Biocompatible and Biodegradable Magnesium Oxide Nanoparticles with In Vitro Photostable Near-Infrared Emission: Short-Term Fluorescent Markers
Abstract
1. Introduction
2. Materials and Methods
2.1. Preparation of MgO Nanoparticles
2.2. Cell Culture
2.3. Confocal Imaging
2.4. Wide Field Fluorescence Imaging
2.5. Lifetime Measurements
2.6. Absorption and Photoluminescence Spectra
2.7. Stability in Cell Culture Media and Cytotoxicity Analysis in Cancer Cells
2.8. Cellular Staining
3. Results
3.1. Structural Characterization
3.2. Confocal Microscopy
3.3. Spectral Analysis
3.3.1. Absorbance Spectra
3.3.2. Emission Spectra
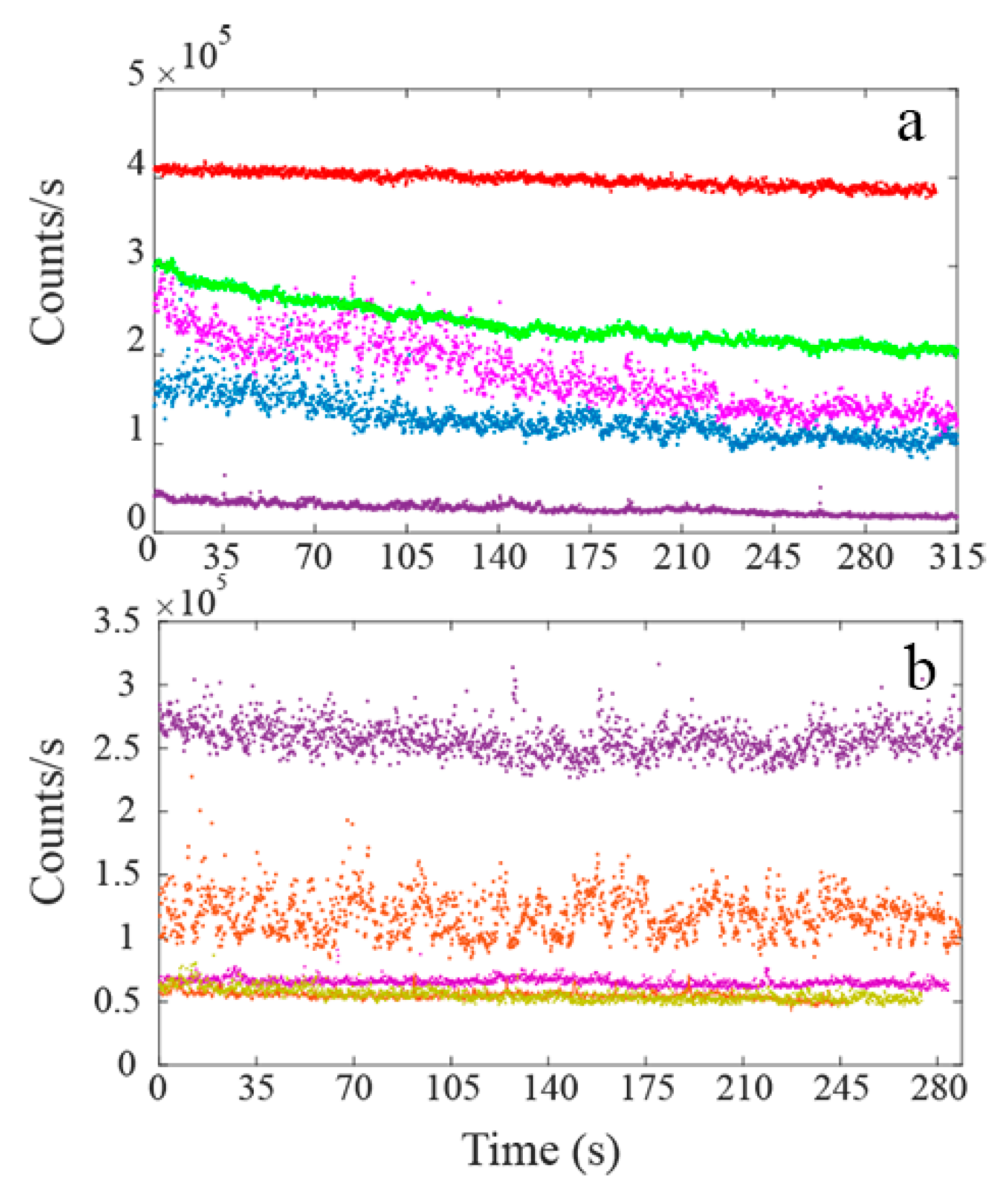
3.4. Lifetime Measurements
3.5. Widefield Imaging of Cell Cultured NPs
3.6. Toxicity Analysis of Commercial MgO NPs in Cancer Cells
4. Conclusions
Supplementary Materials
Author Contributions
Funding
Acknowledgments
Conflicts of Interest
References
- Davis, M.E.; Chen, Z.G.; Shin, D.M. Nanoparticle therapeutics: An emerging treatment modality for cancer. Nat. Rev. Drug Discov. 2008, 7, 771–782. [Google Scholar] [CrossRef] [PubMed]
- Petros, R.A.; DeSimone, J.M. Strategies in the design of nanoparticles for therapeutic applications. Nat. Rev. Drug Discov. 2010, 9, 615–627. [Google Scholar] [CrossRef] [PubMed]
- Wolfbeis, O.S. An overview of nanoparticles commonly used in fluorescent bioimaging. Chem. Soc. Rev. 2015, 44, 4743–4768. [Google Scholar] [CrossRef] [PubMed]
- Monici, M. Cell and tissue autofluorescence research and diagnostic applications. Biotechnol. Annu. Rev. 2005, 11, 227–256. [Google Scholar] [PubMed]
- Vahrmeijer, A.L.; Hutteman, M.; van der Vorst, J.R.; van de Velde, C.J.; Frangioni, J.V. Image-guided cancer surgery using near-infrared fluorescence. Nat. Rev. Clin. Oncol. 2013, 10, 507–518. [Google Scholar] [CrossRef] [PubMed]
- Dempsey, G.T.; Vaughan, J.C.; Chen, K.H.; Bates, M.; Zhuang, X. Evaluation of fluorophores for optimal performance in localization-based super-resolution imaging. Nat. Methods 2011, 8, 1027–1036. [Google Scholar] [CrossRef] [PubMed]
- Kairdolf, B.A.; Smith, A.M.; Stokes, T.H.; Wang, M.D.; Young, A.D.; Nie, S. Semiconductor quantum dots for bioimaging and biodiagnostic applications. Annu. Rev. Anal. Chem. (Palo Alto Calif.) 2013, 6, 143–162. [Google Scholar] [CrossRef] [PubMed]
