Abstract
This work aimed to determine the influence of biopolymer coatings based on pumpkin oil cake, with and without the addition of Mentha piperita essential oil, on the quality and shelf-life of the Afus Ali variety of grapes, stored at room temperature and in the refrigerator. Furthermore, a 10% (w/w) aqueous solution of composite pumpkin oil cake (PuOC) with the addition of 30% glycerol was prepared at 60 °C and pH 10. The active biopolymer coating was prepared similarly by adding 1% (v/v) Mentha piperita essential oil. The quality of packed grapes was tested by determining the dry matter content, total sugar content, total acidity, alcohol content, total phenolic compounds content, and total flavonoid content, as well as by determining the antioxidant activity, through the application of the DPPH, FRAP and ABTS tests. Additionally, microbiological parameters were investigated: total aerobic microbial count, yeasts, and molds. The obtained results proved that in all tested samples, over a certain period of time, the content of dry matter, content of phenolic and flavonoids substances and sugar content decreased as a consequence of the spoilage of grapes, that is, the consumption of sugar for the production of alcohol, which consequently leads to the total acidity increasing. The application of lower storage temperatures and active coating (with Mentha piperita essential oil) had a positive effect on all inevitable reactions. Grapes’ antioxidant potential may be enhanced or maintained by applying PuOC coating with or without Mentha piperita essential oil, which is best observed in the case of the DPPH test. The uncoated sample stored at room temperature had the largest decrease in DPPH values during storage, with changes ranging from 2.119 mg/g to 1.471 μmol mg/g. The samples, coated with PuOC and PuOC with the addition of essential oil, had uniform DPPH values throughout the entire storage period. Additionally, regarding phenolic content, at the end of storage period the highest phenolic content was observed in samples with active coating stored at room temperature (734.746 ± 2.462) and at refrigerator temperature (680.827 ± 0.448) compared with untreated samples and with samples with plain PuOC coating. The presence of active essential oil in the applied coating significantly affected the microbiological profile of grapes during the storage period. Besides the positive impact of the applied lower storage temperature, the effectiveness of the applied active packaging is even greater (microbiological results were in the order of PuOC+essential oil < PuOC < Control). The developed artificial neural networks were found to be adequate for modeling the microbiological profile, antioxidant activity, phenolic and flavonoid content.
1. Introduction
The focus of researchers on creating natural bioplastics from biodegradable biopolymers for food packaging applications has expanded recently. Fossil fuels are a finite resource, and it is essential to discover not only new energy sources but also creative materials to replace plastics made from petroleum [1]. Additionally, the disposal of packaging made of petroleum-based materials has resulted in enormous waste issues and subsequent environmental degradation [2]. The biobased and biodegradable natural polymers are the most intriguing sustainable possible replacements for the fossil sources of plastic products [1,3,4]. Because of their accessibility, environmental friendliness, and capacity to disintegrate via direct consumption, biodegradable polymers, made from natural resources, are regarded as promising alternatives to non-biodegradable synthetic polymers [5].
Even if there is plenty of novel research on this topic, the number of bioplastics generated today is still a small portion compared to oil-based products [2]. On the other hand, the agricultural industry produces a large number of different by-products with biomacromolecules, such as proteins and polysaccharides, so biopolymers from agricultural sources are an intriguing option for producing biodegradable/edible polymers [3].
Oilseed crops, regarded as foods high in energy, are farmed worldwide primarily for edible oil production. Oilseed crops are rich in fibers, antioxidants, vitamins (vitamin E, niacin, and folate), minerals (phosphorus, iron, and magnesium), and monounsaturated and polyunsaturated fatty acids [3]. One of the main byproducts of the oil extraction from oilseeds is seed oil cake, accounting for about 50% of the original seed total weight. Traditionally, either a screw press or solvents are used to extract the oil from oilseeds. The co-product that comes directly from the expeller is referred to as “cake,” but the co-product that has gone through an extra, mostly organic solvent-based de-oiling process is referred to as “meal.” However, there is some ambiguity in how both names are used [6].
According to USDA [7], in 2021/22 world production of major oilseeds (copra, cottonseed, palm kernel, peanut, rapeseed, soybean and sunflower seed) was 604.61 million metric tons. However, despite the enormous amount of agricultural biomass produced worldwide, only a small portion of it is currently used for applications other than those related to human nutrition or animal feed.
The aim of this work was to contribute to the application of biopolymer coatings based on oil seed cakes for food packaging. So far, various biopolymers have been applied on grapes with the aim of testing their efficacy, keeping up their quality and/or prolonging the shelf-life of grapes. These uses include: coatings based on starch/gelatin [8], chitosan and polyvinyl alcohol blending with salicylic acid [9], multilayer films composed of chitosan, sodium alginate and carboxymethyl chitosan-ZnO nanoparticles [10], edible coatings composed of alginate, galactomannans, cashew gum, and gelatin [11], starch-based films reinforced with cellulosic nanocrystals and essential oil [12], natamycin-incorporated nano-TiO2/poly(butylene adipate-co-terephthalate) (PBAT)/poly(lactic acid) (PLA) biodegradable active film [13], poly(lactic acid) nanofiber packaging containing essential oils [14], epigallocatechin gallate grafted with pectin [15], etc. The novelty of this work is the application of composite biopolymers obtained from waste. These products are also applied as active packaging with the aim to keep up the quality of grapes and prolong their shelf-life.
After cold-pressing the oil from pumpkin seeds (Cucurbita pepo L.), a byproduct known as pumpkin oil cake (PuOC) is produced. Unfortunately, the majority of this cake is either consumed as animal feed or exposed. The purest form of pumpkin seed protein, PuOC, contains 63% proteins, 12% carbohydrates, 4.5% crude fiber, 8.4% oils, and 13% of other components [16]. Pumpkin oil cake was examined by Popovic et al. [17] and Hromiš et al. [18] where the influence of process parameters on the properties of the obtained biopolymer films was examined. The possibility of forming pouches was the next area of investigation into potential uses for PuOC films. Because PuOC films do not have the ability to seal in heat, they were laminated using zein, a material that possesses the aforementioned properties [19]. Earlier work [20] pointed at the antioxidant activity of PuOC films without incorporating any active components. It was further proven that such films can be used as active packaging material and that the addition of essential oils could improve their properties [21,22]. Since it has been proven that pouches made of pumpkin oil cake-based films can preserve modified atmosphere conditions [23], they have been used for flaxseed oil packaging. It was proven that pumpkin oil cake-based packaging could ensure good oxidative stability without inducing significant changes in oil composition [24].
In this work, the biopolymer coating based on the pumpkin oil cake, native and activated with Mentha piperita essential oil, was applied by the immersion method to grapes of the Afus Ali variety and the quality of the grapes was monitored during the storage under certain conditions. Additionally, the principal purpose of this study was to investigate the possibility of anticipating the microbiological features (number of aerobic bacteria—TNAB, number of yeasts and molds) and antioxidant parameters (DPPH, FRAP, ABTS, total phenols content—TPC—and total flavonoids content—TFC) of a coating according to time, data of treatment and spread type (introduced as categorical variables), thus developing an artificial neural network model (ANN).
2. Materials and Methods
2.1. Experimental Material
The following materials were procured for the experiment: umpkin oil cake (PuOC) obtained after cold pressing of the oil (Linum, Serbia), glycerol (>99%) (Fisher Chemicals, USA), demineralized (distilled) water (Alfapanon, Serbia), NaOH (Lach-Ner, Czech Republic), Mentha piperita oil extract (Kirka Corporation, Serbia), “Afus ali” grapes purchased from a local store one day before packing. The grapes were harvested in October 2022 from the local vineyard (Južnobački district, Serbia) one day prior to purchase. Damaged grains were discarded. Only grains of similar size, color, and shape were considered for this study.
2.2. Synthesis of a Biopolymer Coating Based on Pumpkin Seed Oil Cake (PuOC)
A 10% (w/w) PuOC aqueous solution was prepared by using distilled water and grounded PuOC, followed by the addition of 0.3 g glycerol/g PuOC. The pH value of the film-forming solution was adjusted to pH 10 by the gradual addition of 50% aqueous NaOH solution on a magnetic stirrer (IKA, Germany). After achieving a pH of 10, the film-forming solution was heated for 20 min in a water bath at 60 °C and finally filtered through nylon mesh. The active biopolymer coating was prepared in the same way with the addition of 1% (v/v) Mentha piperita essential oil at the very end, so that the obtained biopolymer coating was cooled to room temperature. The active biopolymer coating was homogenized using a homogenizer at 166.67 Hz for 1 min (The SilentCrusher M Homogenizer, Heidolph Instruments, Germany).
