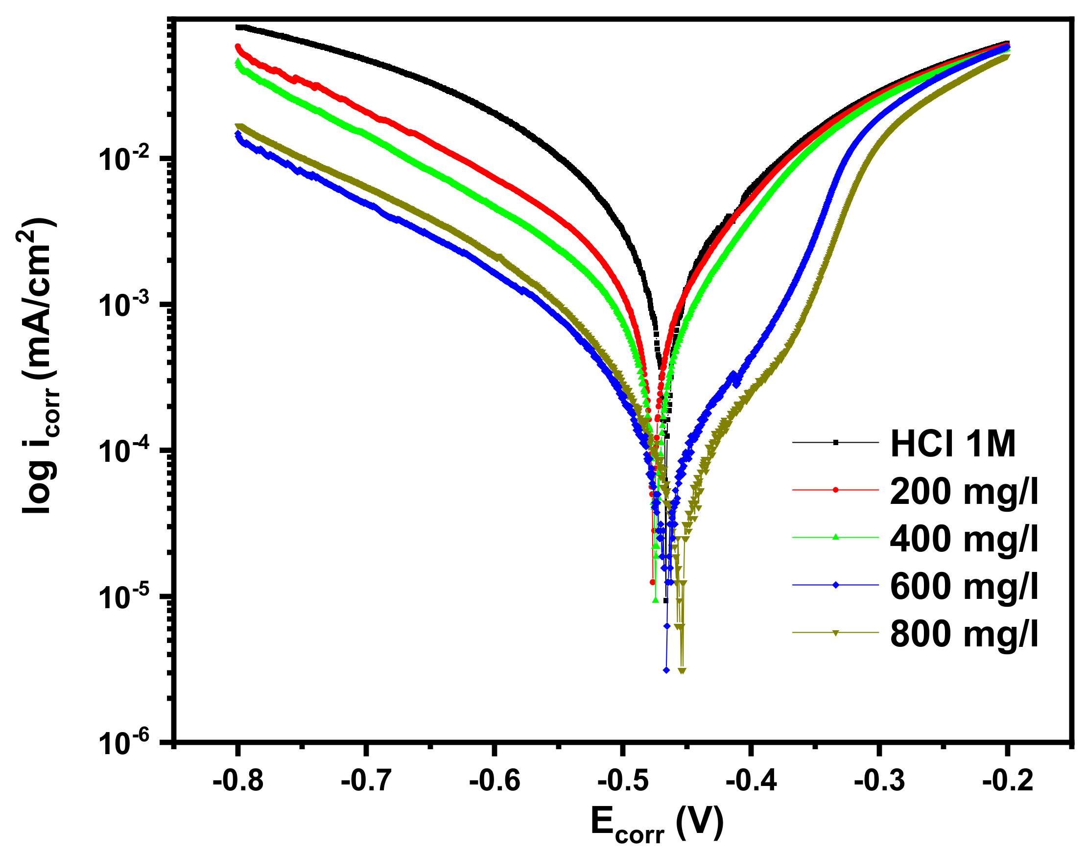
3.3.1. Potentiodynamic Polarization Curves (PDP)
3.3.2. Electrochemical Impedance Spectroscopy
3.4. Adsorption Isotherms
3.5. UV-Visible Test
3.6. SEM Analysis
3.7. Theoretical Analysis
3.7.1. DFT Results
3.7.2. MC and MS Simulations
3.8. The Inhibition Mechanism
4. Conclusions
Author Contributions
Funding
Institutional Review Board Statement
Informed Consent Statement
Data Availability Statement
Conflicts of Interest
References
- Zhang, W.; Li, H.-J.; Wang, Y.; Liu, Y.; Gu, Q.-Z.; Wu, Y.-C. Gravimetric, electrochemical and surface studies on the anticorrosive properties of 1-(2-pyridyl)-2-thiourea and 2-(imidazol-2-yl)-pyridine for mild steel in hydrochloric acid. New J. Chem. 2018, 42, 12649–12665. [Google Scholar] [CrossRef]
- Singh, P.; Srivastava, V.; Quraishi, M. Novel quinoline derivatives as green corrosion inhibitors for mild steel in acidic medium: Electrochemical, SEM, AFM, and XPS studies. J. Mol. Liq. 2016, 216, 164–173. [Google Scholar] [CrossRef]
- Heydari, H.; Talebian, M.; Salarvand, Z.; Raeissi, K.; Bagheri, M.; Golozar, M. Comparison of two Schiff bases containing O-methyl and nitro substitutes for corrosion inhibiting of mild steel in 1 M HCl solution. J. Mol. Liq. 2018, 254, 177–187. [Google Scholar] [CrossRef]
- Qiang, Y.; Guo, L.; Zhang, S.; Li, W.; Yu, S.; Tan, J. Synergistic effect of tartaric acid with 2,6-diaminopyridine on the corrosion inhibition of mild steel in 0.5 M HCl. Sci. Rep. 2016, 6, 33305. [Google Scholar] [CrossRef]
- Zhang, M.; Guo, L.; Zhu, M.; Wang, K.; Zhang, R.; He, Z.; Lin, Y.; Leng, S.; Anadebe, V.C.; Zheng, X. Akebia trifoliate koiaz peels extract as environmentally benign corrosion inhibitor for mild steel in HCl solutions: Integrated experimental and theoretical investigations. J. Ind. Eng. Chem. 2021, 101, 227–236. [Google Scholar] [CrossRef]
- Verma, C.; Lgaz, H.; Verma, D.; Ebenso, E.; Bahadur, I.; Quraishi, M. Molecular dynamics and Monte Carlo simulations as powerful tools for study of interfacial adsorption behavior of corrosion inhibitors in aqueous phase: A review. J. Mol. Liq. 2018, 260, 99–120. [Google Scholar] [CrossRef]
- Shahini, M.; Keramatinia, M.; Ramezanzadeh, M.; Ramezanzadeh, B.; Bahlakeh, G. Combined atomic-scale/DFT-theoretical simulations & electrochemical assessments of the chamomile flower extract as a green corrosion inhibitor for mild steel in HCl solution. J. Mol. Liq. 2021, 342, 117570. [Google Scholar] [CrossRef]
- Kaya, F.; Solmaz, R.; Geçibesler, İ.H. Adsorption and corrosion inhibition capability of Rheum ribes root extract (Işgın) for mild steel protection in acidic medium: A comprehensive electrochemical, surface characterization, synergistic inhibition effect, and stability study. J. Mol. Liq. 2023, 372, 121219. [Google Scholar] [CrossRef]
- Tang, M.; Deng, S.; Du, G.; Li, X. Mikania micrantha extract/KI blend as a novel synergistic inhibitor for steel corrosion in concentrated H3PO4 solution. Ind. Crops Prod. 2023, 193, 116237. [Google Scholar] [CrossRef]