- Mohan, N.; Tzeng, Y.K.; Yang, L.; Chen, Y.Y.; Hui, Y.Y.; Fang, C.Y.; Chang, H.C. Sub-20-nm fluorescent nanodiamonds as photostable biolabels and fluorescence resonance energy transfer donors. Adv. Mater. 2010, 22, 843–847. [Google Scholar] [CrossRef]
- Musfeldt, J.L. Optical Properties of Nanoscale Transition Metal. Oxides. In Functional Metal Oxides; Wu, J., Han, J., Janotti, W.Q., Kim, H.C., Eds.; Springer Series in Materials Science; Springer: Berlin, Germany, 2012; pp. 87–126. [Google Scholar]
- Hajipour, M.J.; Fromm, K.M.; Ashkarran, A.A.; de Aberasturi, D.J.; de Larramendi, I.R.; Rojo, T.; Mahmoudi, M. Antibacterial properties of nanoparticles. Trends Biotechnol. 2012, 30, 499–511. [Google Scholar] [CrossRef]
- Morfa, A.J.; Gibson, B.C.; Karg, M.; Karle, T.J.; Greentree, A.D.; Mulvaney, P.; Tomljenovic-Hanic, S. Single-photon emission and quantum characterization of zinc oxide defects. Nano Lett. 2012, 12, 949–954. [Google Scholar] [CrossRef]
- Neitzke, O.; Morfa, A.; Wolters, J.; Schell, A.W.; Kewes, G.; Benson, O. Investigation of Line Width Narrowing and Spectral Jumps of Single Stable Defect Centers in ZnO at Cryogenic Temperature. Nano Lett. 2015, 15, 3024–3029. [Google Scholar] [CrossRef] [PubMed]
- Kamińska, I.; Sikora, B.; Fronc, K.; Dziawa, P.; Sobczak, K.; Minikayev, R.; Elbaum, D. Novel ZnO/MgO/Fe2O3 composite optomagnetic nanoparticles. J. Phys. Condens. Matter 2013, 25, 194105. [Google Scholar]
- Khalid, A.; Tran, P.A.; Norello, R.; Simpson, D.A.; O’Connor, A.J.; Tomljenovic-Hanic, S. Intrinsic fluorescence of selenium nanoparticles for cellular imaging applications. Nanoscale 2016, 8, 3376–3385. [Google Scholar] [CrossRef] [PubMed]
- Chung, K.; Karle, T.J.; Khalid, A.; Abraham, A.N.; Shukla, R.; Gibson, B.C.; Tomljenovic-Hanic, S. Room-temperature single-photon emission from zinc oxide nanoparticle defects and their in vitro photostable intrinsic fluorescence. Nanophotonics 2017, 6, 269. [Google Scholar] [CrossRef]
- Leung, Y.H.; Ng, A.M.; Xu, X.; Shen, Z.; Gethings, L.A.; Wong, M.T.; Lee, P.K. Mechanisms of antibacterial activity of MgO: Non-ROS mediated toxicity of MgO nanoparticles towards Escherichia coli. Small 2014, 10, 1171–1183. [Google Scholar] [CrossRef] [PubMed]
- Rosenblatt, G.H.; Rowe, M.W.; Williams, G.P., Jr.; Williams, R.T.; Chen, Y. Luminescence of F and ${F}^{+}$ centers in magnesium oxide. Phys. Rev. B 1989, 39, 10309–10318. [Google Scholar] [CrossRef] [PubMed]