2.3. Preparation, Packaging and Storage of Grape Samples with and without a Biopolymer Coating Based on Oil Pumpkin Cake
Grapes of the “Afus Ali” variety were immersed in the prepared solutions: PuOC and PuOC with the addition of Mentha piperita essential oil. After soaking for two minutes, the grapes were left to drain off the excess biopolymer coating by using a sieve and then spread on plastic trays and left in room conditions for 2 h to dry. Grapes without an applied coating were used as a control sample. Grape samples were packed into polystyrene trays measuring 17.5 cm × 13 cm and covered with polyethylene stretch film. Half of the samples were stored at room temperature (23 °C), and the other half at refrigerator temperature (4 °C). The sampling of the dynamics of grape samples stored at room temperature was performed on the 2nd, 4th, 6th, 8th and 10th days, and the samples stored at refrigerator temperature were sampled on the 3rd, 6th, 9th, 12th and 15th days. Different sampling days were chosen based on the assumption that the shelf life of samples stored at refrigerator temperature will be longer, and that therefore it is not necessary to sample these samples as often as samples stored at room temperature. In this way, the experiment itself would be simplified. Table 1 explains the sample designations used, while Figure 1 shows the appearance of the samples at the beginning of storage.
Table 1.
Sample labeling and experimental design.
Figure 1.
The appearance of samples at the beginning of storage: (1) Control sample, (2) Grapes coated with PuOC, (3) Grapes coated with activated PuOC with Mentha piperita essential oil.
2.4. Examination of the Quality of Packaged Grapes
2.4.1. Preparation of Liquid Extract
The grape samples were turned into a mash using a stick mixer. About 5 g of the prepared sample was weighed into an Erlenmeyer flask and 50 mL of 95% methanol was poured as an extraction agent. The flasks were covered and placed on a laboratory mixer (Unimax 1010, Heidolph Instruments GmbH & CoKG, Germany) for 24 h in a dark place. After extraction, the samples were filtered into vials and stored in a refrigerator until analysis. Methanolic extracts were used to determine the content of total phenols, total flavonoids and DPPH.
2.4.2. Dry Matter Content
The dry matter content was determined gravimetrically by drying the samples at a temperature of 105 ± 0.5 °C to a constant mass. The percentage of dry matter content is equal to:
wherein:
M0—mass of vessel and auxiliary material (filter paper, sand, glass rod, lid), in g;
M1—mass of the same container with the tested sample before drying, in g;
M2—mass of the same vessel with the tested sample after drying, in g.
2.4.3. Content of Total Sugars
Total sugars were determined by the Luff–Schoorl method [25]. The method is based on the principle that, under certain conditions, reducing sugars (natural inversion) will convert copper sulfate (CuSO4) from Luff’s solution into copper oxide (Cu2O). The unused amount of cupric ions is retitrated with a thiosulfate solution. The amount of sugar from the table is read from the difference between the consumption for the blank and the test. The non-reducing disaccharide (sucrose) must first be inverted, that is, the reducing monosaccharides must be hydrolyzed with an acid, and then determined using Luff’s solution. The difference between the obtained total invert and the natural invert gives the amount of reducing sugars formed by sucrose inversion.
2.4.4. Total Acidity
The total (titratable) acidity of the sample was determined according to ISO 750:1998. It is a volumetric method, using a sodium hydroxide (NaOH) standard solution, with phenolphthalein as an indicator. Total acidity was expressed in g of tartaric acid per 100 g sample [25].
2.4.5. Alcohol Content
Ethanol, separated by distillation, is oxidized with potassium bichromate in the presence of sulfuric acid, and excess potassium bichromate is retitrated with ammonium ferrous sulfate in the presence of the iron-ortho-phenanthroline indicator. The method is applied for the determination of ethanol in fruit and vegetable products where the amount of ethanol does not exceed 5% (m/m).
2.4.6. Content of Total Phenolic Compounds
The content of total phenols in liquid methanolic extracts was determined by the spectrophotometric method according to Folin–Ciocalteu [26]. The reaction mixture for determining the content of total phenols in the sample was prepared by mixing 2 mL of the sample, 2.5 mL of the Folin–Ciocalteu reagent, and 7.5 mL of Na2CO3 in a measuring vessel of 50 mL. The measuring vessel was filled up to the mark with distilled water. Gallic acid was used as a standard. Absorbances were measured at 750 nm. Based on the measured absorbance, the concentration (mg/mL) of phenolic compounds was read from the calibration curve of the standard gallic acid solution, and then the content of total phenolic compounds in the sample was expressed as the gallic acid equivalent (mg GAE/100 g).
2.4.7. Content of Total Flavonoids
The content of total flavonoids in extracts of fresh and dried grapes was determined by the colorimetric method, in accordance with Markham [27]. The reaction mixture was prepared by mixing 1 mL of the extract with 4 mL of the distilled water and 0.3 mL of 5% the NaNO2 solution. The mixture was then incubated for five minutes at room temperature, after which 0.3 mL of a 10% AlCl3 × 6H2O solution was added. After six minutes, when the solution became intensely yellow, 2 mL of NaOH solution was added. The reaction mixture was supplemented with distilled water up to 10 mL and the absorbance was measured at 510 nm. The content of total flavonoids is expressed in catechin equivalents per unit mass of the sample (mg CAE/100 g). A standard catechin solution was used to create the calibration curve.
2.5. Determination of Antioxidant Activity
2.5.1. 2,2-Diphenyl-1-Picryl-Hydrazyl-Hydrate Assay (DPPH)
The DPPH assay was performed using a modified method originally presented in the study by Brand-Williams et al. [28]. A methanolic solution of the DPPH reagent (65 μM) was adjusted by adding methanol to obtain an absorbance of 0.70 (±0.01). The previously prepared extract and DPPH reagent were mixed (0.1 mL + 2.9 mL) in 10 mm glass cuvettes and incubated at room temperature for 60 min. Measurement of the neutralization of free radicals was carried out at 517 nm. A UV/VIS spectrophotometer (LLG-uniSPEC 2 Spectrophotometer) was used for the spectrophotometric measurement of absorbance. Results are expressed as mg Trolox equivalents per g (mg Trolox/g).
2.5.2. Ferric Reducing Antioxidant Power Assay (FRAP)
The FRAP test was performed by a modified method originally presented in the study by Benzie and Strain [29]. The FRAP reagent was prepared from 300 mM acetic buffer (pH 3.6), 10 mM 2,4,6-tripyridyl-s-triazine (TPCTZ) in 40 mmol/L HCl solution and 20 mM/L FeCl3 aqueous solution in the ratio 10:1:1 (v/v/v). Previously prepared extracts and FRAP reagent were mixed (0.1 + 2.9 mL) and incubated in the dark at a temperature of 37 °C for 10 min. After incubation, the absorbance of the sample was measured at 593 nm. The results are expressed as mg equivalent of Fe2+ ions per g (mg Fe2+/g).
2.5.3. ABTS Radical Scavenging Assay (ABTS)
The ABTS test was performed by a modified method described in the study by Re et al. [30]. The ABTS reagent solution was prepared by mixing a 7 mM aqueous solution of 2,2’-azino-bis(3-ethylbenzothiazoline-6-sulfonic acid) diammonium salt (ABTS) and 2.45 mM potassium persulfate in a 1:1 ratio (v/v) and incubating them in the dark at room temperature for 16 h. The ABTS reagent was diluted with 300 mM acetate buffer (pH 3.6) to adjust the absorbance at 0.734 to 0.70 (±0.01). The previously prepared extract and ABTS reagent were mixed (0.1 + 2.9 mL) and incubated in the dark at room temperature for 5 h. After incubation, the absorbance of the sample was measured at 734 nm. A UV/VIS spectrophotometer (LLG-uniSPEC 2 Spectrophotometer) was used for spectrophotometric measurement of absorbance. Results are expressed as mg Trolox equivalents per g (mg Trolox/g).
All measurements were performed in three replicates.
2.6. Microbiological Examination
The preparation of samples for microbiological testing was carried out in accordance with standard ISO 6887-1:2017 [31]. Standard methods were used to enumerate selected groups of microorganisms: total aerobic microbial count [32], total molds and yeasts count [33]. The diluent (buffered peptone water) and all culture media were acquired from HiMedia (Mumbai, India). The number of microorganisms in the tested samples is expressed as colony forming units (cfu) per gram.
The number of microorganisms in the tested samples is expressed as the mean of three measurements with standard deviation.
2.7. Statistical Analyses
Statistical processing of the data was presented by the STATISTICA 10.0 software package (StatSoft Inc., Tulsa, OK, USA). The results were exhibited as mean ± standard deviation of triplicate analyses for all measurements.