- Boudalia, M.; Fernández-Domene, R.M.; Tabyaoui, M.; Bellaouchou, A.; Guenbour, A.; García-Antón, J. Green approach to corrosion inhibition of stainless steel in phosphoric acid of Artemesia herba albamedium using plant extract. J. Mater. Res. Technol. 2019, 8, 5763–5773. [Google Scholar] [CrossRef]
- Radjai, M.; Ferkous, H.; Zerroug, M.; Djellali, S.; Chaouch, M.A.; Hattabi, B.; Majdoub, H.; Boutahala, M. Methanolic Extract of Artemisia Herba Alba as Eco-Friendly Inhibitor of Carbon Steel Corrosion in 1M HCl Media. In Recent Advances in Environmental Science from the Euro-Mediterranean and Surrounding Regions; Kallel, A., Ksibi, M., Ben Dhia, H., Khélifi, N., Eds.; Springer International Publishing: Cham, Switzerland, 2018; pp. 1379–1381. [Google Scholar] [CrossRef]
- Echihi, S.; Hsissou, R.; Benzbiria, N.; Afrokh, M.; Boudalia, M.; Bellaouchou, A.; Guenbour, A.; Azzi, M.; Tabyaoui, M. Performance of methanolic extract of artemisia herba alba as a potential green inhibitor on corrosion behavior of mild steel in hydrochloric acid solution. Biointerface Res. Appl. Chem. 2021, 11, 14751–14763. [Google Scholar]
- Bouyanzer, A.; Bouklah, M.; Chetouani, A.; Majidi, L.; Hammouti, B.; Aouniti, A. Valorization of essential oil and extracts of Artemisia herba alba in the inhibition of corrosion and antibacterial and other effects-Review, Arabian Journal of Chemical and Environmental Research. Arab. J. Chem. Environ. Res. 2017, 4, 31–45. [Google Scholar]
- Hechiche, N.; Boughrara, D.; Kadri, A.; Dahmani, N.; Benbrahim, N. Artemisia Herba Alba Essential Oil as Green Corrosion Inhibitor for Aluminum in Hydrochloric Acid Solution. Anal. Bioanal. Electrochem. 2019, 11, 1129–1147. [Google Scholar]
- Boumhara, K.; Harhar, H.; Tabyaoui, M.; Bellaouchou, A.; Guenbour, A.; Zarrouk, A. Corrosion Inhibition of Mild Steel in 0.5 M H2SO4 Solution by Artemisia herba-alba Oil. J. Bio. Tribo. Corros. 2018, 5, 8. [Google Scholar] [CrossRef]
- Daoudi, W.; Bouhout, B.; Azzouzi, M.; Mansour, I.; Oussaid, A. Biological activity of leaves and stems extracts of Artemisia herba-alba from the Oriental region of Morocco and extraction of Cellulose from this plant (isolation, modification and applications). Moroc. J. Chem. 2022, 10, 10–14. [Google Scholar]
- El Aatiaoui, A.; Daoudi, W.; El Badri, A.; Salhi, A.; El Massaoudi, M.; El Boutaybi, A.; Guo, L.; Loutou, M. Anticorrosive potential of essential oil extracted from the leaves of Calamintha plant for mild steel in 1 M HCl medium. J. Adhes. Sci. Technol. 2022, 1–24. [Google Scholar] [CrossRef]
- Bhardwaj, N.; Sharma, P.; Guo, L.; Dagdag, O.; Kumar, V. Molecular dynamic simulation and Quantum chemical calculation of phytochemicals present in Beta vulgaris and electrochemical behaviour of Beta vulgaris peel extract as green corrosion inhibitor for stainless steel (SS-410) in acidic medium. Colloids Surf. A Physicochem. Eng. Aspects 2022, 632, 127707. [Google Scholar] [CrossRef]
- Yukna, R.A.; Callan, D.P.; Krauser, J.T.; Evans, G.H.; Aichelmann-Reidy, M.E.; Moore, K.; Cruz, R.; Scott, J.B. Multi-Center Clinical Evaluation of Combination Anorganic Bovine-Derived Hydroxyapatite Matrix (ABM)/Cell Binding Peptide (P-15) as a Bone Replacement Graft Material in Human Periodontal Osseous Defects. 6-Month Results. J. Periodontol. 1998, 69, 655–663. [Google Scholar] [CrossRef] [PubMed]
