Effect of Annealing in ITO Film Prepared at Various Argon-and-Oxygen-Mixture Ratios via Facing-Target Sputtering for Transparent Electrode of Perovskite Solar Cells
Abstract
1. Introduction
2. Experimental Details
2.1. Sputtering Conditions and ITO-Film Coating
2.2. Chemical Materials and Fabrication for Perovskite Solar Cells (PSCs)
2.3. Characteristic Measurements
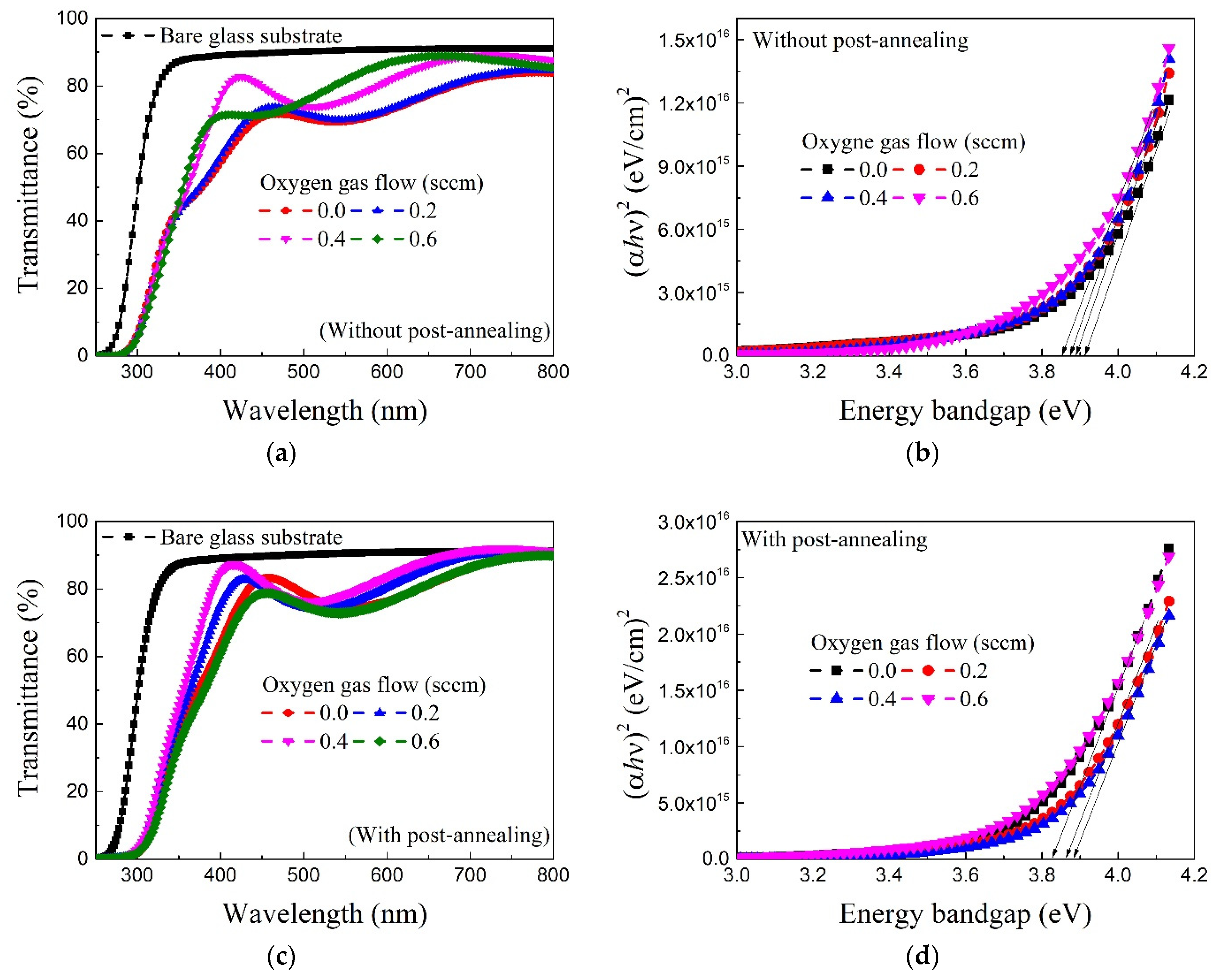
3. Results and Discussion
3.1. Film Characteristics
3.1.1. Electrical Characteristics
3.1.2. Optical Properties
3.1.3. Structural Properties
3.1.4. PV Properties of Unit Cell with ITO Films
4. Conclusions
Author Contributions
Funding
Institutional Review Board Statement
Informed Consent Statement
Data Availability Statement
Acknowledgments
Conflicts of Interest
References
- Wilson, G.M.; Al-Jassim, M.; Metzger, W.K.; Glunz, S.W.; Verlinden, P.; Xiong, G.; Mansfield, L.M.; Stanbery, B.J.; Zhu, K.; Yan, Y. The 2020 photovoltaic technologies roadmap. J. Phys. D. 2020, 53, 493001. [Google Scholar] [CrossRef]
- Polman, A.; Knight, M.; Garnett, E.C.; Ehrler, B.; Sinke, W.C. Photovoltaic materials: Present efficiencies and future challenges. Science 2016, 352, 6283. [Google Scholar] [CrossRef] [PubMed]
- Kim, J.Y.; Lee, J.-W.; Jung, H.S.; Shin, H.; Park, N.-G. High-efficiency perovskite solar cells. Chem. Rev. 2020, 120, 7867–7918. [Google Scholar] [CrossRef]
- Park, N.-G. Perovskite solar cells: An emerging photovoltaic technology. Mater. Today Commun. 2015, 18, 65–72. [Google Scholar] [CrossRef]
- Seok, S.I.; Gratzel, M.; Park, N.-G. Methodologies toward Highly Efficient Perovskite Solar Cells. Small 2018, 14, 1704177. [Google Scholar] [CrossRef] [PubMed]
- Markvart, T.; Castañer, L. Principles of solar cell operation. In McEvoy’s Handbook of Photovoltaics; Elsevier: London, UK, 2017; pp. 3–28. [Google Scholar]
- Micali, M.; Cosentino, S.; Terrasi, A. Structural, optical and electrical characterization of ITO films co-doped with Molybdenum. Sol. Energy Mater Sol. Cells 2021, 221, 110904. [Google Scholar] [CrossRef]
- Buckeridge, J.; Catlow, C.R.A.; Farrow, M.; Logsdail, A.J.; Scanlon, D.; Keal, T.; Sherwood, P.; Woodley, S.; Sokol, A.; Walsh, A. Deep vs shallow nature of oxygen vacancies and consequent n-type carrier concentrations in transparent conducting oxides. Phys. Rev. Mater. 2018, 2, 054604. [Google Scholar] [CrossRef]
- Zhang, B.; Ng, S.-W.; Lu, L.; Zheng, Z. Solution-Processed Transparent Electrode for Emerging Thin-Film Solar Cells. Chem. Rev. 2020, 120, 2049. [Google Scholar] [CrossRef]