Principal component analysis (PCA) was applied to reveal the feasible correlations between measured parameters and employed to categorize objects.
2.7.1. Artificial Neural Network (ANN) Modeling
A multi-layer perceptron model (MLP), which consisted of three layers (input, hidden and output layers), was engaged in the establishment of a model building. Prior to the computation, experimental data were normalized to enhance the behaviour of the ANN. The Broyden–Fletcher–Goldfarb–Shanno (BFGS) algorithm was employed as an iterative method for solving unconstrained nonlinear optimization problems in ANN modeling [34].
The experimental database for ANN was randomly divided into training, cross-validation and testing data (with 60%, 20% and 20% of experimental data, respectively). The training data set was used for the learning cycle of ANN and also for the evaluation of the optimal number of neurons in the hidden layer and the weight coefficient of each neuron in the network [35].
Coefficients associated with the hidden layer were grouped in matrices W1 and B1, while coefficients associated with the output layer were grouped in matrices W2 and B2. The neural network is usually presented using matrix notation (Y is the matrix of the output variables, f1 and f2 are transfer functions in the hidden and output layers, respectively, and X is the matrix of input variables) [34]:
The elements of matrices W1 and W2 were determined during the ANN learning cycle and during the iterative procedure, with an optimization algorithm being used to minimize the error between network outputs and experimental results. The coefficients of determination were used as parameters to check the performance of the obtained ANN model [36].
2.7.2. Global Sensitivity Analysis
Yoon’s global sensitivity equation for the obtained ANN model was exploited to estimate the relative impact of the input parameters (time, temperature and applied coating) on output variables (microbiological profile, antioxidant activity, phenolic and flavonoid content), depending on the designed ANN model weight coefficients [37]:
where: w—weight coefficient in ANN model, i—input variable, j—output variable, k—hidden neuron, n—number of hidden neurons, m—number of inputs.
2.7.3. The Accuracy of the Model
The numerical confirmation of the obtained ANN and RFR models was performed using statistical tests, such as coefficient of determination (r2), reduced chi-square (χ2), mean bias error (MBE), root mean square error (RMSE) and mean percentage error (MPE) methods. These commonly used parameters were calculated according to Puntarić et al., [38]:
where xexp,i were experimental values and xpre,i were the model predicted values, N and n are the number of observations and constants, accordingly.
3. Results and Discussion
3.1. Dry Matter Content
In all tested samples, over time, the content of dry matter decreased (Table 2) from an initial 20.440% to 17.169% for SB10 sample; 18.003% for SU10; 19.405% for FB15 and 19.790% for FU15 sample A greater reduction or loss in dry matter was observed in grapes stored at room temperature, while there were smaller changes in grapes stored at refrigerator (4 °C), which is in accordance with the findings of de Souza et al. [11]. According to Melo et al. [39], water evaporation in the fruit, which can be very large at higher temperatures during storage, is linked to weight loss. Additionally, the coating’s porosity can let water evaporate and lead to weight loss [40], as can the fact that biopolymer structures tend to swell in the presence of humidity, with all these factors causing poor resistance to moisture and water loss [41]. On the other hand, there were higher values of dry matter observed in samples with an active PuOC coating compared to the applied biopolymer itself, which is a consequence of the hydrophobic structure of the added essential oil.
Table 2.
The change in the dry matter content, total sugars/alcohol content and total acidity of packed grapes.
3.2. Content of Total Sugars/Alcohol Content and Total Acidity
It is noticeable that the sugar content changes during storage in both temperature regimes. The decrease in sugar content compared to day 0 is a consequence of the spoilage of grapes, that is, the consumption of sugar for the production of alcohol (Table 2).
Table 2 shows data related to the change in total acidity content, which is expressed in relation to the dry matter of the sample. A trend of increasing total acidity can be observed in samples stored at room temperature (23 °C), as well as those stored in a refrigerator (4 °C). The increase in total acidity was expected due to the grape spoilage during storage. The application of lower storage temperatures contributed to better values of total acidity of the grape samples. Previous research has demonstrated that organic acids and soluble solids are used by respiratory mechanisms to preserve the fruit’s normal activity during storage [42]. Cold storage is considered an additional process that may slowdown the physiological processes in grapes, which in turn may slow the consumption of organic acids [39].
Higher values of total acidity are observed in the sample with biopolymer coating (both with and without the addition of essential oil) compared to the untreated samples in both temperature regimes. On the 10th day of storage for samples stored at room temperature, total acidity was 1.197%, for samples with a coating of 1.382% and for samples with an active coating of 1.401%. The same trend was observed for samples stored at refrigerator temperature: uncoated samples had a total acidity of 1.495%, coated samples 2.014%, and active coated samples 1.969% (whose increase in total acidity value occurred on the 12th day of storage (1.937%)). An increase in total acidity is a consequence of the appearance of spoilage and, given that the grape samples were also visually assessed by the presence of color changes, of spots with molds.
3.3. Determination of Antioxidant Activity
Results of the antioxidant potential of packed grapes are presented in Table 3 and they differ in all evaluated methods (ABTS, DPPH, and FRAP). These differences result from the various mechanisms used in radical antioxidant responses [43]. Although these differences are undeniable, for all antioxidant responses it can be noted that the values are higher in grape samples stored at a lower temperature, regardless of whether an (active) coating based on PuOC was applied.
Table 3.
The change of antioxidant activity, total phenolic compounds and total flavonoids of packed grapes.
The uncoated samples stored at room temperature had the highest decrease in DPPH values during storage, ranging from 2.119 mg/g to 1.471 μmol mg/g. The samples coated with PuOC and PuOC with the addition of essential oil had uniform DPPH values through the entire storage period. The uncoated grape sample stored at refrigerator temperature and samples on the 12th day (sample labeled as F12) had the highest DPPH value (2.961 mg Trolox/g). The same sample also had the highest ABTS (5.82 mg Trolox/g) and FRAP (1.239 mg Fe2+/g) values.
In both groups of samples, there was a slight decrease in capacity for ABTS radical scavenging, although in some samples, the decrease is not linear, which may be a consequence of sample inhomogeneity. The ABTS values on the second and third days of storage are uniform for all samples and range from 3.066 mg Trolox/g to 4.142 mg Trolox/g. Later, during storage, significantly lower values were obtained for samples stored at room temperature, compared to samples stored at refrigerator temperature.
For the FRAP method, the Fe3+ reducing power in all treatments undergoes a slight decline until halfway throughout the storage period, followed by an increase in values, so that the final values are the same as the initial values or slightly higher.
The findings indicate that grapes’ antioxidant potential may be enhanced or maintained by applying PuOC coatings, with or without Mentha piperita essential oil. In all of the samples, the coating application of PuOC (with or without the addition of Mentha piperita essential oil) preserved the antioxidant potential of the grapes, which is in the agreement with Tahir et al. [44]. The reason is that biopolymer coatings regulate the ripening process as well as the hydrolysis reactions and reduce changes in phenolic compounds, effects which can have an impact on grapes’ antioxidant potential [45].
3.4. Content of Total Phenolic Compounds and Total Flavonoids
Table 3 shows data related to the change in the composition of total phenolic compounds. The presence of phenolic compounds was found in all tested samples. Phenol substances are positively correlated to the quality of grapes and with the antioxidant activity of grapes. As can be noted from Table 3, the values for the content of phenolic substances in grapes varied during storage with a slight decreasing trend. The underlying mechanism is related to the activity of polyphenol oxidase and peroxidase present in grapes [46]. Polyphenol oxidase can oxidize polyphenols into quinones in an aerobic environment, which has the effect of promoting grape browning and polyphenols content reductions [47]. At the end of storage period, the highest phenolic content was observed for samples with active coating stored at room temperature (734.746 ± 2.462) and at refrigerator temperature (680.827 ± 0.448) compared with untreated samples and with samples with plain PuOC coating.
The presence of flavonoids was also found in all tested samples. Similar to the phenolic content, a discrete decrease in the flavonoid content can be observed during the storage period, which is in agreement with the findings of Lo’ay et al. [9]. In general, higher values were obtained for samples stored at refrigerator temperature compared to samples stored at room temperature. According to the obtained results presented in Table 3, the contribution of PuOC coating to the preservation of flavonoid content is significant compared to that of untreated samples and samples with an active PuOC coating with the addition of Mentha piperita essential oil.
