High-Temperature Electrical Transport Behavior of p-Doped Boron Diamond Film/n-WS2 Nanosheet Heterojunction
Abstract
1. Introduction
2. Materials and Methods
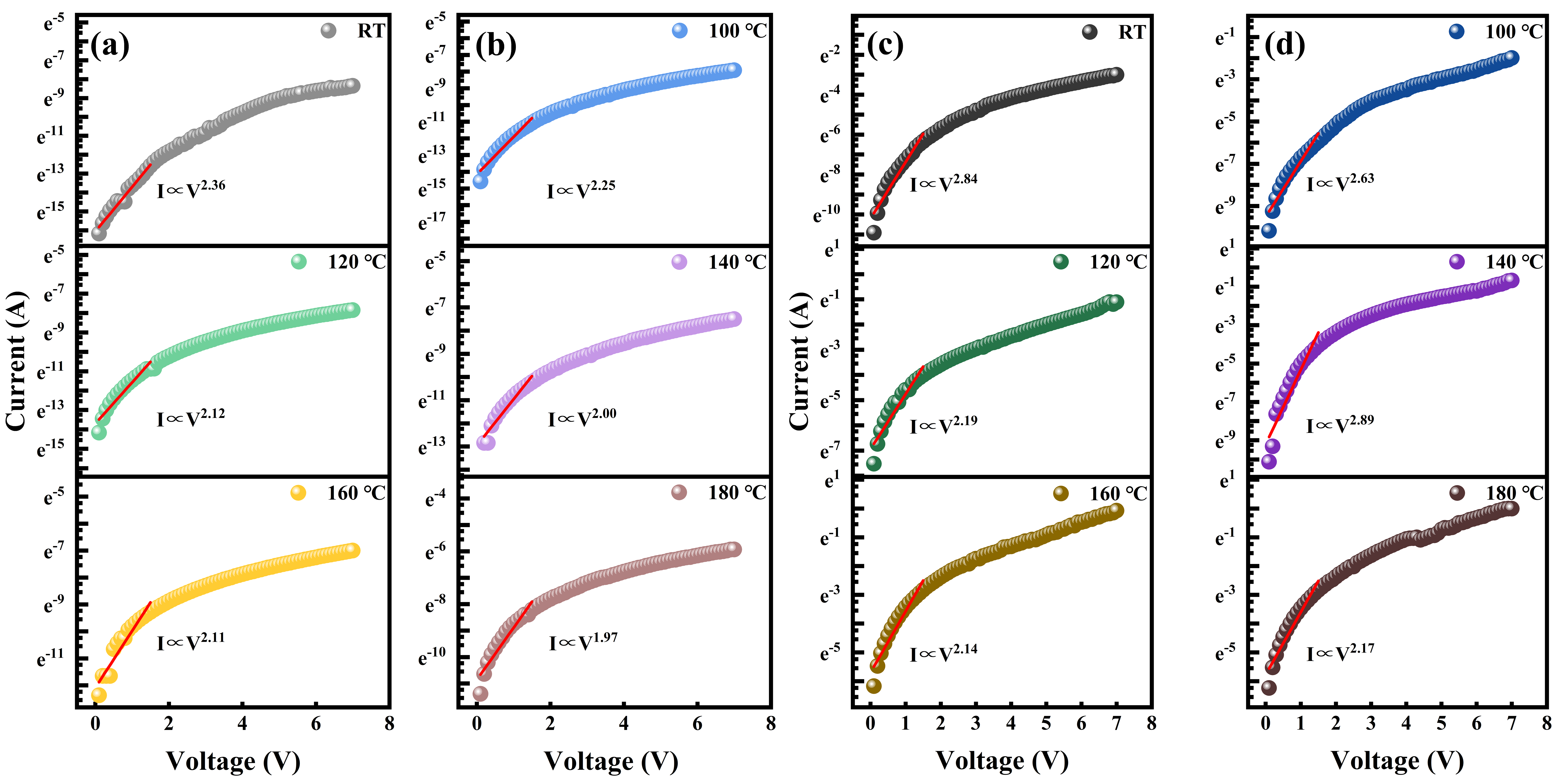
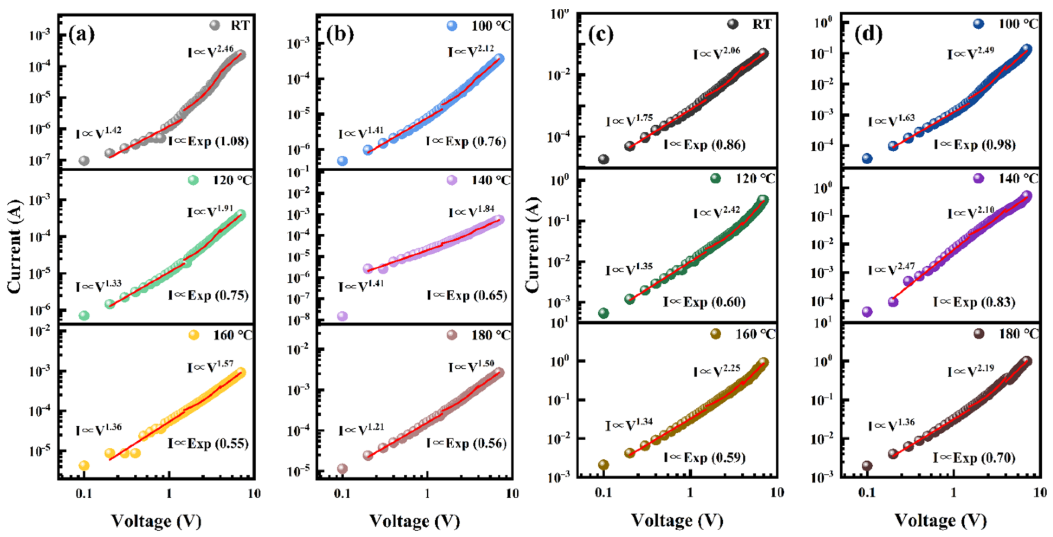
3. Results and Discussion
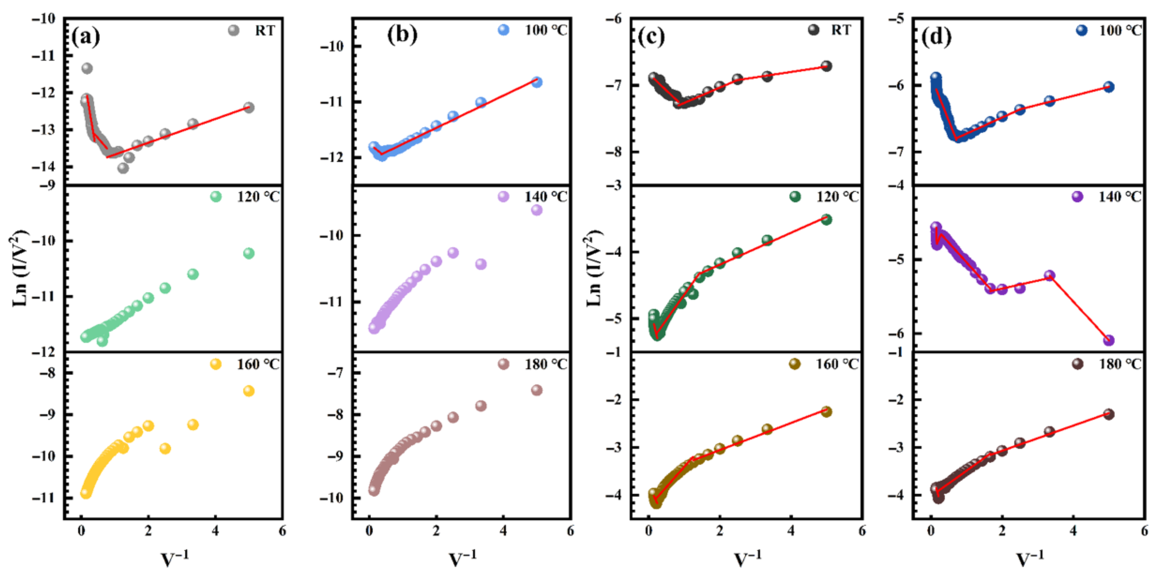
- Thermionic emission:where A is the area of the heterojunction, A* is the Richardson constant, d is the height of the potential barrier at the interface, b is the height of the potential barrier at T = 0 K, ε0 is the dielectric constant of the vacuum, εr is the dielectric constant of the semiconductor, K is the Boltzmann constant, and q is the electronic charge.
