The Trapping Mechanism at the AlGaN/GaN Interface and the Turn-On Characteristics of the p-GaN Direct-Coupled FET Logic Inverters
Abstract
1. Introduction
2. Device Fabrication and Characterization
3. Results and Discussion
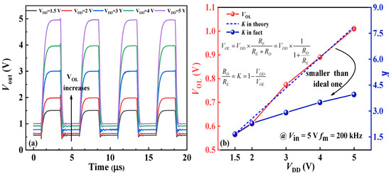
3.1. Influence of VDD on Inverter’s Performances
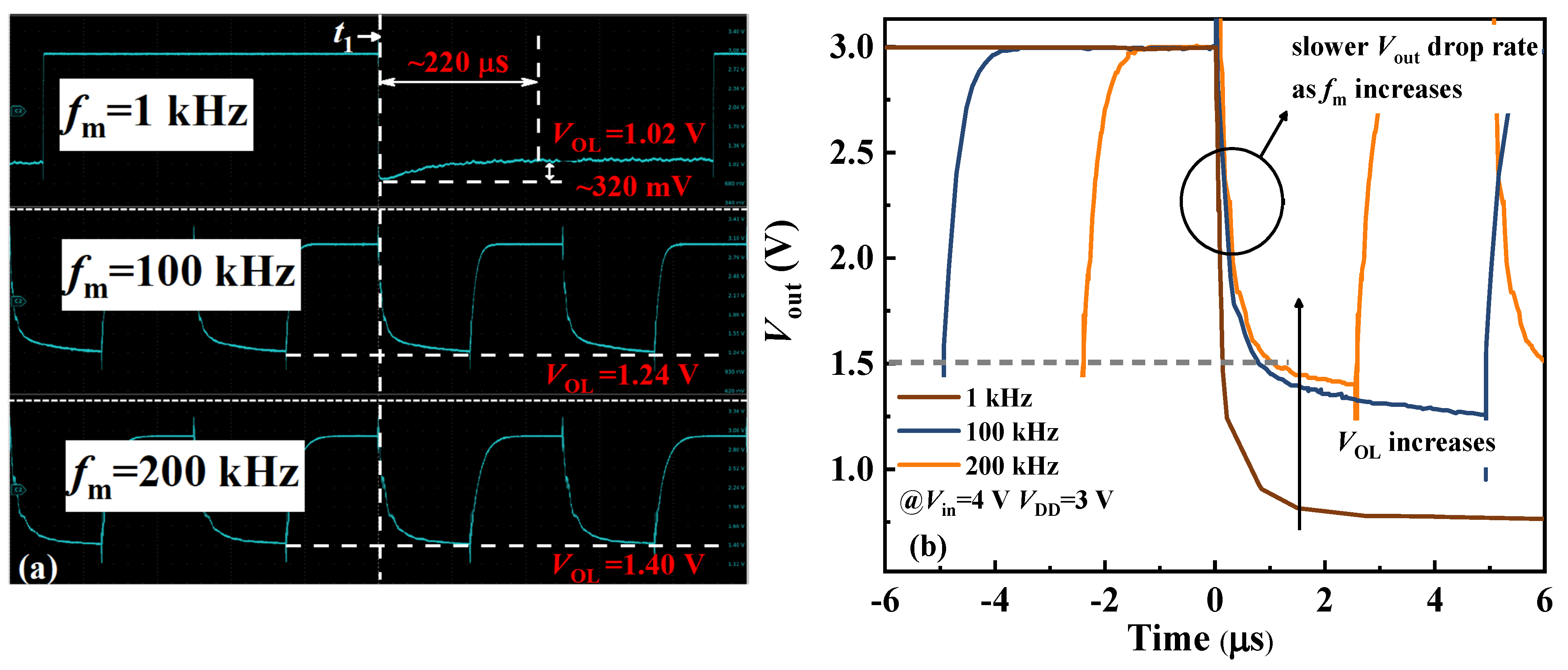
3.2. Influence of fm on Inverter’s Performances
4. Conclusions
Author Contributions
Funding
Data Availability Statement
Conflicts of Interest
References
- Setera, B.; Christou, A. Challenges of Overcoming Defects in Wide Bandgap Semiconductor Power Electronics. Electronics 2022, 11, 10. [Google Scholar] [CrossRef]
- Ishibe, T.; Tomeda, A.; Komatsubara, Y.; Kitaura, R.; Uenuma, M.; Uraoka, Y.; Yamashita, Y.; Nakamura, Y. Carrier and phonon transport control by domain engineering for high-performance transparent thin film thermoelectric generator. Appl. Phys. Lett. 2021, 118, 151601. [Google Scholar] [CrossRef]
- Kim, D.H.; Cho, K.S.; Kim, H.K. Thermally evaporated indium-free, transparent, flexible SnO2/AgPdCu/SnO2 electrodes for flexible and transparent thin film heaters. Sci. Rep. 2017, 7, 2050. [Google Scholar] [CrossRef] [PubMed]
- Ma, X.; Shi, Z.; Zang, H.; Jiang, K.; Yang, Y.; Zhang, F.; Lv, S.; Li, S.; Sun, X.; Li, D. Solving the Asymmetric Doping for Wide-Gap Semiconductors by Host Functionalization: Quantum Engineering Strategy. ACS Appl. Mater. Interfaces 2024, 16, 52604. [Google Scholar] [CrossRef] [PubMed]
- Shao, J.; Zeng, J.; Xiao, B.; Jin, Z.; Wang, Q.; Li, Z.; Wang, L.-L.; Dong, K.; Xu, L. Tunable Electronic and Optical Properties of MoGe2N4/AlN and MoSiGeN4/AlN van der Waals Heterostructures toward Optoelectronic and Photocatalytic Applications. Coatings 2024, 14, 500. [Google Scholar] [CrossRef]
- Haziq, M.; Falina, S.; Manaf, A.A.; Kawarada, H.; Syamsul, M. Challenges and Opportunities for High-Power and High-Frequency AlGaN/GaN High-Electron-Mobility Transistor (HEMT) Applications: A Review. Micromachines 2022, 13, 2133. [Google Scholar] [CrossRef]
- Chen, K.J.; Häberlen, O.; Lidow, A.; Tsai, C.L.; Ueda, T.; Uemoto, Y.; Wu, Y.F. GaN-on-Si Power Technology: Devices and Applications. IEEE Trans. Electron Devices 2017, 64, 779–795. [Google Scholar] [CrossRef]
- Jones, E.A.; Wang, F.; Ozpineci, B. Application-based review of GaN HFETs. In Proceedings of the 2014 IEEE Workshop on Wide Bandgap Power Devices and Applications, Knoxville, TN, USA, 13–15 October 2014. [Google Scholar] [CrossRef]