- Andzelm, J.; King-Smith, R.D.; Fitzgerald, G. Geometry optimization of solids using delocalized internal coordinates. Chem. Phys. Lett. 2001, 335, 321–326. [Google Scholar] [CrossRef]
- Berisha, Interactions between the Aryldiazonium Cations and Graphene Oxide: A DFT Study. J. Chem. 2019, 2019, e5126071. [CrossRef]
- Peverati, R.; Truhlar, D.G. Performance of the M11 and M11-L density functionals for calculations of electronic excitation energies by adiabatic time-dependent density functional theory. Phys. Chem. Chem. Phys. 2012, 14, 11363–11370. [Google Scholar] [CrossRef]
- Goerigk, L.; Grimme, S. A thorough benchmark of density functional methods for general main group thermochemistry, kinetics, and noncovalent interactions. Phys. Chem. Chem. Phys. 2011, 13, 6670–6688. [Google Scholar] [CrossRef] [PubMed]
- Inada, Y.; Orita, H. Efficiency of numerical basis sets for predicting the binding energies of hydrogen bonded complexes: Evidence of small basis set superposition error compared to Gaussian basis sets. J. Comput. Chem. 2008, 29, 225–232. [Google Scholar] [CrossRef] [PubMed]
- Berisha, A. Experimental, Monte Carlo and Molecular Dynamic Study on Corrosion Inhibition of Mild Steel by Pyridine Derivatives in Aqueous Perchloric Acid. Electrochem 2020, 1, 188–199. [Google Scholar] [CrossRef]
- Hsissou, R.; Abbout, S.; Seghiri, R.; Rehioui, M.; Berisha, A.; Erramli, H.; Assouag, M.; Elharfi, A. Evaluation of corrosion inhibition performance of phosphorus polymer for carbon steel in [1 M] HCl: Computational studies (DFT, MC and MD simulations). J. Mater. Res. Technol. 2020, 9, 2691–2703. [Google Scholar] [CrossRef]
- Rbaa, M.; Ouakki, M.; Galai, M.; Berisha, A.; Lakhrissi, B.; Jama, C.; Warad, I.; Zarrouk, A. Simple preparation and characterization of novel 8-Hydroxyquinoline derivatives as effective acid corrosion inhibitor for mild steel: Experimental and theoretical studies. Colloids Surf. A Physicochem. Eng. Asp. 2020, 602, 125094. [Google Scholar] [CrossRef]
- Hsissou, R.; Benhiba, F.; Abbout, S.; Dagdag, O.; Benkhaya, S.; Berisha, A.; Erramli, H.; Elharfi, A. Trifunctional epoxy polymer as corrosion inhibition material for carbon steel in 1.0 M HCl: MD simulations, DFT and complexation computations. Inorg. Chem. Commun. 2020, 115, 107858. [Google Scholar] [CrossRef]
- Hsissou, R.; Dagdag, O.; Abbout, S.; Benhiba, F.; Berradi, M.; El Bouchti, M.; Berisha, A.; Hajjaji, N.; Elharfi, A. Novel derivative epoxy resin TGETET as a corrosion inhibition of E24 carbon steel in 1.0 M HCl solution. Experimental and computational (DFT and MD simulations) methods. J. Mol. Liq. 2019, 284, 182–192. [Google Scholar] [CrossRef]
- Dagdag, O.; Berisha, A.; Safi, Z.; Hamed, O.; Jodeh, S.; Verma, C.; Ebenso, E.; El Harfi, A. DGEBA-polyaminoamide as effective anti-corrosive material for 15CDV6 steel in NaCl medium: Computational and experimental studies. J. Appl. Polym. Sci. 2020, 137, 48402. [Google Scholar] [CrossRef]