3.5. Microbiological Examination
Table 4 provides results related to the microbiological profile of grape samples. High initial values for total aerobic microbial count were observed, which affected all other values during storage. Although the obtained results are uneven, it can be noted that the application of an active PuOC coating with the addition of Mentha piperita essential oil is the most important factor for the microbiological stability of grapes packaged at room temperature. SU10 sample had 0.777 × 107 cfu/g, compared with SB10 sample (1.157 × 107 cfu/g) and compared with the uncoated S10 sample (1.52 × 107 cfu/g). The grape quality preservation implies the application of lower temperatures, which was confirmed because the values on 21st day for samples stored at refrigerator temperature were significantly lower (in the range 0.065 × 107–0.237 × 107 cfu/g) than those for samples stored on 10th day at room temperature (0.777 × 107–1.52 × 107 cfu/g).
Table 4.
The change of microbiological profile of packed grapes.
The results of yeast determination showed that the influence of storage temperature is negligible. On the other hand, the application of an active coating based on PuOC is more significant because, for all tested samples, on each sampling day, lower values were obtained compared to untreated samples, as well as for samples with only a coating based on PuOC. This would mean that the biggest contribution to the low presence of mold is the application of Mentha piperita essential oil. The total number of yeasts in each sample group was in the order of PuOC+essential oil < PuOC < Control.
The same results were obtained when determining molds. In each tested sample group, the lowest values were obtained for samples coated with added essential oil, i.e., for which an active coating was applied. The first significant increase in the mold value of the samples stored at room temperature was observed on the sixth day and for the untreated sample (S6) was 0.627 × 105 cfu/g. In samples stored at refrigerator temperature, the increase in the number of molds was observed at the 12th day, and it was 0.93 × 105 cfu/g for sample FB12. This fact favors the use of lower storage temperatures. By the 21st day of storage, there was a significant increase in the presence of mold, 3.167 × 105 cfu/g for sample F21, 3.6 × 105 cfu/g for sample FB and 0.837 × 105 cfu/g for sample FU21.
Figure 2 displays the appearance of the samples at the end of the experiment (18th and 21st day), when microbiological damage is already visible.
Figure 2.
Samples appearance with visible microbiological decay at 18th and 21st day.
Mentha piperita has various biological activities: antioxidant activities, cytotoxicity activities, anti-inflammatory properties, as well as antimicrobial activities [48]. According to [49], Mentha piperita common major components are menthol (oxygenated monoterpene), menthone (oxygenated monoterpene), carvone (oxygenated monoterpene), anethole (phenylproprenoid), 1,8-cineole (oxygenated monoterpene) and common minor components are menthyl acetate, limonene (monoterpene hydrocarbon), α-pinene (monoterpene hydrocarbon), β-pinene (monoterpene hydrocarbon) and myrcene (monoterpene hydrocarbon).
The structural functional groups of major components play an important role in the biological activity of essential oils. Menthol and menthone are cyclic and oxygenated monoterpenes that play essential roles in the disorganization of cell membrane structures, causing depolarization and physical or chemical alterations, thereby disrupting metabolic activities [50]. These major active components penetrate the cell membrane and target the ergosterol biosynthesis pathway, thus impairing its biosynthesis. Simultaneously, they react with the membrane itself with their reactive hydroxyl moiety, and the extensive lesion on the membrane is a combined effect of the two events [51]. Minor components also significantly influence the antimicrobial properties of the Mentha piperita essential oil through synergistic interactions [52].
According to the available literature, Mentha piperita has very strong antimicrobial potential against various bacteria, yeasts and molds [51,53,54,55]. As such, numerous applications in the food industry have been conducted [50,56,57]. The results of this research support the fact about the antimicrobial effect of the Mentha piperita essential oil when it is incorporated into a biopolymer coating.
3.6. PCA Analysis
The points displayed in the PCA graphic, which are numerically in close vicinity to each other, demonstrate the similarity of patterns that portray these data. The direction of the vector explaining the variable in factor space discloses a rising trend of these variables, and the longitude of the vector is relative to the square of the correlation values among the fitting value for the variable and the variable itself. The angles, amidst corresponding variables, denote the degree of their correlations (minor angles corresponding to elevated correlations).
The PCA of the microbiological data explained that the first two components accounted for 81.63% of the total variance (47.85 and 33.78%, respectively) in the three-variable factor space (microbiological parameters). Considering the mapping of the PCA performed on the data, molds (which contributed 19.4% of the total variance, based on correlations) exhibited positive scores according to the first principal component, whereas TNAB (50.8%) and yeasts (29.8%) showed negative score values according to the first principal component (Figure 3a). A positive contribution to the second principal component calculation was observed for: yeasts (40.0% of the total variance, based on correlations) and molds (60.0%).
Figure 3.
PCA ordination of variables based on component correlations for: (a) microbiological features (TNAB, number of yeasts and molds) and (b) antioxidant parameters (DPPH, FRAP, ABTS, TPC and TFC).
The PCA of the antioxidant data explained that the first two components accounted for 94.44% of the total variance (85.62% and 8.82%, respectively) in the six-variable factor space (antioxidant data). Considering the mapping of the PCA performed on the data, DPPH (which contributed 12.6% of the total variance, based on correlations), FRAP (12.3%), ABTS (13.2%), and TFC (14.2%) exhibited negative scores according to the first principal component (Figure 3b). A positive contribution to the second principal component calculation was observed for TPC (90.4% of the total variance, based on correlations).
According to Figure 4a, there is a positive correlation between total aerobic microbial count and yeast count (r = 0.342). On the other hand, correlation between TNAB and mold content is negative. There are positive correlations between DPPH, FRAP, ABTS, TPC and TFC (Figure 4b). The highest positive correlations were found between ABTS and TFC (r = 0.928), DPPH and TFC (r = 0.920), DPPH and FRAP (r = 0.857), (Figure 4b).
Figure 4.
Color correlation diagram between: (a) total aerobic microbial count, yeasts, and molds count and (b) DPPH, FRAP, ABTS, total phenolic compounds content, and total flavonoid content.
3.7. ANN Model
The calculated optimal neural network model for microbiological parameters, such as the number of aerobic bacteria (TNAB), yeasts and molds count showed adequate generalization capabilities for the modeling of experimental results: The optimum number of neurons in the hidden layer of ANN model was 10 (network MLP 7-10-3) (Table 5), while the r2 values were: 0.742; 0.659; and 0.792, accordingly, during the training, testing and validation cycles for output variables, for the training, testing and validation cycles for output variables.
Table 5.
Artificial neural network model summary (performance and errors), for training, testing and validation cycles.
The optimal neural network model for antioxidant parameters, such as DPPH, FRAP, ABTS, TPC and TFC, showed quite good generalization capabilities for the modeling of experimental results: the optimum number of neurons in the hidden layer of ANN model was 10 (network MLP 7-10-5) (Table 5), while the r2 values were: 0.982; 0.956 and 0.960, accordingly, during the training, testing and validation cycles for output variables, for the training, testing and validation cycles for output variables.
The obtained r2 values during the testing cycle were: 0.652; 0.799 and 0.780 for TNAB, yeasts and molds count modeling, while the obtained r2 values for DPPH, FRAP, ABTS, TPC and TFC were: 0.978; 0.967; 0.954; 0.984 and 0.995.
The goodness of fit between experimental results and model-calculated outputs, represented as ANN performance (sum of r2 between measured and calculated TNAB, Yeasts, Molds, DPPH, FRAP, ABTS, TPC and TFC), observed during training, testing and validation steps, are shown in Table 6.
Table 6.
The “goodness of fit” tests for the developed ANN model.
The ANN model predicted experimental variables (TNAB, yeasts and molds, DPPH, FRAP, ABTS, TPC and TFC) reasonably well for a broad range of the process variables (as seen in Figure 5, where the experimentally measured and ANN model predicted values of TNAB, Yeasts and Molds are presented).
Figure 5.
Comparison between experimentally obtained and model-predicted values of TNAB (a), Yeasts (b), Molds (c), DPPH (d), FRAP (e), ABTS (f), TPC (g) and TFC (h).
The efficiency of the ANN model in modeling TNAB, yeasts and molds is graphically illustrated by scatter plots (Figure 5). In most scatter plots, data are distributed with large dispersion, indicating low prediction accuracy.
The results obtained from the database were fitted to the developed ANN model. Reduced chi-square (χ2), root mean square error (RMSE), mean bias error (MBE), mean percentage error (MPE), and coefficient of determination (r2) were calculated statistical parameters applied for the determination of fitting quality between database and the developed model. The particularly high values of r2 and low values of χ2, RMSE, MBE and MPE suggested adequate fit (Table 6). The ANN model showed better fit to DPPH, FRAP, ABTS, TPC and TFC data, according to relatively low χ2, RMSE, MBE, and MPE, as well as the high r2 values (Table 6).