- Nela, L.; Perera, N.; Erine, C.; Matioli, E. Performance of GaN Power Devices for Cryogenic Applications Down to 4.2 K. IEEE Trans. Power Electron. 2020, 36, 7412–7416. [Google Scholar] [CrossRef]
- Cosnier, T.; Syshchyk, O.; De Jaeger, B.; Geens, K.; Cingu, D.; Fabris, E.; Borga, M.; Vohra, A.; Zhao, M.; Bakeroot, B.; et al. 200 V GaN-on-SOI Smart Power Platform for Monolithic GaN Power ICs. In Proceedings of the 2021 IEEE International Electron Devices Meeting (IEDM), San Francisco, CA, USA, 11–16 December 2021; pp. 5.1.1–5.1.4. [Google Scholar] [CrossRef]
- Zhang, L.; Zheng, Z.; Cheng, Y.; Ng, Y.H.; Feng, S.; Song, W.; Chen, T.; Chen, K.J. SiN/in-situ-GaON Staggered Gate Stack on p-GaN for Enhanced Stability in Buried-Channel GaN p-FETs. In Proceedings of the 2021 IEEE International Electron Devices Meeting (IEDM), San Francisco, CA, USA, 11–16 December 2021; pp. 5.3.1–5.3.4. [Google Scholar] [CrossRef]
- Yuan, M.Y.; Xie, Q.Y.; Fu, K.; Hossain, T.; Niroula, J.; Greer, J.A.; Chowdhury, N.; Zhao, Y.J.; Palacios, T. GaN Ring Oscillators Operational at 500 °C Based on a GaN-on-Si Platform. IEEE Electron Device Lett. 2022, 43, 1842–1845. [Google Scholar] [CrossRef]
- Wang, R.R.; Jia, L.F.; Gao, X.F.; He, J.H.; Cheng, Z.; Liu, Z.; Zhang, L.; Zhang, Y. Dynamic Performance Analysis of Logic Gates Based on p-GaN/AlGaN/GaN HEMTs at High Temperature. IEEE Electron Device Lett. 2023, 44, 899–902. [Google Scholar] [CrossRef]
- Ning, C.; Mo, V.L.; Chen, Q. Performance Analysis of Digital IC Units Based on Emode GaN HEMTs. In Proceedings of the 2024 7th International Conference on Electronics Technology (ICET), Chengdu, China, 17–20 May 2024; pp. 171–177. [Google Scholar] [CrossRef]
- Lee, H.W.; Ryu, H.; Kang, J.Z.; Zhu, W.J. Stable High Temperature Operation of p-GaN Gate HEMT With Etch-Stop Layer. IEEE Electron Device Lett. 2024, 45, 312–315. [Google Scholar] [CrossRef]
- Cui, M.; Cai, Y.; Bu, Q.; Liu, W.; Zhao, C. The Impact of Etch Depth of D-mode AlGaN/GaN MIS-HEMTs on DC and AC Characteristics of 10 V Input Direct-Coupled FET Logic (DCFL) Inverters. In Proceedings of the 2019 International Conference on IC Design and Technology (ICICDT), Suzhou, China, 17–19 June 2019. [Google Scholar] [CrossRef]
- Zheng, Z.; Song, W.; Zhang, L.; Yang, S.; Chen, K.J. Enhancement-Mode GaN p-Channel MOSFETs for Power Integration. In Proceedings of the 2020 32nd International Symposium on Power Semiconductor Devices and ICs (ISPSD), Vienna, Austria, 13–18 September 2020; pp. 525–528. [Google Scholar] [CrossRef]