- Dagdag, O.; Hsissou, R.; El Harfi, A.; Berisha, A.; Safi, Z.; Verma, C.; Ebenso, E.; Touhami, M.E.; El Gouri, M. Fabrication of polymer based epoxy resin as effective anti-corrosive coating for steel: Computational modeling reinforced experimental studies. Surf. Interfaces 2020, 18, 100454. [Google Scholar] [CrossRef]
- Dagdag, O.; Hsissou, R.; Berisha, A.; Erramli, H.; Hamed, O.; Jodeh, S.; El Harfi, A. Polymeric-Based Epoxy Cured with a Polyaminoamide as an Anticorrosive Coating for Aluminum 2024-T3 Surface: Experimental Studies Supported by Computational Modeling. J. Bio. Tribo. Corros. 2019, 5, 58. [Google Scholar] [CrossRef]
- El Faydy, M.; Benhiba, F.; Berisha, A.; Kerroum, Y.; Jama, C.; Lakhrissi, B.; Guenbour, A.; Warad, I.; Zarrouk, A. An experimental-coupled empirical investigation on the corrosion inhibitory action of 7-alkyl-8-Hydroxyquinolines on C35E steel in HCl electrolyte. J. Mol. Liq. 2020, 317, 113973. [Google Scholar] [CrossRef]
- Dagdag, O.; Hsissou, R.; El Harfi, A.; Safi, Z.; Berisha, A.; Verma, C.; Ebenso, E.; Quraishi, M.; Wazzan, N.; Jodeh, S.; et al. Epoxy resins and their zinc composites as novel anti-corrosive materials for copper in 3% sodium chloride solution: Experimental and computational studies. J. Mol. Liq. 2020, 315, 113757. [Google Scholar] [CrossRef]
- Dagdag, O.; Berisha, A.; Mehmeti, V.; Haldhar, R.; Berdimurodov, E.; Hamed, O.; Jodeh, S.; Lgaz, H.; Sherif, E.-S.; Ebenso, E. Epoxy coating as effective anti-corrosive polymeric material for aluminum alloys: Formulation, electrochemical and computational approaches. J. Mol. Liq. 2022, 346, 117886. [Google Scholar] [CrossRef]
- Daoudi, W.; Guo, L.; Azzouzi, M.; Pooventhiran, T.; Boutaybi, A.; Lamghafri, S.; Oussaid, A.; El Aatiaoui, A. Evaluation of the corrosion inhibition of mild steel by newly synthesized imidazo[1,2-a]pyridine derivatives: Experimental and theoretical investigation. J. Adhes. Sci. Technol. 2023, 1–24. [Google Scholar] [CrossRef]
- Ebenso, E.; Isabirye, D.; Eddy, N. Adsorption and Quantum Chemical Studies on the Inhibition Potentials of Some Thiosemicarbazides for the Corrosion of Mild Steel in Acidic Medium. Int. J. Mol. Sci. 2010, 11, 2473–2498. [Google Scholar] [CrossRef]
- Solmaz, R. Investigation of corrosion inhibition mechanism and stability of Vitamin B1 on mild steel in 0.5M HCl solution. Corros. Sci. 2014, 81, 75–84. [Google Scholar] [CrossRef]
- Zarei, A.; Dehghani, A.; Guo, L.; Ramezanzadeh, B. Pepper extract effectiveness as a natural inhibitor against corrosion of steel samples (SS) in 1 M hydrochloric acid; Theoretical (DFT calculation—MD simulation), thermodynamic, and electrochemical-surface studies. Ind. Crops Prod. 2022, 189, 115839. [Google Scholar] [CrossRef]
- Wan, S.; Wei, H.; Quan, R.; Luo, Z.; Wang, H.; Liao, B.; Guo, X. Soybean extract firstly used as a green corrosion inhibitor with high efficacy and yield for carbon steel in acidic medium. Ind. Crops Prod. 2022, 187, 115354. [Google Scholar] [CrossRef]
- Daoudi, W.; El Aatiaoui, A.; Falil, N.; Azzouzi, M.; Berisha, A.; Olasunkanmi, L.; Dagdag, O.; Ebenso, E.; Koudad, M.; Aouinti, A.; et al. Essential oil of Dysphania ambrosioides as a green corrosion inhibitor for mild steel in HCl solution. J. Mol. Liq. 2022, 363, 119839. [Google Scholar] [CrossRef]