The ANN models satisfactorily modelled experimental variables for various process variables.
For the ANN model, the model calculated TNAB, Yeasts and Molds, were not too close to the experimental values in most cases in terms of r2 values, while the sum of squares (SOS) values acquired using the ANN model were of the same order of magnitude as experimental errors for the outputs mentioned in the literature [58,59,60].
The ANN model predicted experimental variables (DPPH, FRAP, ABTS, TPC and TFC) reasonably well for a broad range of the process variables (as seen in Figure 1, where the experimentally measured and ANN model predicted values of DPPH, FRAP, ABTS, TPC and TFC are presented).
The efficiency of the ANN model in modeling DPPH, FRAP, ABTS, TPC and TFC is graphically illustrated by scatter plots (Figure 5). In most scatter plots, data are distributed with large dispersion, indicating low prediction accuracy.
The developed ANN model for TNAB, yeast and mold modeling consisted of 113 weights-bias coefficients, while the developed ANN model for DPPH, FRAP, ABTS, TPC and TFC modeling consisted of 168 weights-bias coefficients showing the high nonlinearity of the system [61,62,63].
Table 7 presents the elements of matrix W1 and vector B1, while Table 8 presents the elements of matrix W2 and vector B2. These were derived during the ANN model development using Equation (1). The goodness of fits between experimental and model-calculated results were shown in Table 3.
Table 7.
Elements of matrix W1 and vector B1 (presented in the bias column).
Table 8.
Elements of matrix W2 and vector B2 (presented in the bias column).
Table 9 presents the elements of matrix W1 and vector B1 (presented in the bias column), and Table 10 presents the elements of matrix W2 and vector B2 (bias) for the hidden layer, used for calculation in Equation (1).
Table 9.
Elements of matrix W1 and vector B1 (presented in the bias column).
Table 10.
Elements of matrix W2 and vector B2 (presented in the bias column).
The quality of the model fit was tested, and the residual analysis of the developed model was presented in Table 8. The ANN model had an insignificant lack of fit tests, which means the model satisfactorily predicted the pig carcass compositions. A high r2 is indicative that the variation was accounted for and that the data fitted the proposed model.
Global Sensitivity Analysis—Yoon’s Interpretation Method
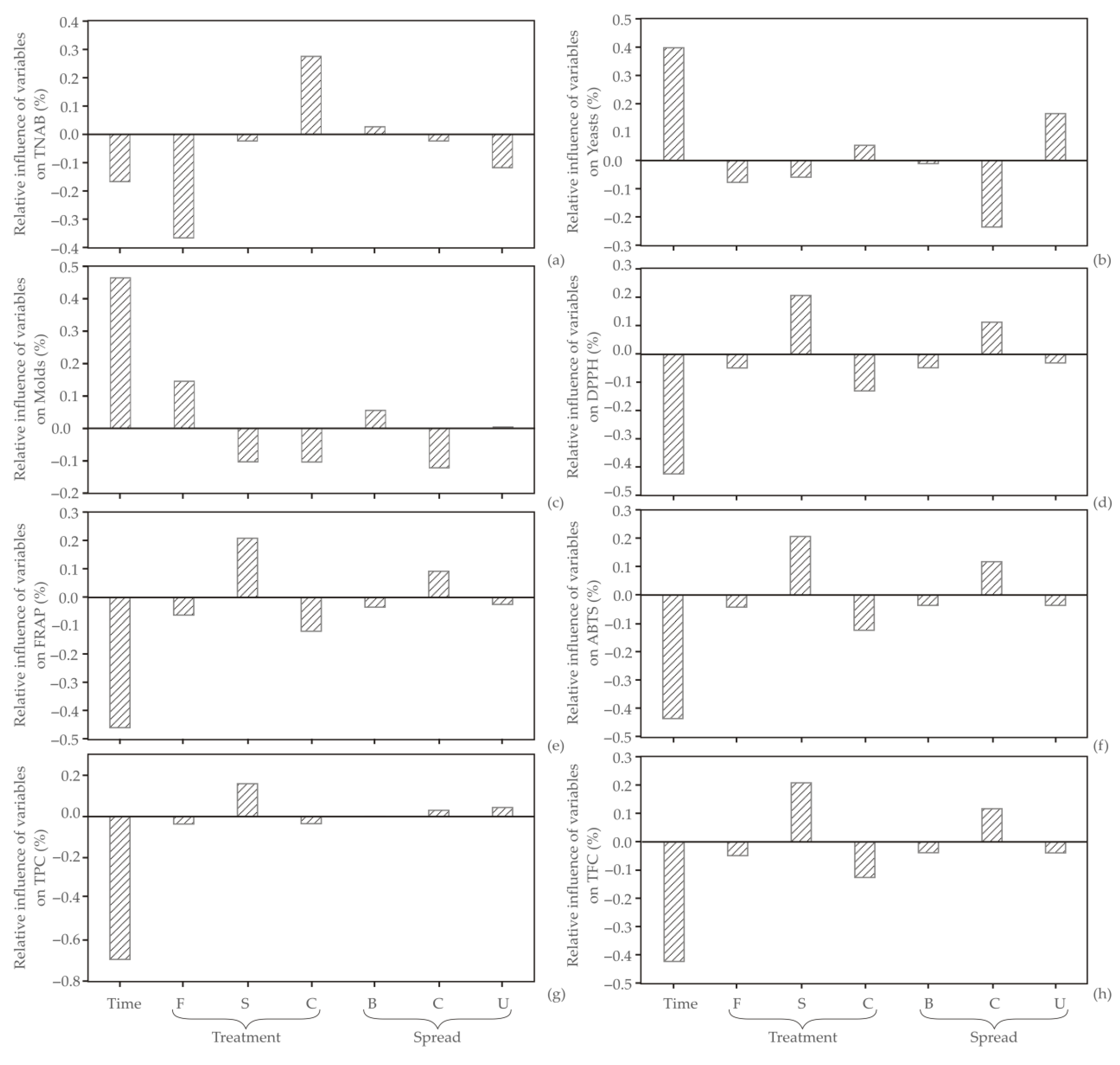
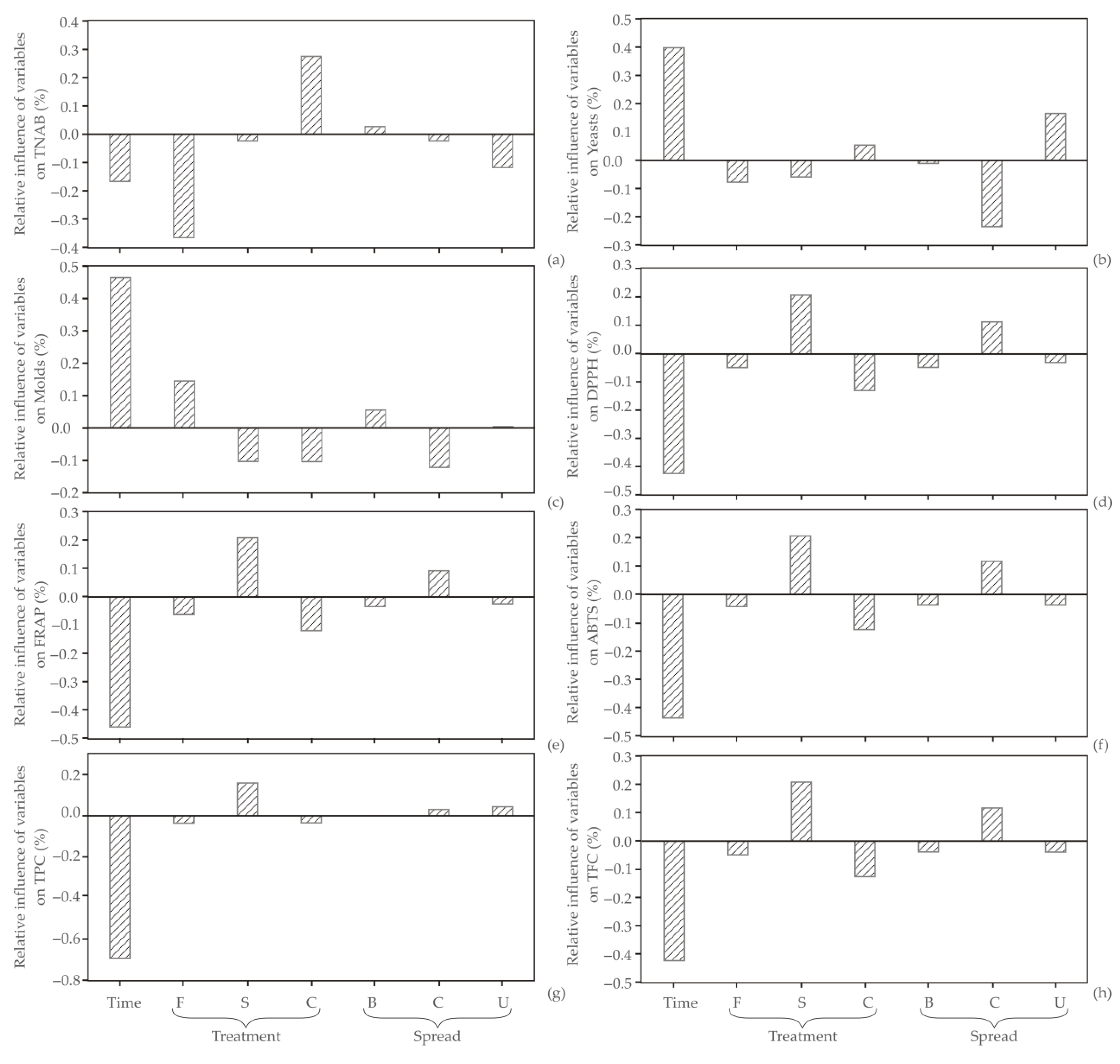
The effects of analytical method parameters (time, temperature, and applied coating) on the determination of output variables (microbiological profile, antioxidant activity, phenolic, and flavonoid content) was analyzed by employing Yoon’s global sensitivity equation corresponding to the weight coefficients of the obtained ANN model [64,65]. Following the global sensitivity analysis of a displayed ANN model, the graphical illustration of Yoon’s interpretation method results was shown in Figure 6. Time was the most positively influential parameter influencing yeasts and molds count, with an approximately relative importance of +39.83% and +46.52%, respectively. On the other hand, the time influence on the TNAB count was quite the opposite −16.71%. The most negative effect on yeasts and olds count was observed for spread (c) (−23.52% and −12.21%, accordingly), as shown in Figure 6a–c.