- Krishnamoorthy, K.; Moon, J.Y.; Hyun, H.B.; Cho, S.K.; Kim, S.J. Mechanistic investigation on the toxicity of MgO nanoparticles toward cancer cells. J. Mater. Chem. 2012, 22, 24610–24617. [Google Scholar] [CrossRef]
- Schram, M.T.; Stehouwer, C.D. Endothelial dysfunction, cellular adhesion molecules and the metabolic syndrome. Horm. Metab. Res. 2005, 37 (Suppl. 1), 49–55. [Google Scholar] [CrossRef]
- Di, D.R.; He, Z.Z.; Sun, Z.Q.; Liu, J. A new nano-cryosurgical modality for tumor treatment using biodegradable MgO nanoparticles. Nanomed. Nanotechnol. Biol. Med. 2012, 8, 1233–1241. [Google Scholar] [CrossRef]
- Kumaran, R.; Choi, Y.K.; Singh, V.; Song, H.J.; Song, K.G.; Kim, K.; Kim, H. In vitro cytotoxic evaluation of MgO nanoparticles and their effect on the expression of ROS genes. Int. J. Mol. Sci. 2015, 16, 7551–7564. [Google Scholar] [CrossRef]
- Prucnal, S.; Shalimov, A.; Ozerov, M.; Potzger, K.; Skorupa, W. Magnetic and optical properties of virgin arc furnace grown MgO crystals. J. Cryst. Growth 2012, 339, 70–74. [Google Scholar] [CrossRef]
- Feldbach, E.; Kirm, M.; Kozlova, J.; Maaroos, A.; Mändar, H.; Saar, R.; Sammelselg, V. Luminescence spectroscopy of nanocrystalline MgO. Phys. Status Solidi C 2011, 8, 2669–2672. [Google Scholar] [CrossRef]
- Kunz, M.; Klingshirn, C.; Kretschmann, H.; Assmus, W. Absorption and emission spectra of magnesium oxide single crystals. Mater. Chem. Phys. 1990, 25, 27–41. [Google Scholar] [CrossRef]
- Šepelák, V.; Bégin-Colin, S.; le Caër, G. Transformations in oxides induced by high-energy ball-milling. Dalton Transact. 2012, 41, 11927–11948. [Google Scholar] [CrossRef] [PubMed]
- Bindhu, M.R.; Umadevi, M.; Micheal, M.K.; Arasu, M.V.; Al-Dhabi, N.A. Structural, morphological and optical properties of MgO nanoparticles for antibacterial applications. Mater. Lett. 2016, 166, 19–22. [Google Scholar] [CrossRef]
- Halder, R.; Bandyopadhyay, S. Synthesis and optical properties of anion deficient nano MgO. J. Alloys Compd. 2017, 693, 534–542. [Google Scholar] [CrossRef]
- Yousefi, S.; Ghasemi, B.; Tajally, M.; Asghari, A. Optical properties of MgO and Mg(OH)2 nanostructures synthesized by a chemical precipitation method using impure brine. J. Alloys Compd. 2017, 711, 521–529. [Google Scholar] [CrossRef]
- Chung, K.; Tomljenovic-Hanic, S. Emission Properties of Fluorescent Nanoparticles Determined by Their Optical Environment. Nanomaterials 2015, 5, 895–905. [Google Scholar] [CrossRef]