- Hamdouch, A.; Anejjar, A.; Bijla, L.; Gharby, S.; Asdadi, A.; Chebli, B.; Salghi, R.; Hassani, L. Corrosion inhibition of carbon steel by Vitex agnus castus leaves essential oils from the oasis of Tata. Moroc. J. Chem. 2023, 11, 11–118. [Google Scholar] [CrossRef]
- Ansari, A.; Ou-Ani, O.; Oucheikh, L.; Youssefi, Y.; Chebabe, D.; Oubair, A.; Znini, M. Experimental, Theoretical Modeling and Optimization of Inhibitive Action of Ocimum basilicum Essential Oil as Green Corrosion Inhibitor for C38 Steel in 0.5 M H2SO4 Medium. Chem. Afr. 2022, 5, 37–55. [Google Scholar] [CrossRef]
- Ganjoo, R.; Sharma, S.; Thakur, A.; Assad, H.; Sharma, P.K.; Dagdag, O.; Berisha, A.; Seydou, M.; Ebenso, E.; Kumar, A. Experimental and theoretical study of Sodium Cocoyl Glycinate as corrosion inhibitor for mild steel in hydrochloric acid medium. J. Mol. Liq. 2022, 364, 119988. [Google Scholar] [CrossRef]
- Obot, I.; Umoren, S.; Gasem, Z.; Suleiman, R.; Ali, B. Theoretical prediction and electrochemical evaluation of vinylimidazole and allylimidazole as corrosion inhibitors for mild steel in 1M HCl. J. Ind. Eng. Chem. 2015, 21, 1328–1339. [Google Scholar] [CrossRef]
- Singh, A.; Shukla, S.; Singh, M.; Quraishi, M. Inhibitive effect of ceftazidime on corrosion of mild steel in hydrochloric acid solution. Mater. Chem. Phys. 2011, 129, 68–76. [Google Scholar] [CrossRef]
- Fouda, A.S.; El-Gharkawy, E.S.; Ramadan, H.; El-Hossiany, A. Corrosion resistance of mild steel in hydrochloric acid solutions by clinopodium acinos as a green inhibitor. Biointerface Res. Appl. Chem. 2021, 11, 9786. [Google Scholar]
- Wu, Y.; Guo, L.; She, Y. Insight on the corrosion inhibition performance of psidium guajava linn leaves extract. J. Mol. Liq. 2022, 346, 117858. [Google Scholar] [CrossRef]
- Moradi, A.; Ranjbar, Z.; Guo, L.; Javadpour, S.; Chang, J. DFT calculations, molecular simulations, and electrochemical investigations of Nature-inspired phytochemical attributes of Achillea Millefolium plants for the construction of effective zinc-based organic anti-corrosion layer on carbon steel. J. Taiwan Inst. Chem. Eng. 2021, 129, 273–288. [Google Scholar] [CrossRef]
- Haldhar, R.; Prasad, D.; Nguyen, L.; Kaya, S.; Bahadur, I.; Dagdag, O.; Kim, S.-C. Corrosion inhibition, surface adsorption and computational studies of Swertia chirata extract: A sustainable and green approach. Mater. Chem. Phys. 2021, 267, 124613. [Google Scholar] [CrossRef]
- Aslam, R.; Mobin, M.; Huda, O.I.; Alamri, A. Ionic liquids derived from α-amino acid ester salts as potent green corrosion inhibitors for mild steel in 1M HCl. J. Mol. Liq. 2020, 318, 113982. [Google Scholar] [CrossRef]
- Ouadi, Y.; Lamsayah, M.; Bendaif, H.; Benhiba, F.; Touzani, R.; Warad, I.; Zarrouk, A. Electrochemical and theoretical considerations for interfacial adsorption of novel long chain acid pyrazole for mild steel conservation in 1 M HCl medium. Chem. Data Collect. 2021, 31, 100638. [Google Scholar] [CrossRef]
- Daoudi, W.; Azzouzi, M.; Dagdag, O.; El Boutaybi, A.; Berisha, A.; Ebenso, E.; Oussaid, A.; El Aatiaoui, A. Synthesis, characterization, and corrosion inhibition activity of new imidazo[1.2-a]pyridine chalcones. Mater. Sci. Eng. B 2023, 290, 116287. [Google Scholar] [CrossRef]