Figure 6.
The relative importance of the time, treatment and coatings on: (a) TNAB, (b) yeasts, (c) molds count, (d) DPPH, (e) FRAP, (f) ABTS, (g) TPC and (h) TFC determined using Yoon’s interpretation method. Treatments: C—control (untreated), F—sample stored at refrigerator temperature, S—sample kept under room temperature, Spread type: C—control (uncoated), B—biopolymer coating; U—biopolymer coating with the addition of essential oil.
Furthermore, time was the most negatively influential parameter for antioxidant parameters (DPPH, FRAP, and ABTS), total phenols content and total flavonoids content, with approximate relative importance of −42.24%; −45.89%; −43.56%; −69.45% and −42.29%, respectively. On the other hand, sample stored at refrigerator temperature generated the enhanced antioxidant parameters (DPPH, FRAP and ABTS), and total phenols content and total compared to other treatments, expressing the positive influence of storage at refrigerated temperatures with the following relative influences: +20.79%; +20.90%; +20.70%; +15.96% and +20.85%, respectively, Figure 6d–h.
According to the global sensitivity analysis, it can be concluded that the most influential analytical method parameter was time.
4. Conclusions
The results of this paper prove that pumpkin oil cake can be used for the synthesis of biopolymer coating, but also as a carrier for the active component (+essential oil) in order to obtain active packaging. The positive impact of the pumpkin oil cake-based applied coating based on the sustainability of the treated grapes was confirmed, but the effectiveness of the applied active packaging was even greater, especially in terms of microbiological stability.
The exposed results are inspiring because as the approaches using mathematical modeling microbiological and antioxidant parameters during storage were found to be effective tool. The influence of time, treatment and coatings on microbiological and antioxidant parameters was assessed in the sensitivity analysis. The outcomes of this study reveal that number of aerobic bacteria, number of yeasts and molds, as well as antioxidant parameters (DPPH, FRAP and ABTS), total phenols content and total flavonoids content of biopolymers coating based on pumpkin oil cake, activated with Mentha piperita, can be modeled based on time, treatment and coatings, and during storage of packed grapes. This modeling should take place according to reasonably depleted χ2, RMSE, MBE, and MPE, and the increased r2 values. It was confirmed that the artificial neural network is appropriate for the modeling of output variables.
Author Contributions
Conceptualization, D.Š., S.P. and A.T.H.; methodology, D.C., N.H. and J.U.; software, L.P.; validation, A.R., T.D. and S.P.; formal analysis, D.Š., D.C. and T.D.; investigation, A.T.H. and A.R.; resources, D.Š.; data curration, B.L. and L.P.; writing—original draft preparation, D.Š., L.P. and B.L.; writing—review and editing, D.Š., B.L. and A.T.H.; visualization, S.P. and N.H.; supervision, A.T.H.; project administration, D.Š.; funding acquisition, L.P. All authors have read and agreed to the published version of the manuscript.
Funding
This research was funded by Serbian program of the Ministry of Education, Science and Technological Development, grant numbers: 451-03-68/2022-14/200051 and 451-03-68/2022-14/200134.
Institutional Review Board Statement
Not applicable.
Informed Consent Statement
Not applicable.
Data Availability Statement
Not applicable.
Conflicts of Interest
The authors declare no conflict of interest.
References
- Letcher, T.M. (Ed.) Plastic Waste and Recycling: Environmental Impact, Societal Issues; Academic Press: Cambridge, MA, USA, 2020; pp. 1–664. [Google Scholar]
- Porta, R. The plastics sunset and the bio-plastics sunrise. Coatings 2019, 9, 526. [Google Scholar] [CrossRef]
- Mirpoor, S.F.; Valeria, C.; Giosafatto, L.; Porta, R. Biorefining of seed oil cakes as industrial co-streams for production of innovative bioplastics. A review. Trends Food Sci. Technol. 2021, 109, 259–270. [Google Scholar] [CrossRef]
- Ghanbarzadeh, B.; Almasi, H. Boidegradable polymers. In Biodegradation-life of Science; Chamy, R., Rosenkranz, F., Eds.; Tech Publications: Zagreb, Croatia, 2013; pp. 141–186. [Google Scholar]
- Tian, H.; Guo, G.; Fu, X.; Yao, Y.; Yuan, L.; Xiang, A. Fabrication, properties and applications of soy-protein-based materials: A review. Int. J. Biol. Macromol. 2018, 120, 475–490. [Google Scholar] [CrossRef] [PubMed]
- Arrutia, F.; Binner, E.; Williams, P.; Waldron, W. Oilseeds beyond oil: Press cakes and meals supplying global protein requirements. Trends Food Sci. Technol. 2020, 100, 88–102. [Google Scholar] [CrossRef]
- USDA Oilseeds. World Markets and Trade; Circular: Washington, DC, USA, 2022. Available online: https://downloads.usda.library.cornell.edu/usda-esmis/files/tx31qh68h/hq37wz129/wd377597b/oilseeds.pdf (accessed on 22 November 2022).
