A Chemiluminescence Enzyme Immunoassay Based on Biotinylated Nanobody and Streptavidin Amplification for Diazinon Sensitive Quantification
Abstract
1. Introduction
2. Materials and Methods
2.1. Materials
2.2. Preparation of Anti-DAZ Nb
2.3. Characteristics of Nb-EQ1
2.4. Development of Nb-EQ1 Based ic-CLEIA
2.5. Samples Analysis
3. Results
3.1. Preparation and Characterization of Anti-DAZ Nb
3.2. Stability and Recognition Mechanism of Nb-EQ1 against DAZ
3.3. Construction of ic-CLEIA Platform Based on Nb-EQ1 and Streptavidin Recognition
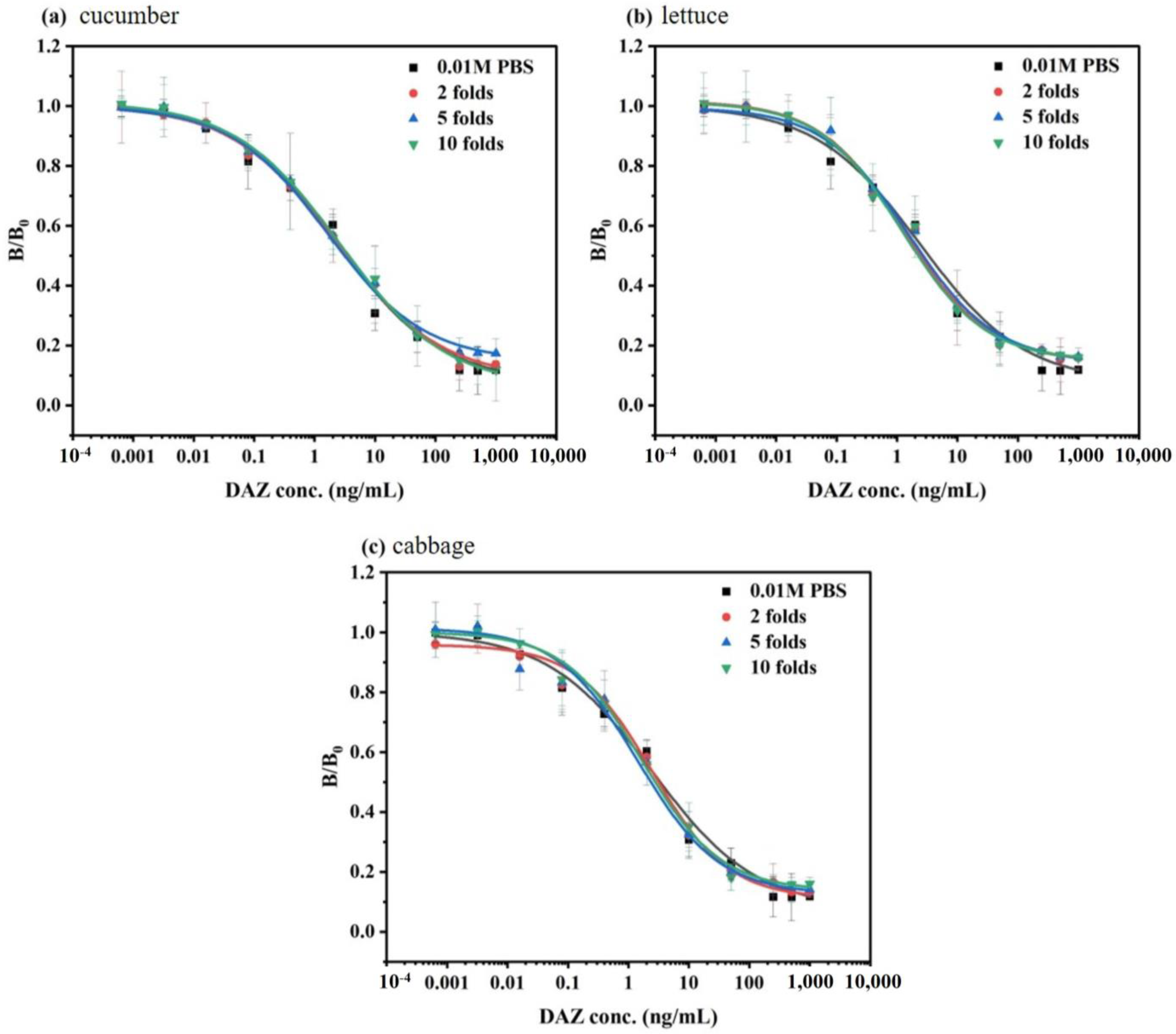
3.4. Samples Analysis
4. Conclusions
Supplementary Materials
Author Contributions
Funding
Institutional Review Board Statement
Informed Consent Statement
Data Availability Statement
Conflicts of Interest
References
- Yao, J.; Wang, Z.; Guo, L.; Xu, X.; Liu, L.; Xu, L.; Song, S.; Xu, C.; Kuang, H. Advances in immunoassays for organophosphorus and pyrethroid pesticides. Trac-Trends Anal. Chem. 2020, 131, 116022. [Google Scholar] [CrossRef]
- Piro, B.; Reisberg, S.; Anquetin, G.; Duc, H.T.; Pham, M.C. Quinone-Based Polymers for Label-Free and Reagentless Electrochemical Immunosensors: Application to Proteins, Antibodies and Pesticides Detection. Biosensors 2013, 3, 58–76. [Google Scholar] [CrossRef] [PubMed]
- Lai, X.; Lv, X.; Zhang, G.; Xiong, Z.; Lai, W.; Peng, J. Highly Specific Anti-tylosin Monoclonal Antibody and Its Application in the Quantum Dot Bead-Based Immunochromatographic Assay. Food Anal. Methods 2020, 13, 2258–2268. [Google Scholar] [CrossRef]
- Becheva, Z.R.; Atanasova, M.K.; Ivanov, Y.L.; Godjevargova, T.I. Magnetic Nanoparticle-Based Fluorescence Immunoassay for Determination of Ochratoxin A in Milk. Food Anal. Methods 2020, 13, 2238–2248. [Google Scholar] [CrossRef]
- Gao, Y.; Huang, X.; Zhu, Y.; Lv, Z. A brief review of monoclonal antibody technology and its representative applications in immunoassays. J. Immunoass. Immunochem. 2018, 39, 351–364. [Google Scholar] [CrossRef] [PubMed]
- Mills, C.; Campbell, K. A new chapter for anti-idiotypes in low molecular weight compound immunoassays. Trends Biotechnol. 2022, 40, 1102–1120. [Google Scholar] [CrossRef] [PubMed]
- Luo, L.; Wei, X.Q.; Jia, B.Z.; Yang, J.Y.; Shen, Y.D.; Hammock, B.; Dong, J.X.; Wang, H.; Lei, H.T.; Xu, Z.L. Modulating Linker Composition of Haptens Resulted in Improved Immunoassay for Histamine. Biomolecules 2019, 9, 597. [Google Scholar] [CrossRef]
- Wang, J.; Mukhtar, H.; Ma, L.; Pang, Q.; Wang, X. VHH Antibodies: Reagents for Mycotoxin Detection in Food Products. Sensors 2018, 18, 485. [Google Scholar] [CrossRef]