- Vetury, R.; Zhang, N.Q.; Keller, S.; Mishra, U.K. The impact of surface states on the DC and RF characteristics of AlGaN/GaN HFETs. IEEE Trans. Electron Devices 2001, 48, 560–566. [Google Scholar] [CrossRef]
- Bisi, D.; Meneghini, M.; De Santi, C.; Chini, A.; Dammann, M.; Brückner, P.; Mikulla, M.; Meneghesso, G.; Zanoni, E. Deep-Level Characterization in GaN HEMTs-Part I: Advantages and Limitations of Drain Current Transient Measurements. IEEE Trans. Electron Devices 2013, 60, 3166–3175. [Google Scholar] [CrossRef]
- Rossetto, I.; Meneghini, M.; Tajalli, A.; Dalcanale, S.; De Santi, C.; Moens, P.; Banerjee, A.; Zanoni, E.; Meneghesso, G. Evidence of Hot-Electron Effects During Hard Switching of AlGaN/GaN HEMTs. IEEE Trans. Electron Devices 2017, 64, 3734–3739. [Google Scholar] [CrossRef]
- De Santi, C.; Meneghini, M.; Ishida, H.; Ueda, T.; Meneghesso, G.; Zanoni, E. Gate frequency sweep: An effective method to evaluate the dynamic performance of AlGaN/GaN power heterojunction field effect transistors. Appl. Phys. Lett. 2014, 105, 073507. [Google Scholar] [CrossRef]
- Bi, L.; Jiang, Q.; Huang, S.; Wang, X.; Wang, Y.; Li, Y.; Guo, F.; Luan, T.; Liu, Y.; Fan, J.; et al. Impact of Vth Instability on Time-Resolved Characteristics of MIS-HEMT-Based GaN Power IC. IEEE Electron Device Lett. 2021, 42, 1440–1443. [Google Scholar] [CrossRef]
- Ma, D.B. Driving GaN Power Transistors. In Proceedings of the 2019 31st International Symposium on Power Semiconductor Devices and ICs (ISPSD), Shanghai, China, 19–23 May 2019; pp. 87–90. [Google Scholar] [CrossRef]
- Taube, A.; Kamiński, M.; Ekielski, M.; Kruszka, R.; Jankowska-Śliwińska, J.; Michałowski, P.P.; Zdunek, J.; Szerling, A. Selective etching of p-GaN over Al0.25Ga0.75N in Cl2/Ar/O2 ICP plasma for fabrication of normally-off GaN HEMTs. Mater. Sci. Semicond. Process. 2021, 122, 105450. [Google Scholar] [CrossRef]
- Alfieri, G.; Fujii, Y.; Micheletto, R. An ab initio study of the electronic properties of helium in wurtzite gallium nitride. Semicond. Sci. Technol. 2023, 38, 074003. [Google Scholar] [CrossRef]
- Zhu, T.; Zheng, X.F.; Wang, J.; Wang, M.S.; Chen, K.; Wang, X.H.; Du, M.; Ma, P.J.; Zhang, H.; Lv, L.; et al. Combined Effects of Proton Irradiation and Forward Gate-Bias Stress on the Interface Traps in AlGaN/GaN Heterostructure. IEEE Trans. Nucl. Sci. 2021, 68, 2616–2623. [Google Scholar] [CrossRef]