- Fakhouri, F.M.; Martelli, S.M.; Caon, T.; Velasco, J.I.; Mei, L.H.I. Edible films and coatings based on starch/gelatin: Film properties and effect of coatings on quality of refrigerated Red Crimson grapes. Postharvest Biol. Technol. 2015, 109, 57–64. [Google Scholar] [CrossRef]
- Lo’ay, A.A.; Taha, N.A.; EL-Khateeb, Y.A. Storability of ‘Thompson Seedless’ grapes: Using biopolymer coating chitosan and polyvinyl alcohol blending with salicylic acid and antioxidant enzymes activities during cold storage. Sci. Hortic. 2019, 249, 314–321. [Google Scholar] [CrossRef]
- Wang, H.; Gong, X.; Miao, Y.; Guo, X.; Liu, C.; Fan, Y.-Y.; Zhang, J.; Niu, B.; Li, W. Preparation and characterization of multilayer films composed of chitosan, sodium alginate and carboxymethyl chitosan-ZnO nanoparticles. Food Chem. 2019, 283, 397–403. [Google Scholar] [CrossRef]
- De Souza, W.F.C.; de Lucena, F.A.; da Silva, K.G.; Martins, L.P.; de Castro, R.J.S.; Sato, H.H. Influence of edible coatings composed of alginate, galactomannans, cashew gum, and gelatin on the shelf- life of grape cultivar ‘Italia’: Physicochemical and bioactive properties. LWT 2021, 152, 112315. [Google Scholar] [CrossRef]
- Bangar, S.P.; Whiteside, W.S.; Ozogul, F.; Dunno, K.D.; Cavender, G.A.; Dawson, P. Development of starch-based films reinforced with cellulosic nanocrystals and essential oil to extend the shelf life of red grapes. Food Biosci. 2022, 47, 101621. [Google Scholar] [CrossRef]
- Zheng, Y.; Jia, X.; Zhao, Z.; Ran, Z.; Du, M.; Ji, H.; Pan, Y.; Li, Z.; Ma, X.; Liu, Y.; et al. Innovative natural antimicrobial natamycin incorporated titanium dioxide (nano-TiO2)/ poly(butylene adipate-co-terephthalate) (PBAT) /poly (lactic acid) (PLA) biodegradable active film (NTP@PLA) and application in grape preservation. Food Chem. 2023, 400, 134100. [Google Scholar] [CrossRef]
- Brandão, R.M.; Batista, L.R.; de Oliveira, J.E.; Barbosa, R.B.; Nelson, D.L.; Cardoso, M.G. In vitro and in vivo efficacy of poly (lactic acid) nanofiber packaging containing essential oils from Ocimum basilicum L. and Ocimum gratissimum L. against Aspergillus carbonarius and Aspergillus niger in table grapes. Food Chem. 2023, 400, 134087. [Google Scholar] [CrossRef] [PubMed]
- Huang, X.; Hong, M.; Wang, L.; Meng, Q.; Ke, Q.; Kou, X. Bioadhesive and antibacterial edible coating of EGCG-grafted pectin for improving the quality of grapes during storage. Food Hydrocoll. 2023, 136, 108255. [Google Scholar] [CrossRef]
- Peričin, D.; Radulović, L.J.; Mađarev, S.; Dimić, E. Bioprocess for value added products from oil cakes. J. Edible Oil Ind. 2007, 38, 35–40. [Google Scholar]
- Popović, S.; Peričin, D.; Vaštag, Ž.; Popović, L.J.; Lazić, V. Evaluation of edible film-forming ability of pumpkin oil cake; effect of pH and temperature. Food Hydrocoll. 2011, 25, 470–476. [Google Scholar] [CrossRef]
- Hromiš, N.; Popović, S.; Šuput, D.; Bulut, S.; Lazić, V. Composite films based on pumpkin oil cake obtained by different filtration process. Food Feed Res. 2019, 46, 1–10. [Google Scholar] [CrossRef]
- Bulut, S.; Lazić, V.; Popović, S.; Hromiš, N.; Šuput, D. Influence of different concentrations of glycerol and guar xanthan on properties of pumpkin oil cake-zein bi-layer film. Ratar. I Povrt. 2017, 54, 19–24. [Google Scholar] [CrossRef]
- Popović, S.; Lazić, V.; Popović, L.J.; Vaštag, Ž.; Peričin, D. Effect of the addition of pumpkin oil cake to gelatine to produce biodegradable composite films. Int. J. Food Sci. Technol. 2010, 45, 1184–1190. [Google Scholar] [CrossRef]
- Bulut, S.; Popović, S.; Hromiš, N.; Šuput, D.; Lazić, V.; Kocić-Tanackov, S.; Dimić, G.; Kravić, S. Antibacterial activity of biopolymer composite materials obtained from pumpkin oil cake and winter savory or basil essential oil against various pathogenic bacteria. J. Food Nutr. Res. 2020, 59, 250–258. [Google Scholar]
- Bulut, S.; Popović, S.; Hromiš, N.; Šuput, D.; Adamović, D.; Lazić, V. Incorporation of essential oils into pumpkin oil cake-based materials in order to improve their properties and reduce water sensitivity. Hem. Ind. 2020, 74, 313–325. [Google Scholar] [CrossRef]
- Bulut, S.; Lazić, V.; Popović, S.; Šuput, D.; Hromiš, N.; Popović, L.J. Possibility to maintain modified atmosphere in pouches made from biopolymer materials. In Proceedings of the 3rd International Congress, Food Technology, Quality and Safety, Novi Sad, Serbia, 25–27 October 2016; pp. 122–127. [Google Scholar]
- Hromiš, N.; Lazić, V.; Popović, S.; Šuput, D.; Bulut, S.; Kravić, S.; Romanić, R. The possible application of edible pumpkin oil cake film as pouches for flaxseed oil protection. Food Chem. 2022, 371, 131197. [Google Scholar] [CrossRef]
- ISO 750:1998; Fruit and Vegetable Products—Determination of Titratable Acidity. ISO: Geneva, Switzerland, 1988.
- Singleton, V.L.; Rossi, J.A. Colorimetry of total phenolics with phosphomolybdic-phosphotungstic acid reagents. Am. J. Enol. Vitic. 1965, 16, 144–158. [Google Scholar]
- Harborne, J.B. Methods in plant biochemistry. In Plant Phenolics; Dey, P.M., Harborne, J.B., Eds.; Academic Press: London, UK, 1989; pp. 283–323. [Google Scholar]
- Brand-Williams, W.; Cuvelier, M.E.; Berset, C.L.W.T. Use of a free radical method to evaluate antioxidant activity. Food Sci. Technol. 1995, 28, 25–30. [Google Scholar] [CrossRef]
- Benzie, I.; Strain, J. The ferric reducing ability of plasma (FRAP) as a measure of “antioxidant power: The FRAP assay”. Anal. Biochem. 1996, 239, 70–76. [Google Scholar] [CrossRef] [PubMed]
- Re, R.; Pellegrini, N.; Proteggente, A.; Pannala, A.; Yang, M.; Rice-Evans, C. Antioxidant activity applying an improved ABTS radical cation decolorization assay. Free Radic. Biol. Med. 1999, 26, 1231–1237. [Google Scholar] [CrossRef]
- ISO 6887-1:2017; Microbiology of the Food Chain—Preparation of Test Samples, Initial Suspension and Decimal Dilutions for Microbiological Examination—Part 1: General Rules for the Preparation of the Initial Suspension and Decimal Dilutions. ISO: Geneva, Switzerland, 2017.
- ISO 4833-1:2013; Microbiology of the Food Chain—Horizontal Method for the Enumeration of Microorganisms—Part 1: Colony Count at 30 Degrees C by the Pour Plate Technique. ISO: Geneva, Switzerland, 2013.
- ISO 21527-2:2008; Microbiology of Food and Animal Feeding Stuffs—Horizontal Method for the Enumeration of Yeasts and Moulds—Part 2: Colony Count Technique in Products with Water Activity Greater Than 0.95. ISO: Geneva, Switzerland, 2008.