- Zhou, M.; Zhao, C.; Liu, P.; Yu, H. Adsorption behavior of Ti3C2Tx with h-BN nanosheet and their application in waterborne epoxy anti-corrosion coating. Appl. Surf. Sci. 2022, 586, 152778. [Google Scholar] [CrossRef]
- Nabatipour, S.; Mohammadi, S.; Mohammadi, A. Synthesis and comparison of two chromone based Schiff bases containing methoxy and acetamido substitutes as highly sustainable corrosion inhibitors for steel in hydrochloric acid. J. Mol. Struct. 2020, 1217, 128367. [Google Scholar] [CrossRef]
- Berisha, A.; Podvorica, F.; Vataj, R. Corrosion Inhibition Study of Mild Steel in an Aqueous Hydrochloric Acid Solution Using Brilliant Cresyl Blue–a Combined Experimental and Monte Carlo Study. Electrochim. Acta. 2021, 39, 393–401. [Google Scholar] [CrossRef]
- Mehmeti, V. Nystatin Drug as an Effective Corrosion Inhibitor for Mild Steel in Acidic Media- An Experimental and Theoretical Study. Corros. Sci. Technol. 2022, 21, 21–31. [Google Scholar] [CrossRef]
- Dagdag, O.; Safi, Z.; Erramli, H.; Wazzan, N.; Obot, I.; Akpan, E.; Verma, C.; Ebenso, E.; Hamed, O.; El Harfi, A. Anticorrosive property of heterocyclic based epoxy resins on carbon steel corrosion in acidic medium: Electrochemical, surface morphology, DFT and Monte Carlo simulation studies. J. Mol. Liq. 2019, 287, 110977. [Google Scholar] [CrossRef]
- Dagdag, O.; El Harfi, A.; El Gana, L.; Safi, Z.S.; Guo, L.; Berisha, A.; Verma, C.; Ebenso, E.; Wazzan, N.; El Gouri, M. Designing of phosphorous based highly functional dendrimeric macromolecular resin as an effective coating material for carbon steel in NaCl: Computational and experimental studies. J. Appl. Polym. Sci. 2021, 138, 49673. [Google Scholar] [CrossRef]
- Berdimurodov, E.; Kholikov, A.; Akbarov, K.; Guo, L.; Kaya, S.; Katin, K.; Verma, D.; Rbaa, M.; Dagdag, O.; Haldhar, R. Novel gossypol–indole modification as a green corrosion inhibitor for low–carbon steel in aggressive alkaline–saline solution. Colloids Surf. A Physicochem. Eng. Asp. 2022, 637, 128207. [Google Scholar] [CrossRef]
- Qiang, Y.; Zhang, S.; Tan, B.; Chen, S. Evaluation of Ginkgo leaf extract as an eco-friendly corrosion inhibitor of X70 steel in HCl solution. Corros. Sci. 2018, 133, 6–16. [Google Scholar] [CrossRef]
- Yilmaz, N.; Fitoz, A.; Emregül, K.C. A combined electrochemical and theoretical study into the effect of 2-((thiazole-2-ylimino)methyl)phenol as a corrosion inhibitor for mild steel in a highly acidic environment. Corros. Sci. 2016, 111, 110–120. [Google Scholar] [CrossRef]
- Dagdag, O.; Haldhar, R.; Kim, S.-C.; Safi, Z.; Wazzan, N.; Mkadmh, A.; Berisha, A.; Berdimurodov, E.; Jodeh, S.; Nwanna, E.; et al. Synthesis, physicochemical properties, theoretical and electrochemical studies of tetraglycidyl methylenedianiline. J. Mol. Struct. 2022, 1265, 133508. [Google Scholar] [CrossRef]
- Hsissou, R.; Bekhta, A.; Elharfi, A.; Benzidia, B.; Hajjaji, N. Theoretical and electrochemical studies of the coating behavior of a new epoxy polymer: Hexaglycidyl ethylene of methylene dianiline (HGEMDA) on E24 steel in 3.5% NaCl. Port. Electrochim Acta 2018, 36, 101–117. [Google Scholar] [CrossRef]