- Wang, P.; Jiang, Y.Z.; Gu, Y.T.; Huang, M.L.; Huang, W.; Chen, S.Y.; Xiao, Z.Q.; Zou, X.B.; Qiu, Y.W.; Zhou, X.J.; et al. Investigation of trapping effects in Schottky lightly doped P-GaN gate stack under γ-ray irradiation. Appl. Phys. Lett. 2022, 121, 143501. [Google Scholar] [CrossRef]
- Zhang, Z.L.; Yu, G.H.; Zhang, X.D.; Deng, X.G.; Li, S.M.; Fan, Y.M.; Sun, S.C.; Song, L.; Tan, S.X.; Wu, D.D.; et al. Studies on High-Voltage GaN-on-Si MIS-HEMTs Using LPCVD Si3N4 as Gate Dielectric and Passivation Layer. IEEE Trans. Electron Devices 2016, 63, 731–738. [Google Scholar] [CrossRef]
- Yang, S.; Liu, S.; Lu, Y.; Liu, C.; Chen, K.J. AC-Capacitance Techniques for Interface Trap Analysis in GaN-Based Buried-Channel MIS-HEMTs. IEEE Trans. Electron Devices 2015, 62, 1870–1878. [Google Scholar] [CrossRef]
- Zheng, X.-F.; Dong, S.-S.; Ji, P.; Wang, C.; He, Y.-L.; Lv, L.; Ma, X.-H.; Hao, Y. Characterization of bulk traps and interface states in AlGaN/GaN heterostructure under proton irradiation. Appl. Phys. Lett. 2018, 112, 233504. [Google Scholar] [CrossRef]
- Zhu, J.; Ding, J.; OuYang, K.; Zou, X.; Ma, H.; Li, L.; Zhang, D.; Zhou, J.; Qiu, Y.; Zhou, X.; et al. Trapping mechanism transition of γ-ray irradiation on p-GaN gate stack on gate applying voltage swing. Appl. Phys. Lett. 2024, 125, 132103. [Google Scholar] [CrossRef]
- Zhang, G.; Zhao, S.L.; Wang, Z.Z.; Song, X.F.; Liu, S.; Sun, X.J.; Yu, L.Y.; You, S.Z.; Liu, Z.H.; Hao, Y.; et al. TCAD Simulation of the Effect of Buffer Layer Parameters on Single Event Burn-Out in p-GaN Gate HEMTs. IEEE Trans. Electron Devices 2024, 71, 4119–4124. [Google Scholar] [CrossRef]
- Shi, Y.; Zhou, Q.; Jin, Y.; Chen, B.; Chen, W.; Huang, W.; Zhang, B. Impact of interface traps on switching behavior of normally-OFF AlGaN/GaN MOS-HEMTs. Phys. Status Solidi C 2016, 13, 328–331. [Google Scholar] [CrossRef]
- Imada, T.; Piedra, D.; Kikkawa, T.; Palacios, T. Correlation of on-wafer 400 V dynamic behavior and trap characteristics of GaN-HEMTs. Phys. Status Solidi A-Appl. Mater. Sci. 2014, 211, 779–783. [Google Scholar] [CrossRef]
- Fang, Z.Q.; Look, D.C.; Kim, D.H.; Adesida, I. Traps in AlGaN/GaN/SiC heterostructures studied by deep level transient spectroscopy. Appl. Phys. Lett. 2005, 87, 5498. [Google Scholar] [CrossRef]
- Arehart, A.R.; Corrion, A.; Poblenz, C.; Speck, J.S.; Mishra, U.K.; Ringel, S.A. Deep level optical and thermal spectroscopy of traps in n-GaN grown by ammonia molecular beam epitaxy. Appl. Phys. Lett. 2008, 93, 945. [Google Scholar] [CrossRef]