- Direct tunneling:where b is the height of the potential barrier at T = 0 K, m is the effective quality of the charge carrier, d is the height of the potential barrier at the interface, and h is Planck’s constant.
- F-N tunneling:where b is the height of the potential barrier at T = 0 K, d is the height of the potential barrier at the interface, and h is Planck’s constant.


4. Conclusions
Author Contributions
Funding
Data Availability Statement
Conflicts of Interest
References
- Ning, L.; Song, L.; Zhang, J. Research progress of light and elevated temperature-induced degradation in silicon solar cells: A review. J. Alloys Compd. 2022, 912, 165120. [Google Scholar] [CrossRef]
- Zhang, L.; Cheng, S.; Wang, L.; Pei, K.; Li, H. High temperature UV photodetectors based on the negative differential resistance effect of WO3/diamond PN junctions. Appl. Phys. Lett. 2023, 122, 182102. [Google Scholar] [CrossRef]
- Geng, Z.; Cui, Z.; Liu, Y.; Zhang, Y.; Wan, L.; Gao, N.; Liu, J.; Li, H. Electrodeposition ZnO/BDD film as a supercapacitor electrode. Diam. Relat. Mater. 2023, 140, 110527. [Google Scholar] [CrossRef]
- Han, Y.; Zhang, L.; Wang, Y.; Zhang, H.; Zhang, S. Photoelectrocatalytic activity of an ordered and vertically aligned TiO2 nanorod array/BDD hetetojunction electrode. Sci. Bull. 2017, 62, 619–625. [Google Scholar] [CrossRef]
- Wang, X.; Dou, J.; Deng, Z.; Gong, M.; Zhou, K.; Ma, L.; Wei, Q. Three-dimensional porous SiC/BDD electrode with long-term robustness and enhanced electrochemical degradation performance for refractory organic pollutants. Chem. Eng. J. 2024, 499, 156454. [Google Scholar] [CrossRef]
- Huang, B.; Wu, L.; Ren, H.; Zhang, Q.; Lin, H.; Xu, S.; Xiong, D.; Deng, W. Effect of Y3+ doping of rare earth element on microstructure and antiferromagnetism of CuFeO2 ceramics. Ceram. Int. 2024, 6, 9372–9379. [Google Scholar] [CrossRef]
- Xu, W.; Kozawa, D.; Zhou, Y.; Wang, Y.; Sheng, Y.; Jiang, T.; Strano, M.S.; Warner, J.H. Controlling Photoluminescence Enhancement and Energy Transfer in WS2:hBN:WS2 Vertical Stacks by Precise Interlayer Distances. Small 2020, 3, 1905985. [Google Scholar] [CrossRef]
- Zhang, Y.J.; Ideue, T.; Onga, M.; Qin, F.; Suzuki, R.; Zak, A.; Tenne, R.; Smet, J.H.; Iwasa, Y. Enhanced intrinsic photovoltaic effect in tungsten disulfide nanotubes. Nature 2019, 570, 349–353. [Google Scholar] [CrossRef]
- Faella, E.; Lozzi, L.; Camilli, L.; Zak, A.; Guybileo, F.; Bartolomeo, A.D.; Passacantando, M. Light effects on graphene/tungsten disulfide nanotubes/graphene heterostructure. Nanotechnology 2025, 36, 325501. [Google Scholar] [CrossRef]
- Domnin, A.V.; Mikhailow, I.E.; Evarestiv, R.A. DFT Study of WS2-Based Nanotubes Elsctronic Properties under Torsion Deformations. Nanomaterials 2023, 13, 2699. [Google Scholar] [CrossRef] [PubMed]