- Oloketuyi, S.; Bernedo, R.; Christmann, A.; Borkowska, J.; Cazzaniga, G.; Schuchmann, H.W.; Niedziolka-Joensson, J.; Szot-Karpinska, K.; Kolmar, H.; de Marco, A. Native llama Nanobody Library Panning Performed by Phage and Yeast Display Provides Binders Suitable for C-Reactive Protein Detection. Biosensors 2021, 11, 496. [Google Scholar] [CrossRef]
- Sun, W.; Zhang, Y.; Ju, Z. Mimotopes for Mycotoxins Diagnosis Based on Random Peptides or Recombinant Antibodies from Phage Library. Molecules 2021, 26, 7652. [Google Scholar] [CrossRef]
- Luo, L.; Lin, S.Q.; Wu, Z.Y.; Wang, H.; Chen, Z.J.; Deng, H.; Shen, Y.D.; Zhang, W.F.; Lei, H.T.; Xu, Z.L. Nanobody-based fluorescent immunoassay using carbon dots anchored cobalt oxyhydroxide composite for the sensitive detection of fenitrothion. J. Hazard. Mater. 2022, 439, 129701. [Google Scholar] [CrossRef] [PubMed]
- Dhehibi, A.; Allaoui, A.; Raouafi, A.; Terrak, M.; Bouhaouala-Zahar, B.; Hammadi, M.; Raouafi, N.; Salhi, I. Nanobody-Based Sandwich Immunoassay for Pathogenic Escherichia coli F17 Strain Detection. Biosensors 2023, 13, 299. [Google Scholar] [CrossRef] [PubMed]
- Li, Z.F.; Dong, J.X.; Vasylieva, N.; Cui, Y.L.; Wan, D.B.; Hua, X.D.; Huo, J.Q.; Yang, D.C.; Gee, S.J.; Hammock, B.D. Highly specific nanobody against herbicide 2,4-dichlorophenoxyacetic acid for monitoring of its contamination in environmental water. Sci. Total Environ. 2021, 753, 141950. [Google Scholar] [CrossRef]
- Yan, H.; Fu, J.; Tang, X.; Wang, D.; Zhang, Q.; Li, P. Sensitivity enhancement of paper-based sandwich immunosensor via nanobody immobilization instead of IgG antibody, taking aflatoxingenetic fungi as an analyte example. Sens. Actuators B-Chem. 2022, 373, 132760. [Google Scholar] [CrossRef]
- Li, Y.; Zhang, G.; Mao, X.; Yang, S.; De Ruyck, K.; Wu, Y. High sensitivity immunoassays for small molecule compounds detection—Novel noncompetitive immunoassay designs. Trac-Trends Anal. Chem. 2018, 103, 198–208. [Google Scholar] [CrossRef]
- Radha, R.; Shahzadi, S.K.; Al-Sayah, M.H. Fluorescent Immunoassays for Detection and Quantification of Cardiac Troponin I: A Short Review. Molecules 2021, 26, 4812. [Google Scholar] [CrossRef] [PubMed]
- Xu, L.; Zhou, J.; Eremin, S.; Dias, A.C.P.; Zhang, X. Development of ELISA and chemiluminescence enzyme immunoassay for quantification of histamine in drug products and food samples. Anal. Bioanal. Chem. 2020, 412, 4739–4747. [Google Scholar] [CrossRef]
- Li, Z.B.; Cui, P.L.; Liu, J.; Liu, J.X.; Wang, J.P. Production of generic monoclonal antibody and development of chemiluminescence immunoassay for determination of 32 sulfonamides in chicken muscle. Food Chem. 2020, 311, 125966. [Google Scholar] [CrossRef]