- Cui, M.; Bu, Q.L.; Cai, Y.T.; Sun, R.Z.; Liu, W.; Wen, H.Q.; Lam, S.; Liang, Y.; Mitrovic, I.Z.; Taylor, S.; et al. Monolithic integration design of GaN-based power chip including gate driver for high-temperature DC-DC converters. Jpn. J. Appl. Phys. 2019, 58, 056505. [Google Scholar] [CrossRef]
- Zhang, W.; Zhang, Y.; Mao, W.; Ma, X.H.; Zhang, J.C.; Hao, Y. Influence of the Interface Acceptor-Like Traps on the Transient Response of AlGaN/GaN HEMTs. IEEE Electron Device Lett. 2013, 34, 45–47. [Google Scholar] [CrossRef]









Disclaimer/Publisher’s Note: The statements, opinions and data contained in all publications are solely those of the individual author(s) and contributor(s) and not of MDPI and/or the editor(s). MDPI and/or the editor(s) disclaim responsibility for any injury to people or property resulting from any ideas, methods, instructions or products referred to in the content. |
© 2024 by the authors. Licensee MDPI, Basel, Switzerland. This article is an open access article distributed under the terms and conditions of the Creative Commons Attribution (CC BY) license (https://creativecommons.org/licenses/by/4.0/).
Share and Cite
Yu, J.; Ding, J.; Wang, T.; Huang, Y.; Du, W.; Liang, J.; Ma, H.; Zhang, Q.; Li, L.; Huang, W.; et al. The Trapping Mechanism at the AlGaN/GaN Interface and the Turn-On Characteristics of the p-GaN Direct-Coupled FET Logic Inverters. Nanomaterials 2024, 14, 1984. https://doi.org/10.3390/nano14241984
Yu J, Ding J, Wang T, Huang Y, Du W, Liang J, Ma H, Zhang Q, Li L, Huang W, et al. The Trapping Mechanism at the AlGaN/GaN Interface and the Turn-On Characteristics of the p-GaN Direct-Coupled FET Logic Inverters. Nanomaterials. 2024; 14(24):1984. https://doi.org/10.3390/nano14241984
Chicago/Turabian StyleYu, Junfeng, Jihong Ding, Tao Wang, Yukai Huang, Wenzhang Du, Jiao Liang, Hongping Ma, Qingchun Zhang, Liang Li, Wei Huang, and et al. 2024. "The Trapping Mechanism at the AlGaN/GaN Interface and the Turn-On Characteristics of the p-GaN Direct-Coupled FET Logic Inverters" Nanomaterials 14, no. 24: 1984. https://doi.org/10.3390/nano14241984
APA StyleYu, J., Ding, J., Wang, T., Huang, Y., Du, W., Liang, J., Ma, H., Zhang, Q., Li, L., Huang, W., & Zhang, W. (2024). The Trapping Mechanism at the AlGaN/GaN Interface and the Turn-On Characteristics of the p-GaN Direct-Coupled FET Logic Inverters. Nanomaterials, 14(24), 1984. https://doi.org/10.3390/nano14241984