- Zou, L.; Sang, D.; Ge, S.; Yao, Y.; Wang, G.; Wang, X.; Fan, J.; Wang, Q. High-temperature optoelectronic transport behavior of n-MoS2 nanosheets/p-diamond heterojunction. J. Alloys Compd. 2024, 972, 172819. [Google Scholar] [CrossRef]
- Zou, L.; Lyu, X.; Sang, D.; Yao, Y.; Ge, S.; Wang, X.; Zhou, C.; Fu, H.; Xi, H.; Fan, J.; et al. Two-dimensional MoS2/diamond based heterojunctions for excellent optoelectronic devices: Current situation and new perspectives. Rare Met. 2023, 42, 3201–3211. [Google Scholar] [CrossRef]
- Zou, L.; Sang, D.; Yao, Y.; Wang, X.; Zheng, Y.; Wang, N.; Wang, C.; Wang, Q. Research progress of optoelectronic devices based on two-dimensional MoS2 materials. Rare Met. 2023, 42, 17–38. [Google Scholar] [CrossRef]
- Kozawa, D.; Kumar, R.; Carvalho, A.; Amara, K.K.; Zhao, W.; Wang, S.; Toh, M.; Ribeiro, R.M.; Neto, A.H.C.; Matsuda, K.; et al. Photocarrier relaxation pathway in two-dimensional semiconducting transition metal dichalcogenides. Nat. Commun. 2014, 5, 4543. [Google Scholar] [CrossRef] [PubMed]
- Tanabe, I.; Gomez, M.; Coley, W.C.; Le, D.; Echeverria, E.M.; Stecklein, G.; Kandyba, V.; Balijepalli, S.K.; Lee, V.; Nguyen, A.E.; et al. Band Structure characterization of WS2 grown by chemical vapor deposition. Appl. Phys. Lett. 2016, 108, 252103. [Google Scholar] [CrossRef]
- Carvalho, A.; Ribeiro, R.M.; Neto, A.H.C. Band nesting and the optical response of two-dimensional semiconducting transition metal dichalcogenides. Phys. Rev. B 2013, 88, 115205. [Google Scholar] [CrossRef]
- Goswami, T.; Bhatt, H.; Babu, K.J.; Kaur, G.; Ghorai, N.; Ghosh, H.N. Ultrafast Insights into High Energy (C and D) Excitons in Few Layer WS2. J. Phys. Chem. Lett. 2021, 12, 6526–6534. [Google Scholar] [CrossRef]
- Shen, J.; He, Y.; Wu, J.; Gao, C.; Keyshar, K.; Zhang, X.; Yang, Y.; Ye, M.; Vajtai, R.; Ajayan, P.M. Liquid Phase Exfoliation of Two-Dimensonal Materials by Directly Probing and Matching Surface Tension Components. Nano Lett. 2015, 15, 5449–5454. [Google Scholar] [CrossRef]
- Sul, O.; Seo, H.; Choi, E.; Kim, S.; Gong, J.; Bang, J.; Ju, H.; Oh, S.; Lee, Y.; Sun, H.; et al. An Ultralow Power Mixed Dimensional Heterojunction Transistor Based on the Charge Plasma pn Junction. Small 2022, 18, 2202153. [Google Scholar] [CrossRef]
- Knuyt, G.; Nesládek, M.; Vandevelde, T.; Meykens, K.; Quaeyhaegens, C.; Stals, L.M. On the development of CVD diamond film morphology due to the twinning on {111} surfaces. Diam. Relat. Mater. 1997, 6, 435–439. [Google Scholar] [CrossRef]
- Wang, X.; Liu, L.; Wang, L. Diamond film, single-layer carbon nanosheet film and diamond/carbon nanosheet composite film synthesis and field emission performance comparison. J. Alloys Compd. 2017, 727, 185–190. [Google Scholar] [CrossRef]