- Yin, W.J.; Zhang, J.X.; Wang, H.; Wang, Y.; Zeng, X.; Xu, Z.L.; Yang, J.Y.; Xiao, Z.L.; Hammock, B.D.; Wen, P. A highly sensitive electrochemical immunosensor based on electrospun nanocomposite for the detection of parathion. Food Chem. 2023, 404, 134371. [Google Scholar] [CrossRef]
- Wu, H.L.; Wang, B.Z.; Wang, Y.; Xiao, Z.L.; Luo, L.; Chen, Z.J.; Shen, Y.D.; Xu, Z.L. Monoclonal antibody-based icELISA for the screening of diazinon in vegetable samples. Anal. Methods 2021, 13, 1911–1918. [Google Scholar] [CrossRef]
- Wu, X.; Li, J.; Zhou, Z.; Lin, Z.; Pang, S.; Bhatt, P.; Mishra, S.; Chen, S. Environmental Occurrence, Toxicity Concerns, and Degradation of Diazinon Using a Microbial System. Front. Microbiol. 2021, 12, 717286. [Google Scholar] [CrossRef] [PubMed]
- Nematollahi, A.; Rezaei, F.; Afsharian, Z.; Mollakhalili-Meybodi, N. Diazinon reduction in food products: A comprehensive review of conventional and emerging processing methods. Environ. Sci. Pollut. Res. 2022, 29, 40342–40357. [Google Scholar] [CrossRef] [PubMed]
- Zhang, Y.Q.; Xu, Z.L.; Wang, F.; Cai, J.; Dong, J.X.; Zhang, J.R.; Si, R.; Wang, C.L.; Wang, Y.; Shen, Y.D.; et al. Isolation of Bactrian Camel Single Domain Antibody for Parathion and Development of One-Step dc-FEIA Method Using VHH-Alkaline Phosphatase Fusion Protein. Anal. Chem. 2018, 90, 12886–12892. [Google Scholar] [CrossRef]
- Liu, X.; Tang, Z.; Duan, Z.; He, Z.; Shu, M.; Wang, X.; Gee, S.J.; Hammock, B.D.; Xu, Y. Nanobody-based enzyme immunoassay for ochratoxin A in cereal with high resistance to matrix interference. Talanta 2017, 164, 154–158. [Google Scholar] [CrossRef]
- Li, J.; Ding, Y.; Chen, H.; Sun, W.; Huang, Y.; Liu, F.; Wang, M.; Hua, X. Development of an indirect competitive enzyme-linked immunosorbent assay for propiconazole based on monoclonal antibody. Food Control. 2022, 134, 108751. [Google Scholar] [CrossRef]
- He, T.; Wang, Y.; Li, P.; Zhang, Q.; Lei, J.; Zhang, Z.; Ding, X.; Zhou, H.; Zhang, W. Nanobody-Based Enzyme Immunoassay for Aflatoxin in Agro-Products with High Tolerance to Cosolvent Methanol. Anal. Chem. 2014, 86, 8873–8880. [Google Scholar] [CrossRef]
- He, X.T.; Dong, J.X.; Shen, X.; Wang, H.; Shen, Y.D.; Xu, Z.L. Advances on The Relationship Between Stability and Structure of Nanobody. Prog. Biochem. Biophys. 2022, 49, 1004–1017. [Google Scholar] [CrossRef]