- Rajković, D.; Jeromela, A.M.; Pezo, L.; Lončar, B.; Grahovac, N.; Špika, A.K. Artificial neural network and random forest regression models for modelling fatty acid and tocopherol content in oil of winter rapeseed. J. Food Compos. Anal. 2023, 115, 105020. [Google Scholar] [CrossRef]
- Pezo, L.; Lončar, B.; Šovljanski, O.; Tomić, A.; Travičić, V.; Pezo, M.; Aćimović, M. Agricultural parameters and essential oil content composition prediction of aniseed, based on growing year, locality and fertilization type—An artificial neural network approach. Life 2022, 12, 1722. [Google Scholar] [CrossRef] [PubMed]
- Vojnov, B.; Jaćimović, G.; Šeremešić, S.; Pezo, L.; Lončar, B.; Krstić, Đ.; Vujić, S.; Ćupina, B. The effects of winter cover crops on maize yield and crop performance in semiarid conditions—Artificial neural network approach. Agronomy 2022, 12, 2670. [Google Scholar] [CrossRef]
- Yoon, Y.; Uysal, M. An examination of the effects of motivation and satisfaction on destination loyalty: A structural model. Tour. Manag. 2005, 26, 45–56. [Google Scholar] [CrossRef]
- Puntarić, E.; Pezo, L.; Zgorelec, Ž.; Gunjača, J.; Kučić Grgić, D.; Voća, N. Prediction of the production of separated municipal solid waste by artificial neural networks in Croatia and the European Union. Sustainability 2022, 14, 10133. [Google Scholar] [CrossRef]
- Melo, N.F.C.B.; de Mendonça, B.L.S.; Diniz, K.M.; Leal, C.F.; Canto, D.; Flores, M.A.P.; da Costa Tavares-Filho, J.H.; Galembeck, A.; Stamford, T.L.M.; Stamford-Arnaud, T.M.; et al. Effects of fungal chitosan nanoparticles as eco-friendly edible coatings on the quality of postharvest table grapes. Postharvest Biol. Technol. 2018, 139, 56–66. [Google Scholar] [CrossRef]
- Meighani, H.; Ghasemnezhad, M.; Bakhshi, D. Effect of different coatings on post-harvest quality and bioactive compounds of pomegranate (Punica granatum L.) fruits. J. Food Sci. Technol. 2014, 52, 4507–4514. [Google Scholar] [CrossRef] [PubMed]
- Farris, S.; Schaich, K.M.; Liu, L.; Piergiovanni, L.; Yam, K.L. Development of polyion-complex hydrogels as an alternative approach for the production of bio-based polymers for food packaging applications: A review. Trends Food Sci. Technol. 2009, 20, 316–332. [Google Scholar] [CrossRef]
- Zhou, R.; Mo, Y.; Li, Y.F.; Zhao, Y.Y.; Zhang, G.X.; Hu, Y.S. Quality and internal characteristics of huanghua pears (Pyrus pyrifolia nakai cv. Huanghua) treated with different kinds of coatings during storage. Postharvest Biol. Technol. 2008, 49, 171–179. [Google Scholar] [CrossRef]
- Zhu, J.J.; Yang, J.J.; Wu, G.J.; Jiang, J.G. Comparative antioxidant, anticancer and antimicrobial activities of essential oils from Semen Platycladi by different extraction methods. Ind. Crops Prod. 2020, 146, 112206. [Google Scholar] [CrossRef]
- Tahir, H.E.; Xiaobo, Z.; Mahunu, G.K.; Arslan, M.; Abdalhai, M.; Zhihua, L. Recent developments in gum edible coating applications for fruits and vegetables preservation: A review. Carbohydr. Polym. 2019, 224, 115141. [Google Scholar] [CrossRef]
- Nair, M.S.; Tomar, M.; Punia, S.; Kukula-Koch, W.; Kumar, M. Enhancing the functionality of chitosan- and alginate-based active edible coatings/films for the preservation of fruits and vegetables: A review. Int. J. Biol. Macromol. 2020, 164, 304–320. [Google Scholar] [CrossRef]
- Kim, I.-H.; Oh, Y.A.; Lee, H.; Song, K.B.; Min, S.C. Grape berry coatings of lemongrass oil-incorporating nanoemulsion. LWT Food Sci. Technol. 2014, 58, 1–10. [Google Scholar] [CrossRef]
- Roux, E.; Billaud, C.; Maraschin, C.; Brun-Merimee, S.; Nicolas, J. Inhibitory effect of unheated and heated D-glucose, D-fructose and L-cysteine solutions and Maillard reaction product model systems on polyphenoloxidase from apple. II. Kinetic study and mechanism of inhibition. Food Chem. 2003, 81, 51–60. [Google Scholar] [CrossRef]
- Eftekhari, A.; Khusro, A.; Ahmadian, E.; Dizaj, S.M.; Hasanzadeh, A.; Cucchiarini, M. Phytochemical and nutra-pharmaceutical attributes of Mentha spp.: A comprehensive review. Arab. J. Chem. 2021, 14, 103106. [Google Scholar] [CrossRef]
- Singh, I.R.; Pulikkal, A.K. Preparation, stability and biological activity of essential oil-based nano emulsions: A comprehensive review. OpenNano 2022, 8, 100066. [Google Scholar] [CrossRef]
- Guerra, I.C.D.; de Oliveira, P.D.L.; de Souza Pontes, A.L.; Lúcio, A.S.S.C.; Tavares, J.F.; Barbosa-Filho, J.M.; Madruga, M.S.; de Souza, E.L. Coatings comprising chitosan and Mentha piperita L. or Mentha × villosa Huds essential oils to prevent common postharvest mold infections and maintain the quality of cherry tomato fruit. Int. J. Food Microbiol. 2015, 214, 168–178. [Google Scholar] [CrossRef] [PubMed]
- Samber, N.; Khan, A.; Varma, A.; Manzoor, N. Synergistic anti-candidal activity and mode of action of Mentha piperita essential oil and its major components. Pharm. Biol. 2015, 53, 1496–1504. [Google Scholar] [CrossRef] [PubMed]
- Riahi, L.; Elferchichi, M.; Ghazghazi, H.; Jebali, J.; Ziadi, S.; Aouadhi, C.; Chograni, H.; Zaouali, Y.; Zoghlami, N.; Mliki, A. Phytochemistry, antioxidant and antimicrobial activities of the essential oils of Mentha rotundifolia L. in tunisia. Ind. Crops Prod. 2013, 49, 883–889. [Google Scholar] [CrossRef]
- Singh, R.; Shushni, M.A.; Belkheir, A. Antibacterial and antioxidant activities of Mentha piperita L. Arabian J. Chem. 2015, 8, 322–328. [Google Scholar] [CrossRef]
- Shalayel, M.H.F.; Asaad, A.M.; Qureshi, M.A.; Elhussein, A.B. Anti-bacterial activity of peppermint (Mentha piperita) extracts against some emerging multi-drug resistant human bacterial pathogens. J. Herb. Med. 2017, 7, 27–30. [Google Scholar] [CrossRef]
- Khusro, A.; Aarti, C.; Agastian, P. Production and purification of anti-tubercular and anticancer protein from Staphylococcushominis under mild stress condition of Mentha piperita L. J. Pharm. Biomed. Anal. 2020, 182, 113136. [Google Scholar] [CrossRef]
- Ed-dra, A.; Filai, F.; Bou-idra, M.; Zekkori, B.; Bouymajane, A.; Moukrad, N.; Benhallam, F.; Bentayeb, A. Application of Mentha suaveolens essential oil as an antimicrobial agent in fresh turkey sausages. J. Appl. Biol. Biotechnol. 2018, 6, 7–12. [Google Scholar]
- Talebi, F.; Misaghi, A.; Khanjari, A.; Kamkar, A.; Gandomi, H.; Rezaeigolestani, M. Incorporation of spice essential oils into poly-lactic acid film matrix with the aim of extending microbiological and sensorial shelf life of ground beef. LWT 2018, 96, 482–490. [Google Scholar] [CrossRef]
- Doumpos, M.; Zopounidis, C. Preference disaggregation and statistical learning for multicriteria decision support: A review. Eur. J. Oper. Res. 2011, 209, 203–214. [Google Scholar] [CrossRef]
- Kollo, T.; von Rosen, D. Distribution expansions. In Advanced Multivariate Statistics with Matrices; Springer: Berlin/Heidelberg, Germany, 2005; pp. 277–354. [Google Scholar]
- Ćurčić, L.J.; Lončar, B.; Pezo, L.; Stojić, N.; Prokić, D.; Filipović, V.; Pucarević, M. Chemometric approach to pesticide residue analysis in surface water. Water 2022, 14, 4089. [Google Scholar] [CrossRef]
- Chattopadhyay, P.B.; Rangarajan, R. Application of ANN in sketching spatial nonlinearity of unconfined aquifer in agricultural basin. Agric. Water Manag. 2014, 133, 81–91. [Google Scholar] [CrossRef]
- Montgomery, R. Canonical formulations of a classical particle in a Yang-Mills field and Wong’s equations. Lett. Math. Phys. 1984, 8, 59–67. [Google Scholar] [CrossRef]
- Demir, H.; Demir, H.; Lončar, B.; Nićetin, M.; Pezo, L.; Yilmaz, F. Artificial neural network and kinetic modeling of capers during dehydration and rehydration processes. J. Food Process Eng. 2022; ahead of print. [Google Scholar] [CrossRef]
- Filipović, V.; Ugrenović, V.; Popović, V.; Dimitrijević, S.; Popović, S.; Aćimović, M.; Dragumilo, A.; Pezo, L. Productivity and flower quality of different pot marigold (Calendula officinalis L.) varieties on the compost produced from medicinal plant waste. Ind. Crop. Prod. 2023, 192, 116093. [Google Scholar] [CrossRef]
- Erceg, T.; Šovljanski, O.; Stupar, A.; Ugarković, J.; Aćimović, M.; Pezo, L.; Tomić, A.; Todosijević, M. A comprehensive approach to chitosan-gelatine edible coating with β-cyclodextrin/lemongrass essential oil inclusion complex—Characterization and food application. Int. J. Biol. Macromol. 2022, 228, 400–410. [Google Scholar] [CrossRef]
Disclaimer/Publisher’s Note: The statements, opinions and data contained in all publications are solely those of the individual author(s) and contributor(s) and not of MDPI and/or the editor(s). MDPI and/or the editor(s) disclaim responsibility for any injury to people or property resulting from any ideas, methods, instructions or products referred to in the content. |
© 2023 by the authors. Licensee MDPI, Basel, Switzerland. This article is an open access article distributed under the terms and conditions of the Creative Commons Attribution (CC BY) license (https://creativecommons.org/licenses/by/4.0/).