- Li, J.; Han, J.; Li, H.; Fan, X.; Huang, K. Large-area, flexible broadband photodetector based on WS2 nanosheets films. Mater. Sci. Semicond. Process. 2020, 107, 104804. [Google Scholar] [CrossRef]
- Ge, S.; Sang, D.; Li, C.; Shi, Y.; Wang, C.; Yu, C.; Wang, G.; Xi, H.; Wang, Q. High-Temperature Optoelectronic Transport Behavior of n-TiO2 Nanoball-Stick/p-Lightly Boron-Doped Diamond Heterojunction. Materials 2015, 18, 303. [Google Scholar]
- Ge, S.; Sang, D.; Zou, L.; Li, C.; Wang, G.; Fan, J.; Wang, Q. High-temperature photoelectronic transport behavior of n-TiO2 nanorod clusters/p-degenerated boron-doped diamond heterojunction. Diam. Relat. Mater. 2014, 144, 110962. [Google Scholar] [CrossRef]
- Berkdemir, A.; Gutiérrez, H.R.; Botello-Méndez, A.R.; Perea-López, N.; Elías, A.; Chia, C.; Wang, B.; Crespi, V.H.; López-Urías, F.; Charlier, J.; et al. Identification of individual and few layers of WS2 using Raman Spectroscopy. Sci. Rep. 2013, 3, 1755. [Google Scholar] [CrossRef]
- Peimyoo, N.; Shang, J.; Yang, W.; Wang, Y.; Cong, C.; Yu, T. Thermal conductivity determination of sus pended mono- and bilayer WS2 by Raman Spectroscopy. Nano Res. 2015, 8, 1210–1221. [Google Scholar]
- Wang, H.; Wang, Y.; Chai, X.; Guo, F.; Li, Y.; Shi, J.; Gai, Z.; Jiang, X. Influence of boron doped level on the electrochemical behavior and seawater salinity detection of boron doped diamond film electrodes. J. Electroanal. Chem. 2023, 931, 117187. [Google Scholar] [CrossRef]
- Wang, C.X.; Yang, G.W.; Zhang, T.C.; Liu, H.W.; Han, Y.H.; Luo, J.F.; Gao, C.X.; Zou, G.T. Fabrication of transparent p-n hetero-junction diodes by p-diamond film and n-ZnO film. Diam. Relat. Mater. 2003, 12, 1548–1552. [Google Scholar] [CrossRef]
- Guo, Y.; Robertson, J. Band engineering in transition metal dichalcogenides: Stacked versus lateral heterostructures. Appl. Phys. Mater. 2016, 108, 233104. [Google Scholar] [CrossRef]
- Ma, Z.; Zhang, Q.; Tao, L.; Wang, Y.; Sando, D.; Zhou, J.; Guo, Y.; Lord, M.; Zhou, P.; Ruan, Y.; et al. A Room-temperature Ferroelectric Resonant Tunneling Diode. Adv. Mater. 2022, 34, 2205359. [Google Scholar] [CrossRef]
- Khong, Y.J.; Niang, K.M.; Han, S.; Coburn, N.J.; Wyatt-Moon, G.; Flewitt, A.J. Effect of Plasma Treatment on Metal Oxide p-n Thin Film Diodes Fabricated at Room Temperature. Adv. Mater. Inter. 2021, 8, 2100049. [Google Scholar] [CrossRef]
- Wu, F.; Xia, H.; Sun, H.; Zhang, J.; Gong, F.; Wang, Z.; Chen, L.; Wang, P.; Long, M.; Wu, X.; et al. AsP/InSe Van der Waals Tunneling Heterojunctions with Ultrahigh Reverse Rectification Ratio and High Photosensitivity. Adv. Funct. Mater. 2019, 29, 1900314. [Google Scholar]
- Bartolomeo, A.D.; Giubileo, F.; Luongo, G.; Iemmo, L.; Martucciellom, N.; Niu, G.; Fraschke, M.; Skibitzki, O.; Schroeder, T.; Lupina, G. Tunable Schottky barrier and high responsivity in graphene/Si-nanotip optoelectronic device. 2D Mater. 2016, 4, 012024. [Google Scholar]