- Jung, H.; Kim, G.; Jang, G.S.; Kim, M.; Moon, C.S.; Hao, X.; Jeon, N.J.; Yun, H.S.; Seo, J. Transparent Electrodes with Enhanced Infrared Transmittance for Semitransparent and Four-Terminal Tandem Perovskite Solar Cells. ACS Appl. Mater. Interfaces 2021, 13, 30497. [Google Scholar] [CrossRef]
- Kim, S.; Kim, K.H. Effect of magnetic field arrangement of facing targets sputtering (FTS) system on controlling plasma confinement. Coatings 2020, 10, 321. [Google Scholar] [CrossRef]
- Im, J.-H.; Kim, H.-S.; Park, N.-G. Morphology-photovoltaic property correlation in perovskite solar cells: One-step versus two-step deposition of CH3NH3PbI3. Apl Mater. 2014, 2, 081510. [Google Scholar] [CrossRef]
- Zhang, T.; Xu, Q.; Xu, F.; Fu, Y.; Wang, Y.; Yan, Y.; Zhang, L.; Zhao, Y. Spontaneous low-temperature crystallization of α-FAPbI3 for highly efficient perovskite solar cells. Sci. 2019, 64, 1608–1616. [Google Scholar] [CrossRef]
- Tuna, O.; Selamet, Y.; Aygun, G.; Ozyuzer, L. High quality ITO thin films grown by dc and RF sputtering without oxygen. J. Phys. D 2010, 43, 055402. [Google Scholar] [CrossRef]
- Bender, M.; Seelig, W.; Daube, C.; Frankenberger, H.; Ocker, B.; Stollenwerk, J. Dependence of oxygen flow on optical and electrical properties of DC-magnetron sputtered ITO films. Thin Solid Films 1998, 326, 72–77. [Google Scholar] [CrossRef]
- Chen, A.; Zhu, K.; Zhong, H.; Shao, Q.; Ge, G. A new investigation of oxygen flow influence on ITO thin films by magnetron sputtering. Sol. Energy Mater Sol. Cells 2014, 120, 157–162. [Google Scholar] [CrossRef]
- Ayeshamariam, a.; Kashif, M.; Bououdina, M.; Hashim, U.; Jayachadnran, M.; Ali, M.E. Morphological, structural, and gas-sensing characterization of tin-doped indium oxide nanoparticles. Ceram. Int. 2014, 40, 1321. [Google Scholar] [CrossRef]
- Song, S.; Yang, T.; Liu, J.; Xin, Y.; Li, Y.; Han, S. Rapid thermal annealing of ITO films. Appl. Surf. Sci. 2011, 257, 7061–7064. [Google Scholar] [CrossRef]
- Ali, A.H.; Hassan, Z.; Shuhaimi, A. Enhancement of optical transmittance and electrical resistivity of post-annealed ITO thin films RF sputtered on Si. Appl. Surf. Sci. 2018, 443, 544–547. [Google Scholar] [CrossRef]
- Kulkarni, A.; Schulz, K.H.; Lim, T.; Khan, M. Dependence of the sheet resistance of indium-tin-oxide thin films on grain size and grain orientation determined from X-ray diffraction techniques. Thin solid films 1999, 345, 273–277. [Google Scholar] [CrossRef]