- Berdimurodov, E.; Kholikov, A.; Akbarov, K.; Guo, L.; Kaya, S.; Verma, D.; Rbaa, M.; Dagdag, O. Novel glycoluril pharmaceutically active compound as a green corrosion inhibitor for the oil and gas industry. J. Electroanal. Chem. 2022, 907, 116055. [Google Scholar] [CrossRef]
- Haldhar, R.; Prasad, D.; Bahadur, I.; Dagdag, O.; Kaya, S.; Verma, D.; Kim, S.-C. Investigation of plant waste as a renewable biomass source to develop efficient, economical and eco-friendly corrosion inhibitor. J. Mol. Liq. 2021, 335, 116184. [Google Scholar] [CrossRef]
- El Faydy, M.; About, H.; Warad, I.; Kerroum, Y.; Berisha, A.; Podvorica, F.; Bentiss, F.; Kaichouh, G.; Lakhrissi, B.; Zarrouk, A. Insight into the corrosion inhibition of new bis-quinolin-8-ols derivatives as highly efficient inhibitors for C35E steel in 0.5 M H2SO4. J. Mol. Liq. 2021, 342, 117333. [Google Scholar] [CrossRef]
- Dagdag, O.; El Harfi, A.; Safi, Z.; Guo, L.; Kaya, S.; Verma, C.; Ebenso, E.; Wazzan, N.; Quraishi, M.; El Bachiri, A.; et al. Cyclotriphosphazene based dendrimeric epoxy resin as an anti-corrosive material for copper in 3% NaCl: Experimental and computational demonstrations. J. Mol. Liq. 2020, 308, 113020. [Google Scholar] [CrossRef]
- Molhi, A.; Hsissou, R.; Damej, M.; Berisha, A.; Thaçi, V.; Belafhaili, A.; Benmessaoud, M.; Labjar, N.; El Hajjaji, S. Contribution to the corrosion inhibition of C38 steel in 1 M hydrochloric acid medium by a new epoxy resin PGEPPP. Int. J. Corros. Scale Inhib. 2021, 10, 399–418. [Google Scholar]
- Ouass, A.; Galai, M.; Ouakki, M.; Ech-Chihbi, E.; Kadiri, L.; Hsissou, R.; Essaadaoui, Y.; Berisha, A.; Cherkaoui, M.; Lebkiri, A.; et al. Poly(sodium acrylate) and Poly(acrylic acid sodium) as an eco-friendly corrosion inhibitor of mild steel in normal hydrochloric acid: Experimental, spectroscopic and theoretical approach. J. Appl. Electrochem. 2021, 51, 1009–1032. [Google Scholar] [CrossRef]















| Inhibitor | 308 K | 318 K | 328 K | (kJ/mol) | (kJ/mol) | (J mol−1 K−1) | |||
|---|---|---|---|---|---|---|---|---|---|
| CR (g/cm2·h) | CR (g/cm2·h) | CR (g/cm2·h) | |||||||
| HCl | 1.426 | - | 2.610 | - | 3.983 | - | 43.20 | 40.56 | −110.75 |
| CHA | 0.126 | 91.16 | 0.313 | 88.01 | 0.804 | 79.81 | 77.79 | 75.15 | −18.95 |
| Inh | Conc. | Ecorr (mV/SCE) | icorr (mA/cm2) | Tafel’s Slopes | ||
|---|---|---|---|---|---|---|
| βa (mV) | −βc (mV) | |||||
| HCl | 1 M | −466.39 | 3.445 | 184.40 | 179.90 | - |
| CHA | 200 mg/L | −476.00 | 1.502 | 140.90 | 176.20 | 56.40 |
| 400 mg/L | −474.26 | 1.095 | 128.40 | 200.60 | 68.21 | |
| 600 mg/L | −480.01 | 0.339 | 109.60 | 187.60 | 90.16 | |
| 800 mg/L | −454.31 | 0.104 | 90.40 | 144.80 | 96.98 | |
| Inh. | Conc. | Rs (Ω·cm2) | Rct (Ω·cm2) | n | Q (mF·Sn−1) | Cdl (μF/cm2) | τ (s) | χ2 ×10−3 | θ | |
|---|---|---|---|---|---|---|---|---|---|---|
| HCl | 1 M | 2.07 | 9.34 | 0.809 | 0.631 | 198.1 | 0.0018 | 1.82 | - | - |
| CHA | 200 mg/L | 2.21 | 16.06 | 0.796 | 0.459 | 131.2 | 0.0021 | 0.4 | 41.48 | 0.4148 |
| 400 mg/L | 2.39 | 23.11 | 0.808 | 0.394 | 112.1 | 0.0026 | 1.14 | 59.58 | 0.5958 | |
| 600 mg/L | 2.37 | 166 | 0.813 | 0.096 | 40.76 | 0.0068 | 1.32 | 94.37 | 0.9437 | |