- Kim, J.E.; Kangm, W.T.; Vu, V.T.; Kim, Y.R.; Shin, Y.S.; Lee, I.; Won, U.Y.; Lee, B.H.; Kim, K.; Phan, T.L.; et al. Ideal PN photodiode using doping controlled WSe2-MoSe2 lateral heterostructure. J. Mater. Chem. C 2021, 9, 3504–3512. [Google Scholar] [CrossRef]
- Wu, C.; Lin, Y.; Chang, H.; Chen, Y. Effects of H2O2 treatment on the temperature dependent behavior of carrier transport and the optoelectronic properties for sol-gel grown MoS2/Si nanowices. J. Mater. Sci. Mater. Electron. 2018, 29, 6032–6039. [Google Scholar]
- Wetzelaer, G.J.A.; Scheepers, M.; Sempere, A.M.; Momblona, C.; Bolink, H.J. Trap-assisted non-radiative recombination in organic-inorganic perovskite solar cells. Adv. Mater. 2015, 27, 1837–1841. [Google Scholar] [CrossRef]
- Sengupta, R.; Little, B.; Mita, S.; Markham, K.; Dycus, J.H.; Stein, S.; Wu, B.; Sitar, Z.; Kish, F.; Pavlidis, S. Water-bonded In0.53Ga0.47As/GaN p-n diodes with near-unity ideality factor. Appl. Phys. Lett. 2024, 125, 062102. [Google Scholar]
- Lian, C.; Xing, H.G.; Chang, Y.; Fichtenbau, N. Electrical transport properties of water-fused p-GaAs/n-GaN heterojunctions. Appl. Phys. Lett. 2018, 93, 112103. [Google Scholar]
- Wang, L.; Cheng, S.; Wu, C.; Pei, K.; Song, Y.; Li, H.; Wang, Q.; Sang, D. Fabrication and high temperature electronic behaviors of n-WO3 nanorods/p-diamond heterojunction. Appl. Phys. Lett. 2017, 110, 052106. [Google Scholar]
- Gul, F. Carrier transport mechanism and bipolar resistive switching behavior of a nano-scale thin film TiO2 memristor. Ceram. Int. 2018, 44, 11417–11423. [Google Scholar] [CrossRef]
- Sarker, B.K.; Khondaker, S.I. Thermionic emission and tunneling at carbon nanotube-organic semiconductor interface. ACS Nano 2012, 6, 4993–4999. [Google Scholar] [CrossRef]
- Sarker, B.K.; Kang, N.; Khondaker, S.I. High performance semiconducting enriched carbon nanotube thin film transistors using metallic carbon nanotubes as electrodes. Nanoscale 2014, 6, 4896–4902. [Google Scholar] [CrossRef]
- Wangm, W.; Lee, T.; Reed, M.A. Mechanism of electron conduction in self-assembled alkanethiol monolayer devices. Phys. Rev. B 2003, 68, 035416. [Google Scholar] [CrossRef]
- Lettieri, S.; Pavone, M.; Fioravanti, A.; Santamaria, L.; Maddalena, P. Charge carrier processes and optical properties in TiO2 and TiO2-based heterojunction photocatalysts: A review. Materials 2021, 14, 1645. [Google Scholar] [CrossRef]
- Hao, R.; Wang, G.; Sun, L.; Xu, C.; Han, D. Template-free preparation of macro/mesoporous g-C3N4/TiO2 heterojunction photocatalysts with enhanced visible light photocatalytic activity. Appl. Catal. B 2016, 187, 47–48. [Google Scholar] [CrossRef]