- Ahmed, N.N.; Sabah, F.A.; Abdulgafour, H.I.; Alsadig, A.; Sulieman, A.; Alkhoaryef, M. The effect of post annealing temperature on grain size of indium-tin-oxide for optical and electrical properties improvement. Results Phys. 2019, 13, 102159. [Google Scholar] [CrossRef]
- Fischbier, M.V.; Wardenga, H.F.; Weidner, M.; Bierwagen, O.; Jia, J.; Shigesato, Y.; Klein, A. Influence of dopant species and concentration on grain boundary scattering in degenerately doped In2O3 thin films. Thin Solid Films 2016, 614, 62–68. [Google Scholar] [CrossRef]
- Lee, J.H.; Kim, Y.H.; Ahn, S.J.; Ha, T.H.; Kim, H.S. Grain-size effect on the electrical properties of nanocrystalline indium tin oxide thin films. Mater. Sci. Eng. B 2015, 199, 37. [Google Scholar] [CrossRef]
- Shao, L.X.; Chang, K.H.; Hwang, H.L. Zinc sulfide thin films deposited by RF reactive sputtering for photovoltaic applications. Appl. Surf. Sci. 2003, 15, 305. [Google Scholar] [CrossRef]
- Zhang, D.; Tavakoliyaraki, A.; Wu, Y.; Van Swaaij, R.; Zeman, M. Influence of ITO deposition and post annealing on HIT solar cell structures. Energy Procedia 2011, 8, 207–213. [Google Scholar] [CrossRef][Green Version]
- McEvoy, A.; Castaner, L.; Markvart, T. Solar Cells Materials, Manufacture and Operation; Academic Press: London, UK, 2013. [Google Scholar]







| Parameter | Detailed Conditions |
|---|---|
| Targets | ITO (In2O3:Sn2O3 = 90:10 wt%) |
| Substrate | Soda-lime glass (Eagle XG glass) |
| Bass pressure | 1.5 × 10-5 Torr |
| Working pressure | 1 mTorr |
| Working gas | Ar = 10 sccm, O2 = 0–0.6 sccm |
| Input power | 500 W (0.04 W/cm2) |
| Substrate temperature | Room temperature |
| Film thickness | 200 nm |
| Post-annealing | 480 °C (1 h) without vacuum |
| Heating Condition | Gas Flow 1 (sccm) | R 2 (×10−4 Ω-cm) | Rsheet 3 (Ω/sq) | μ 4 (×1020 cm−3) | N 5 (m2/V.s) | FWHM 6 (°) | Grain Size (nm) |
|---|---|---|---|---|---|---|---|
| None | 0.0 | 3.93 | 19.67 | 6.88 | 23.1 | 0.2832 | 30.2 |
| 0.2 | 5.33 | 26.67 | 4.722 | 24.8 | 0.3620 | 23.7 | |
| 0.4 | 3.67 | 18.38 | 5.635 | 30.1 | 0.2600 | 40.9 | |
| 0.6 | 4.76 | 23.8 | 4.842 | 27.1 | 0.2600 | 18.1 | |
| 480 °C | 0.0 | 19.4 | 97.05 | 1.656 | 19.4 | 0.0875 | 98.3 |
| 0.2 | 20.4 | 102.1 | 1.494 | 20.5 | 0.0991 | 86.2 | |
| 0.4 | 26.7 | 133.6 | 1.387 | 16.8 | 0.1113 | 77.3 | |
| 0.6 | 9.55 | 47.76 | 2.142 | 30.5 | 0.1113 | 96.0 |
| Sample (Condition) | VOC a (V) | ISC b (mA) | JSC c (mA/cm2) | F.F. d (%) | PCE e (%) | RShunt (Ω) | RSeries (Ω) |
|---|---|---|---|---|---|---|---|
| #1 | 0.910 | 1.13 | 24.82 | 62.71 | 13.81 | 4.4k | 181.15 |