- Watanabe, E.; Miyake, S. Quantitative Determination of Neonicotinoid Insecticide Thiamethoxam in Agricultural Samples: A Comparative Verification Between High-Performance Liquid Chromatography and Monoclonal Antibody-Based Immunoassay. Food Anal. Methods 2013, 6, 658–666. [Google Scholar] [CrossRef]







| Sample | Spiked Levels (ng/g) | ic-CLEIA | ||
|---|---|---|---|---|
| Measured (ng/g) | Recovery (%) | CR (%) | ||
| Cucumber | 3 | 3.3 ± 0.3 | 110.9 | 9.5 |
| 5 | 5.4 ± 0.3 | 108.1 | 6.4 | |
| 10 | 10.7 ± 1.4 | 107.1 | 13.4 | |
| 15 | 14.8 ± 1.3 | 98.9 | 8.6 | |
| Lettuce | 3 | 3.2 ± 0.6 | 105.4 | 19.2 |
| 5 | 5.4 ± 0.6 | 107.3 | 10.7 | |
| 10 | 8.6 ± 0.4 | 85.7 | 4.2 | |
| 15 | 15.9 ± 1.2 | 105.8 | 7.5 | |
| Cabbage | 3 | 3.3 ± 0.4 | 109.7 | 13.4 |
| 5 | 5.4 ± 0.6 | 107.6 | 10.5 | |
| 10 | 10.2 ± 1.0 | 102.1 | 9.6 | |
| 15 | 15.9 ± 1.1 | 105.9 | 6.9 | |
Disclaimer/Publisher’s Note: The statements, opinions and data contained in all publications are solely those of the individual author(s) and contributor(s) and not of MDPI and/or the editor(s). MDPI and/or the editor(s) disclaim responsibility for any injury to people or property resulting from any ideas, methods, instructions or products referred to in the content. |
© 2023 by the authors. Licensee MDPI, Basel, Switzerland. This article is an open access article distributed under the terms and conditions of the Creative Commons Attribution (CC BY) license (https://creativecommons.org/licenses/by/4.0/).
Share and Cite
Guo, P.; Huang, K.; Chen, Z.; Xu, Z.; Ou, A.; Yin, Q.; Wang, H.; Shen, X.; Zhou, K. A Chemiluminescence Enzyme Immunoassay Based on Biotinylated Nanobody and Streptavidin Amplification for Diazinon Sensitive Quantification. Biosensors 2023, 13, 577. https://doi.org/10.3390/bios13060577
Guo P, Huang K, Chen Z, Xu Z, Ou A, Yin Q, Wang H, Shen X, Zhou K. A Chemiluminescence Enzyme Immunoassay Based on Biotinylated Nanobody and Streptavidin Amplification for Diazinon Sensitive Quantification. Biosensors. 2023; 13(6):577. https://doi.org/10.3390/bios13060577
Chicago/Turabian StyleGuo, Pengyan, Kaiyin Huang, Zijian Chen, Zhenlin Xu, Aifen Ou, Qingchun Yin, Hong Wang, Xing Shen, and Kai Zhou. 2023. "A Chemiluminescence Enzyme Immunoassay Based on Biotinylated Nanobody and Streptavidin Amplification for Diazinon Sensitive Quantification" Biosensors 13, no. 6: 577. https://doi.org/10.3390/bios13060577
APA StyleGuo, P., Huang, K., Chen, Z., Xu, Z., Ou, A., Yin, Q., Wang, H., Shen, X., & Zhou, K. (2023). A Chemiluminescence Enzyme Immunoassay Based on Biotinylated Nanobody and Streptavidin Amplification for Diazinon Sensitive Quantification. Biosensors, 13(6), 577. https://doi.org/10.3390/bios13060577