- Khalid, A.; Chung, K.; Rajasekharan, R.; Lau, D.W.; Karle, T.J.; Gibson, B.C.; Tomljenovic-Hanic, S. Lifetime Reduction and Enhanced Emission of Single Photon. Color. Centers in Nanodiamond via Surrounding Refractive Index Modification. Sci. Rep. 2015, 5, 11179. [Google Scholar] [CrossRef]
- Nieto-Vesperinas, M.; Gomez-Medina, R.; Saenz, J.J. Angle-suppressed scattering and optical forces on submicrometer dielectric particles. J. Optic. Soc. Am. A 2011, 28, 54–60. [Google Scholar] [CrossRef]
- Schwaiger, R.; Schneider, J.; Bourret, G.R.; Diwald, O. Hydration of magnesia cubes: A helium ion microscopy study. Beilstein J. Nanotechnol. 2016, 7, 302–309. [Google Scholar] [CrossRef] [PubMed]
- Inam, F.A.; Grogan, M.D.; Rollings, M.; Gaebel, T.; Say, J.M.; Bradac, C.; Steel, M.J. Emission and Nonradiative Decay of Nanodiamond NV Centers in a Low Refractive Index Environment. ACS Nano 2013, 7, 3833–3843. [Google Scholar] [CrossRef]
- Brouwer Albert, M. Standards for Photoluminescence Quantum Yield Measurements in Solution. Pure Appl. Chem. 2011, 83, 2213–2228. [Google Scholar] [CrossRef]
- Du, S.; Kendall, K.; Toloueinia, P.; Mehrabadi, Y.; Gupta, G.; Newton, J. Aggregation and adhesion of gold nanoparticles in phosphate buffered saline. J. Nanopart. Res. 2012, 14, 758. [Google Scholar] [CrossRef]
- Vidic, J.; Haque, F.; Guigner, J.M.; Vidy, A.; Chevalier, C.; Stankic, S. Effects of Water and Cell Culture Media on the Physicochemical Properties of ZnMgO Nanoparticles and Their Toxicity toward Mammalian Cells. Langmuir 2014, 30, 11366–11374. [Google Scholar] [CrossRef]
- Khalid, A.; Mitropoulos, A.N.; Marelli, B.; Simpson, D.A.; Tran, P.A.; Omenetto, F.G.; Tomljenovic-Hanic, S. Fluorescent Nanodiamond Silk Fibroin Spheres: Advanced Nanoscale Bioimaging Tool. ACS Biomater. Sci. Eng. 2015, 1, 1104–1113. [Google Scholar] [CrossRef]
- Ramanavicius, A.; Karabanovas, V.; Ramanaviciene, A.; Rotomskis, R. Stabilization of (CdSe)ZnS quantum dots with polypyrrole formed by UV/VIS irradiation initiated polymerization. J. Nanosci. Nanotechnol. 2009, 9, 1909–1915. [Google Scholar] [CrossRef]
- Hickey, D.J.; Ercan, B.; Chung, S.; Webster, T.J.; Sun, L.; Geilich, B. MgO nanocomposites as new antibacterial materials for orthopedic tissue engineering applications. In Proceedings of the 40th Annual Northeast Bioengineering Conference (NEBEC), Boston, MA, USA, 25–27 April 2014. [Google Scholar]