| (0.0 sccm) | (±0.045) | (±0.027) | (±0.507) | (±7.346) | (±2.336) | (±2.4k) | (±47.05) |
| #2 | 0.793 | 1.08 | 20.44 | 59.53 | 9.69 | 3.4k | 204.35 |
| (0.2sccm) | (±0.023) | (±0.270) | (±5.086) | (±3.693) | (±2.666) | (±5.1k) | (±55.95) |
| #3 | 0.839 | 1.27 | 24.12 | 32.54 | 6.61 | 4.8k | 556.37 |
| (0.4 sccm) | (±0.018) | (±0.059) | (±1.114) | (±4.254) | (±1.026) | (±3.6k) | (±173.38) |
| #4 | 0.863 | 1.07 | 20.29 | 53.98 | 9.55 | 4.4k | 281.38 |
| (0.6 sccm) | (±0.057) | (±0.038) | (±0.722) | (±5.91) | (±1.735) | (±7.08k) | (±92.07) |
| C-FTO | 0.935 | 1.04 | 19.36 | 68.36 | 12.56 | 5.9k | 139.09 |
| (±0.018) | (±0.02) | (±0.372) | (±2.338) | (±0.617) | (±7.3k) | (±21.21) | |
| C-ITO | 0.783 | 0.903 | 17.05 | 23.69 | 2.90 | 0.97K | 1618.4 |
| (±0.135) | (±0.2) | (±3.783) | (±8.917) | (±0.833) | (±508.6) | (±1060.2) |
Publisher’s Note: MDPI stays neutral with regard to jurisdictional claims in published maps and institutional affiliations. |
© 2022 by the authors. Licensee MDPI, Basel, Switzerland. This article is an open access article distributed under the terms and conditions of the Creative Commons Attribution (CC BY) license (https://creativecommons.org/licenses/by/4.0/).
Share and Cite
Kim, Y.; Joo, S.H.; Shin, S.G.; Choi, H.W.; Bark, C.W.; Rim, Y.S.; Kim, K.H.; Kim, S. Effect of Annealing in ITO Film Prepared at Various Argon-and-Oxygen-Mixture Ratios via Facing-Target Sputtering for Transparent Electrode of Perovskite Solar Cells. Coatings 2022, 12, 203. https://doi.org/10.3390/coatings12020203
Kim Y, Joo SH, Shin SG, Choi HW, Bark CW, Rim YS, Kim KH, Kim S. Effect of Annealing in ITO Film Prepared at Various Argon-and-Oxygen-Mixture Ratios via Facing-Target Sputtering for Transparent Electrode of Perovskite Solar Cells. Coatings. 2022; 12(2):203. https://doi.org/10.3390/coatings12020203
Chicago/Turabian StyleKim, Yujin, Sung Hwan Joo, Seong Gwan Shin, Hyung Wook Choi, Chung Wung Bark, You Seung Rim, Kyung Hwan Kim, and Sangmo Kim. 2022. "Effect of Annealing in ITO Film Prepared at Various Argon-and-Oxygen-Mixture Ratios via Facing-Target Sputtering for Transparent Electrode of Perovskite Solar Cells" Coatings 12, no. 2: 203. https://doi.org/10.3390/coatings12020203
APA StyleKim, Y., Joo, S. H., Shin, S. G., Choi, H. W., Bark, C. W., Rim, Y. S., Kim, K. H., & Kim, S. (2022). Effect of Annealing in ITO Film Prepared at Various Argon-and-Oxygen-Mixture Ratios via Facing-Target Sputtering for Transparent Electrode of Perovskite Solar Cells. Coatings, 12(2), 203. https://doi.org/10.3390/coatings12020203