- Mousavi, M.; Soleimani, M.; Hamzehloo, M.; Badiei, A.; Ghasemi, J.B. Photocatalytic degradation of different pollutants by the novel gCN-Ns/black-TiO2 heterojunction photocatalyst under visible light: Introducing a photodegradation model and optimization by response surface methodology (RSM). Mater. Chem. Phys. 2021, 258, 123912. [Google Scholar] [CrossRef]
- Gutiérrez, H.R.; Perea-López, N.; Elías, A.L.; Berkdemir, A.; Wang, B.; Lv, R.; López-Urías, F.; Crespi, V.H.; Terrones, H.; Terrones, M. Extraordinary Room-Temperature Photoluminescence in Triangular WS2 Monolayers. Nano Lett. 2012, 8, 3447–3454. [Google Scholar] [CrossRef]
- Bocharov, D.; Piskunov, S.; Zhukovskii, Y.F.; Evarestov, R.A. Ab Initio Calculation on the Electronic Structure Photocatalystic Properties of Two-Dimensional WS2 (0001) Nanolayers of Varying Thickness. Rapid Res. Lett. 2019, 13, 1800253. [Google Scholar]
- Bianchi, M.G.; Risplendi, F.; Fiorentin, M.R.; Cicero, G. Engineering the Electrical and Optical Prooerties of WS2 Monolayers via Defect Control. Adv. Sci. 2014, 4, 2305162. [Google Scholar]
- Singh, A.; Singh, A.K. Atypical behavior of intrinsic defects and promising dopants in two-dimensional WS2. Phys. Rev. Mater. 2021, 5, 084001. [Google Scholar] [CrossRef]
- Zulkharnay, R.; Zulpukarova, G.; May, P.W. Oxygen-teminated diamond: Insights into the correlation between surface oxygen configurations and work function values. Appl. Surf. Sci. 2024, 658, 159776. [Google Scholar]
- Pamuk, B.; Calandra, M. Exchange-driven dimerization, magnetism, and insulating state in diamond (111). Phys. Rev. B 2019, 99, 155303. [Google Scholar] [CrossRef]
- Sznajder, M.; Hrytsak, R. Ab initio studies of early stages of AlN growth process on the oxygen-terminated diamond (111) surface. Diam. Relat. Mater. 2018, 83, 94–103. [Google Scholar]
- Yang, J.W.; Park, J.H.; Byun, M.G.; Hwang, N.M.; Park, J.; Yu, B.D. Importance of Interfacial Structures in the Catalytic Effect of Transition Metals on Diamond Growth. ACS Omega 2021, 6, 28432–28440. [Google Scholar] [CrossRef]
- Li, C.; Oliveira, E.F.; Biswas, A.; Puthirath, A.B.; Zhang, X.; Pramanik, A.; Garratt, E.J.; Neupane, M.R.; Pate, B.B.; Birdwell, A.G.; et al. Heteroatom Functionalization of H-Terminated Diamond Surfaces. ACS Appl. Mater. Interfaces 2023, 15, 39980–39988. [Google Scholar] [CrossRef]
- Yang, S.W.; Xie, X.; Wu, P.; Loh, K.P. Chemisorption of C2 Biradical and Acetylene on Reconstructed Diamond(111)-(2×1). J. Phys. Chem. B 2003, 107, 985–993. [Google Scholar]
- Huang, J.; Meng, A.; Zhang, Z.; Xiao, S.; Guo, X.; Wu, X.; Huang, S.; Ma, G.; Han, O.; He, B. Enhanced visible-light-drive photoelectrochemical activity in nitrogen-doped TiO2/boron-doped diamond heterojunction electrodes. ACS Appl. Energy Mater. 2022, 6, 7144–7156. [Google Scholar]