- Roh, H.S.; Lee, C.M.; Hwang, Y.H.; Kook, M.S.; Yang, S.W.; Lee, D.; Kim, B.H. Addition of MgO nanoparticles and plasma surface treatment of three-dimensional printed polycaprolactone/hydroxyapatite scaffolds for improving bone regeneration. Mater. Sci. Eng. C 2017, 74, 525–535. [Google Scholar] [CrossRef] [PubMed]









| Centrifuge Speed (rpm) | 1000 | 2000 | 3000 |
| Pellet Size (nm) | 1640 ± 630 | 1060 ± 480 | 760 ± 60 |
| PDI | 0.25 ± 0.01 | 0.56 ± 0.04 | 0.46 ± 0.02 |
| Supernatant Size (nm) | 300 ± 6 | 180 ± 4 | 100 ± 2 |
| PDI | 4.0 × 10−4 | 4.8 × 10−4 | 4.0 × 10−4 |
| Impurity | Si | Cr | Ni | V | Al | Fe | Ca |
| Percentage | <0.1 | <0.01 | 0.02 | <0.01 | 0.01 | <0.05 | <0.05 |
© 2019 by the authors. Licensee MDPI, Basel, Switzerland. This article is an open access article distributed under the terms and conditions of the Creative Commons Attribution (CC BY) license (http://creativecommons.org/licenses/by/4.0/).
Share and Cite
Khalid, A.; Norello, R.; N. Abraham, A.; Tetienne, J.-P.; J. Karle, T.; W. C. Lui, E.; Xia, K.; A. Tran, P.; J. O’Connor, A.; G. Mann, B.; et al. Biocompatible and Biodegradable Magnesium Oxide Nanoparticles with In Vitro Photostable Near-Infrared Emission: Short-Term Fluorescent Markers. Nanomaterials 2019, 9, 1360. https://doi.org/10.3390/nano9101360
Khalid A, Norello R, N. Abraham A, Tetienne J-P, J. Karle T, W. C. Lui E, Xia K, A. Tran P, J. O’Connor A, G. Mann B, et al. Biocompatible and Biodegradable Magnesium Oxide Nanoparticles with In Vitro Photostable Near-Infrared Emission: Short-Term Fluorescent Markers. Nanomaterials. 2019; 9(10):1360. https://doi.org/10.3390/nano9101360
Chicago/Turabian StyleKhalid, Asma, Romina Norello, Amanda N. Abraham, Jean-Philippe Tetienne, Timothy J. Karle, Edward W. C. Lui, Kenong Xia, Phong A. Tran, Andrea J. O’Connor, Bruce G. Mann, and et al. 2019. "Biocompatible and Biodegradable Magnesium Oxide Nanoparticles with In Vitro Photostable Near-Infrared Emission: Short-Term Fluorescent Markers" Nanomaterials 9, no. 10: 1360. https://doi.org/10.3390/nano9101360
APA StyleKhalid, A., Norello, R., N. Abraham, A., Tetienne, J.-P., J. Karle, T., W. C. Lui, E., Xia, K., A. Tran, P., J. O’Connor, A., G. Mann, B., de Boer, R., He, Y., Man Ching Ng, A., B. Djurisic, A., Shukla, R., & Tomljenovic-Hanic, S. (2019). Biocompatible and Biodegradable Magnesium Oxide Nanoparticles with In Vitro Photostable Near-Infrared Emission: Short-Term Fluorescent Markers. Nanomaterials, 9(10), 1360. https://doi.org/10.3390/nano9101360