| 800 mg/L | 1.99 | 252.6 | 0.810 | 0.095 | 38.97 | 0.0098 | 1.66 | 96.17 | 0.9617 |
| Green Inhibitor | Medium and Substrate | Concentration | Ref. | |
|---|---|---|---|---|
| Clinopodium acinos | Mild Steel in HCl | 300 ppm | 92.2 | [47] |
| Psidium guajava linn leaves | Copper in H2SO4 | 600 mg/L | 92.5 | [48] |
| Beta vulgaris | Mild Steel in HCl | 4 g/L | 85.77 | [18] |
| Achillea Millefolium | Mild Steel in NaCl | 700 ppm | 91.23 | [49] |
| Psidium guajava linn leaves | Copper in H2SO4 | 600 mg/L | 92.5 | [49] |
| Swertia chirata | Mild Steel in H2SO4 | 500 mg/L | 92.32 | [50] |
| Akebia trifoliate koiaz peels | Mild Steel in HCl | 800 mg/L | 90 | [5] |
| Artemisia herba-alba | Mild Steel in HCl | 800 mg/L | 96.17 | In this work |
| Theoretical Parameters | Biopolymer CHA |
|---|---|
| EHOMO (eV) | −5.812 |
| ELUMO (eV) | 1.172 |
| ∆E (EHOMO − ELUMO) (eV) | 6.984 |
| I (eV) | 5.812 |
| A (eV) | −1.172 |
| χ (eV) | 2.320 |
| η (eV) | 3.492 |
| σ (eV−1) | 0.286 |
| Chemical potential (μ) | −2.320 |
| ∆N | 0.670 |
| ∆Eback-donation | −0.873 |
Disclaimer/Publisher’s Note: The statements, opinions and data contained in all publications are solely those of the individual author(s) and contributor(s) and not of MDPI and/or the editor(s). MDPI and/or the editor(s) disclaim responsibility for any injury to people or property resulting from any ideas, methods, instructions or products referred to in the content. |
© 2023 by the authors. Licensee MDPI, Basel, Switzerland. This article is an open access article distributed under the terms and conditions of the Creative Commons Attribution (CC BY) license (https://creativecommons.org/licenses/by/4.0/).
Share and Cite
Daoudi, W.; El Aatiaoui, A.; Dagdag, O.; Zaidi, K.; Haldhar, R.; Kim, S.-C.; Oussaid, A.; Aouinti, A.; Berisha, A.; Benhiba, F.; et al. Anti-Corrosion Coating Formation by a Biopolymeric Extract of Artemisia herba-alba Plant: Experimental and Theoretical Investigations. Coatings 2023, 13, 611. https://doi.org/10.3390/coatings13030611
Daoudi W, El Aatiaoui A, Dagdag O, Zaidi K, Haldhar R, Kim S-C, Oussaid A, Aouinti A, Berisha A, Benhiba F, et al. Anti-Corrosion Coating Formation by a Biopolymeric Extract of Artemisia herba-alba Plant: Experimental and Theoretical Investigations. Coatings. 2023; 13(3):611. https://doi.org/10.3390/coatings13030611
Chicago/Turabian StyleDaoudi, Walid, Abdelmalik El Aatiaoui, Omar Dagdag, Kaoutar Zaidi, Rajesh Haldhar, Seong-Cheol Kim, Abdelouahad Oussaid, Abdelouahad Aouinti, Avni Berisha, Fouad Benhiba, and et al. 2023. "Anti-Corrosion Coating Formation by a Biopolymeric Extract of Artemisia herba-alba Plant: Experimental and Theoretical Investigations" Coatings 13, no. 3: 611. https://doi.org/10.3390/coatings13030611
APA StyleDaoudi, W., El Aatiaoui, A., Dagdag, O., Zaidi, K., Haldhar, R., Kim, S.-C., Oussaid, A., Aouinti, A., Berisha, A., Benhiba, F., Ebenso, E. E., & Oussaid, A. (2023). Anti-Corrosion Coating Formation by a Biopolymeric Extract of Artemisia herba-alba Plant: Experimental and Theoretical Investigations. Coatings, 13(3), 611. https://doi.org/10.3390/coatings13030611