- Sigcha-Pallo, C.; Peralta-Hernández, J.M.; Alulema-Pullupaxi, P.; Carrera, P.; Fernández, L.; Pozo, P.; Espinoza-Montero, P.J. Photoelectrocatalytic degradation of diclofenac with a boron-doped diamond electrode modified with titanium dioxide as a photoanode. Environ. Res. 2022, 212, 113362. [Google Scholar] [CrossRef]
- Jin, Z.; Zheng, X.; Zhu, Z.; Jiang, C.; Wu, S.; Hu, C.; Liu, L.; Fang, L.; Cheng, Z. Tribocatalytic sterilization of BN2/CN Z-type heterojunctions. Nano Energy 2024, 122, 109284. [Google Scholar]
- Sang, D.; Wang, O.; Wang, Q.; Zhang, D.; Hu, H.; Wang, W.; Zhang, B.; Fan, O.; Li, H. Improved electrical transport properties of an n-ZnO nanowire/p-diamond heterojunction. RSC Adv. 2018, 8, 28804–28809. [Google Scholar] [CrossRef]










| Temperature (°C) | RT | 100 | 120 | 140 | 160 | 180 |
| Rectification ratio | 9.1 | 1.1 | 1.3 | 1.2 | 1.3 | 1.4 |
| Turn on voltage (V) | 0.9 | 0.3 | 0.2 | 0.2 | 0.1 | 0.1 |
| Ideality factor | 16.4 | 13.8 | 13.9 | 14.0 | 12.7 | 12.8 |
| Temperature (°C) | RT | 100 | 120 | 140 | 160 | 180 |
| Rectification ratio | 0.81 | 0.27 | 0.99 | 0.17 | 0.42 | 0.44 |
| Turn on voltage (V) | 1.3 | 1.0 | 0.2 | 0.5 | 0.1 | 0.1 |
| Ideality factor | 13.5 | 11.8 | 13.5 | 7.1 | 12.5 | 17.7 |
Disclaimer/Publisher’s Note: The statements, opinions and data contained in all publications are solely those of the individual author(s) and contributor(s) and not of MDPI and/or the editor(s). MDPI and/or the editor(s) disclaim responsibility for any injury to people or property resulting from any ideas, methods, instructions or products referred to in the content. |
© 2025 by the authors. Licensee MDPI, Basel, Switzerland. This article is an open access article distributed under the terms and conditions of the Creative Commons Attribution (CC BY) license (https://creativecommons.org/licenses/by/4.0/).
Share and Cite
Li, C.; Sang, D.; Shi, Y.; Ge, S.; Du, L.; Wang, Q. High-Temperature Electrical Transport Behavior of p-Doped Boron Diamond Film/n-WS2 Nanosheet Heterojunction. Nanomaterials 2025, 15, 1900. https://doi.org/10.3390/nano15241900
Li C, Sang D, Shi Y, Ge S, Du L, Wang Q. High-Temperature Electrical Transport Behavior of p-Doped Boron Diamond Film/n-WS2 Nanosheet Heterojunction. Nanomaterials. 2025; 15(24):1900. https://doi.org/10.3390/nano15241900
Chicago/Turabian StyleLi, Changxing, Dandan Sang, Yarong Shi, Shunhao Ge, Lena Du, and Qinglin Wang. 2025. "High-Temperature Electrical Transport Behavior of p-Doped Boron Diamond Film/n-WS2 Nanosheet Heterojunction" Nanomaterials 15, no. 24: 1900. https://doi.org/10.3390/nano15241900
APA StyleLi, C., Sang, D., Shi, Y., Ge, S., Du, L., & Wang, Q. (2025). High-Temperature Electrical Transport Behavior of p-Doped Boron Diamond Film/n-WS2 Nanosheet Heterojunction. Nanomaterials, 15(24), 1900. https://doi.org/10.3390/nano15241900

